Frailty Index as a Predictor of Mortality in Middle-Aged and Older People: A Prospective Analysis of Chilean Adults
Abstract
1. Introduction
2. Material and Methods
2.1. Study Design
2.2. Assessment of the FI
2.3. All-Cause Mortality
2.4. Covariates
2.5. Statistical Analyses
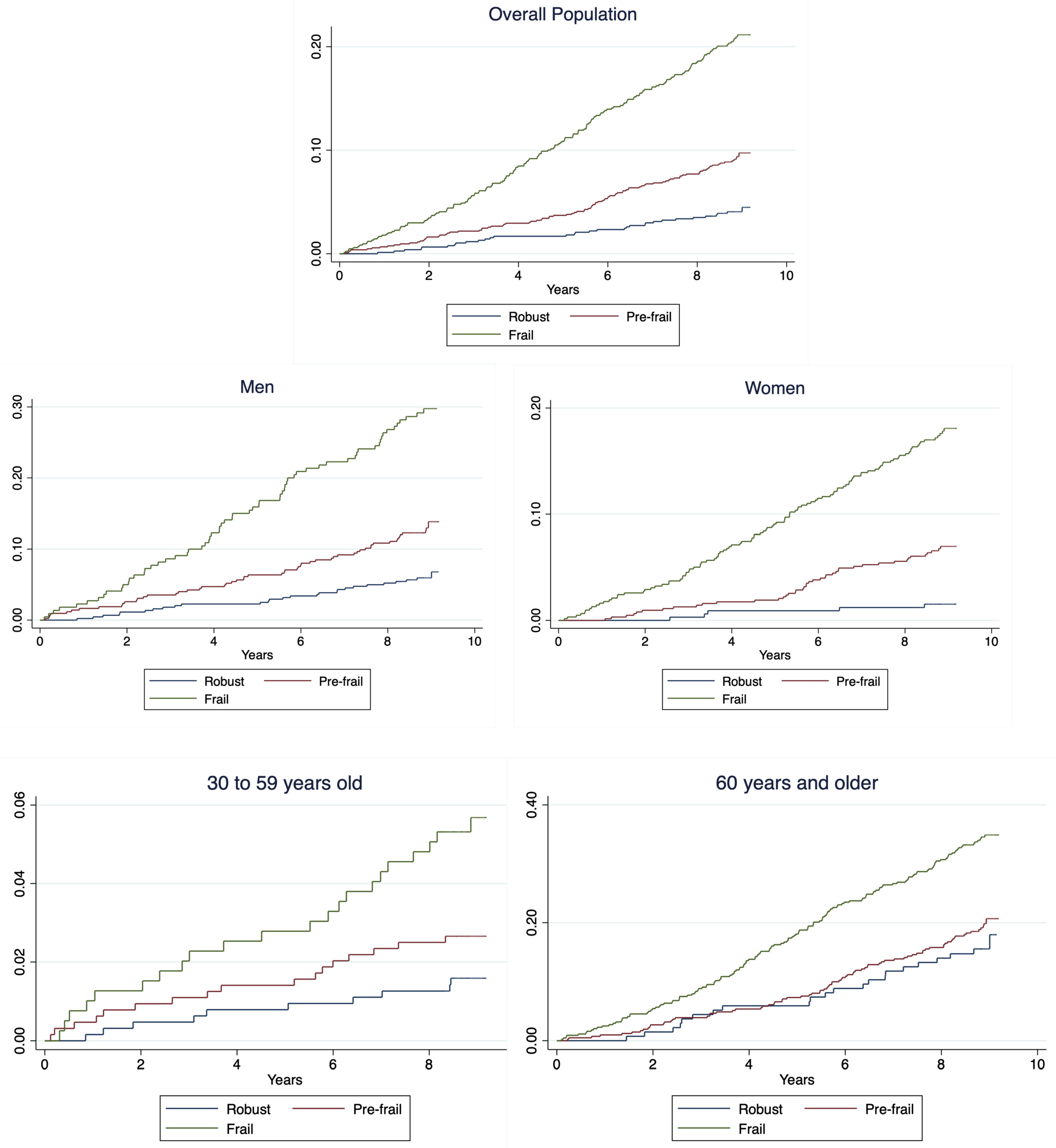
3. Results
4. Discussion
Strengths and Limitations
5. Conclusions
Supplementary Materials
Author Contributions
Funding
Institutional Review Board Statement
Informed Consent Statement
Data Availability Statement
Acknowledgments
Conflicts of Interest
References
- Walston, J.; Buta, B.; Xue, Q.-L. Frailty Screening and Interventions. Clin. Geriatr. Med. 2018, 34, 25–38. [Google Scholar] [CrossRef] [PubMed]
- Walston, J.; Hadley, E.C.; Ferrucci, L.; Guralnik, J.M.; Newman, A.B.; Studenski, S.A.; Ershler, W.B.; Harris, T.; Fried, L.P. Research Agenda for Frailty in Older Adults: Toward a Better Understanding of Physiology and Etiology: Summary from the American Geriatrics Society/National Institute on Aging Research Conference on Frailty in Older Adults. J. Am. Geriatr. Soc. 2006, 54, 991–1001. [Google Scholar] [CrossRef] [PubMed]
- Whitson, H.E.; Duan-Porter, W.; Schmader, K.E.; Morey, M.C.; Cohen, H.J.; Colón-Emeric, C.S. Physical Resilience in Older Adults: Systematic Review and Development of an Emerging Construct. J. Gerontol. Ser. A 2016, 71, 489–495. [Google Scholar] [CrossRef] [PubMed]
- Mitnitski, A.B.; Mogilner, A.J.; Rockwood, K. Accumulation of Deficits as a Proxy Measure of Aging. Sci. World J. 2001, 1, 323–336. [Google Scholar] [CrossRef] [PubMed]
- Fried, L.P.; Tangen, C.M.; Walston, J.; Newman, A.B.; Hirsch, C.; Gottdiener, J.; Seeman, T.; Tracy, R.; Kop, W.J.; Burke, G.; et al. Frailty in Older Adults: Evidence for a Phenotype. J. Gerontol. Ser. A Biol. Sci. Med. Sci. 2001, 56, M146–M157. [Google Scholar] [CrossRef] [PubMed]
- Rockwood, K.; Andrew, M.; Mitnitski, A. A Comparison of Two Approaches to Measuring Frailty in Elderly People. J. Gerontol. Ser. A Biol. Sci. Med. Sci. 2007, 62, 738–743. [Google Scholar] [CrossRef]
- Fang, X.; Shi, J.; Song, X.; Mitnitski, A.; Tang, Z.; Wang, C.; Yu, P.; Rockwood, K. And mortality in older Chinese adults: Results from the Beijing longitudinal study of aging. J. Nutr. Health Aging 2012, 16, 903–907. [Google Scholar] [CrossRef]
- Hyde, Z.; Flicker, L.; Smith, K.; Atkinson, D.; Fenner, S.; Skeaf, L.; Malay, R.; Giudice, D.L. Prevalence and incidence of frailty in Aboriginal Australians, and associations with mortality and disability. Maturitas 2016, 87, 89–94. [Google Scholar] [CrossRef]
- Shi, J.; Song, X.; Yu, P.; Tang, Z.; Mitnitski, A.; Fang, X.; Rockwood, K. Analysis of frailty and survival from late middle age in the Beijing Longitudinal Study of Aging. BMC Geriatr. 2011, 11, 17. [Google Scholar] [CrossRef]
- Song, X.; Mitnitski, A.; Rockwood, K. Prevalence and 10-Year Outcomes of Frailty in Older Adults in Relation to Deficit Accumulation. J. Am. Geriatr. Soc. 2010, 58, 681–687. [Google Scholar] [CrossRef]
- Petermann-Rocha, F.; Gray, S.R.; Pell, J.P.; Ho, F.K.; Celis-Morales, C. The joint association of sarcopenia and frailty with incidence and mortality health outcomes: A prospective study. Clin. Nutr. 2021, 40, 2427–2434. [Google Scholar] [CrossRef]
- Albala, C.; Lera, L.; Sanchez, H.; Angel, B.; Márquez, C.; Arroyo, P.; Fuentes, P. Frequency of frailty and its association with cognitive status and survival in older Chileans. CIA 2017, 12, 995–1001. [Google Scholar] [CrossRef]
- Ministerio de Salud de Chile. Encuesta Nacional de Salud (2009–2010). Available online: www.minsal.cl (accessed on 1 October 2022).
- Searle, S.D.; Mitnitski, A.; Gahbauer, E.A.; Gill, T.M.; Rockwood, K. A standard procedure for creating a frailty index. BMC Geriatr. 2008, 8, 24. [Google Scholar] [CrossRef]
- Rockwood, K. A global clinical measure of fitness and frailty in elderly people. Can. Med. Assoc. J. 2005, 173, 489–495. [Google Scholar] [CrossRef]
- Alvarado, M.E.; Garmendia, M.L.; Acuña, G.; Santis, R.; Arteaga, O. Validez y confiabilidad de la versión chilena del Alcohol Use Disorders Identification Test (AUDIT). Rev. Méd. Chile 2009, 137, 1463–1468. [Google Scholar] [CrossRef]
- Govindarajulu, U.S.; Malloy, E.J.; Ganguli, B.; Spiegelman, D.; Eisen, E.A. The Comparison of Alternative Smoothing Methods for Fitting Non-Linear Exposure-Response Relationships with Cox Models in a Simulation Study. Int. J. Biostat. 2009, 5, 2. [Google Scholar] [CrossRef]
- Kojima, G.; Iliffe, S.; Walters, K. Frailty index as a predictor of mortality: A systematic review and meta-analysis. Age Ageing 2018, 47, 193–200. [Google Scholar] [CrossRef]
- Kirkwood, T.B.L. Understanding the Odd Science of Aging. Cell 2005, 120, 437–447. [Google Scholar] [CrossRef]
- Wilson, D.; Jackson, T.; Sapey, E.; Lord, J.M. Frailty and sarcopenia: The potential role of an aged immune system. Ageing Res. Rev. 2017, 36, 1–10. [Google Scholar] [CrossRef]
- Hanlon, P.; Nicholl, B.I.; Jani, B.D.; Lee, D.; McQueenie, R.; Mair, F.S. Frailty and pre-frailty in middle-aged and older adults and its association with multimorbidity and mortality: A prospective analysis of 493 737 UK Biobank participants. Lancet Public Health 2018, 3, e323–e332. [Google Scholar] [CrossRef]
- Sezgin, D.; Liew, A.; O’Donovan, M.R.; O’Caoimh, R. Pre-frailty as a multi-dimensional construct: A systematic review of definitions in the scientific literature. Geriatr. Nurs. 2020, 41, 139–146. [Google Scholar] [CrossRef] [PubMed]
- Fan, J.; Yu, C.; Guo, Y.; Bian, Z.; Sun, Z.; Yang, L.; Chen, Y.; Du, H.; Li, Z.; Lei, Y.; et al. Frailty index and all-cause and cause-specific mortality in Chinese adults: A prospective cohort study. Lancet Public Health 2020, 5, e650–e660. [Google Scholar] [CrossRef] [PubMed]
- Jiang, M.; Foebel, A.D.; Kuja, R.; Karlsson, I.; Pedersen, N.L.; Hägg, S.; Jylhävä, J. Frailty index as a predictor of all-cause and cause-specific mortality in a Swedish population-based cohort. Aging 2017, 9, 2629–2646. [Google Scholar] [CrossRef] [PubMed]
- Williams, D.M.; Jylhävä, J.; Pedersen, N.L.; Hägg, S. A Frailty Index for UK Biobank Participants. J. Gerontol. Ser. A 2019, 74, 582–587. [Google Scholar] [CrossRef]
- Gordon, E.H.; Peel, N.M.; Samanta, M.; Theou, O.; Howlett, S.E.; Hubbard, R.E. Sex differences in frailty: A systematic review and meta-analysis. Exp. Gerontol. 2017, 89, 30–40. [Google Scholar] [CrossRef]
- Petermann-Rocha, F.; Martínez-Sanguinetti, M.A.; Leiva-Ordoñez, A.M.; Celis-Morales, C. Carga global de morbilidad y mortalidad atribuible a factores de riesgo entre los años 1990 y 2019: ¿Cuál es la realidad chilena? Rev. Méd. Chile 2021, 149, 484–486. [Google Scholar] [CrossRef]
- UN Economic Commission for Latin America and the Caribbean. Latin America and the Caribbean Demographic Observatory 2019: Population Projections; United Nations: Mexico City, Mexico, 2022; ISBN 9789211220339. [Google Scholar]
- Oksuzyan, A.; Petersen, I.; Stovring, H.; Bingley, P.; Vaupel, J.W.; Christensen, K. The Male–Female Health–Survival Paradox: A Survey and Register Study of the Impact of Sex-Specific Selection and Information Bias. Ann. Epidemiol. 2009, 19, 504–511. [Google Scholar] [CrossRef]



| Total | Robust | Pre-Frail | Frail | p-Value | |
|---|---|---|---|---|---|
| (N = 769) | (N = 1048) | (N = 844) | |||
| % (95%CI) | % (95%CI) | % (95%CI) | |||
| All | 31.5 (28.2–34.8) | 39.2 (35.8–42.5) | 29.3 (26.5–32.3) | ||
| Age (mean, SD) | 55.4 (13.6) | 49.1 (11.1) | 55.9 (13.2) | 60.9 (13.8) | <0.001 |
| Age groups (%) | |||||
| 35–44 | 26.1 (24.5–27.9) | 53.6 (47.2–60.0) | 34.5 (29.3–40.1) | 19.3 (14.9–24.7) | <0.001 |
| 45–54 | 25.5 (23.9–27.2) | 25.4 (20.9–30.6) | 26.7 (22.1–31.9) | 24.5 (19.7–29.9) | |
| 55–64 | 21.3 (19.8–22.9) | 13.5 (10.1–17.9) | 18.6 (15.2–22.7) | 24.4 (20.2–29.2) | |
| 65–74 | 15.6 (14.3–17.1) | 5.3 (3.1–8.8) | 13.7 (10.6–17.7) | 16.8 (13.3–21.1) | |
| 75 and older | 11.3 (10.2–12.5) | 2.1 (0.9–4.1) | 6.3 (4.3–9.1) | 14.9 (11.3–19.2) | |
| Sex (%) | |||||
| Men | 40.7 (38.9–42.6) | 63.1 (56.8–68.9) | 48.2 (42.7–53.6) | 30.2 (24.9–36.1) | <0.001 |
| Women | 59.3 (57.3–61.1) | 36.9 (31–43.2) | 51.8 (46.4–57.2) | 69.8 (63.9–75.1) | |
| Years of education (%) | |||||
| ≤8 years | 36.4 (34.6–38.2) | 28.3 (22.8–34.5) | 36.5 (31.8–41.5) | 54.6 (48.9–60.3) | 0.003 |
| 9–12 years | 47.9 (46–49.8) | 43.7 (37.4–50.3) | 38.4 (33.4–43.7) | 36.1 (30.6–42.1) | |
| >12 years | 15.7 (14.3–17.1) | 27.9 (21.8–35.1) | 25 (19.9–30.9) | 9.2 (6.6–12.6) | |
| Place of residence (%) | |||||
| Urban | 83.9 (82.5–85.3) | 89.5 (86.3–92.1) | 86.8 (83.8–89.2) | 83.7 (79.6–87.1) | 0.872 |
| Rural | 16.1 (14.7–17.5) | 10.5 (7.9–13.7) | 13.3 (10.8–16.2) | 16.3 (12.9–20.4) | |
| Smoking (%) | |||||
| Never | 28.2 (26.6–30.1) | 40.2 (33.9–46.9) | 33.2 (28.7–38.1) | 36.5 (31.5–41.9) | 0.638 |
| Previous | 42.1 (40.1–43.9) | 22.5 (17.8–27.8) | 33.2 (28.2–38.7) | 28.6 (24.1–33.6) | |
| Current | 29.7 (28–31.5) | 37.2 (30.8–44.1) | 33.5 (28.4–39) | 34.8 (29.3–40.8) | |
| AUDIT Score (%) | |||||
| Low risk | 92.5 (91.4–93.4) | 90.5 (86.6–93.5) | 91.5 (88.3–93.9) | 93 (89.5–95.4) | 0.761 |
| Moderate risk | 5.9 (5.1–6.8) | 7.9 (5.2–11.7) | 6.8 (4.7–9.7) | 4.1 (2.6–6.5) | |
| High risk | 1.0 (0.6–1.5) | 1.1 (0.3–3.3) | 1.4 (0.5–3.5) | 1.2 (0.2–5.9) | |
| Dependence | 0.6 (0.4–1.0) | 0.4 (0.1–1.5) | 0.2 (0.04–0.8) | 1.6 (0.7–3.5) | |
| Mortality, yes (%) | 11.5 (10.3–12.7) | 2.6 (1.5–4.5) | 7.1 (1.5–9.7) | 15.2 (12.1–18.9) | <0.001 |
| Model 1 | Model 2 | Model 3 | ||
|---|---|---|---|---|
| HR (95% CI) | HR (95% CI) | HR (95% CI) | p-Interaction | |
| Overall (N = 2661) | - | |||
| Robust (Ref.) | 1.00 | 1.00 | 1.00 | |
| Pre-frail | 2.34 (1.57–3.49) | 1.28 (0.85–3.51) | 1.28 (0.85–1.92) | |
| Frail | 5.51 (3.78–8.04) | 2.35 (1.58–3.51) | 2.35 (1.57–3.51) | |
| Men (N = 1085) | p < 0.001 | |||
| Robust (Ref.) | 1.00 | 1.00 | 1.00 | |
| Pre-frail | 2.23 (1.41–3.52) | 1.24 (0.78–1.99) | 1.25 (0.78–1.99) | |
| Frail | 5.55 (3.54–8.69) | 2.05 (1.28–3.29) | 2.06 (1.28–3.30) | |
| Women (N = 1576) | ||||
| Robust (Ref.) | 1.00 | 1.00 | 1.00 | |
| Pre-frail | 4.62 (1.83–11.6) | 1.88 (0.74–4.79) | 1.86 (0.73–4.73) | |
| Frail | 12.84 (5.24–31.5) | 3.67 (1.47–9.10) | 3.59 (1.44–8.93) | |
| Age 35 to 59 years (N = 1668) | p < 0.001 | |||
| Robust (Ref.) | 1.00 | 1.00 | 1.00 | |
| Pre-frail | 1.69 (0.77–3.70) | 1.76 (0.79–3.88) | 1.72 (0.78–3.80) | |
| Frail | 3.60 (1.70–7.60) | 3.84 (1.73–8.54) | 3.54 (1.58–7.90) | |
| Age ≥ 60 years (N = 993) | ||||
| Robust (Ref.) | 1.00 | 1.00 | 1.00 | |
| Pre-frail | 1.26 (0.79–2.02) | 1.31 (0.81–2.11) | 1.31 (0.81–2.12) | |
| Frail | 2.41 (1.54–3.78) | 2.61 (1.65–4.12) | 2.62 (1.65–4.14) | |
Disclaimer/Publisher’s Note: The statements, opinions and data contained in all publications are solely those of the individual author(s) and contributor(s) and not of MDPI and/or the editor(s). MDPI and/or the editor(s) disclaim responsibility for any injury to people or property resulting from any ideas, methods, instructions or products referred to in the content. |
© 2023 by the authors. Licensee MDPI, Basel, Switzerland. This article is an open access article distributed under the terms and conditions of the Creative Commons Attribution (CC BY) license (https://creativecommons.org/licenses/by/4.0/).
Share and Cite
Diaz-Toro, F.; Nazar, G.; Troncoso, C.; Concha-Cisternas, Y.; Leiva-Ordoñez, A.M.; Martinez-Sanguinetti, M.A.; Parra-Soto, S.; Lasserre-Laso, N.; Cigarroa, I.; Mardones, L.; et al. Frailty Index as a Predictor of Mortality in Middle-Aged and Older People: A Prospective Analysis of Chilean Adults. Int. J. Environ. Res. Public Health 2023, 20, 1195. https://doi.org/10.3390/ijerph20021195
Diaz-Toro F, Nazar G, Troncoso C, Concha-Cisternas Y, Leiva-Ordoñez AM, Martinez-Sanguinetti MA, Parra-Soto S, Lasserre-Laso N, Cigarroa I, Mardones L, et al. Frailty Index as a Predictor of Mortality in Middle-Aged and Older People: A Prospective Analysis of Chilean Adults. International Journal of Environmental Research and Public Health. 2023; 20(2):1195. https://doi.org/10.3390/ijerph20021195
Chicago/Turabian StyleDiaz-Toro, Felipe, Gabriela Nazar, Claudia Troncoso, Yeny Concha-Cisternas, Ana Maria Leiva-Ordoñez, Maria Adela Martinez-Sanguinetti, Solange Parra-Soto, Nicole Lasserre-Laso, Igor Cigarroa, Lorena Mardones, and et al. 2023. "Frailty Index as a Predictor of Mortality in Middle-Aged and Older People: A Prospective Analysis of Chilean Adults" International Journal of Environmental Research and Public Health 20, no. 2: 1195. https://doi.org/10.3390/ijerph20021195
APA StyleDiaz-Toro, F., Nazar, G., Troncoso, C., Concha-Cisternas, Y., Leiva-Ordoñez, A. M., Martinez-Sanguinetti, M. A., Parra-Soto, S., Lasserre-Laso, N., Cigarroa, I., Mardones, L., Vásquez-Gómez, J., Petermann-Rocha, F., Diaz-Martinez, X., & Celis-Morales, C., on behalf of ELHOC Research Consortium. (2023). Frailty Index as a Predictor of Mortality in Middle-Aged and Older People: A Prospective Analysis of Chilean Adults. International Journal of Environmental Research and Public Health, 20(2), 1195. https://doi.org/10.3390/ijerph20021195

