Biodegradation of Some Organic Materials in Soils and Soil Constructions: Experiments, Modeling and Prevention
Abstract
1. Introduction
- Determination of the rate of destruction of peat in laboratory incubation experiments, depending on the control factors of temperature and humidity, and mathematical modeling of their effects;
- Quantitative evaluation of biodegradation of different types of strongly swelling polymer hydrogels in laboratory incubation experiments under the influence of inhibitors of biological activity based on ions and silver nanoparticles;
- Quantitative assessment of the effect of soil conditioners and their biodegradation on the physical state and water-retaining capacity of soils;
- Determination of the intensity of destruction of biopolymer materials in the field;
- Determination of the dependence of biological activity of soils on depth, justification and verification of the nomographs method for estimating the reduction of biodegradation of soil conditioners at a given depth of soil.
2. Materials and Methods
3. Results
3.1. The Study and Modeling of Peat Biodegradation
3.2. The Study and Modeling of the Hydrogel’s Biodegradation
3.3. Dynamics of Technological Properties of Soil-Modifiers under the Influence of Biodegradation
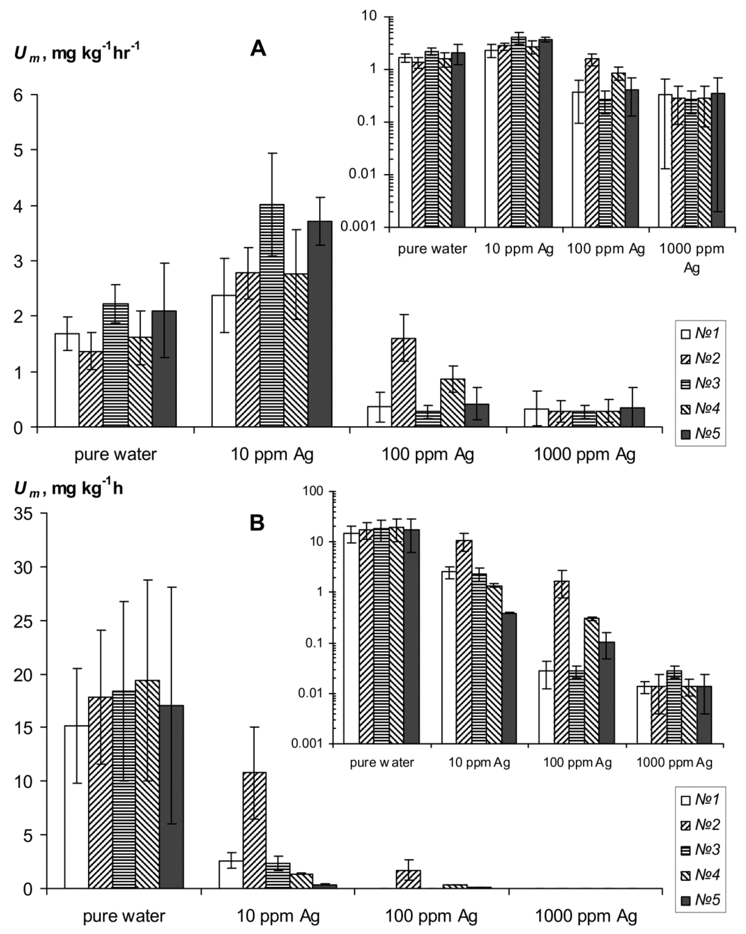
3.4. Inhibition of Hydrogels Biodegradation by Silver Remedies
3.5. Dependence of Biodegradation Rate on Soil Depth and Nomographs for Assessing the Stability of Biopolymers in Urban Soil Design
4. Discussion
4.1. Biodegradation of Peat
4.2. Biodegradation of Synthetic Hydrogels and Their Components
4.3. Dependence of Biodegradation Intensity on Soil Depth
5. Conclusions
- Biodegradation of organic soil conditioners in biologically and chemically active soil environment is the main factor reducing their effectiveness and quality, most notably including water-retention capacity.
- Traditionally used in urban landscaping, peat-based soil modifiers in Moscow conditions lose up to 50–60% of organic matter during the first year due to intensive biodegradation with a half-life T0.5 about 1 year and T0.95 not more than 4 years.
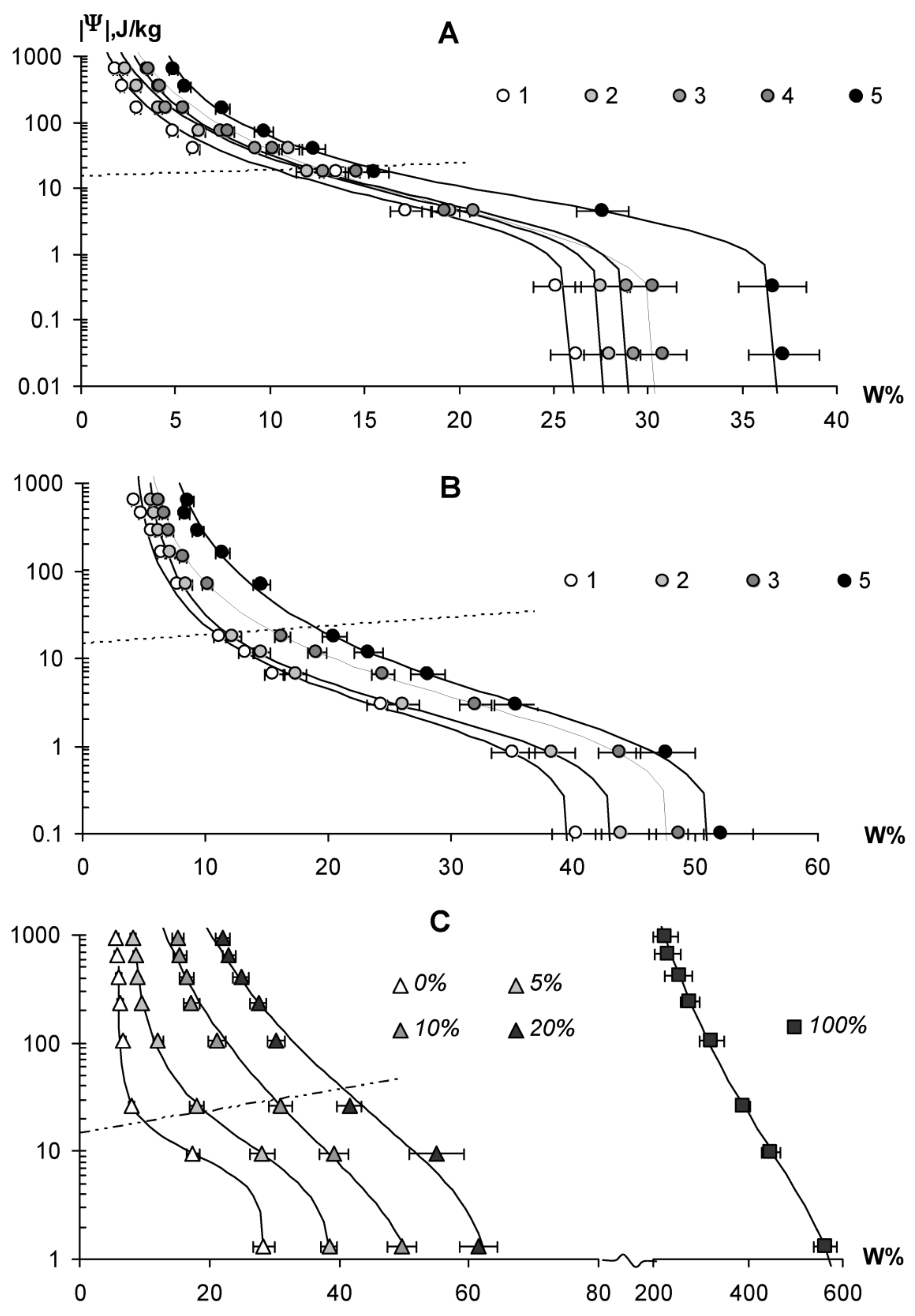
- Incubation experiments with natural and synthetic polymers revealed an exponential dependence of the rate of biodegradation from temperature and more complicated dependence from humidity with a maximum near 0.6–0.7 Ws (soil water saturation). For its description, a new two-parameter empirical model is proposed.
- Modern soil conditioners in the form of synthetic polymeric hydrogels based on polyacrylamide and acrylates are susceptible to microbial degradation and are characterized by half-lives of 0.5 to 2.6 years (to 5.2 ± 1.5 years in the case of the SSPH filling by dispersed peat).
- Mixing hydrogel compositions with a mineral soil substrate and putrefactive micro-organisms leads to a sharp increase of biological activity and biodegradation of SSPH; their half-lives not exceed one year.
- The protective composition on the basis of hydrogels and silver inhibitors are more resistant to biodegradation. Calculated half-lives in them with a small dose of silver in 10 ppm range from five to 30 years, and with large doses of 100–1000 ppm can reach 25–50 years and above. Silver nanoparticles have generally stronger inhibitory effect compared to ions.
- The rapid (exponential) decrease in the intensity of biodegradation with the depth of the soil makes it possible significantly (2–4 times or more) increase the stability of organic soil-modifiers if they are located at a distance from the soil surface in the process of creating a layered urban constructozems.
6. Patents
Author Contributions
Funding
Acknowledgments
Conflicts of Interest
References
- Bellamy, P.H.; Loveland, P.J.; Bradley, R.I.; Lark, R.M.; Kirk, G.J.D. Carbon losses from all soils across England and Wales 1978–2003. Nature 2005, 437, 245–248. [Google Scholar] [CrossRef] [PubMed]
- Certini, G.; Scalenghe, R. Soils: Basic Concepts and Future Challenges; Certini, G., Scalenghe, R., Eds.; Cambridge University Press: Cambridge, UK, 2006; 310p, ISBN 10 0-521-85173-4. [Google Scholar]
- Torn, M.S.; Swanston, C.W.; Castanha, C.; Trumbore, S.E. Storage and turnover of organic matter in soil. In Biophysico-Chemical Processes Involving Natural Nonliving Organic Matter in Environmental Systems; Senesi, N., Xing, B., Huang, P.M., Eds.; Wiley: Hoboken, NJ, USA, 2009; pp. 219–272. [Google Scholar]
- Smagin, A.V. Teoria i Praktika Construirovania Pochv [Theory and Practice of Soil Engeneering]; Moscow State University Press: Moscow, Russia, 2012; 544p, (In Russian). ISBN 978-5-211-06299-3. [Google Scholar]
- Smagin, A.V.; Sadovnikova, N.B.; Smagina, M.V. Biodestruction of strongly swelling polymer hydrogels and its effect on the water retention capacity of soils. Eurasian Soil Sci. 2014, 47, 591–597. [Google Scholar] [CrossRef]
- Smagin, A.V. Theory of soil stability. Eurasian Soil Sci. 1994, 27, 17–32. [Google Scholar]
- Andren, O.; Katterer, T. ICBM: The introductory carbon balance model for exploration of soil carbon balances. Ecol. Appl. 1997, 7, 1226–1236. [Google Scholar] [CrossRef]
- Raich, J.W.; Schlesinger, W.H. The global carbon dioxide flux in soil respiration and its relationship to vegetation and climate. Tellus Ser. B Chem. Phys. Meteorol. 1992, 44, 81–99. [Google Scholar] [CrossRef]
- Silver, W.L. The potential effects of elevated CO2 and climate change on tropical forest soils and biogeochemical cycling. Clim. Chang. 1998, 39, 337–361. [Google Scholar] [CrossRef]
- Bridges, E.M.; Batjes, N.H. Soil gaseous emissions and global climate change. Geography 1996, 81, 155–169. [Google Scholar]
- Chichagova, O.A. Modern trends in radiocarbon studies of organic matter of soils. Eurasian Soil Sci. 1996, 29, 89–100. [Google Scholar]
- Tribis, V.P. Estimation of the peaty soils organic matter mineralization rate. Sov. Soil Sci. 1990, 23, 105–110. [Google Scholar]
- Murasyama, S.; Abu Bakar, Z. Decomposition of tropical peat soils. JARQ 1996, 30, 145–158. [Google Scholar]
- Cadisch, G.; Giller, K.E. Driven by Nature: Plant Litter Quality and Decomposition; Cab International: Wallingford, UK, 1997; 409p. [Google Scholar]
- Yule, C.M.; Gomez, L.N. Leaf litter decomposition in a tropical peat swamp forest in Peninsular Malaysia. Wetl. Ecol. Manag. 2009, 17, 231–241. [Google Scholar] [CrossRef]
- Bambalov, N.N. Balance of the Organic Matter of Peat Soils and Methods of Its Study; Science and Technology: Minsk, Russia, 1984; 175p. (In Russian) [Google Scholar]
- Thevenot, M.; Dignac, M.F.; Rumpel, C. Fate of lignins in soils: A review. Soil Biol. Biochem. 2010, 42, 1200–1211. [Google Scholar] [CrossRef]
- Fontaine, S.; Mariotti, A.; Abbadie, L. The priming effect of organic matter: A question of microbial competition? Soil Biol. Biochem. 2003, 35, 837–843. [Google Scholar] [CrossRef]
- Kuzyakov, Y.; Bogomolova, I.; Glaser, B. Biochar stability in soil: Decomposition during eight years and transformation as assessed by compound-specific 14C analysis. Soil Biol. Biochem. 2014, 70, 229–236. [Google Scholar] [CrossRef]
- Smagin, A.V. Biological oxygen demand in soils and hydrogel compositions for plant protection of the rhizosphere. IOP Conf. Ser. Earth Environ. Sci. 2018, 121, 022038. [Google Scholar] [CrossRef]
- Smagin, A.V.; Sadovnikova, N.B. Creation of Soil-Like Constructions. Eurasian Soil Sci. 2015, 48, 981–990. [Google Scholar] [CrossRef]
- Campbell, G.S. Soil Physics with BASIC; Elsevier Science: Amsterdam, The Netherlands, 1985; 268p. [Google Scholar]
- Smagin, A.V. Thermodynamic evaluation of the impact of strongly swelling polymer hydrogels with ionic silver on the water retention capacity of sandy substrate. IOP Conf. Ser. Earth Environ. Sci. 2017, 52, 012087. [Google Scholar] [CrossRef]
- Krutyakov, Y.; Kudrinskiy, A.; Zherebin, P.; Yapryntsev, A.; Pobedinskaya, M.; Elansky, S.; Denisov, A.; Mikhaylov, D.; Lisichkin, G. Tallow amphopolycarboxyglycinate-stabilized silver nanoparticles: New frontiers in development of plant protection products with a broad spectrum of action against phytopathogens. Mater. Res. Express 2016, 3, 075403. [Google Scholar] [CrossRef]
- Creamer, R.E.; Schulte, R.P.O.; Stone, D. Measuring basal soil respiration across Europe: Do incubation temperature and incubation period matter? Ecol. Indic. 2014, 36, 409–418. [Google Scholar] [CrossRef]
- Vasenev, V.I.; Smagin, A.V.; Ananyeva, N.D.; Ivashchenko, K.V.; Gavrilenko, E.G.; Prokofeva, T.V.; Patlseva, A.; Stoorvogel, J.J.; Gosse, D.D.; Valentini, R. Urban Soil’s Functions: Monitoring, Assessment, and Management. In Adaptive Soil Management: From Theory to Practices; Rakshit, A., Abhilash, P.C., Singh, H.B., Ghosh, S., Eds.; Springer: Singapore, 2017; pp. 359–409. [Google Scholar]
- ISO 16072. Soil Quality—Laboratory Methods for Determination of Microbial Soil Respiration; International Organization for Standardization: Geneva, Switzerland, 2002. [Google Scholar]
- Smagin, A.V. Theory and methods of evaluating the physical status of soils. Eurasian Soil Sci. 2003, 36, 301–312. [Google Scholar]
- Van Genuchten, M.T. A closed form equation for predicting the hydraulic conductivity of unsaturated soils. Soil Sci. Soc. Am. J. 1980, 44, 892–898. [Google Scholar] [CrossRef]
- Bogatyrev, L.G.; Smagin, A.V.; Akishina, M.M.; Vityazev, V.G. Geographical aspects of forest litters. Mosc. Univ. Soil Sci. Bull. 2013, 68, 26–31. [Google Scholar] [CrossRef]
- Latter, P.M.; Howson, G.; Howard, D.M.; Scott, W.A. Long-term study of litter decomposition on a pennine peat bog: Which regression? Oecologia 1997, 113, 94–103. [Google Scholar] [CrossRef] [PubMed]
- Manzoni, S.; Pineiro, G.; Jackson, R.B.; Jobbagy, E.G.; Kim, J.H.; Porporato, A. Analytical models of soil and litter decomposition: Solutions for mass loss and time-dependent decay rates. Soil Biol. Biochem. 2012, 50, 66–76. [Google Scholar] [CrossRef]
- Heller, C.; Zeitz, J. Stability of soil organic matter in two northeastern German fen soils: The influence of site and soil development. J. Soils Sediments 2012, 12, 1231–1240. [Google Scholar] [CrossRef]
- Kaye, J.P.; McCulley, R.L.; Burke, I.C. Carbon fluxes, nitrogen cycling, and soil microbial communities in adjacent urban, native and agricultural ecosystems. Glob. Chang. Biol. 2005, 11, 575–587. [Google Scholar] [CrossRef]
- Pouyat, R.V.; Yesilonis, I.D.; Nowak, D.J. Carbon storage by urban soils in the United States. J. Environ. Qual. 2006, 35, 566–575. [Google Scholar] [CrossRef] [PubMed]
- Decina, S.M.; Hutyra, L.R.; Gately, C.K.; Getson, J.M.; Reinmann, A.B.; Gianotti, A.G.; Templer, P.H. Soil respiration contributes substantially to urban carbon fluxes in the greater Boston area. Environ. Pollut. 2016, 2012, 433–439. [Google Scholar] [CrossRef] [PubMed]
- Davidson, E.A.; Janssens, I.A. Temperature sensitivity of soil carbon decomposition and feedbacks to climate change. Nature 2006, 440, 165–173. [Google Scholar] [CrossRef] [PubMed]
- Delarue, F.; Gogo, S.; Buttler, A.; Bragazza, L.; Jassey, V.E.J.; Bernard, G. Indirect effects of experimental warming on dissolved organic carbon content in subsurface peat. J. Soils Sediments 2014, 14, 1800–1805. [Google Scholar] [CrossRef]
- Oke, T.R. The heat island of the urban boundary layer: Charcteristics, causes and effects. In Wind Climate in Cities; Cermak, J.E., Ed.; Kluwer Academic: Dordrecht, The Netherlands, 1995; pp. 81–107. [Google Scholar]
- Lentz, R.D.; Andrawes, F.F.; Barvenik, F.W.; Koehn, A.C. Acrylamide monomer leaching from polyacrylamide-treated irrigation furrows. J. Environ. Qual. 2008, 37, 2293–2298. [Google Scholar] [CrossRef] [PubMed]
- Lande, S.S.; Bosch, S.J.; Howard, P.H. Degradation and leaching of acrylamide in soil. J. Environ. Qual. 1979, 8, 133–137. [Google Scholar] [CrossRef]
- Abdelmagid, H.M.; Tabatabai, M.A. Decomposition of acrylamide in soils. J. Environ Qual. 1982, 11, 701–704. [Google Scholar] [CrossRef]
- Shanker, R.; Ramakrishna, C.; Seth, P.K. Microbial degradation of acrylamide monomer. Arch. Microb. 1990, 154, 192–198. [Google Scholar] [CrossRef]
- Kay-Shoemake, J.L.; Watwood, M.E.; Sojka, R.E.; Lentz, R.D. Polyacrylamide as a substrate for microbial amidase in culture and in soil. Soil Biol. Biochem. 1998, 30, 1647–1654. [Google Scholar] [CrossRef]
- Sojka, R.E.; Entry, J.A. Influence of polyacrylamide application to soil on movement of microorganisms in runoff water. Environ. Pollut. 2000, 108, 405–412. [Google Scholar] [CrossRef]
- Barvenik, F.W. Polyacrylamide characteristics related to soil applications. Soil Sci. 1994, 158, 235–243. [Google Scholar] [CrossRef]
- Basanta, M.R.; Diaz-Ravina, M.; Gonzalez-Prieto, S.J.; Carballas, T. Biochemical properties of forest soils as affected by a fire retardant. Biol. Fertil. Soils 2002, 36, 377–383. [Google Scholar]
- De Lucca, J.; Boue, S.; Sien, T.; Cleveland, T.E.; Walsh, T.J. Silver enhances the in vitro antifungal activity of the saponin, CAY-1. Mycoses 2011, 54, e1–e8. [Google Scholar] [CrossRef] [PubMed]
- Rai, M.K.; Deshmukh, S.D.; Ingle, A.P.; Gade, A.K. Silver nanoparticles: The powerful nanoweapon against multidrug-resistant bacteria. J. Appl. Microbiol. 2012, 112, 841–852. [Google Scholar] [CrossRef] [PubMed]
- Kim, S.W.; Jung, J.H.; Lamsal, K.; Kim, Y.S.; Min, J.S.; Lee, Y.S. Antifungal effect of silver nanoparticles (AgNPs) against various plant pathogenic fungi. Mycobiology 2012, 40, 53–58. [Google Scholar] [CrossRef] [PubMed]
- Langdon, K.A.; McLaughlin, M.J.; Kirby, J.K.; Merrington, G. Influence of soil properties and soil leaching on the toxicity of ionic silver to plants. Environ. Toxicol. Chem. 2015, 34, 2503–2512. [Google Scholar] [CrossRef] [PubMed]
- Schlich, K.; Klawonn, T.; Terytze, K.; Hund-Rinke, K. Effects of silver nanoparticles and silver nitrate in the earthworm reproduction test. Environ. Toxicol. Chem. 2013, 32, 181–188. [Google Scholar] [CrossRef] [PubMed]
- Zaidel’man, F.R.; Kozhevin, P.A.; Shvarov, A.P.; Pavlova, E.B.; Gorlenko, M.V. The effect of different sanding methods on the biological activity and gas regime of drained peat soils. Eurasian Soil Sci. 2001, 34, 207–217. [Google Scholar]
- Jarvis, N.J. The MACRO Model (Version 3.1). Technical Description and Sample Simulations; Reports and Dissertations 19; Department of Soil Science, Swedish University of Agricultural Science: Uppsala, Sweden, 1994; 51p. [Google Scholar]
- Vroman, I.; Tighzert, L. Biodegradable polymers. Materials 2009, 2, 307–344. [Google Scholar] [CrossRef]








© 2018 by the authors. Licensee MDPI, Basel, Switzerland. This article is an open access article distributed under the terms and conditions of the Creative Commons Attribution (CC BY) license (http://creativecommons.org/licenses/by/4.0/).
Share and Cite
Smagin, A.V.; Sadovnikova, N.B.; Vasenev, V.I.; Smagina, M.V. Biodegradation of Some Organic Materials in Soils and Soil Constructions: Experiments, Modeling and Prevention. Materials 2018, 11, 1889. https://doi.org/10.3390/ma11101889
Smagin AV, Sadovnikova NB, Vasenev VI, Smagina MV. Biodegradation of Some Organic Materials in Soils and Soil Constructions: Experiments, Modeling and Prevention. Materials. 2018; 11(10):1889. https://doi.org/10.3390/ma11101889
Chicago/Turabian StyleSmagin, Andrey V., Nadezhda B. Sadovnikova, Vyacheslav I. Vasenev, and Marina V. Smagina. 2018. "Biodegradation of Some Organic Materials in Soils and Soil Constructions: Experiments, Modeling and Prevention" Materials 11, no. 10: 1889. https://doi.org/10.3390/ma11101889
APA StyleSmagin, A. V., Sadovnikova, N. B., Vasenev, V. I., & Smagina, M. V. (2018). Biodegradation of Some Organic Materials in Soils and Soil Constructions: Experiments, Modeling and Prevention. Materials, 11(10), 1889. https://doi.org/10.3390/ma11101889

