The Influence of Zn Substitution on Physical Properties of CoFe2O4 Nanoparticles
Abstract
1. Introduction
2. Materials and Methods
2.1. Samples Preparation
2.2. Characterization
3. Results
3.1. Morphology and Crystal Structure
3.2. Raman Spectra
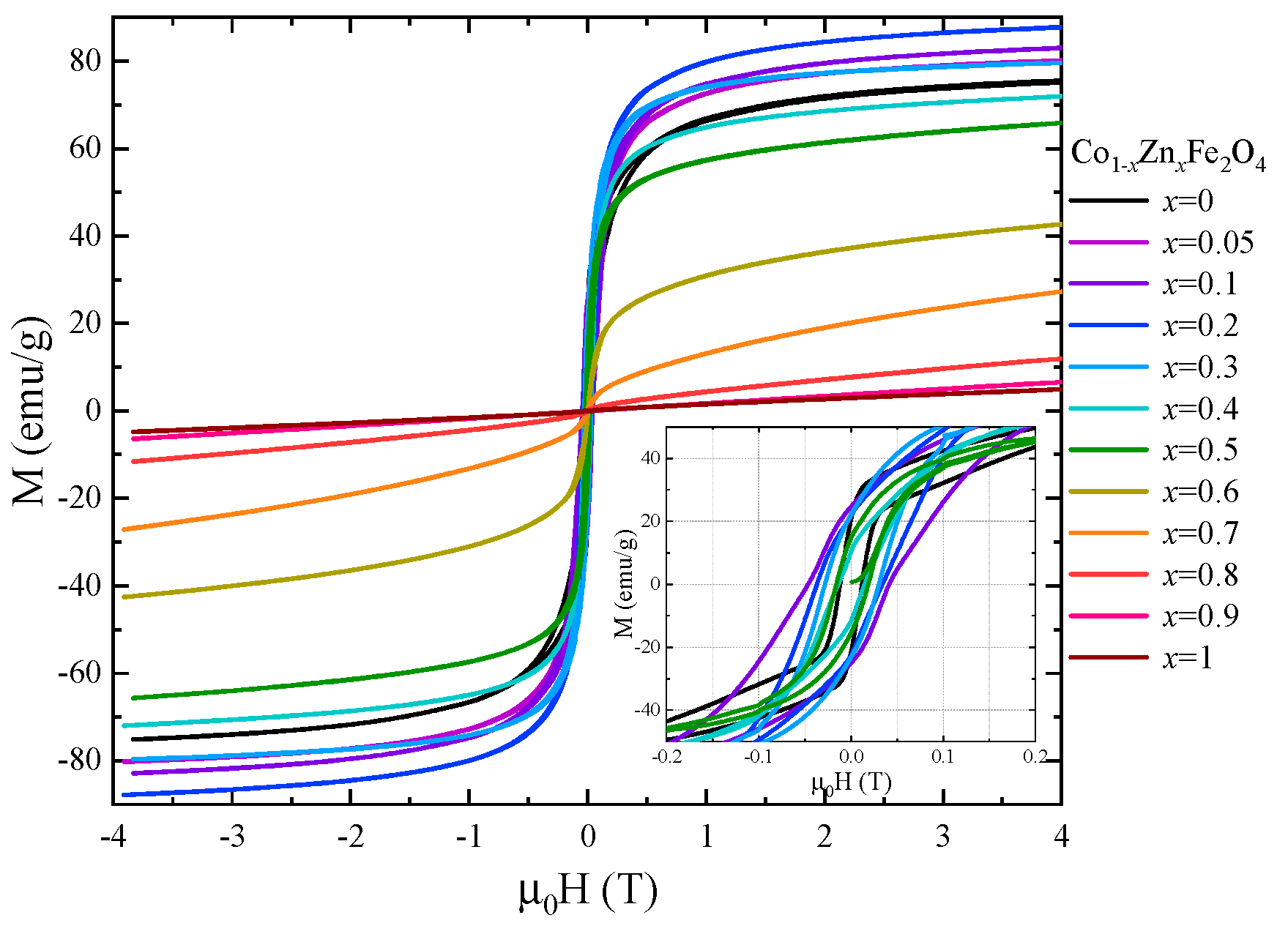
3.3. Magnetic Measurements
4. Conclusions
Supplementary Materials
Author Contributions
Funding
Data Availability Statement
Conflicts of Interest
References
- Ibrahim, K.; Saeed, K. Khan Idrees Nanoparticles: Properties, applications and toxicities. Arab. J. Chem. 2019, 12, 908–931. [Google Scholar] [CrossRef]
 - Jeevanandam, J.; Barhoum, A.; Chan, Y.S.; Dufresne, A.; Danquah, M.K. Review on nanoparticles and nanostructured materials: History, sources, toxicity and regulations. Beilstein J. Nanotechnol. 2018, 9, 1050–1074. [Google Scholar] [CrossRef] [PubMed]
 - Sagayaraj, R.; Aravazhi, S.; Chandrasekaran, G. Review on structural and magnetic properties of (Co–Zn) ferrite nanoparticles. Int. Nano Lett. 2021, 11, 307–319. [Google Scholar] [CrossRef]
 - Thakur, P.; Chahar, D.; Taneja, S.; Bhalla, N.; Thakur, A. A review on MnZn ferrites: Synthesis, characterization and applications. Ceram. Int. 2020, 46, 15740–15763. [Google Scholar] [CrossRef] [PubMed]
 - Balanov, V.A.; Kiseleva1, A.P.; Krivoshapkina, E.F.; Kashtanov, E.A.; Gimaev, R.R.; Zverev, V.I.; Krivoshapkin, P.V. Synthesis of (Mn(1−x)Znx)Fe2O4 nanoparticles for magnetocaloric applications. J. Sol.-Gel. Sci. Technol. 2020, 95, 795–800. [Google Scholar] [CrossRef]
 - Krishna, V.D.; Wu, K.; Perez, A.M.; Wang, J.P. Giant magnetoresistance-based biosensor for detection of influenza A virus. Front. Microbiol. 2016, 7, 400. [Google Scholar] [CrossRef] [PubMed]
 - Srinivasan, Y.S.; Kishore, M.; Paknikar, K.M.; Bodas, D.; Gajbhiye, V. Applications of cobalt ferrite nanoparticles in biomedical nanotechnology. Nanomedicine 2018, 13, 10. [Google Scholar] [CrossRef]
 - Kazemi, M.; Ghobadi, M.; Mirzaie, A. Cobalt ferrite nanoparticles (CoFe2O4 MNPs) as catalyst and support: Magnetically recoverable nanocatalysts in organic synthesis. Nanotechnol. Rev. 2018, 7, 43–68. [Google Scholar] [CrossRef]
 - Nayeem, F.; Parveez, A.; Chaudhuri, A.; Sinha, R.; Khader, S.A. Effect of Zn+2 doping on structural, dielectric and electrical properties of cobalt ferrite prepared by auto combustion method. Mater. Today Proc. 2017, 4, 12138–12143. [Google Scholar] [CrossRef]
 - Xi, G.; Xi, Y. Effects on magnetic properties of different metal ions substitution cobalt ferrite synthesis by sol-gel auto-combustion route using used batteries. Mater. Lett. 2016, 164, 444–448. [Google Scholar] [CrossRef]
 - Iacovita, C.; Florea, A.; Scorus, L.; Pall, E.; Dudric, R.; Moldovan, A.I.; Stiufiuc, R.; Tetean, R.; Lucaciu, C.M. Hyperthermia, Cytotoxicity, and Cellular Uptake Properties of Manganese and Zinc Ferrite Magnetic Nanoparticles Synthesized by a Polyol-Mediated Process. Nanomaterials 2019, 9, 1489. [Google Scholar] [CrossRef] [PubMed]
 - Tatarchuk, T.R.; Paliychuk, N.D.; Bououdina, M.; Al-Najar, B.; Pacia, M.; Macyk, W.; Shyichuk, A. Effect of cobalt substitution on structural, elastic, magnetic and optical properties of zinc ferrite nanoparticles. J. Alloys Comp. 2018, 731, 1256–1266. [Google Scholar] [CrossRef]
 - Naik, M.M.; Naik, H.B.; Nagaraju, G.; Vinuth, M.; Vinu, K.; Viswanath, R. Green synthesis of zinc doped cobalt ferrite nanoparticles: Structural, optical, photocatalytic and antibacterial studies. Nano-Struct. Nano-Objects 2019, 19, 100322. [Google Scholar] [CrossRef]
 - Chakradhary, V.K.; Ansari, A.; Akhtar, M.J. Design, synthesis and testing of high coercivity cobalt doped nickel ferrite nanoparticles for magnetic applications. J. Magn. Magn. Mater. 2019, 469, 674–680. [Google Scholar] [CrossRef]
 - Dippong, T.; Levei, E.A.; Cadar, O. Recent Advances in Synthesis and Applications of MFe2O4 (M = Co, Cu, Mn, Ni, Zn) Nanoparticles. Nanomaterials 2021, 11, 1560. [Google Scholar] [CrossRef]
 - Kaur, H.; Singh, A.; Kumar, A.; Ahlawat, D.S. Structural, thermal and magnetic investigations of cobalt ferrite doped with Zn2+ and Cd2+ synthesized by auto combustion method. J. Magn. Magn. Mater. 2019, 474, 505–511. [Google Scholar] [CrossRef]
 - Xiong, Q.Q.; Tu, J.P.; Shi, S.J.; Liu, X.Y.; Wang, X.L.; Gu, C.D. Ascorbic acid-assisted synthesis of cobalt ferrite (CoFe2O4) hierarchical flower-like microspheres with enhanced lithium storage properties. J. Power Sources 2014, 256, 153–159. [Google Scholar] [CrossRef]
 - Torkian, S.; Ghasemi, A.; Razavi, R.S. Cation distribution and magnetic analysis of wideband microwave absorptive CoxNi1−xFe2O4 ferrites. Ceram. Int. 2017, 43, 6987–6995. [Google Scholar] [CrossRef]
 - Mahala, C.; Sharma, M.D.; Basu, M. 2D nanostructures of CoFe2O4 and NiFe2O4: Efficient oxygen evolution catalyst. Electrochim. Acta 2018, 273, 462–473. [Google Scholar] [CrossRef]
 - Manikandan, A.; Sridhar, R.; Arul, S.A.; Ramakrishna, S. A simple aloe vera plant-extracted microwave and conventional combustion synthesis: Morphological, optical, magnetic and catalytic properties of CoFe2O4 nanostructures. J. Molec. Struct. 2014, 1076, 188–200. [Google Scholar] [CrossRef]
 - Li, X.; Sun, Y.; Zong, Y.; Wei, Y.; Liu, X.; Li, X.; Peng, Y.; Zheng, X. Size-effect induced cation redistribution on the magnetic properties of well-dispersed CoFe2O4 nanocrystals. J. Alloy Comp. 2020, 841, 155710. [Google Scholar] [CrossRef]
 - Nlebedim, I.C.; Snyder, J.E.; Moses, A.J.; Jiles, D.C. Dependence of the magnetic and magnetoelastic properties of cobalt ferrite on processing parameters. J. Magn. Magn. Mater. 2010, 322, 3938–3942. [Google Scholar] [CrossRef]
 - Muhammad, A.; Sato-Turtelli, R.; Kriegisch, M.; Grössinger, R.; Kubel, F.; Konegger, T. Large enhancement of magnetostriction due to compaction hydrostatic pressure and magnetic annealing in CoFe2O4. J. App. Phys. 2012, 111, 013918. [Google Scholar] [CrossRef]
 - Köseoğlu, Y.; Alan, F.; Tan, M.; Yilgin, R.; Öztürk, M. Low temperature hydrothermal synthesis and characterization of Mn doped cobalt ferrite nanoparticles. Ceram. Int. 2012, 38, 3625–3634. [Google Scholar] [CrossRef]
 - Dippong, T.; Levei, E.A.; Cadar, O. Investigation of Structural, Morphological and magnetic properties of MFe2 O4 (M = Co, Ni, Zn, Cu, Mn) obtained by thermal decomposition. Int. J. Mol. Sci. 2022, 23, 8483. [Google Scholar] [CrossRef]
 - Wang, L.; Li, F.-S. Structural and magnetic properties of Co1−xZnxFe2O4 nanoparticles. Chin. Phys. B 2008, 17, 1858. [Google Scholar] [CrossRef]
 - Slatineanu, T.; Iordan, A.R.; Oancea, V.; Palamaru, M.N.; Dumitru, I.; Constantin, C.P.; Caltun, O.F. Magnetic and dielectric properties of Co–Zn ferrite. Mater. Sci. Eng. B 2013, 178, 1040–1047. [Google Scholar] [CrossRef]
 - Atif, M.; Asghar, M.W.; Nadeem, M.; Khalid, W.; Ali, Z.; Badshah, S. Synthesis and investigation of structural, magnetic and dielectric properties of zinc substituted cobalt ferrites. J. Phys. Chem. Solids 2018, 123, 36–42. [Google Scholar] [CrossRef]
 - Tanaka, K.; Makita, M.; Shimizugawa, Y.; Hirao, K.; Soga, N. Structure and high magnetization of rapidly quenched zinc ferrite. J. Phys. Chem. Solids 1998, 59, 1611–1618. [Google Scholar] [CrossRef]
 - Bortnic, R.; Szatmari, A.; Souca, G.; Hirian, R.; Dudric, R.; Barbu-Tudoran, L.; Toma, V.; Tetean, R.; Burzo, E. New Insights into the Magnetic Properties of CoFe2O4@SiO2@Au Magnetoplasmonic Nanoparticles. Nanomaterials 2022, 12, 942. [Google Scholar] [CrossRef]
 - Burzo, E.; Tetean, R. New nsights on the Spin Glass Behavior in Ferrites Nanoparticles. Nanomaterials 2022, 12, 1782. [Google Scholar] [CrossRef] [PubMed]
 - Liu, S.; Tao, D.; Zhang, L. Cellulose scaffold: A green template for the controlling synthesis of magnetic inorganic nanoparticles. Powder Technol. 2012, 217, 502–509. [Google Scholar] [CrossRef]
 - Hermosa, G.C.; Liao, C.S.; Wu, H.S.; Wang, S.F.; Liu, T.Y.; Jeng, K.S.; Lin, S.S.; Chang, C.F.; Sun, A.A. Green Synthesis of Magnetic Ferrites (Fe3O4, CoFe2O4, and NiFe2O4) Stabilized by Aloe Vera Extract for Cancer Hyperthermia Activities. IEEE Trans. Magn. 2022, 58, 5400307. [Google Scholar] [CrossRef]
 - Rietveld, H.M. A profile refinement method for nuclear and magnetic structures. J. Appl. Crystallogr. 1969, 2, 65. [Google Scholar] [CrossRef]
 - De Faria, D.L.A.; Venâcio Silva, S.; de Oliveira, M.T. Raman Microspectroscopy of Some Iron Oxides and Oxyhydroxide. J. Raman Spectrosc. 1997, 28, 873. [Google Scholar] [CrossRef]
 - Graves, P.R.; Johnston, C.; Campaniello, J.J. Raman scattering in spinel structure ferrites. Mater. Res. Bull. 1988, 23, 1651–1660. [Google Scholar] [CrossRef]
 - Wang, Z.; Lazor, P.; Saxena, S.K.; O’Neill, H.S.C. High pressure Raman spectroscopy of ferrite MgFe2O4. Mater. Res. Bull. 2002, 37, 1589–1602. [Google Scholar] [CrossRef]
 - de Wijs, G.A.; Fang, C.M.; Kresse, G. First-principles calculation of the phonon spectrum of MgAl2O4 spinel. Phys. Rev. B 2002, 65, 094305. [Google Scholar] [CrossRef]
 - Lazzeri, M.; Thibaudeau, P. Ab initio Raman spectrum of the normal and disordered MgAl2O4 spinel. Phys. Rev. B 2006, 74, 140301. [Google Scholar] [CrossRef]
 - Chourpa, I.; Douziech-Eyrolles, L.; Ngaboni-Okassa, L.; Fouquenet, J.F.; Cohen-Jonathan, S.; Souce, M.; Marchais, H.; Dubois, P. Molecular composition of iron oxide nanoparticles, precursors for magnetic drug targeting, as characterized by confocal Raman microspectroscopy. Analyst 2005, 130, 1395–1403. [Google Scholar] [CrossRef]
 - Chandramohan, P.; Srinivasan, M.P.; Velmurugan, S.; Narasimhan, S.V. Cation distribution and particle size effect on Raman spectrum of CoFe2O4. J. Solid State Chem. 2011, 184, 89–96. [Google Scholar] [CrossRef]
 - Thota, S.; Kashyap, S.C.; Sharma, S.K.; Reddy, V.R. Micro Raman, Mossbauer and magnetic studies of manganese substituted zinc ferrite nanoparticles: Role of Mn. Phys. Chem. Solid 2015, 91, 136. [Google Scholar] [CrossRef]
 - Testa-Anta, M.; Ramos-Docampo, M.A.; Comesaña-Hermo, M.; Rivas-Murias, B.; Salgueiriño, V. Raman spectroscopy to unravel the magnetic properties of iron oxide nanocrystals for bio-related applications. Nanoscale Adv. 2019, 1, 2086–2103. [Google Scholar] [CrossRef]
 - Nekvapil, F.; Bunge, A.; Radu, T.; Cinta Pinzaru, S.; Turcu, R. Raman spectra tell us so much more: Raman features and saturation magnetization for efficient analysis of manganese zinc ferrite nanoparticles. J. Raman Spectrosc. 2020, 51, 959–968. [Google Scholar] [CrossRef]
 - Nekvapil, F.; Bortnic, R.A.; Leoştean, C.; Barbu-Tudoran, L.; Bunge, A. Characterization of the lattice transitions and impurities in manganese and zinc doped ferrite nanoparticles by Raman spectroscopy and x-ray diffraction (XRD). Anal. Lett. 2022, 56, 42–52. [Google Scholar] [CrossRef]
 - Galinetto, P.; Albini, B.; Bini, M.; Mozzati, M. Raman spectroscopy in Zinc Ferrites Nanoparticles. In Raman Spectroscopy; IntechOpen: London, UK, 2018. [Google Scholar] [CrossRef]
 - Iacovita, C.; Stiufiuc, G.F.; Dudric, R.; Vedeanu, N.; Tetean, R.; Stiufiuc, R.I.; Lucaciu, C.M. Saturation of Specific Absorption Rate for Soft and Hard Spinel Ferrite Nanoparticles Synthesized by Polyol Process. Magnetochemistry 2020, 6, 23. [Google Scholar] [CrossRef]
 - Mameli, V.; Musinu, A.; Ardu, A.; Ennas, G.; Peddis, D.; Niznansky, D.; Sangregorio, C.; Innocenti, C.; Nguyen, T.K.; Cannas, C. Studying the effect of Zn-substitution on the magnetic and hyperthermic properties of cobalt ferrite nanoparticles. Nanoscale 2016, 8, 10124–10137. [Google Scholar] [CrossRef]
 - Sathya, A.; Guardia, P.; Brescia, R.; Silvestri, N.; Pugliese, G.; Nitti, S.; Manna, L.; Pellegrino, T. CoxFe3−xO4 Nanocubes for Theranostic Applications: Effect of Cobalt Content and Particle Size. Chem. Mater. 2016, 28, 1769–1780. [Google Scholar] [CrossRef]
 - Albino, M.; Fantechi, E.; Innocenti, C.; López-Ortega, A.; Bonanni, V.; Campo, G.; Pineider, F.; Gurioli, M.; Arosio, P.; Orlando, T.; et al. Role of Zn2+ Substitution on the Magnetic, Hyperthermic, and Relaxometric Properties of Cobalt Ferrite Nanoparticles. J. Phys. Chem. C 2019, 123, 6148–6157. [Google Scholar] [CrossRef]
 - Iacovita, C.; Stiufiuc, R.; Radu, T.; Florea, A.; Stiufiuc, G.; Dutu, A.; Mican, S.; Tetean, R.; Lucaciu, C.M. Polyethylene glycol mediated synthesis of cubic iron oxide nanoparticles with high heating power. Nanoscale Res. Lett. 2015, 10, 1–16. [Google Scholar] [CrossRef]
 











| x | Lattice Parameter a (nm) | χ2 | Rwp | Rexp | 
|---|---|---|---|---|
| 0.05 | 0.8390 (1) | 1.04 | 7.08 | 6.95 | 
| 0.1 | 0.8393 (7) | 1.03 | 7.27 | 7.15 | 
| 0.2 | 0.8399 (2) | 0.934 | 5.90 | 6.11 | 
| 0.3 | 0.8404 (1) | 0.937 | 5.71 | 5.91 | 
| 0.4 | 0.8405 (5) | 0.994 | 5.95 | 5.97 | 
| 0.5 | 0.8418 (0) | 0.948 | 5.56 | 5.72 | 
| 0.6 | 0.8421 (0) | 1.00 | 5.65 | 5.64 | 
| 0.7 | 0.8422 (4) | 1.03 | 5.47 | 5.39 | 
| 0.8 | 0.8430 (9) | 0.988 | 5.75 | 5.79 | 
| 0.9 | 0.8434 (7) | 0.970 | 5.34 | 5.42 | 
| 1 | 0.8446 (1) | 0.975 | 5.53 | 5.60 | 
| x | Mean Diameter (nm) | Atomic Abundance (Atoms %) | ||||||||
|---|---|---|---|---|---|---|---|---|---|---|
| XRD | TEM | Co th. | Co exp. | Zn th. | Zn e. | Fe th. | Fe exp. | O th. | O exp. | |
| 0.1 | 35 ± 2 | 38 ± 11 | 12.8 | 11.5 | 1.4 | 1.1 | 28.5 | 21.3 | 57.3 | 66.1 | 
| 0.3 | 36 ± 2 | 35 ± 9 | 10.0 | 9.0 | 4.2 | 1.6 | 28.5 | 21.4 | 57.3 | 68.0 | 
| 0.6 | 31 ± 1 | 31 ± 10 | 5.7 | 5.9 | 8.5 | 5.2 | 28.5 | 22.9 | 57.3 | 66.0 | 
| 0.9 | 32 ± 1 | 31 ± 10 | 1.4 | 1.9 | 12.8 | 9.0 | 28.5 | 23.6 | 57.3 | 65.5 | 
| x | T2g | A1g | ||
|---|---|---|---|---|
| Energy (cm−1) | FWHM (cm−1) | Energy (cm−1) | FWHM (cm−1) | |
| 0.05 | 467 ± 1 (Fe–O) | 57 ± 5 | 610 ± 1 (Co–O) | 54 ± 5 | 
| 510 ± 1 (Zn–O) | 43 ± 5 | 647 ± 1 (Zn–O) | 46 ± 5 | |
| 557 ± 1 (Co–O) | 62 ± 5 | 686 ± 1 (Fe–O) | 47 ± 5 | |
| 0.1 | 465 ± 1 (Fe–O) | 56 ± 5 | 604 ± 1 (Co–O) | 54 ± 5 | 
| 506 ± 1 (Zn–O) | 42 ± 5 | 641 ± 1 (Zn–O) | 69 ± 5 | |
| 551 ± 1 (Co–O) | 51 ± 5 | 683 ± 1 (Fe–O) | 51 ± 5 | |
| 0.2 | 466 ± 1 (Fe–O) | 53 ± 5 | 607 ± 1 (Co–O) | 52 ± 5 | 
| 503 ± 1 (Zn–O) | 44 ± 5 | 642 ± 1 (Zn–O) | 68 ± 5 | |
| 554 ± 1 (Co–O) | 69 ± 5 | 686 ± 1 (Fe–O) | 44 ± 5 | |
| 0.3 | 467 ± 1 (Fe–O) | 52 ± 5 | 610 ± 1 (Co–O) | 56 ± 5 | 
| 505 ± 1 (Zn–O) | 37 ± 5 | 644 ± 1 (Zn–O) | 62 ± 5 | |
| 555 ± 1 (Co–O) | 68 ± 5 | 687 ± 1 (Fe–O) | 41 ± 5 | |
| 0.4 | 468 ± 1 (Fe–O) | 51 ± 5 | 608 ± 1 (Co–O) | 45 ± 5 | 
| 503 ± 1 (Zn–O) | 61 ± 5 | 643 ± 1 (Zn–O) | 55 ± 5 | |
| 558 ± 1 (Co–O) | 69 ± 5 | 686 ± 1 (Fe–O) | 48 ± 5 | |
| 0.5 | 465 ± 1 (Fe–O) | 53 ± 5 | 604 ± 1 (Co–O) | 45 ± 5 | 
| 504 ± 1 (Zn–O) | 64 ± 5 | 639 ± 1 (Zn–O) | 64 ± 5 | |
| 554 ± 1 (Co–O) | 66 ± 5 | 683 ± 1 (Fe–O) | 46 ± 5 | |
| 0.6 | 465 ± 1 (Fe–O) | 52 ± 5 | 602 ± 1 (Co–O) | 53 ± 5 | 
| 503 ± 1 (Zn–O) | 59 ± 5 | 638 ± 1 (Zn–O) | 64 ± 5 | |
| 547 ± 1 (Co–O) | 67 ± 5 | 682 ± 1 (Fe–O) | 49 ± 5 | |
| 0.7 | 468 ± 1 (Fe–O) | 45 ± 5 | 605 ± 1 (Co–O) | 47 ± 5 | 
| 505 ± 1 (Zn–O) | 68 ± 5 | 642 ± 1 (Zn–O) | 56 ± 5 | |
| 552 ± 1 (Co–O) | 45 ± 5 | 684 ± 1 (Fe–O) | 48 ± 5 | |
| 0.8 | 468 ± 1 (Fe–O) | 47 ± 5 | 603 ± 1 (Co–O) | 42 ± 5 | 
| 505 ± 1 (Zn–O) | 68 ± 5 | 640 ± 1 (Zn–O) | 67 ± 5 | |
| 550 ± 1 (Co–O) | 63 ± 5 | 682 ± 1 (Fe–O) | 48 ± 5 | |
| 0.9 | 467 ± 1 (Fe–O) | 46 ± 5 | 602 ± 1 (Co–O) | 44 ± 5 | 
| 504 ± 1 (Zn–O) | 65 ± 5 | 639 ± 1 (Zn–O) | 57 ± 5 | |
| 552 ± 1 (Co–O) | 62 ± 5 | 682 ± 1 (Fe–O) | 61 ± 5 | |
Disclaimer/Publisher’s Note: The statements, opinions and data contained in all publications are solely those of the individual author(s) and contributor(s) and not of MDPI and/or the editor(s). MDPI and/or the editor(s) disclaim responsibility for any injury to people or property resulting from any ideas, methods, instructions or products referred to in the content.  | 
© 2022 by the authors. Licensee MDPI, Basel, Switzerland. This article is an open access article distributed under the terms and conditions of the Creative Commons Attribution (CC BY) license (https://creativecommons.org/licenses/by/4.0/).
Share and Cite
Szatmari, A.; Bortnic, R.; Souca, G.; Hirian, R.; Barbu-Tudoran, L.; Nekvapil, F.; Iacovita, C.; Burzo, E.; Dudric, R.; Tetean, R. The Influence of Zn Substitution on Physical Properties of CoFe2O4 Nanoparticles. Nanomaterials 2023, 13, 189. https://doi.org/10.3390/nano13010189
Szatmari A, Bortnic R, Souca G, Hirian R, Barbu-Tudoran L, Nekvapil F, Iacovita C, Burzo E, Dudric R, Tetean R. The Influence of Zn Substitution on Physical Properties of CoFe2O4 Nanoparticles. Nanomaterials. 2023; 13(1):189. https://doi.org/10.3390/nano13010189
Chicago/Turabian StyleSzatmari, Adam, Rares Bortnic, Gabriela Souca, Razvan Hirian, Lucian Barbu-Tudoran, Fran Nekvapil, Cristian Iacovita, Emil Burzo, Roxana Dudric, and Romulus Tetean. 2023. "The Influence of Zn Substitution on Physical Properties of CoFe2O4 Nanoparticles" Nanomaterials 13, no. 1: 189. https://doi.org/10.3390/nano13010189
APA StyleSzatmari, A., Bortnic, R., Souca, G., Hirian, R., Barbu-Tudoran, L., Nekvapil, F., Iacovita, C., Burzo, E., Dudric, R., & Tetean, R. (2023). The Influence of Zn Substitution on Physical Properties of CoFe2O4 Nanoparticles. Nanomaterials, 13(1), 189. https://doi.org/10.3390/nano13010189
        
