The Spatiotemporal Characteristics of Flow–Sediment Relationships in a Hilly Watershed of the Chinese Loess Plateau
Abstract
:1. Introduction
2. Materials and Methods
2.1. Study Area
2.2. Prototype Observation Facility
2.3. Data Collection and Processing
3. Results and Analysis
3.1. Flow–Sediment Relationship at the Annual Timescale
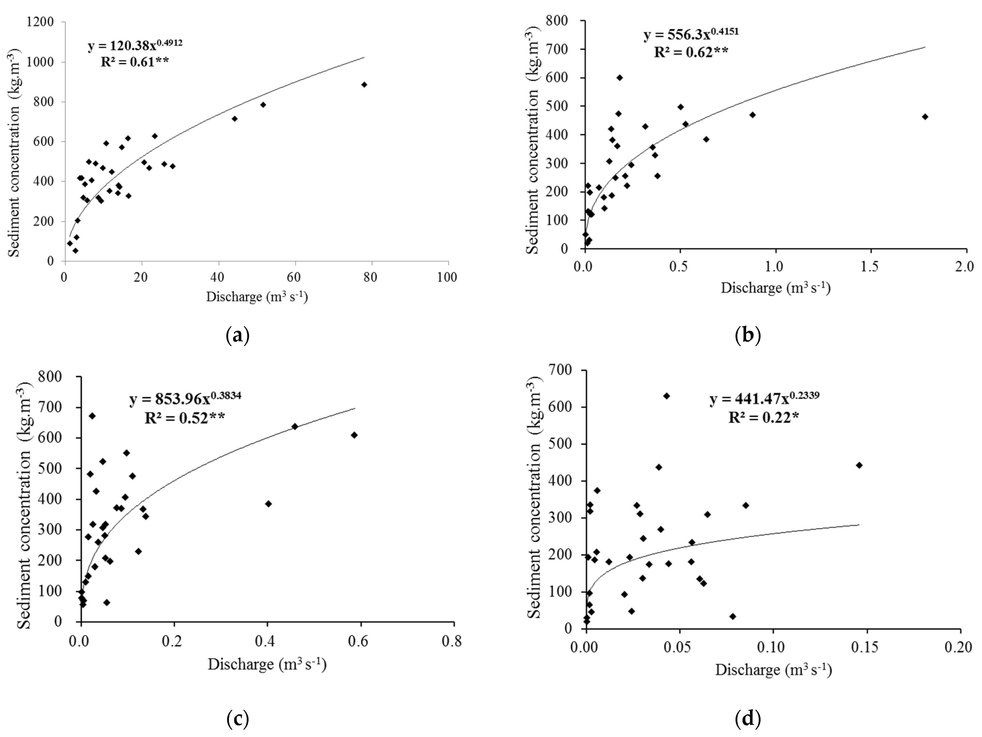
3.2. Flow–Sediment Relationships at Flood Events Timescale
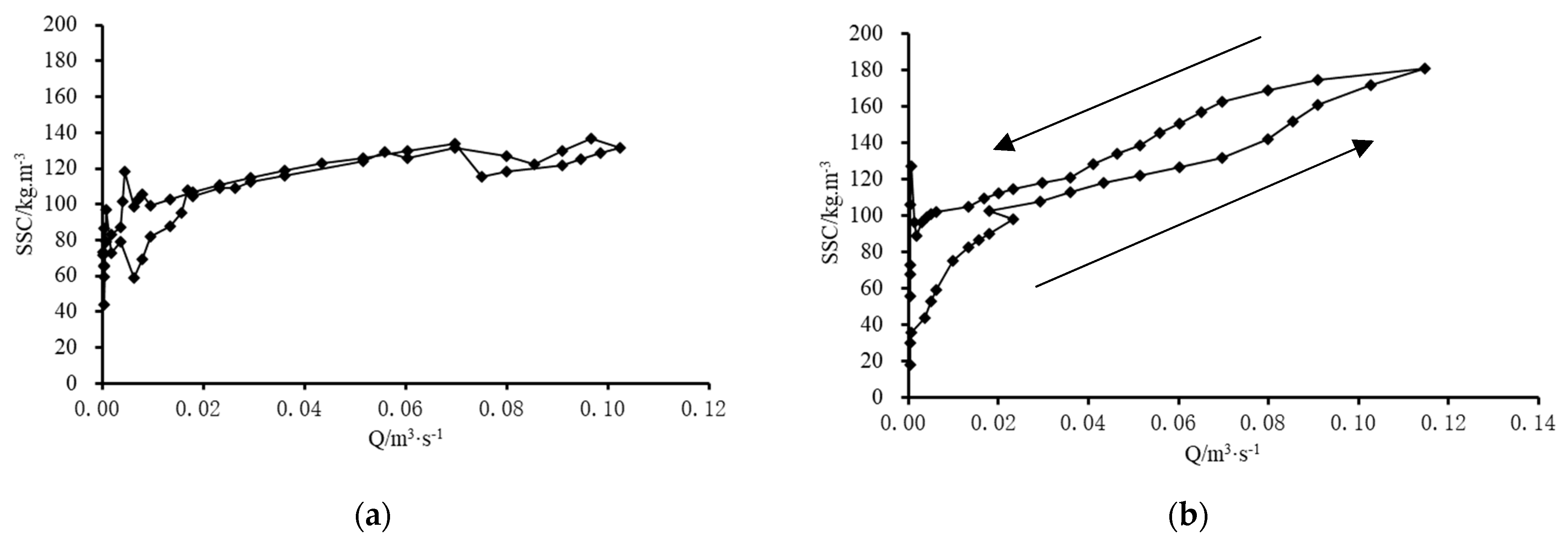
3.3. Flow–Sediment Relationships’ Evolution at the Single Rainfall Event Timescale
4. Discussion
5. Conclusions
- (1)
- On the annual timescale, the flow–sediment relationship was stable. The annual runoff depths and annual sediment transport modulus exhibited linear relationships, and the determination coefficients ranged from 0.72 to 0.81 (p < 0.01). The differences between the flow–sediment relationships of different geomorphic units across scales were not significant (p > 0.05).
- (2)
- On the multiple flood events timescale, the sediment transport modulus and runoff depth in watershed spatial scale could also be fitted with linear relationships, with the high determination coefficients from 0.37 to 0.99 (p < 0.05), and the suspended sediment concentration and discharge was fitted by power functions with determination coefficients greater than 0.22 (p < 0.05), and especially higher (R2 > 0.52, p < 0.01) at larger scales. The flow–sediment relationship at the slope scale changed violently due to the random gravity erosion that happened.
- (3)
- On the single rainfall event timescale, the flow–sediment relationships showed different hysteretic patterns across different spatial scales. The figure-eight hysteretic pattern was present at the slope scale while the anticlockwise hysteretic pattern was present at the subgully and gully scales. Furthermore, at a given discharge, the suspended sediment concentration during the falling stage was higher than that during the rising stage. Moreover, the difference was bigger as the spatial scale increased due to the wash load in the gullies, which favored the occurrence of hyper-concentration flow.
Author Contributions
Funding
Informed Consent Statement
Data Availability Statement
Acknowledgments
Conflicts of Interest
References
- Costa, A.; Anghileri, D.; Molnar, P. Hydroclimatic control onsuspended sediment dynamics of a regulated alpine catchment: A conceptual approach. Hydrol. Earth Syst. Sci. 2018, 22, 3421–3434. [Google Scholar] [CrossRef] [Green Version]
- Xiao, P.Q.; Zheng, F.L. Effects of runoff and sediment from upslope on downslope erosion process. J. Soil Water Conserv. 2003, 17, 25–29. (In Chinese) [Google Scholar]
- Zhang, L.T.; Li, Z.B.; Wang, H.; Xiao, J.B. Spatial scale effects on sediment delivery within runoff erosion chains in basin system. Trans. Chin. Soc. Agric. Eng. 2016, 32, 87–94. (In Chinese) [Google Scholar]
- Buendia, C.; Vericat, D.; Batalla, R.J.; Gibbins, C.N. Temporal dynamics of sediment transport and transient in-channel storage in a highly erodible catchment. Land Degrad. Dev. 2015, 27, 1045–1068. [Google Scholar] [CrossRef]
- Zheng, M.G.; Yang, J.S.; Qi, D.L.; Sun, L.Y.; Cai, Q.G. Flow-sediment relationship as functions of spatial and temporal scales in hilly areas of the Chinese Loess Plateau. Catena 2012, 98, 29–40. [Google Scholar] [CrossRef]
- Yang, Y.F.; Wang, B.; Wang, G.L.; Li, Z.S. Ecological regionalization and overview of the Loess Plateau. Acta Ecol. Sin. 2019, 39, 7389–7397. [Google Scholar]
- Wang, L.L.; Yao, W.Y.; Tang, J.L.; Wang, W.L.; Hou, X.X. Identifying the driving factors of sediment delivery ratio on individual flood events in a long-term monitoring headwater basin. J. Mt. Sci. 2018, 15, 1825–1835. [Google Scholar] [CrossRef]
- Jiang, D.L.; Zhao, C.X.; Chen, Z.L. The preliminary analysis of sediment sources in the watersheds of the middle Yellow River. Acta Geogr. Sin. 1966, 32, 20–36. (In Chinese) [Google Scholar]
- Liang, G.L.; Chen, H.; Cai, Q.G.; Hu, W.S. Research progress of modern topographic evolvement and landform erosion in Loess Plateau. Res. Soil Water Conserv. 2004, 11, 131–137. (In Chinese) [Google Scholar]
- Cerdan, O.; Le Bissonnais, Y.; Govers, G.; Lecomte, V.; van Oost, K.; Couturier, A.; King, C.; Dubreuil, N. Scale effect on runoff from experimental plots to catchments in agricultural areas in Normandy. J. Hydrol. 2004, 299, 4–14. [Google Scholar] [CrossRef]
- Yair, A.; Raz-Yassif, N. Hydrological processes in a small arid catchment: Scale effects of rainfall and slope length. Geomorphology 2004, 61, 155–169. [Google Scholar] [CrossRef]
- Xiao, P.Q.; Zheng, F.L.; Yao, W.Y. Flow pattern and hydraulic parameter characteristics in hillslope-gullyslope system. Adv. Water Sci. 2009, 20, 236–240. (In Chinese) [Google Scholar]
- Zhang, L.T.; Gao, Z.L.; Li, Z.B.; Tian, H.W. Downslope runoff and erosion response of typical engineering landform to Variable inflow rate patterns from upslope. Nat. Hazards 2016, 80, 775–796. [Google Scholar] [CrossRef]
- Wang, Z.L.; Wu, Y.H.; Bai, Z.G.; Guo, B.W.; Zhao, G.Y. Study on Soil Erosion in Typical Regions of Loess Plateau. World Sci. Technol. Res. Dev. 2000, 22, 76–79. (In Chinese) [Google Scholar]
- Yu, G.Q.; Li, Z.B.; Zhang, X.; Li, P. Numerical simulation of gravitational erosion in slope-gully system on Loess Plateau. Acta Pedol. Sin. 2010, 47, 809–816. (In Chinese) [Google Scholar]
- Shen, H.O. Rill Development and Its Morphological Characteristics at Loess Hillslope. Ph.D. Dissertation, Northwest A&F University, Xianyang, China, 2015. (In Chinese). [Google Scholar]
- Asselman, N. Fitting and interpretation of sediment rating curves. J. Hydrol. 2000, 234, 228–248. [Google Scholar] [CrossRef]
- Zhao, W.; Wang, X.D.; Zhang, X.M.; Le, M.H. Scale effect driving factors of runoff and sediment evolution in Kuye River basin. J. China Hydrol. 2016, 36, 56–61. (In Chinese) [Google Scholar]
- Gao, G.Y.; Ma, Y.; Fu, B.J. Temporal Variations of Flow-sediment Relationships in a Highly Erodible Catchment of the Loess Plat eau, China. Land Degrad. Dev. 2016, 27, 758–772. [Google Scholar] [CrossRef] [Green Version]
- Han, J.Q.; Gao, J.N.; Luo, H. Changes and implications of the relationship between rainfall, runoff and sediment load in the Wud ing River basin on the Chinese Loess Plateau. Catena 2019, 175, 228–235. [Google Scholar] [CrossRef]
- Tian, P.; Feng, J.H.; Zhao, G.J.; Gao, P.; Sun, W.Y.; Hörmann, G.; Mu, X.M. Rainfall, runoff, and suspended sediment dynamics at the flood event scale in a Loess Plateau watershed, China. Hydrol. Process. 2022, 36, 44–86. [Google Scholar] [CrossRef]
- Liu, X.Y.; Liu, C.M.; Yang, S.T.; Jin, S.Y.; Gao, Y.J.; Gao, Y.F. Influence of shrubs-herbs-arbor vegetation coverage on the runoff based on the remote sensing data in Loess Plateau. Acta Geogr. Sin. 2014, 69, 1595–1603. (In Chinese) [Google Scholar]
- Liu, X.Y.; Wang, F.G.; Yang, S.T.; Li, X.Y.; Ma, H.B.; He, X.Z. Sediment reduction effect of level terrace in the hilly-gully region in the Loess Plateau. J. Hydraul. Eng. 2014, 45, 793–800. (In Chinese) [Google Scholar]
- Liu, X.Y.; Gao, Y.F.; Ma, S.B.; Dong, G.T. Sediment reduction of warping dams and its timeliness in the Loess Plateau. J. Hydraul. Eng. 2018, 49, 145–155. (In Chinese) [Google Scholar]
- Gao, H.D.; Wu, Z.; Jia, L.L.; Pang, G.W. Vegetation change and its influence on runoff and sediment in different landform units, Wei River, China. Ecol. Eng. 2019, 141, 105609. [Google Scholar] [CrossRef]
- Zhao, Y.; Yin, X.; Zhang, X.; Liu, B.; Wang, Z. Effect of soil and water conservation measures on the reduction of runoff and sediment load in a loess hilly-gully region. J. Soil Water Conserv. 2021, 76, 52–64. [Google Scholar] [CrossRef]
- Zheng, M.G. Partition of reducing sediment for various soil and water conservation measures of Loess Plateau in China based on runoff-sediment relationship. Trans. Chin. Soc. Agric. Eng. 2020, 36, 173–183. (In Chinese) [Google Scholar]
- Zheng, M.G.; Cai, Q.G.; Cheng, Q.J. One new sediment yield model for single storm events and its application at annual time scale. Geogr. Res. 2007, 26, 745–754. (In Chinese) [Google Scholar]
- Ritchie, J.C.; Schiebe, F.R. Water quality. In Remote Sensing in Hydrology and Water Management; Schultz, G., Engman, E., Eds.; Springer: Berlin/Heidelberg, Germany, 2000; pp. 287–352. [Google Scholar]
- Xu, J.X. Erosion caused by hyper-concentrated flow on the Loess Plateau. Catena 1999, 36, 1–19. [Google Scholar]
- Fang, H.Y.; Cai, Q.G.; Chen, H.; Huang, X. Research on the dynamics of temporal sediment transport in a gullied loess basin: The Lower Chabagou Creek on the Loess Plateau. Prog. Geogr. 2007, 26, 77–87. (In Chinese) [Google Scholar]
- Li, T.J.; Wang, G.Q.; Xue, H.; Wang, K. Study on spatial scale effect of sediment yield and transport characteristics in Loess Gully Region. Ser. E Technol. Sci. 2009, 39, 1095–1104. (In Chinese) [Google Scholar]
- Vercruysse, K.; Grabowski, R.C.; Rickson, R.J. Suspended sediment transport dynamics in rivers: Multi-scale drivers of temporal variation. Earth-Sci. Rev. 2017, 166, 38–52. [Google Scholar] [CrossRef] [Green Version]
- Wu, S.B.; Chen, L.; Wang, N.L.; Zhang, J.; Wang, S.Q.; Bagarello, V.; Ferro, V. Variable scale effects on hillslope soil erosion during rainfall-runoff process. Catena 2021, 207, 105606. [Google Scholar] [CrossRef]
- Xu, J.X.; Yan, Y.X. Scale effects on specific sediment yield in the Yellow River basin and geomorphological explanations. J. Hydrol. 2005, 307, 219–232. [Google Scholar]









| No. | Geomorphic Unit (Scale) | Area, km2 | Length, km | Slope, ° | Gully Gradient, % | Basin Axis Direction |
|---|---|---|---|---|---|---|
| 1 | Whole slope (slope) | 0.0025 | 0.177 | 32.3 | - | West |
| 2 | First branch (subgully) | 0.069 | 0.870 | - | 4.97% | Northwest–southeast |
| 3 | Qiaogou gully (gully) | 0.45 | 1.400 | - | 2.11% | North |
| 4 | Peijiamao watershed (watershed) | 39.3 | 11.00 | - | 1.51% | Northeast–southwest |
| Floods | Start Time of Rainfall | End Time of Rainfall | Rainfall at Each Station | Average Rainfall | ||||||
|---|---|---|---|---|---|---|---|---|---|---|
| Month | Day | Hour | Day | Hour | Q1 | Q2 | Q3 | Q5 | ||
| 20080918 | 9 | 18 | 16:05 | 18 | 18:10 | 35.9 | 28.5 | 30.5 | 21.6 | 27.3 |
| 20090719 | 7 | 19 | 17:20 | 20 | 1:35 | 49.3 | 47.8 | 49.9 | 49.9 | 49.2 |
Publisher’s Note: MDPI stays neutral with regard to jurisdictional claims in published maps and institutional affiliations. |
© 2022 by the authors. Licensee MDPI, Basel, Switzerland. This article is an open access article distributed under the terms and conditions of the Creative Commons Attribution (CC BY) license (https://creativecommons.org/licenses/by/4.0/).
Share and Cite
Wang, L.; Yao, W.; Xiao, P.; Hou, X. The Spatiotemporal Characteristics of Flow–Sediment Relationships in a Hilly Watershed of the Chinese Loess Plateau. Int. J. Environ. Res. Public Health 2022, 19, 9089. https://doi.org/10.3390/ijerph19159089
Wang L, Yao W, Xiao P, Hou X. The Spatiotemporal Characteristics of Flow–Sediment Relationships in a Hilly Watershed of the Chinese Loess Plateau. International Journal of Environmental Research and Public Health. 2022; 19(15):9089. https://doi.org/10.3390/ijerph19159089
Chicago/Turabian StyleWang, Lingling, Wenyi Yao, Peiqing Xiao, and Xinxin Hou. 2022. "The Spatiotemporal Characteristics of Flow–Sediment Relationships in a Hilly Watershed of the Chinese Loess Plateau" International Journal of Environmental Research and Public Health 19, no. 15: 9089. https://doi.org/10.3390/ijerph19159089
APA StyleWang, L., Yao, W., Xiao, P., & Hou, X. (2022). The Spatiotemporal Characteristics of Flow–Sediment Relationships in a Hilly Watershed of the Chinese Loess Plateau. International Journal of Environmental Research and Public Health, 19(15), 9089. https://doi.org/10.3390/ijerph19159089

