DFSNet: A 3D Point Cloud Segmentation Network toward Trees Detection in an Orchard Scene
Abstract
1. Introduction
- A deep learning network that can perform semantic segmentation on 3D point cloud data in agricultural scenes.
- A concise but efficient network architecture that can fuse features from different layers in the network.
- The effect of different sampling strategies of a local feature aggregation module is discussed.
- Demonstrations of the proposed DFSNet, data labeling, and network training and prediction, providing end-to-end implementation for semantic segmentation in natural orchard fields.
2. Materials and Methods
2.1. Local Feature Aggregation Module
2.2. Fusion Segmentation Module
2.3. DFSNet Structure Design
3. Results
3.1. Dataset Details
3.2. Experimental Hardware Equipment
3.3. Training Details
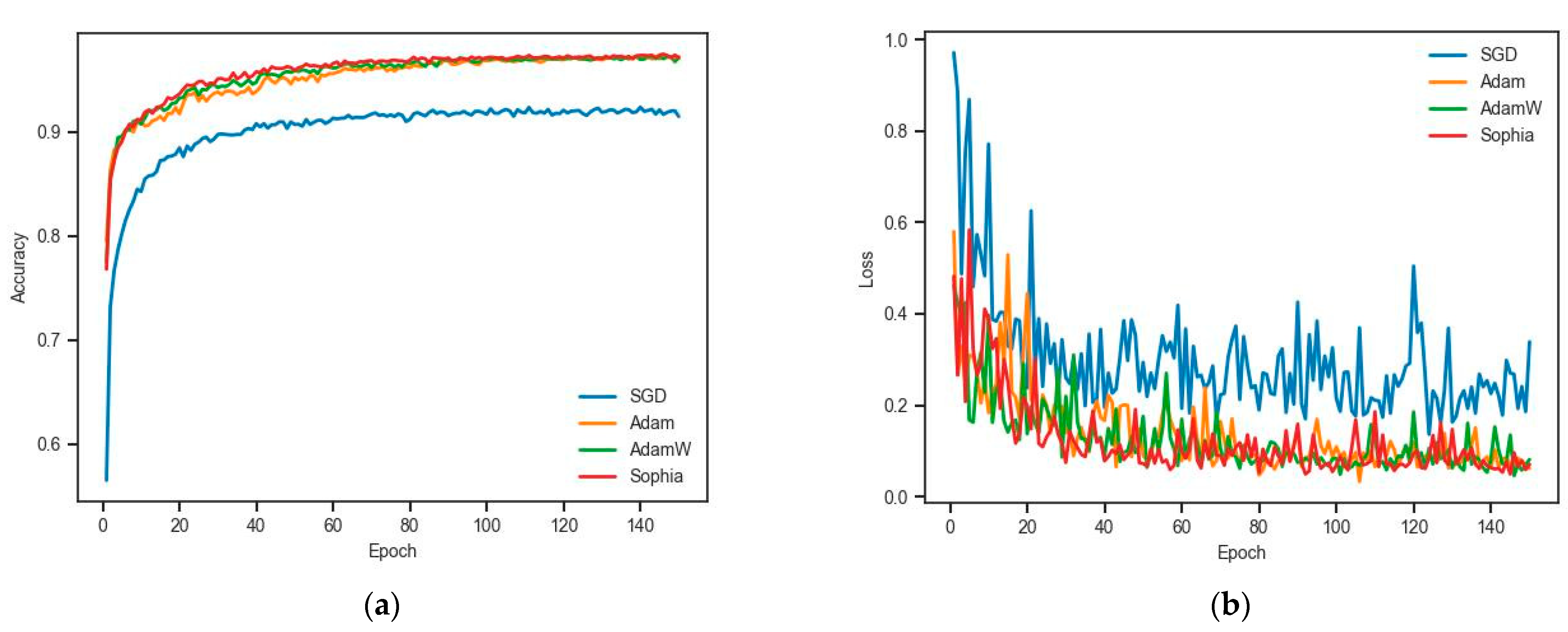
3.4. Semantic Segmentation on Benchmarks
3.5. Processing of Network Building
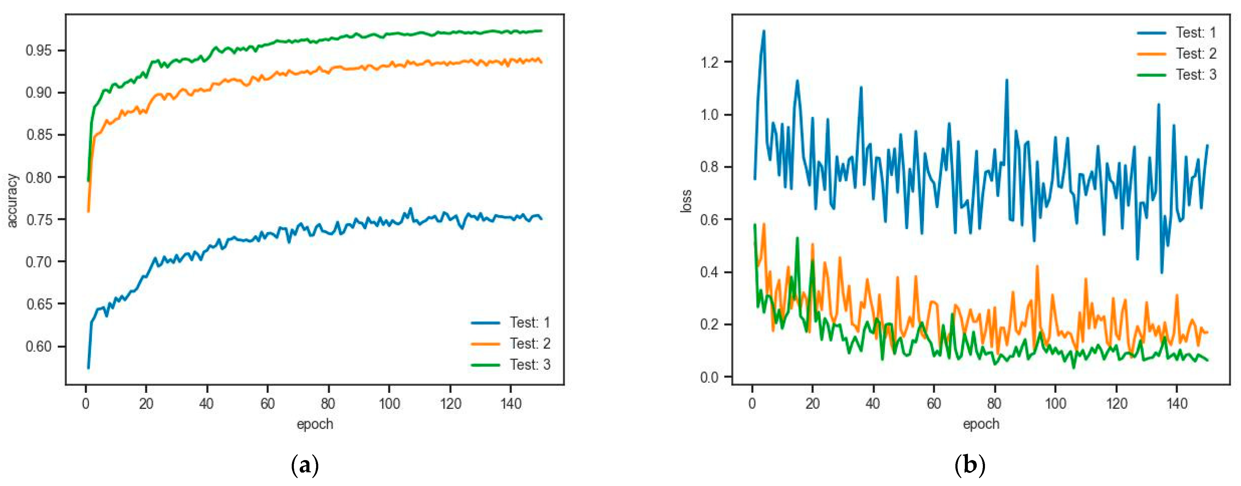
3.6. Sampling and Grouping Strategy
3.7. Segmentation in Orchards
4. Conclusions
Author Contributions
Funding
Institutional Review Board Statement
Informed Consent Statement
Data Availability Statement
Conflicts of Interest
References
- Liu, F.; Wang, H.; Li, L.; Xuan, J. Status quo, problems and development countermeasures of China’s facility fruit tree industry. China Fruit Tree 2021, 217, 1–4. [Google Scholar]
- Abramczyk, B.; Pecio, Ł.; Kozachok, S.; Kowalczyk, M.; Marzec-Grządziel, A.; Król, E.; Gałązka, A.; Oleszek, W. Pioneering Metabolomic Studies on Diaporthe eres Species Complex from Fruit Trees in the South-Eastern Poland. Molecules 2023, 28, 1175. [Google Scholar] [CrossRef] [PubMed]
- Sayyad-Amin, P. A review on breeding fruit trees against climate changes. Erwerbs-Obstbau 2022, 64, 697–701. [Google Scholar] [CrossRef]
- Gao, Y.; Tian, G.; Gu, B.; Zhao, J.; Liu, Q.; Qiu, C.; Xue, J. A Study on the Rapid Detection of Steering Markers in Orchard Management Robots Based on Improved YOLOv7. Electronics 2023, 12, 3614. [Google Scholar] [CrossRef]
- Raikwar, S.; Fehrmann, J.; Herlitzius, T. Navigation and control development for a four-wheel-steered mobile orchard robot using model-based design. Comput. Electron. Agric. 2022, 202, 107410. [Google Scholar] [CrossRef]
- Wang, X.; Kang, H.; Zhou, H.; Au, W.; Chen, C. Geometry-aware fruit grasping estimation for robotic harvesting in apple orchards. Comput. Electron. Agric. 2022, 193, 106716. [Google Scholar] [CrossRef]
- Chen, Y.; Xiong, Y.; Zhang, B.; Zhou, J.; Zhang, Q. 3D point cloud semantic segmentation toward large-scale unstructured agricultural scene classification. Comput. Electron. Agric. 2021, 190, 106445. [Google Scholar] [CrossRef]
- Kang, H.; Wang, X. Semantic segmentation of fruits on multi-sensor fused data in natural orchards. Comput. Electron. Agric. 2023, 204, 107569. [Google Scholar] [CrossRef]
- Wang, Y.; Yang, C.; Hu, M.; Zhang, J.; Li, Q.; Zhai, G.; Zhang, X.-P. Identification of deep breath while moving forward based on multiple body regions and graph signal analysis. In Proceedings of the ICASSP 2021—2021 IEEE International Conference on Acoustics, Speech and Signal Processing (ICASSP), Toronto, ON, Canada, 6–11 June 2021; pp. 7958–7962. [Google Scholar]
- Zeng, L.; Feng, J.; He, L. Semantic segmentation of sparse 3D point cloud based on geometrical features for trellis-structured apple orchard. Biosyst. Eng. 2020, 196, 46–55. [Google Scholar] [CrossRef]
- Wang, D.; He, D. Fusion of Mask RCNN and attention mechanism for instance segmentation of apples under complex background. Comput. Electron. Agric. 2022, 196, 106864. [Google Scholar] [CrossRef]
- Turgut, K.; Dutagaci, H.; Rousseau, D. RoseSegNet: An attention-based deep learning architecture for organ segmentation of plants. Biosyst. Eng. 2022, 221, 138–153. [Google Scholar] [CrossRef]
- Jin, S.; Sun, X.; Wu, F.; Su, Y.; Li, Y.; Song, S.; Xu, K.; Ma, Q.; Baret, F.; Jiang, D.; et al. Lidar sheds new light on plant phenomics for plant breeding and management: Recent advances and future prospects. ISPRS J. Photogramm. Remote. Sens. 2021, 171, 202–223. [Google Scholar] [CrossRef]
- Li, Y.; Wen, W.; Miao, T.; Wu, S.; Yu, Z.; Wang, X.; Guo, X.; Zhao, C. Automatic organ-level point cloud segmentation of maize shoots by integrating high-throughput data acquisition and deep learning. Comput. Electron. Agric. 2022, 193, 106702. [Google Scholar] [CrossRef]
- Qi, C.R.; Yi, L.; Su, H.; Guibas, L.J. Pointnet++: Deep hierarchical feature learning on point sets in a metric space. In Proceedings of the NIPS’17: Proceedings of the 31st International Conference on Neural Information Processing Systems, Long Beach, CA, USA, 6–9 December 2017; Volume 30. [Google Scholar]
- Xu, J.; Liu, H.; Shen, Y.; Zeng, X.; Zheng, X. Individual nursery trees classification and segmentation using a point cloud-based neural network with dense connection pattern. Sci. Hortic. 2024, 328, 112945. [Google Scholar] [CrossRef]
- Zhao, H.; Jiang, L.; Fu, C.-W.; Jia, J. Pointweb: Enhancing local neighborhood features for point cloud processing. In Proceedings of the 2019 IEEE/CVF Conference on Computer Vision and Pattern Recognition (CVPR), Long Beach, CA, USA, 15–20 June 2019; pp. 5565–5573. [Google Scholar]
- Duan, Y.; Zheng, Y.; Lu, J.; Zhou, J.; Tian, Q. Structural relational reasoning of point clouds. In Proceedings of the 2019 IEEE/CVF Conference on Computer Vision and Pattern Recognition (CVPR), Long Beach, CA, USA, 15–20 June 2019; pp. 949–958. [Google Scholar]
- Ma, X.; Qin, C.; You, H.; Ran, H.; Fu, Y. Rethinking network design and local geometry in point cloud: A simple residual MLP framework. arXiv 2022, arXiv:2202.07123. [Google Scholar]
- Wang, Y.; Sun, Y.; Liu, Z.; Sarma, S.E.; Bronstein, M.M.; Solomon, J.M. Dynamic graph CNN for learning on point clouds. ACM Trans. Graphic. 2019, 38, 1–12. [Google Scholar] [CrossRef]
- Landrieu, L.; Simonovsky, M. Large-scale point cloud semantic segmentation with superpoint graphs. In Proceedings of the 2018 IEEE/CVF Conference on Computer Vision and Pattern Recognition, Salt Lake City, UT, USA, 18–23 June 2018; pp. 4558–4567. [Google Scholar]
- Te, G.; Hu, W.; Zheng, A.; Guo, Z. Rgcnn: Regularized graph cnn for point cloud segmentation. In Proceedings of the 26th ACM International Conference on Multimedia, Seoul, Republic of Korea, 22–26 October 2018; pp. 746–754. [Google Scholar]
- Qi, C.R.; Su, H.; Mo, K.; Guibas, L.J. Pointnet: Deep learning on point sets for 3d classification and segmentation. In Proceedings of the 2017 IEEE Conference on Computer Vision and Pattern Recognition (CVPR), Honolulu, HI, USA, 21–26 July 2017; pp. 652–660. [Google Scholar]
- Dosovitskiy, A.; Beyer, L.; Kolesnikov, A.; Weissenborn, D.; Zhai, X.; Unterthiner, T.; Dehghani, M.; Minderer, M.; Heigold, G.; Gelly, S.; et al. An image is worth 16x16 words: Transformers for image recognition at scale. arXiv 2020, arXiv:2010.11929. [Google Scholar]
- Liu, Z.; Lin, Y.; Cao, Y.; Hu, H.; Wei, Y.; Zhang, Z.; Lin, S.; Guo, B. Swin transformer: Hierarchical vision transformer using shifted windows. In Proceedings of the 2021 IEEE/CVF International Conference on Computer Vision (ICCV), Montreal, QC, Canada, 10–17 October 2021; pp. 10012–10022. [Google Scholar]
- Touvron, H.; Cord, M.; Douze, M.; Massa, F.; Sablayrolles, A.; Jégou, H. Training data-efficient image transformers & distillation through attention. In Proceedings of the 38th International Conference on Machine Learning, Virtual, 18–24 July 2021; pp. 10347–10357. Available online: http://proceedings.mlr.press/v139/touvron21a/touvron21a.pdf (accessed on 29 March 2024).
- Rao, Y.; Zhao, W.; Tang, Y.; Zhou, J.; Lim, S.N.; Lu, J. Hornet: Efficient high-order spatial interactions with recursive gated convolutions. arXiv 2022, arXiv:2207.14284. [Google Scholar]
- Zhang, R.; Wang, L.; Guo, Z.; Wang, Y.; Gao, P.; Li, H.; Shi, J. Parameter is Not All You Need: Starting from Non-Parametric Networks for 3D Point Cloud Analysis. arXiv 2023, arXiv:2303.08134. [Google Scholar]
- Vaswani, A.; Shazeer, N.; Parmar, N.; Uszkoreit, J.; Jones, L.; Gomez, A.N.; Kaiser, Ł.; Polosukhin, I. Attention is all you need. In Proceedings of the 31st Conference on Neural Information Processing Systems (NIPS 2017), Long Beach, CA, USA, 4–9 December 2017; Volume 30. [Google Scholar]
- Chowdhury, P.N.; Bhunia, A.K.; Sain, A.; Koley, S.; Xiang, T.; Song, Y.Z. What Can Human Sketches Do for Object Detection? In Proceedings of the 2023 IEEE/CVF Conference on Computer Vision and Pattern Recognition (CVPR), Vancouver, BC, Canada, 17–24 June 2023; pp. 15083–15094. [Google Scholar]
- Jiang, B.; He, J.; Yang, S.; Fu, H.; Li, T.; Song, H.; He, D. Fusion of machine vision technology and AlexNet-CNNs deep learning network for the detection of postharvest apple pesticide residues. Artif. Intell. Agric. 2019, 1, 1–8. [Google Scholar] [CrossRef]
- Radford, A.; Kim, J.W.; Hallacy, C.; Ramesh, A.; Goh, G.; Agarwal, S.; Sastry, G.; Askell, A.; Mishkin, P.; Clark, J.; et al. Learning transferable visual models from natural language supervision. In Proceedings of the 38th International Conference on Machine Learning, Virtual, 18–24 July 2021; pp. 8748–8763. Available online: http://proceedings.mlr.press/v139/radford21a/radford21a.pdf (accessed on 29 March 2024).
- Sandler, M.; Howard, A.; Zhu, M.; Zhmoginov, A.; Chen, L. Mobilenetv2: Inverted residuals and linear bottlenecks. In Proceedings of the 2018 IEEE/CVF Conference on Computer Vision and Pattern Recognition, Salt Lake City, UT, USA, 18–23 June 2018; pp. 4510–4520. [Google Scholar]
- Kingma, D.P.; Ba, J. Adam: A method for stochastic optimization. arXiv 2014, arXiv:1412.6980. [Google Scholar]
- Loshchilov, I.; Hutter, F. Decoupled weight decay regularization. arXiv 2017, arXiv:1711.05101. [Google Scholar]
- Liu, H.; Li, Z.; Hall, D.; Liang, P.; Ma, T. Sophia: A Scalable Stochastic Second-order Optimizer for Language Model Pre-training. arXiv 2023, arXiv:2305.14342. [Google Scholar]











| Network | Sampling + Grouping Strategy | Principal Operator | Basic Architecture |
|---|---|---|---|
| PointNet | - | MLP 3 | Branch |
| DGCNN | k-NN 1 | EdgeConv | Branch and Dynamic |
| PointMLP | Geometric affine module | MLP | ResNet |
| PointNet++ | FPS 2 + Region grouping | PointNet layer | U-Net and Hierarchical |
| D-PointNet++ | FPS + Region grouping | Dense PointNet layer | DenseNet and PointNet++ |
| HorNet | - | gnConv 4 | HorBlock and FFN 5 |
| Hyper Parameters | Value |
|---|---|
| lr 1 | 0.001 |
| betas | (0.9, 0.999) |
| epc 2 | 1 × 10−8 |
| weight_decay | 1 × 10−4 |
| Epoch | 150 |
| Output Layer | Acc (%) | mIoU (%) | Iterate Speed (ms/pc *) |
|---|---|---|---|
| 1 | 72.16 | 62.28 | 13.79 ms |
| 2 | 72.18 | 63.13 | 13.88 ms |
| 3 | 78.89 | 73.02 | 14.08 ms |
| Test | Sampling + Grouping Strategy | Acc(%) | mIoU(%) | Iterate Speed |
|---|---|---|---|---|
| 1 | FPS 1 | 37.20 | 32.17 | 4.76 ms |
| 2 | RS 2 + k-NN 3 | 75.64 | 66.70 | 17.38 ms |
| 3 | FPS + k-NN | 76.57 | 69.16 | 13.98 ms |
| Train Dataset | Test Dataset | Network | Acc (%) | mIoU (%) |
|---|---|---|---|---|
| Simple-scale | Simple-scale | PointNet | 92.02 | 63.08 |
| PointNet++ | 97.24 | 83.78 | ||
| D-PointNet++ | 97.27 | 84.26 | ||
| DGCNN | 95.96 | 78.12 | ||
| Point-NN | - | 59.94 | ||
| Ours | 97.62 | 85.40 | ||
| All-scale (Simple-scale + Complex-scale) | Simple-scale | PointNet | 89.03 | 49.71 |
| PointNet++ | 96.10 | 77.02 | ||
| D-PointNet++ | 96.41 | 78.51 | ||
| DGCNN | 95.83 | 77.23 | ||
| Point-NN | - | 64.17 | ||
| Ours | 97.22 | 86.29 | ||
| Complex-scale | PointNet | 71.69 | 43.95 | |
| PointNet++ | 80.87 | 58.31 | ||
| D-PointNet++ | 81.73 | 63.28 | ||
| DGCNN | 81.92 | 58.23 | ||
| Point-NN | - | 41.24 | ||
| Ours | 85.83 | 66.72 | ||
| All-scale (Simple-scale + Complex-scale) | PointNet | 77.70 | 45.86 | |
| PointNet++ | 85.67 | 64.16 | ||
| D-PointNet++ | 87.07 | 67.72 | ||
| DGCNN | 86.69 | 64.16 | ||
| Point-NN | - | 49.36 | ||
| Ours | 89.43 | 74.05 |
Disclaimer/Publisher’s Note: The statements, opinions and data contained in all publications are solely those of the individual author(s) and contributor(s) and not of MDPI and/or the editor(s). MDPI and/or the editor(s) disclaim responsibility for any injury to people or property resulting from any ideas, methods, instructions or products referred to in the content. |
© 2024 by the authors. Licensee MDPI, Basel, Switzerland. This article is an open access article distributed under the terms and conditions of the Creative Commons Attribution (CC BY) license (https://creativecommons.org/licenses/by/4.0/).
Share and Cite
Bu, X.; Liu, C.; Liu, H.; Yang, G.; Shen, Y.; Xu, J. DFSNet: A 3D Point Cloud Segmentation Network toward Trees Detection in an Orchard Scene. Sensors 2024, 24, 2244. https://doi.org/10.3390/s24072244
Bu X, Liu C, Liu H, Yang G, Shen Y, Xu J. DFSNet: A 3D Point Cloud Segmentation Network toward Trees Detection in an Orchard Scene. Sensors. 2024; 24(7):2244. https://doi.org/10.3390/s24072244
Chicago/Turabian StyleBu, Xinrong, Chao Liu, Hui Liu, Guanxue Yang, Yue Shen, and Jie Xu. 2024. "DFSNet: A 3D Point Cloud Segmentation Network toward Trees Detection in an Orchard Scene" Sensors 24, no. 7: 2244. https://doi.org/10.3390/s24072244
APA StyleBu, X., Liu, C., Liu, H., Yang, G., Shen, Y., & Xu, J. (2024). DFSNet: A 3D Point Cloud Segmentation Network toward Trees Detection in an Orchard Scene. Sensors, 24(7), 2244. https://doi.org/10.3390/s24072244

