UAV-Based Forest Health Monitoring: A Systematic Review
Abstract
1. Introduction
1.1. UAV Remote Sensing: An Emerging Tool in Forest Health Monitoring
1.2. UAV Types and Sensors for Forest Health Monitoring
1.3. The Importance of Forest Health
1.4. Objectives, Limitations, and Review Structure
2. Materials and Methods
2.1. Literature Search, Filtering, and Information Extraction
2.2. Dataset Structuring
- Technical and Strategic InformationTechnical details and strategic approaches common to all papers were subdivided into data acquisition, data processing, complementary data, and data analysis techniques with a focus on machine learning algorithms for image classification.
- Investigated Tree Species and Biotic and Abiotic StressorsInformation on investigated tree species and biotic and abiotic stress agents were summarized. Based on these details, the peer-reviewed papers were categorized into three main topics: (1) biotic stressors, (2) abiotic stressors, and (3) unknown/stress in general. Details on biotic stressors were further split into insects, diseases, and phytoparasites for clarity. Abiotic stressors were organized together due to the limited data. If the causal target stressors were unknown or not specified, they were grouped as unknown/stress in general. Papers in which the authors identified multiple stressors were listed in their respective categories or subcategories for completeness.
3. Results
3.1. Technical and Strategic Information Extraction
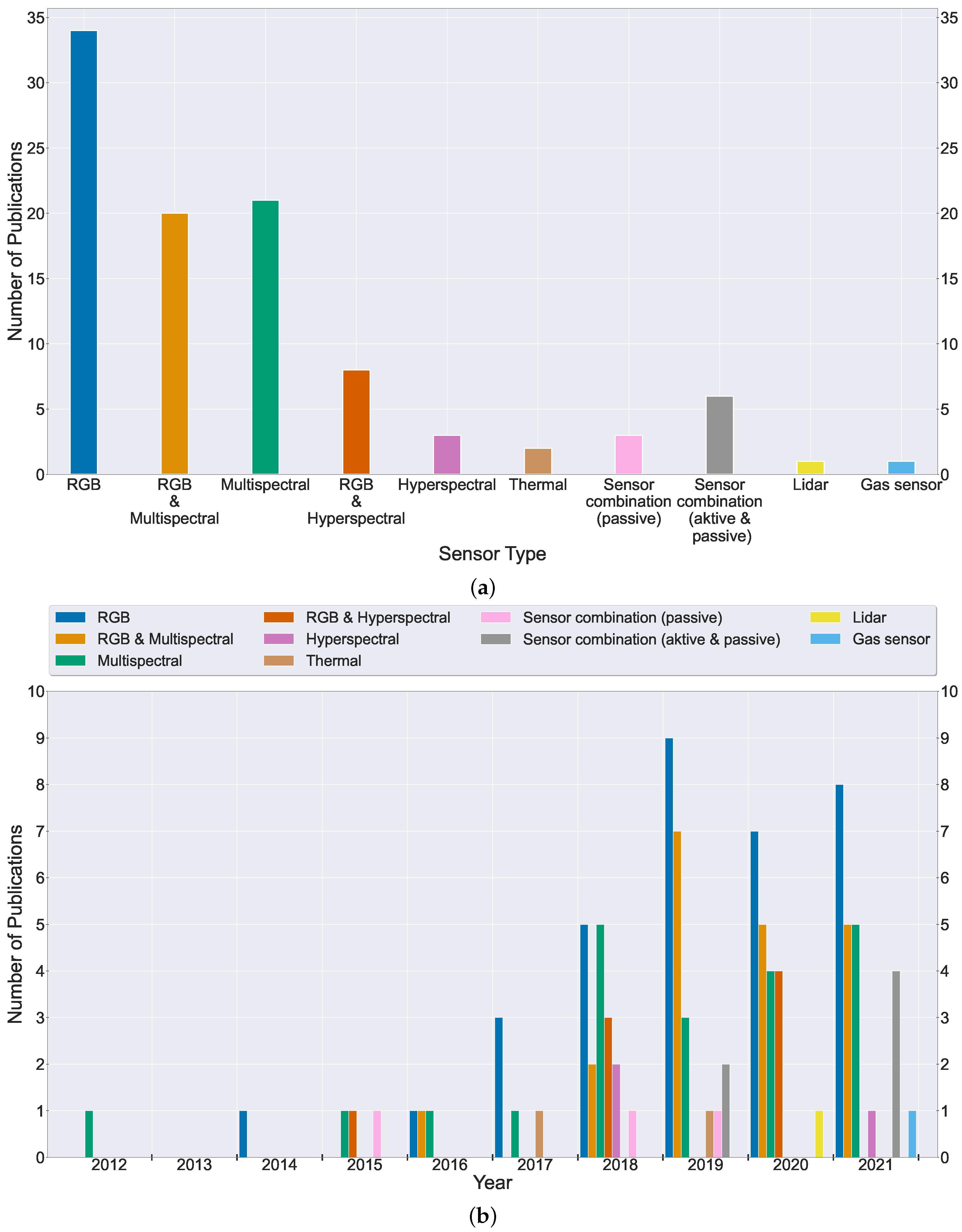
3.1.1. Data Acquisition: UAV Types, Sensors, Flight Planning, and Monitoring Strategies
3.1.2. Data Processing: Data Products, Radiometric/Spectral Calibration, and Georeferencing
- Feature detection and matching of the corresponding key points in overlapping imagery;
- Performing bundle adjustments to estimate intrinsic (e.g., focal length and lens distortion) and extrinsic (pose) parameters of the camera to compute a sparse 3D point cloud;
- Multiview stereo matching to generate a dense point cloud of the scene. Through interpolation of the point cloud, rasterized spectral (orthomosaic) and structural data (DSM, DTM) can be generated for cell-wise statistical analysis.
3.1.3. Complementary Data: Fieldwork and Traditional Remote Sensing Platforms
3.1.4. Data Analysis: Image Segmentation and Machine Learning Techniques for Image Classification
3.2. Tree Species and Stress Agents
3.2.1. Biotic Stressors
- (a)
- Pests
- (b)
- Diseases
- (c)
- Phytoparasites
3.2.2. Abiotic
3.2.3. Stress in General or Unknown Cause
4. Discussion
4.1. Data Acquisition
4.2. Data Processing
4.3. Complementary Data Use
4.4. Data Analysis
4.5. Tree Species and Stressors
5. Conclusions
- (1)
- The use of hyperspectral cameras and LiDAR sensors must increase to exploit modern sensors’ spectral and structural potential. Both sensor types are underrepresented but provide the most promising added value for FHM, in particular if used in combination. Optimized multispectral sensors for FHM need to be developed, which offer the most informative spectral bands tailored to the requirements of the analysis of forests. The miniaturization of multispectral LiDAR must be advanced for UAV applications.
- (2)
- The flexible use of drones enables recordings with short revisit intervals and thus provides a high possible temporal resolution. Despite these advantageous attributes of UAVs, multitemporal and long-term monitoring is not sufficiently performed yet. The dynamic nature of forest ecosystems requires timely and repeated data collection to capture forest health degradation and recovery.
- (3)
- A greater emphasis should be placed on early stress detection (previsual stage) to improve forest management strategies and to be able to respond to impending damage promptly.
- (4)
- Currently, a fast advance of operationalization of UAV-based FHM is mainly hampered by technical and regulatory issues. A lack of standardized radiometric and spectral calibration workflows persists and affects consistent data processing. This also involves the flexible use of drones, as flight operation is limited to stable atmospheric conditions when a detailed spectral analysis is intended. Regulatory frameworks need to be optimized in mutual consideration of stakeholders and public interests to keep drone projects operable and safe. Exemption permits should be made possible at a reasonable additional expense to achieve greater area coverage (e.g., through flights above the maximum allowed altitude or BVLOS flights) and should not pose a barrier to innovation.
- (5)
- Researchers should intensely focus on integrating traditional RS data from satellites and aircraft to enable larger-scale forest monitoring. It has been shown that there is a significant weakness in interoperability that needs to be addressed in future work to exploit complementary data with strong synergies (e.g., data fusion). Future research should focus on multisensor and multisource monitoring strategies and tackle interoperability issues by establishing standardized data infrastructures.
- (6)
- Researchers rely on commercial software across the whole data pipeline, from data acquisition to the final analysis. This dependency comes at the expense of more flexible open-source solutions and can adversely affect knowledge and technology transfer among stakeholders.
Author Contributions
Funding
Data Availability Statement
Acknowledgments
Conflicts of Interest
Abbreviations
| ALS | airborne laser scanning |
| ANN | artificial neural network |
| BVLOS | beyond visual line of sight |
| CHM | canopy height model |
| CNN | convolutional neural network |
| D-GNSS | differential global navigation satellite system |
| DBH | diameter at breast height |
| DSM | digital surface model |
| DTM | digital terrain model |
| ESA | European Space Agency |
| EU | European Union |
| k-NN | k-nearest neighbor |
| FHM | forest health monitoring |
| GCP | ground control point |
| GNSS | global navigation satellite system |
| LiDAR | light detection and ranging |
| MLC | maximum likelihood classifier |
| MTOM | maximum take-off mass |
| NDVI | normalized difference vegetation index |
| NDRE | normalized difference red-edge index |
| NIR | near-infrared |
| nm | nanometer |
| OBIA | object-based image analysis |
| OA | overall accuracy |
| PPK | postprocessed kinematic |
| PRI | photochemical reflectance index |
| RF | random forest |
| RGB | red green blue |
| RS | remote sensing |
| RTK | real-time kinematic |
| SfM | structure from motion |
| SVM | support vector machine |
| UAS | unmanned/uncrewed aircraft system |
| UAV-RS | unmanned/uncrewed aerial vehicle remote sensing |
| UN | United Nations |
| UAV | unmanned/uncrewed aerial vehicle |
| VLOS | visual line of sight |
| VOC | volatile organic compound |
| VTOL | vertical take-off and landing |
Appendix A
| Authors | Study Area (Country) | UAV Type | Sensor | Geometric Correction | Tree Species Affected | Stressor |
|---|---|---|---|---|---|---|
| Lehmann et al. [88] | Germany | Multirotor | Multispectral | GCPs | Common oak (Quercus robur) | Oak splendor beetle (Agrilus biguttatus) |
| Näsi et al. [134] | Finland | Multirotor | Hyperspectral, RGB | Coregistration | Norway spruce (Picea abies) | European spruce bark beetle (Ips typographus L.) |
| Minarik and Langhammer [205] | Czech Republic | Multirotor | Multispectral | GCPs | Norway spruce (Picea abies) | European spruce bark beetle (Ips typographus L.) |
| Cardil et al. [206] | Spain | Multirotor | RGB | GCPs | Pine | Pine processionary moth (Thaumetopoea pityocampa) |
| Klein Hentz and Strager [114] | United States | Multirotor | RGB | GCPs | Not specified | Magicicada |
| Näsi et al. [135] | Finland | Multirotor | Hyperspectral, RGB | Coregistration | Norway spruce (Picea abies) | European spruce bark beetle (Ips typographus L.) |
| Otsu et al. [143] | Spain | Multirotor | RGB | Coregistration | Pine (Pinus sylvestris, P. nigra) | Pine processionary moth (Thaumetopoea pityocampa) |
| Röder et al. [152] | Germany | Multirotor | RGB | GCPs | Norway spruce (Picea abies) | European spruce bark beetle (Ips typographus L.) |
| Stoyanova et al. [207] | Bulgaria | Multirotor | RGB, multispectral | - | Norway spruce (Picea abies), Scots pine (Pinus sylvestris) | Bark beetle (Ips typographus, I. acuminatus, I. sexdentatus) |
| Zhang et al. [162] | China | Multirotor | Hyperspectral, RGB | Coregistration | Chinese pine (Pinus tabulaeformis) | Chinese pine caterpillar (Dendrolimus tabulaeformis) |
| Cardil et al. [129] | Spain | Multirotor | RGB, multispectral | - | Scots pine (Pinus sylvestris) | Pine processionary moth (Thaumetopoea pityocampa) |
| Dimitrov et al. [131] | Bulgaria | Fixed-Wing | Multispectral | - | Norway spruce (Picea abies), silver fir (Abies alba) | European spruce bark beetle (Ips typographus L.) |
| Klouček et al. [92] | Czech Republic | Multirotor | RGB, multispectral | GCPs | Norway spruce (Picea abies) | European spruce bark beetle (Ips typographus L.) |
| Lin et al. [116] | China | Not specified | Hyperspectral, LiDAR | GCPs | Yunnan Pine (Pinus yunnanensis) | Pine shoot beetle (Tomicus spp.) |
| Otsu et al. [138] | Spain | Not specified | RGB, multispectral | GCPs | Pine (Pinus sylvestris, P. nigra) | Pine processionary moth (Thaumetopoea pityocampa) |
| Akıncı and Göktoǧan [125] | Turkey | Multirotor | RGB | - | Turkish pine (Pinus brutia) | Pine processionary moth (Thaumetopoea pityocampa, T. wilkinsoni) |
| Safonova et al. [208] | Russia | Multirotor | RGB | - | Siberian fir (Abies sibirica) | Four-eyed fir bark beetle (Polygraphus proximus) |
| Abdollahnejad and Panagiotidis [102] | Czech Republic | Multirotor | Multispectral | - | Norway spruce (Picea abies), Scots pine (Pinus sylvestris) | European spruce bark beetle (Ips typographus L.) |
| Duarte et al. [133] | Portugal | Fixed-Wing | Multispectral | GCPs | Eucalyptus (Eucalyptus globulus) | Eucalyptus longhorned borers (Phoracantha semipunctata, P. recurva) |
| Liu et al. [140] | China | Multirotor | Hyperspectral | Direct georeferencing (RTK/PPK), coregistration | Yunnan pine (Pinus yunnanensis) | Pine shoot beetle (Tomicus spp.) |
| Minařík et al. [120] | Czech Republic | Multirotor | Multispectral | GCPs | Norway spruce (Picea abies), Scots pine (Pinus sylvestris) | European spruce bark beetle (Ips typographus L.) |
| Barmpoutis et al. [209] | Greece | Multirotor | RGB | - | Pine (Pinus brutia, P. halepensis, P. pinea) | Pine shoot beetle (Tomicus piniperda) |
| Zhang et al. [210] | China | Multirotor | RGB, hyperspectral | Coregistration | Chinese pine (Pinus tabulaeformis) | Chinese pine caterpillar (Dendrolimus tabulaeformis) |
| Cessna et al. [96] | United States | Multirotor | RGB, multispectral | GCPs | Norway spruce (Picea abies) | Four-eyed spruce beetle (Dendroctonus rufipennis) |
| Lin et al. [117] | China | Not specified | Hyperspectral, LiDAR | GCPs | Yunnan Pine (Pinus yunnanensis) | Pine shoot beetle (Tomicus spp.) |
| Minařík et al. [130] | Czech Republic | Multirotor | Multispectral | Direct georeferencing (RTK/PPK) | Norway spruce (Picea abies) | European spruce bark beetle (Ips typographus L.) |
| Nguyen et al. [155] | Japan | Multirotor | RGB | - | Fir (Abies mariesii) | Tortrix moth (Epinotia piceae), bark beetle (Polygraphus proximus) |
| Paczkowski et al. [93] | Germany | Multirotor | Gas sensor | - | Norway spruce (Picea abies) | Bark beetle (Ips typographus, Pityogenes chalcographus) |
| Safonova et al. [87] | Bulgaria | Multirotor, Fixed-Wing | RGB, multispectral | - | Norway spruce (Picea abies) | European spruce bark beetle (Ips typographus L.) |
| Schaeffer et al. [110] | Mexico | Multirotor | RGB, multispectral | - | Piñon pine (Pinus cembroides) | Bark beetle (Dendroctonus mexicanus) |
| Koontz et al. [22] | United States | Multirotor | RGB, multispectral | GCPs | Ponderosa pine (Pinus ponderosa) | Western pine beetle (Dendroctonus brevicomis) |
| Pádua et al. [115] | Portugal | Fixed-Wing | Multispectral | GCPs | Sweet chestnut (Castanea sativa) | Oriental chestnut gall wasp (Dryocosmus kuriphilus), chestnut ink disease (Phytophthora cinnamomi), chestnut blight (Cryphonectria parasitica) |
| Kampen et al. [164] | Austria | Multirotor | Multispectral | - | Norway spruce (Picea abies), European ash (Fraxinus excel-sior) | European spruce bark beetle (Ips typographus L.), ash dieback disease (Hymenoscyphus pseudoalbidus) |
| Honkavaara et al. [94] | Finland | Multirotor | RGB, multispectral, thermal, hyperspectral | Direct georeferencing (RTK/PPK), GCPs | Norway spruce (Picea abies) | European spruce bark beetle (Ips typographus L.), root and butt rot (Heterobasidion annosum) |
| Authors | Study Area (Country) | UAV Type | Sensor | Geometric Correction | Tree Species affected | Stressor |
|---|---|---|---|---|---|---|
| Park and Kim [211] | South Korea | Fixed-Wing | RGB | - | Pine | Pine wilt disease (Bursaphelenchus xylophilus) |
| Smigaj et al. [136] | United Kingdom | Fixed-Wing | Thermal, multispectral | Coregistration | Pine (Pinus sylvestris, P. contorta) | Red band needle blight (Dothistroma septosporum) |
| Michez et al. [89] | Belgium | Fixed-Wing | RGB, multispectral | GCPs, coregistration | Black alder (Alnus glutinosa) | Phytophthora alni |
| Dash et al. [103] | New Zealand | Multirotor | Multispectral | GCPs | Monterey pine (Pinus radiata) | Herbicide |
| Brovkina et al. [90] | Czech Republic | Multirotor | RGB, multispectral | GCPs | Norway spruce (Picea abies) | Honey fungus (Armillaria ostoyae) |
| Dash et al. [104] | New Zealand | Multirotor | Multispectral | GCPs | Monterey pine (Pinus radiata) | Herbicide |
| Ganthaler et al. [122] | Austria | Multirotor | RGB | - | Norway spruce (Picea abies) | Needle bladder rust disease (Chrysomyxa rhododendri) |
| Gerard et al. [123] | United Kingdom | Multirotor | Hyperspectral | - | Common oak (Quercus robur) | Acute oak decline (AOD) |
| Sandino et al. [163] | Australia | Multirotor | Hyperspectral | GCPs | Paperbark tea tree (Melaleuca quinquenervia) | Myrtle rust (Austropuccinia psidii) |
| Dell et al. [159] | Indonesia | Multirotor | RGB | GCPs | Eucalyptus (Eucalyptus pellita) | Bacterial wilt (Ralstonia sp.) |
| Jung and Park [212] | South Korea | Fixed-Wing | RGB, multispectral | - | Pine | Pine wilt disease (Bursaphelenchus xylophilus) |
| Lee et al. [107] | South Korea | Multirotor | RGB | - | Oak (Quercus mongolica, Q. serrata, Q. dentate) | Oak wilt (Raffaelea quercus-mongolicae) |
| Navarro et al. [158] | Portugal | Fixed-Wing | Multispectral | GCPs | Cork oak (Quercus suber) | Cork oak decline |
| Smigaj et al. [137] | United Kingdom | Multirotor | Thermal | Coregistration | Scots pine (Pinus sylvestris) | Red band needle blight (Dothistroma septosporum) |
| Deng et al. [213] | China | Fixed-Wing | RGB | - | Chinese red pine (Pinus massoniana) | Pine wilt disease (Bursaphelenchus xylophilus) |
| Iordache et al. [214] | Portugal | Multirotor | RGB, multispectral, hyperspectral | Direct georeferencing (RTK/PPK), GCPs | Maritime pine (Pinus pinaster) | Pine wilt disease (Bursaphelenchus xylophilus) |
| Syifa et al. [157] | South Korea | Multirotor | RGB | - | Pine (Pinus densiflora, P. thunbergii) | Pine wilt disease (Bursaphelenchus xylophilus) |
| Hoshikawa and Yamamoto [215] | Japan | Multirotor | RGB, multispectral | - | Japanese black pine (Pinus thunbergii) | Pine wilt disease (Bursaphelenchus xylophilus) |
| Tao et al. [216] | China | Multirotor | RGB | - | Chinese red pine (Pinus massoniana) | Pine wilt disease (Bursaphelenchus xylophilus) |
| Guerra-Hernández et al. [119] | Portugal | Fixed-Wing | RGB, multispectral | GCPs | Black alder (Alnus glutinosa) | Phytophthora alni |
| Li et al. [124] | China | Multirotor | RGB | - | Chinese pine (Pinus tabulaeformis) | Pine wilt disease (Bursaphelenchus xylophilus) |
| Qin et al. [141] | China | Multirotor | Multispectral | Direct georeferencing (RTK/PPK) | Chinese red pine (Pinus massoniana) | Pine wilt disease (Bursaphelenchus xylophilus) |
| Sun et al. [217] | China | Multirotor | RGB | - | Chinese red pine (Pinus massoniana) | Pine wilt disease (Bursaphelenchus xylophilus) |
| Wu et al. [111] | China | Mulirotor | RGB | - | Chinese pine (Pinus tabulaeformis) | Pine wilt disease (Bursaphelenchus xylophilus) |
| Xia et al. [44] | China | Fixed-Wing | RGB | - | Pine (Pinus thunbergii, P. densiflora) | Pine wilt disease (Bursaphelenchus xylophilus) |
| Yu et al. [112] | China | Multirotor | RGB, Hyperspectral, LiDAR | GCPs | Korean pine (Pinus koraiensis) | Pine wilt disease (Bursaphelenchus xylophilus) |
| Yu et al. [118] | China | Multirotor | Multispectral, RGB | Direct georeferencing (RTK/PPK) | Chinese red pine (Pinus massoniana) | Pine wilt disease (Bursaphelenchus xylophilus) |
| Yu et al. [142] | China | Multirotor | Hyperspectral, LiDAR | GCPs | Chinese red pine (Pinus massoniana) | Pine wilt disease (Bursaphelenchus xylophilus) |
| Yu et al. [146] | China | Multirotor | Hyperspectral | GCPs | Chinese pine (Pinus tabulaeformis) | Pine wilt disease (Bursaphelenchus xylophilus) |
| Pádua et al. [109] | Portugal | Multirotor | RGB, multispectral | GCPs | Sweet chestnut (Castanea sativa) | Chestnut ink disease (Phytophthora cinnamomi), chestnut blight (Cryphonectria parasitica), nutritional deficiencies |
| Pádua et al. [115] | Portugal | Fixed-Wing | Multispectral | GCPs | Sweet chestnut (Castanea sativa) | Chestnut ink disease (Phytophthora cinnamomi), chestnut blight (Cryphonectria parasitica), Oriental chestnut gall wasp (Dryocosmus kuriphilus) |
| Kampen et al. [164] | Austria | Multirotor | Multispectral | - | Norway spruce (Picea abies), European ash (Fraxinus excelsior) | Ash dieback disease (Hymenoscyphus pseudoalbidus), European spruce bark beetle (Ips typographus L.) |
| Honkavaara et al. [94] | Finland | Multirotor | RGB, multispectral, thermal, hyperspectral | Direct georeferencing (RTK/PPK), GCPs | Norway spruce (Picea abies) | Root and butt rot (Heterobasidion annosum), European spruce bark beetle (Ips typographus L.) |
| Authors | Study Area (Country) | UAV Type | Sensor | Geometric Correction | Tree Species Affected | Stressor |
|---|---|---|---|---|---|---|
| Li et al. [144] | Costa Rica | Multirotor | Multispectral | GCPs | Tropical dry forest | Lianas |
| Maes et al. [108] | Australia | Multirotor | RGB, thermal | GCPs | Eucalyptus (Eucalyptus fibrosa, E. moluccana) | Box mistletoe (Amyema miquelii) |
| Waite et al. [145] | Malaysia | Multirotor | RGB | - | Tropical forest | Liana |
| Yuan et al. [166] | Costa Rica | Multirotor | Multispectral, thermal | GCPs | Neotropical dry forest | Liana |
| Miraki et al. [113] | Iran | Multirotor | RGB | GCPs | Persian ironwood (Parrotia persica) | Common mistletoe (Viscum album) |
| Authors | Study Area (Country) | UAV Type | Sensor | Geometric Correction | Tree Species Affected | Stressor |
|---|---|---|---|---|---|---|
| Hernández-Clemente et al. [85] | Spain | Fixed-Wing | Multispectral | - | Scots pine (Pinus sylvestris) | Drought |
| Fraser et al. [149] | Canada | Multirotor | RGB | - | Jack pine (Pinus banksiana), spruce (Picea glauca, P. mariana) | Fire |
| Ludovisi et al. [147] | Italy | Multirotor | Thermal | GCPs | Black poplar (Populus nigra) | Drought |
| McKenna et al. [101] | Australia | Fixed-Wing | RGB | GCPs | Eucalypt forest | Fire |
| Buras et al. [150] | Germany | Multirotor | Multispectral | - | Scots pine (Pinus sylvestris) | Drought |
| Nagai et al. [169] | Japan | Multirotor | RGB | - | Japanese cedar (Cryptomeria japonica) | Heavy snow |
| Rossi et al. [91] | Argentina | Fixed-Wing | Multispectral | Direct georeferencing (GNSS) | Subtropical forest | Fire |
| Arkin et al. [154] | Canada | Multirotor | RGB | GCPs | Douglas-fir (Pseudotsuga menziesii), white spruce (Picea engelmannii × Picea glauca), lodgepole pine (Pinus contorta) | Fire |
| Carvajal-Ramírez et al. [99] | Spain | Multirotor | RGB, multispectral | Direct georeferencing (RTK/PPK), GCPs | Mediterranean forest | Fire |
| Padua et al. [86] | Portugal | Multirotor, Fixed-Wing | RGB, mulispectral | - | Maritime pine (Pinus pinaster) | Fire |
| Rossi and Becker [161] | Argentina | Fixed-Wing | RGB | - | Subtropical forest | Fire |
| Shin et al. [218] | South Korea | Multirotor | Multispectral | - | Korean red pine (Pinus densiflora) | Fire |
| Zhu et al. [139] | China | Multirotor | RGB, LiDAR | Direct georeferencing (RTK/PPK) | Mangrove (Kandelia obovate, Avicennia marina, Aegiceras corniculatum) | Inundation stress |
| Campbell et al. [153] | United States | Multirotor | RGB | GCPs | Piñon woodland | Drought |
| Pádua et al. [151] | Portugal | Fixed-Wing | RGB, multispectral | - | Maritime pine (Pinus pinaster) | Fire |
| Talucci et al. [132] | Russia | Multirotor | RGB, multispectral | GCPs | Cajander larch forest (Larix cajanderi) | Fire |
| Tran et al. [219] | South Korea | Multirotor | RGB | - | Not specified | Fire |
| Viedma et al. [95] | Spain | Not specified | LiDAR | Direct georeferencing (RTK/PPK) | Aleppo pine (Pinus halepensis) | Fire |
| Araujo et al. [97] | Panama | Not specified | RGB | - | Tropical forest | Extreme rainfall |
| Cohen et al. [98] | United States | Multirotor | RGB | GCPs | Black mangrove (Avicennia germinans) | Winter freeze |
| D’Odorico et al. [105] | Switzerland | Multirotor | Multispectral (modified to sense PRI) | GCPs | Scots pine (Pinus sylvestris) | Drought |
| Hillman et al. [100] | Australia | Multirotor | RGB, LiDAR | Direct georeferencing (RTK/PPK), GCPs, Coregistration | Eucalyptus (Eucalyptus obliqua, E. globulus) | Fire |
| Woo et al. [220] | South Korea | Multirotor | Multispectral | - | Korean red pine (Pinus densiflora), Japanese larch (Larix kaempferi) | Fire |
| Pádua et al. [109] | Portugal | Multirotor | RGB, multispectral | GCPs | Sweet chestnut (Castanea sativa) | Nutritional deficiencies, chestnut ink disease (Phytophthora cinnamomi), chestnut blight (Cryphonectria parasitica) |
| Koontz et al. [22] | United States | Multirotor | RGB, multispectral | GCPs | Ponderosa pine (Pinus ponderosa) | Drought, Western pine beetle (Dendroctonus brevicomis) |
| Authors | Study Area (Country) | UAV Type | Sensor | Geometric Correction | Tree Species Affected | Stressor |
|---|---|---|---|---|---|---|
| Yuan and Hu [126] | China | - | RGB | - | Not specified | Not specified/unknown |
| Saarinen et al. [34] | Finland | Single-rotor helicopter | RGB, hyperspectral | GCPs | Norway spruce (Picea abies), Scots pine (Pinus sylvestris), downy birch (Betula pendula and B. pubescens) | Not specified/unknown |
| Barmpoutis et al. [121] | Greece | Multirotor | RGB | - | Fir | Not specified/unknown |
| Khokthong et al. [148] | Indonesia | Multirotor | RGB | GCPs | Oil palm (Elaeis guineensis) | Not specified/unknown |
| Abdalla et al. [160] | Indonesia | Multirotor | RGB | - | Acacia | Not specified/unknown |
| Campos-Vargas et al. [156] | Costa Rica | Multirotor | Multispectral | GCPs | Tropical dry forest | Not specified/unknown |
| Gallardo-Salazar and Pompa-García [221] | Mexico | Multirotor | Multispectral | - | Arizona pine (Pinus arizonica) | Not specified/unknown |
References
- Trumbore, S.; Brando, P.; Hartmann, H. Forest health and global change. Science 2015, 349, 814–818. [Google Scholar] [CrossRef] [PubMed]
- Kotze, J.D.; Beukes, H.B.; Seifert, T. Essential environmental variables to include in a stratified sampling design for a national-level invasive alien tree survey. iForest 2019, 12, 418–426. [Google Scholar] [CrossRef]
- Smith, D.; Smith, I.; Collett, N.; Elms, S. Forest health surveillance in Victoria. Aust. For. 2008, 71, 188–195. [Google Scholar] [CrossRef]
- Gauthier, S.; Bernier, P.; Kuuluvainen, T.; Shvidenko, A.Z.; Schepaschenko, D.G. Boreal forest health and global change. Science 2015, 349, 819–822. [Google Scholar] [CrossRef]
- Lausch, A.; Borg, E.; Bumberger, J.; Dietrich, P.; Heurich, M.; Huth, A.; Jung, A.; Klenke, R.; Knapp, S.; Mollenhauer, H.; et al. Understanding Forest Health with Remote Sensing, Part III: Requirements for a Scalable Multi-Source Forest Health Monitoring Network Based on Data Science Approaches. Remote Sens. 2018, 10, 1120. [Google Scholar] [CrossRef]
- Forest Condition Monitoring (Level-I-Network). Available online: https://www.thuenen.de/de/wo/arbeitsbereiche/bodenschutz-und-waldzustand/waldzustandserhebung/ (accessed on 24 December 2021).
- Potter, K.M.; Conkling, B.L. Forest Health Monitoring: National Status, Trends, and Analysis 2020; Technical Report SRS-261; U.S. Department of Agriculture, Forest Service, Southern Research Station: Asheville, NC, USA, 2021. [CrossRef]
- Welcome to ICP Forests: A Programme Aiming at a Comprehensive Compilation of Information on the Condition of Forests in Europe and Beyond. Available online: http://icp-forests.net/ (accessed on 10 March 2022).
- Michel, A.; Kirchner, T.; Prescher, A.K.; Schwärzel, K. Forest Condition in Europe: The 2021 Assessment; Technical Report under the UNECE Convention on Long-Range Transboundary Air Pollution (Air Convention), ICP Forests; Thünen Institute: Eberswalde, Germany, 2021. [Google Scholar] [CrossRef]
- Zimudzi, E.; Sanders, I.; Rollings, N.; Omlin, C.W. Remote sensing of mangroves using unmanned aerial vehicles: Current state and future directions. J. Spat. Sci. 2021, 66, 195–212. [Google Scholar] [CrossRef]
- Lausch, A.; Erasmi, S.; King, D.; Magdon, P.; Heurich, M. Understanding Forest Health with Remote Sensing -Part I—A Review of Spectral Traits, Processes and Remote-Sensing Characteristics. Remote Sens. 2016, 8, 1029. [Google Scholar] [CrossRef]
- Lausch, A.; Erasmi, S.; King, D.; Magdon, P.; Heurich, M. Understanding Forest Health with Remote Sensing-Part II—A Review of Approaches and Data Models. Remote Sens. 2017, 9, 129. [Google Scholar] [CrossRef]
- Pause, M.; Schweitzer, C.; Rosenthal, M.; Keuck, V.; Bumberger, J.; Dietrich, P.; Heurich, M.; Jung, A.; Lausch, A. In Situ/Remote Sensing Integration to Assess Forest Health—A Review. Remote Sens. 2016, 8, 471. [Google Scholar] [CrossRef]
- Wulder, M.A.; White, J.C.; Bentz, B.; Alvarez, M.F.; Coops, N.C. Estimating the probability of mountain pine beetle red-attack damage. Remote Sens. Environ. 2006, 101, 150–166. [Google Scholar] [CrossRef]
- Seifert, E.; Seifert, S.; Vogt, H.; Drew, D.; van Aardt, J.; Kunneke, A.; Seifert, T. Influence of Drone Altitude, Image Overlap, and Optical Sensor Resolution on Multi-View Reconstruction of Forest Images. Remote Sens. 2019, 11, 1252. [Google Scholar] [CrossRef]
- Dainelli, R.; Toscano, P.; Di Gennaro, S.F.; Matese, A. Recent Advances in Unmanned Aerial Vehicles Forest Remote Sensing—A Systematic Review. Part II: Research Applications. Forests 2021, 12, 397. [Google Scholar] [CrossRef]
- Colomina, I.; Molina, P. Unmanned aerial systems for photogrammetry and remote sensing: A review. ISPRS J. Photogramm. Remote Sens. 2014, 92, 79–97. [Google Scholar] [CrossRef]
- From Unmanned to Uncrewed: Moving Away from Gender-Based Terminology. Available online: https://www.canada.ca/en/department-national-defence/maple-leaf/defence/2021/05/unmanned-to-uncrewed-moving-away-from-gender-based-terminology.html (accessed on 11 May 2022).
- Torres, P.; Rodes-Blanco, M.; Viana-Soto, A.; Nieto, H.; García, M. The Role of Remote Sensing for the Assessment and Monitoring of Forest Health: A Systematic Evidence Synthesis. Forests 2021, 12, 1134. [Google Scholar] [CrossRef]
- Guimarães, N.; Pádua, L.; Marques, P.; Silva, N.; Peres, E.; Sousa, J.J. Forestry Remote Sensing from Unmanned Aerial Vehicles: A Review Focusing on the Data, Processing and Potentialities. Remote Sens. 2020, 12, 1046. [Google Scholar] [CrossRef]
- Iglhaut, J.; Cabo, C.; Puliti, S.; Piermattei, L.; O’Connor, J.; Rosette, J. Structure from Motion Photogrammetry in Forestry: A Review. Curr. For. Rep. 2019, 5, 155–168. [Google Scholar] [CrossRef]
- Koontz, M.J.; Latimer, A.M.; Mortenson, L.A.; Fettig, C.J.; North, M.P. Cross-scale interaction of host tree size and climatic water deficit governs bark beetle-induced tree mortality. Nat. Commun. 2021, 12, 129. [Google Scholar] [CrossRef]
- Gómez, C.; Alejandro, P.; Hermosilla, T.; Montes, F.; Pascual, C.; Ruiz, L.A.; Álvarez-Taboada, F.; Tanase, M.; Valbuena, R. Remote sensing for the Spanish forests in the 21st century: A review of advances, needs, and opportunities. For. Syst. 2019, 28, 1–33. [Google Scholar] [CrossRef]
- Torresan, C.; Berton, A.; Carotenuto, F.; Di Gennaro, S.F.; Gioli, B.; Matese, A.; Miglietta, F.; Vagnoli, C.; Zaldei, A.; Wallace, L. Forestry applications of UAVs in Europe: A review. Int. J. Remote Sens. 2017, 38, 2427–2447. [Google Scholar] [CrossRef]
- Manfreda, S.; McCabe, M.; Miller, P.; Lucas, R.; Pajuelo Madrigal, V.; Mallinis, G.; Ben Dor, E.; Helman, D.; Estes, L.; Ciraolo, G.; et al. On the Use of Unmanned Aerial Systems for Environmental Monitoring. Remote Sens. 2018, 10, 641. [Google Scholar] [CrossRef]
- Aasen, H.; Honkavaara, E.; Lucieer, A.; Zarco-Tejada, P. Quantitative Remote Sensing at Ultra-High Resolution with UAV Spectroscopy: A Review of Sensor Technology, Measurement Procedures, and Data Correction Workflows. Remote Sens. 2018, 10, 1091. [Google Scholar] [CrossRef]
- Pádua, L.; Vanko, J.; Hruška, J.; Adão, T.; Sousa, J.J.; Peres, E.; Morais, R. UAS, sensors, and data processing in agroforestry: A review towards practical applications. Int. J. Remote Sens. 2017, 38, 2349–2391. [Google Scholar] [CrossRef]
- Anderson, K.; Gaston, K.J. Lightweight unmanned aerial vehicles will revolutionize spatial ecology. Front. Ecol. Environ. 2013, 11, 138–146. [Google Scholar] [CrossRef]
- Cracknell, A.P. UAVs: Regulations and law enforcement. Int. J. Remote Sens. 2017, 38, 3054–3067. [Google Scholar] [CrossRef]
- Tmušić, G.; Manfreda, S.; Aasen, H.; James, M.R.; Gonçalves, G.; Ben-Dor, E.; Brook, A.; Polinova, M.; Arranz, J.J.; Mészáros, J.; et al. Current Practices in UAS-based Environmental Monitoring. Remote Sens. 2020, 12, 1001. [Google Scholar] [CrossRef]
- Nex, F.; Remondino, F. UAV for 3D mapping applications: A review. Appl. Geomat. 2014, 6, 1–15. [Google Scholar] [CrossRef]
- Hall, R.J.; Castilla, G.; White, J.C.; Cooke, B.J.; Skakun, R.S. Remote sensing of forest pest damage: A review and lessons learned from a Canadian perspective. Can. Entomol. 2016, 148, S296–S356. [Google Scholar] [CrossRef]
- Han, X.; Thomasson, J.A.; Bagnall, G.C.; Pugh, N.A.; Horne, D.W.; Rooney, W.L.; Jung, J.; Chang, A.; Malambo, L.; Popescu, S.C.; et al. Measurement and Calibration of Plant-Height from Fixed-Wing UAV Images. Sensors 2018, 18, 4092. [Google Scholar] [CrossRef]
- Saarinen, N.; Vastaranta, M.; Näsi, R.; Rosnell, T.; Hakala, T.; Honkavaara, E.; Wulder, M.; Luoma, V.; Tommaselli, A.; Imai, N.; et al. Assessing Biodiversity in Boreal Forests with UAV-Based Photogrammetric Point Clouds and Hyperspectral Imaging. Remote Sens. 2018, 10, 338. [Google Scholar] [CrossRef]
- Goodbody, T.R.; Coops, N.C.; Marshall, P.L.; Tompalski, P.; Crawford, P. Unmanned aerial systems for precision forest inventory purposes: A review and case study. For. Chron. 2017, 93, 71–81. [Google Scholar] [CrossRef]
- Gatziolis, D.; Lienard, J.F.; Vogs, A.; Strigul, N.S. 3D Tree Dimensionality Assessment Using Photogrammetry and Small Unmanned Aerial Vehicles. PLoS ONE 2015, 10, e0137765. [Google Scholar] [CrossRef] [PubMed]
- Xiang, T.Z.; Xia, G.S.; Zhang, L. Mini-Unmanned Aerial Vehicle-Based Remote Sensing: Techniques, applications, and prospects. IEEE Geosci. Remote Sens. Mag. 2019, 7, 29–63. [Google Scholar] [CrossRef]
- G. Poley, L.; J. McDermid, G. A Systematic Review of the Factors Influencing the Estimation of Vegetation Aboveground Biomass Using Unmanned Aerial Systems. Remote Sens. 2020, 12, 1052. [Google Scholar] [CrossRef]
- Hirschmüller, H. Stereo processing by semiglobal matching and mutual information. IEEE Trans. Pattern Anal. Mach. Intell. 2008, 30, 328–341. [Google Scholar] [CrossRef]
- Dall’Asta, E.; Roncella, R. A comparison of semiglobal and local dense matching algorithms for surface reconstruction. In Proceedings of the International Archives of the Photogrammetry, Remote Sensing and Spatial Information Sciences, Riva del Garda, Italy, 23–25 June 2014; Volume 45. [Google Scholar] [CrossRef]
- White, J.; Wulder, M.; Vastaranta, M.; Coops, N.; Pitt, D.; Woods, M. The Utility of Image-Based Point Clouds for Forest Inventory: A Comparison with Airborne Laser Scanning. Forests 2013, 4, 518–536. [Google Scholar] [CrossRef]
- Anderson, K.; Westoby, M.J.; James, M.R. Low-budget topographic surveying comes of age: Structure from motion photogrammetry in geography and the geosciences. Prog. Phys. Geogr. Earth Environ. 2019, 43, 163–173. [Google Scholar] [CrossRef]
- Salamí, E.; Barrado, C.; Pastor, E. UAV flight experiments applied to the remote sensing of vegetated areas. Remote Sens. 2014, 6, 11051–11081. [Google Scholar] [CrossRef]
- Xia, L.; Zhang, R.; Chen, L.; Li, L.; Yi, T.; Wen, Y.; Ding, C.; Xie, C. Evaluation of Deep Learning Segmentation Models for Detection of Pine Wilt Disease in Unmanned Aerial Vehicle Images. Remote Sens. 2021, 13, 3594. [Google Scholar] [CrossRef]
- Nebiker, S.; Annen, A.; Scherrer, M.; Oesch, D. A light-weight multispectral sensor for micro UAV—Opportunities for very high resolution airborne remote sensing. Int. Arch. Photogramm. Remote Sens. Spat. Inf. Sci. 2008, 37, 1193–1200. [Google Scholar]
- Nebiker, S.; Lack, N.; Abaecherli, M.; Laederach, S. Light-weight multispectral UAV sensors and their capabilities for predicting grain yield and detecting plant diseases. In Proceedings of the 23rd Congress of the International-Society-for-Photogrammetry-and-Remote-Sensing (ISPRS), Prague, Czech Republic, 12–19 July 2016; Copernicus GmbH: Göttingen, Germany, 2016; Volume 41, pp. 963–970. [Google Scholar] [CrossRef]
- Adão, T.; Hruška, J.; Pádua, L.; Bessa, J.; Peres, E.; Morais, R.; Sousa, J. Hyperspectral Imaging: A Review on UAV-Based Sensors, Data Processing and Applications for Agriculture and Forestry. Remote Sens. 2017, 9, 1110. [Google Scholar] [CrossRef]
- Loncan, L.; Almeida, L.B.; Bioucas-Dias, J.M.; Briottet, X.; Chanussot, J.; Dobigeon, N.; Fabre, S.; Liao, W.; Licciardi, G.A.; Simoes, M.; et al. Hyperspectral Pansharpening: A Review. IEEE Geosci. Remote Sens. Mag. 2015, 3, 27–46. [Google Scholar] [CrossRef]
- Meng, X.; Shen, H.; Li, H.; Zhang, L.; Fu, R. Review of the pansharpening methods for remote sensing images based on the idea of meta-analysis: Practical discussion and challenges. Inf. Fusion 2019, 46, 102–113. [Google Scholar] [CrossRef]
- Aiazzi, B.; Baronti, S.; Selva, M. Improving Component Substitution Pansharpening Through Multivariate Regression of MS + Pan Data. IEEE Trans. Geosci. Remote Sens. 2007, 45, 3230–3239. [Google Scholar] [CrossRef]
- Thomas, C.; Ranchin, T.; Wald, L.; Chanussot, J. Synthesis of Multispectral Images to High Spatial Resolution: A Critical Review of Fusion Methods Based on Remote Sensing Physics. IEEE Trans. Geosci. Remote Sens. 2008, 46, 1301–1312. [Google Scholar] [CrossRef]
- Amro, I.; Mateos, J.; Vega, M.; Molina, R.; Katsaggelos, A.K. A survey of classical methods and new trends in pansharpening of multispectral images. EURASIP J. Adv. Signal Process. 2011, 2011, 79. [Google Scholar] [CrossRef]
- Yokoya, N.; Grohnfeldt, C.; Chanussot, J. Hyperspectral and Multispectral Data Fusion: A comparative review of the recent literature. IEEE Geosci. Remote Sens. Mag. 2017, 5, 29–56. [Google Scholar] [CrossRef]
- Calleja, J.F.; Requejo Pagés, O.; Díaz-Álvarez, N.; Peón, J.; Gutiérrez, N.; Martín-Hernández, E.; Cebada Relea, A.; Rubio Melendi, D.; Fernández Álvarez, P. Detection of buried archaeological remains with the combined use of satellite multispectral data and UAV data. Int. J. Appl. Earth Obs. Geoinf. 2018, 73, 555–573. [Google Scholar] [CrossRef]
- Brook, A.; de Micco, V.; Battipaglia, G.; Erbaggio, A.; Ludeno, G.; Catapano, I.; Bonfante, A. A smart multiple spatial and temporal resolution system to support precision agriculture from satellite images: Proof of concept on Aglianico vineyard. Remote Sens. Environ. 2020, 240, 111679. [Google Scholar] [CrossRef]
- RedEdge-P: The New Standard for Data Quality and Repeatability. Available online: https://micasense.com/rededge-p/ (accessed on 1 May 2022).
- Huo, L.; Zhang, N.; Zhang, X.; Wu, Y. Tree defoliation classification based on point distribution features derived from single-scan terrestrial laser scanning data. Ecol. Indic. 2019, 103, 782–790. [Google Scholar] [CrossRef]
- Shendryk, I.; Broich, M.; Tulbure, M.G.; McGrath, A.; Keith, D.; Alexandrov, S.V. Mapping individual tree health using full-waveform airborne laser scans and imaging spectroscopy: A case study for a floodplain eucalypt forest. Remote Sens. Environ. 2016, 187, 202–217. [Google Scholar] [CrossRef]
- Solberg, S.; Næsset, E.; Hanssen, K.H.; Christiansen, E. Mapping defoliation during a severe insect attack on Scots pine using airborne laser scanning. Remote Sens. Environ. 2006, 102, 364–376. [Google Scholar] [CrossRef]
- Bohn Reckziegel, R.; Sheppard, J.P.; Kahle, H.P.; Larysch, E.; Spiecker, H.; Seifert, T.; Morhart, C. Virtual pruning of 3D trees as a tool for managing shading effects in agroforestry systems. Agrofor. Syst. 2022, 96, 89–104. [Google Scholar] [CrossRef]
- Wallace, L.; Lucieer, A.; Watson, C.; Turner, D. Development of a UAV-LiDAR System with Application to Forest Inventory. Remote Sens. 2012, 4, 1519–1543. [Google Scholar] [CrossRef]
- Kuželka, K.; Slavík, M.; Surový, P. Very High Density Point Clouds from UAV Laser Scanning for Automatic Tree Stem Detection and Direct Diameter Measurement. Remote Sens. 2020, 12, 1236. [Google Scholar] [CrossRef]
- Dempewolf, J.; Nagol, J.; Hein, S.; Thiel, C.; Zimmermann, R. Measurement of Within-Season Tree Height Growth in a Mixed Forest Stand Using UAV Imagery. Forests 2017, 8, 231. [Google Scholar] [CrossRef]
- Schiefer, F.; Kattenborn, T.; Frick, A.; Frey, J.; Schall, P.; Koch, B.; Schmidtlein, S. Mapping forest tree species in high resolution UAV-based RGB-imagery by means of convolutional neural networks. ISPRS J. Photogramm. Remote Sens. 2020, 170, 205–215. [Google Scholar] [CrossRef]
- Hyyppä, E.; Hyyppä, J.; Hakala, T.; Kukko, A.; Wulder, M.A.; White, J.C.; Pyörälä, J.; Yu, X.; Wang, Y.; Virtanen, J.P.; et al. Under-canopy UAV laser scanning for accurate forest field measurements. ISPRS J. Photogramm. Remote Sens. 2020, 164, 41–60. [Google Scholar] [CrossRef]
- Puliti, S.; Saarela, S.; Gobakken, T.; Ståhl, G.; Næsset, E. Combining UAV and Sentinel-2 auxiliary data for forest growing stock volume estimation through hierarchical model-based inference. Remote Sens. Environ. 2018, 204, 485–497. [Google Scholar] [CrossRef]
- Bagaram, M.B.; Giuliarelli, D.; Chirici, G.; Giannetti, F.; Barbati, A. UAV remote sensing for biodiversity monitoring: Are forest canopy gaps good covariates? Remote Sens. 2018, 10, 1397. [Google Scholar] [CrossRef]
- Sothe, C.; Dalponte, M.; de Almeida, C.M.; Schimalski, M.B.; Lima, C.L.; Liesenberg, V.; Miyoshi, G.T.; Tommaselli, A.M.G. Tree Species Classification in a Highly Diverse Subtropical Forest Integrating UAV-Based Photogrammetric Point Cloud and Hyperspectral Data. Remote Sens. 2019, 11, 1338. [Google Scholar] [CrossRef]
- Yaney-Keller, A.; Santidrián Tomillo, P.; Marshall, J.M.; Paladino, F.V. Using Unmanned Aerial Systems (UAS) to assay mangrove estuaries on the Pacific coast of Costa Rica. PLoS ONE 2019, 14, e0217310. [Google Scholar] [CrossRef] [PubMed]
- Witczuk, J.; Pagacz, S.; Zmarz, A.; Cypel, M. Exploring the feasibility of unmanned aerial vehicles and thermal imaging for ungulate surveys in forests - preliminary results. Int. J. Remote Sens. 2018, 39, 5504–5521. [Google Scholar] [CrossRef]
- Hendel, I.G.; Ross, G.M. Efficacy of Remote Sensing in Early Forest Fire Detection: A Thermal Sensor Comparison. Can. J. Remote Sens. 2020, 46, 414–428. [Google Scholar] [CrossRef]
- Yuan, C.; Zhang, Y.; Liu, Z. A survey on technologies for automatic forest fire monitoring, detection, and fighting using unmanned aerial vehicles and remote sensing techniques. Can. J. For. Res. 2015, 45, 783–792. [Google Scholar] [CrossRef]
- FAO and UNEP. The State of the World’s Forests 2020: Forests, Biodiversity and People; FAO and UNEP: Rome, Italy, 2020; p. 214. [Google Scholar] [CrossRef]
- Miura, S.; Amacher, M.; Hofer, T.; San-Miguel-Ayanz, J.; Ernawati; Thackway, R. Protective functions and ecosystem services of global forests in the past quarter-century. For. Ecol. Manag. 2015, 352, 35–46. [Google Scholar] [CrossRef]
- Mensah, S.; Veldtman, R.; Assogbadjo, A.E.; Ham, C.; Glèlè Kakaï, R.; Seifert, T. Ecosystem service importance and use vary with socio-environmental factors: A study from household-surveys in local communities of South Africa. Ecosyst. Serv. 2017, 23, 1–8. [Google Scholar] [CrossRef]
- Niinemets, Ü. Responses of forest trees to single and multiple environmental stresses from seedlings to mature plants: Past stress history, stress interactions, tolerance and acclimation. For. Ecol. Manag. 2010, 260, 1623–1639. [Google Scholar] [CrossRef]
- Seidl, R.; Thom, D.; Kautz, M.; Martin-Benito, D.; Peltoniemi, M.; Vacchiano, G.; Wild, J.; Ascoli, D.; Petr, M.; Honkaniemi, J. Forest disturbances under climate change. Nat. Clim. Chang. 2017, 7, 395–402. [Google Scholar] [CrossRef]
- Stone, C.; Mohammed, C. Application of Remote Sensing Technologies for Assessing Planted Forests Damaged by Insect Pests and Fungal Pathogens: A Review. Curr. For. Rep. 2017, 3, 75–92. [Google Scholar] [CrossRef]
- Lambers, H.; Oliveira, R.S. Introduction: History, Assumptions, and Approaches. In Plant Physiological Ecology, 3rd ed.; Springer International Publishing AG: Cham, Switzerland, 2019; pp. 1–10. [Google Scholar] [CrossRef]
- Eitel, J.U.; Vierling, L.A.; Litvak, M.E.; Long, D.S.; Schulthess, U.; Ager, A.A.; Krofcheck, D.J.; Stoscheck, L. Broadband, red-edge information from satellites improves early stress detection in a New Mexico conifer woodland. Remote Sens. Environ. 2011, 115, 3640–3646. [Google Scholar] [CrossRef]
- Hernández-Clemente, R.; Navarro-Cerrillo, R.M.; Suárez, L.; Morales, F.; Zarco-Tejada, P.J. Assessing structural effects on PRI for stress detection in conifer forests. Remote Sens. Environ. 2011, 115, 2360–2375. [Google Scholar] [CrossRef]
- Grulke, N.E.; Heath, R.L. Ozone effects on plants in natural ecosystems. Plant Biol. 2020, 22 (Suppl. 1), 12–37. [Google Scholar] [CrossRef] [PubMed]
- Schuldt, B.; Buras, A.; Arend, M.; Vitasse, Y.; Beierkuhnlein, C.; Damm, A.; Gharun, M.; Grams, T.E.; Hauck, M.; Hajek, P.; et al. A first assessment of the impact of the extreme 2018 summer drought on Central European forests. Basic Appl. Ecol. 2020, 45, 86–103. [Google Scholar] [CrossRef]
- Obladen, N.; Dechering, P.; Skiadaresis, G.; Tegel, W.; Keßler, J.; Höllerl, S.; Kaps, S.; Hertel, M.; Dulamsuren, C.; Seifert, T.; et al. Tree mortality of European beech and Norway spruce induced by 2018-2019 hot droughts in central Germany. Agric. For. Meteorol. 2021, 307, 108482. [Google Scholar] [CrossRef]
- Hernández-Clemente, R.; Navarro-Cerrillo, R.M.; Zarco-Tejada, P.J. Carotenoid content estimation in a heterogeneous conifer forest using narrow-band indices and PROSPECT+DART simulations. Remote Sens. Environ. 2012, 127, 298–315. [Google Scholar] [CrossRef]
- Padua, L.; Adao, T.; Guimaraes, N.; Sousa, A.; Peres, E.; Sousa, J.J. Post-fire Forestry Recovery Monitoring Using High-resolution Multispectral Imagery From Unmanned Aerial Vehicles. In Proceedings of the Conference on Geo-Information for Disaster Management (Gi4DM), Prague, Czech Republic, 3–6 September 2019; Copernicus GmbH: Göttingen, Germany, 2019; Volume XLII-3/W8, pp. 301–305. [Google Scholar] [CrossRef]
- Safonova, A.; Hamad, Y.; Dmitriev, E.; Georgiev, G.; Trenkin, V.; Georgieva, M.; Dimitrov, S.; Iliev, M. Individual Tree Crown Delineation for the Species Classification and Assessment of Vital Status of Forest Stands from UAV Images. Drones 2021, 5, 77. [Google Scholar] [CrossRef]
- Lehmann, J.; Nieberding, F.; Prinz, T.; Knoth, C. Analysis of Unmanned Aerial System-Based CIR Images in Forestry—A New Perspective to Monitor Pest Infestation Levels. Forests 2015, 6, 594–612. [Google Scholar] [CrossRef]
- Michez, A.; Piégay, H.; Lisein, J.; Claessens, H.; Lejeune, P. Classification of riparian forest species and health condition using multi-temporal and hyperspatial imagery from unmanned aerial system. Environ. Monit. Assess. 2016, 188, 146. [Google Scholar] [CrossRef]
- Brovkina, O.; Cienciala, E.; Surový, P.; Janata, P. Unmanned aerial vehicles (UAV) for assessment of qualitative classification of Norway spruce in temperate forest stands. Geo-Spat. Inf. Sci. 2018, 21, 12–20. [Google Scholar] [CrossRef]
- Rossi, F.; Fritz, A.; Becker, G. Combining Satellite and UAV Imagery to Delineate Forest Cover and Basal Area after Mixed-Severity Fires. Sustainability 2018, 10, 2227. [Google Scholar] [CrossRef]
- Klouček, T.; Komárek, J.; Surový, P.; Hrach, K.; Janata, P.; Vašíček, B. The Use of UAV Mounted Sensors for Precise Detection of Bark Beetle Infestation. Remote Sens. 2019, 11, 1561. [Google Scholar] [CrossRef]
- Paczkowski, S.; Datta, P.; Irion, H.; Paczkowska, M.; Habert, T.; Pelz, S.; Jaeger, D. Evaluation of Early Bark Beetle Infestation Localization by Drone-Based Monoterpene Detection. Forests 2021, 12, 228. [Google Scholar] [CrossRef]
- Honkavaara, E.; Näsi, R.; Oliveira, R.; Viljanen, N.; Suomalainen, J.; Khoramshahi, E.; Hakala, T.; Nevalainen, O.; Markelin, L.; Vuorinen, M.; et al. Using multitemporal hyper- and multispectral UAV imaging for detecting bark beetle infestation on Norway spruce. Int. Arch. Photogramm. Remote Sens. Spat. Inf. Sci. 2020, XLIII-B3-2020, 429–434. [Google Scholar] [CrossRef]
- Viedma, O.; Almeida, D.R.A.; Moreno, J.M. Postfire Tree Structure from High-Resolution LiDAR and RBR Sentinel 2A Fire Severity Metrics in a Pinus halepensis-Dominated Burned Stand. Remote Sens. 2020, 12, 3554. [Google Scholar] [CrossRef]
- Cessna, J.; Alonzo, M.G.; Foster, A.C.; Cook, B.D. Mapping Boreal Forest Spruce Beetle Health Status at the Individual Crown Scale Using Fused Spectral and Structural Data. Forests 2021, 12, 1145. [Google Scholar] [CrossRef]
- Araujo, R.F.; Grubinger, S.; Celes, C.H.S.; Negrón-Juárez, R.I.; Garcia, M.; Dandois, J.P.; Muller-Landau, H.C. Strong temporal variation in treefall and branchfall rates in a tropical forest is related to extreme rainfall: Results from 5 years of monthly drone data for a 50 ha plot. Biogeosciences 2021, 18, 6517–6531. [Google Scholar] [CrossRef]
- Cohen, M.C.; de Souza, A.V.; Liu, K.b.; Rodrigues, E.; Yao, Q.; Ryu, J.; Dietz, M.; Pessenda, L.C.; Rossetti, D. Effects of the 2017–2018 winter freeze on the northern limit of the American mangroves, Mississippi River delta plain. Geo-Spat. Inf. Sci. 2021, 394, 107968. [Google Scholar] [CrossRef]
- Carvajal-Ramírez, F.; Da Marques Silva, J.R.; Agüera-Vega, F.; Martínez-Carricondo, P.; Serrano, J.; Moral, F.J. Evaluation of Fire Severity Indices Based on Pre- and Post-Fire Multispectral Imagery Sensed from UAV. Remote Sens. 2019, 11, 993. [Google Scholar] [CrossRef]
- Hillman, S.; Hally, B.; Wallace, L.; Turner, D.; Lucieer, A.; Reinke, K.; Jones, S. High-Resolution Estimates of Fire Severity—An Evaluation of UAS Image and LiDAR Mapping Approaches on a Sedgeland Forest Boundary in Tasmania, Australia. Fire Ecol. 2021, 4, 14. [Google Scholar] [CrossRef]
- McKenna, P.; Erskine, P.D.; Lechner, A.M.; Phinn, S. Measuring fire severity using UAV imagery in semi-arid central Queensland, Australia. Int. J. Remote Sens. 2017, 38, 4244–4264. [Google Scholar] [CrossRef]
- Abdollahnejad, A.; Panagiotidis, D. Tree Species Classification and Health Status Assessment for a Mixed Broadleaf-Conifer Forest with UAS Multispectral Imaging. Remote Sens. 2020, 12, 3722. [Google Scholar] [CrossRef]
- Dash, J.P.; Watt, M.S.; Pearse, G.D.; Heaphy, M.; Dungey, H.S. Assessing very high resolution UAV imagery for monitoring forest health during a simulated disease outbreak. ISPRS J. Photogramm. Remote Sens. 2017, 131, 1–14. [Google Scholar] [CrossRef]
- Dash, J.; Pearse, G.; Watt, M. UAV Multispectral Imagery Can Complement Satellite Data for Monitoring Forest Health. Remote Sens. 2018, 10, 1216. [Google Scholar] [CrossRef]
- D’Odorico, P.; Schönbeck, L.; Vitali, V.; Meusburger, K.; Schaub, M.; Ginzler, C.; Zweifel, R.; Velasco, V.M.E.; Gisler, J.; Gessler, A.; et al. Drone-based physiological index reveals long-term acclimation and drought stress responses in trees. Plant Cell Environ. 2021, 44, 3552–3570. [Google Scholar] [CrossRef] [PubMed]
- Iordache, M.D.; Mantas, V.; Baltazar, E.; Lewyckyj, N.; Souverijns, N. Application of Random forest classification to detect the pine wilt disease from high resolution spectral images. In Proceedings of the IGARSS 2020—2020 IEEE International Geoscience and Remote Sensing Symposium, Waikoloa, HI, USA, 26 September–2 October 2020; Institute of Electrical and Electronics Engineers (IEEE): Piscataway, NJ, USA, 2020; pp. 4489–4492. [Google Scholar] [CrossRef]
- Lee, S.; Park, S.J.; Baek, G.; Kim, H.; Lee, C.W. Detection of damaged pine tree by the pine wilt disease using UAV Image. Korean J. Remote Sens. 2019, 35, 359–373. [Google Scholar]
- Maes, W.; Huete, A.; Avino, M.; Boer, M.; Dehaan, R.; Pendall, E.; Griebel, A.; Steppe, K. Can UAV-Based Infrared Thermography Be Used to Study Plant-Parasite Interactions between Mistletoe and Eucalypt Trees? Remote Sens. 2018, 10, 2062. [Google Scholar] [CrossRef]
- Pádua, L.; Marques, P.; Martins, L.; Sousa, A.; Peres, E.; Sousa, J.J. Monitoring of Chestnut Trees Using Machine Learning Techniques Applied to UAV-Based Multispectral Data. Remote Sens. 2020, 12, 3032. [Google Scholar] [CrossRef]
- Schaeffer, S.E.; Jiménez-Lizárraga, M.; Rodriguez-Sanchez, S.V.; Cuellar-Rodríguez, G.; Aguirre-Calderón, O.A.; Reyna-González, A.M.; Escobar, A. Detection of bark beetle infestation in drone imagery via thresholding cellular automata. J. Appl. Remote Sens. 2021, 15, 016518. [Google Scholar] [CrossRef]
- Wu, B.; Liang, A.; Zhang, H.; Zhu, T.; Zou, Z.; Yang, D.; Tang, W.; Li, J.; Su, J. Application of conventional UAV-based high-throughput object detection to the early diagnosis of pine wilt disease by deep learning. For. Ecol. Manag. 2021, 486, 118986. [Google Scholar] [CrossRef]
- Yu, R.; Luo, Y.; Li, H.; Yang, L.; Huang, H.; Yu, L.; Ren, L. Three-Dimensional Convolutional Neural Network Model for Early Detection of Pine Wilt Disease Using UAV-Based Hyperspectral Images. Remote Sens. 2021, 13, 4065. [Google Scholar] [CrossRef]
- Miraki, M.; Sohrabi, H.; Fatehi, P.; Kneubuehler, M. Detection of mistletoe infected trees using UAV high spatial resolution images. J. Plant Dis. Prot. 2021, 128, 1679–1689. [Google Scholar] [CrossRef]
- Klein Hentz, Â.M.; Strager, M.P. Cicada (Magicicada) Tree Damage Detection Based on UAV Spectral and 3D Data. Nat. Sci. 2018, 10, 31–44. [Google Scholar] [CrossRef]
- Pádua, L.; Hruška, J.; Bessa, J.; Adão, T.; Martins, L.; Gonçalves, J.; Peres, E.; Sousa, A.; Castro, J.; Sousa, J. Multi-Temporal Analysis of Forestry and Coastal Environments Using UASs. Remote Sens. 2018, 10, 24. [Google Scholar] [CrossRef]
- Lin, Q.; Huang, H.; Wang, J.; Huang, K.; Liu, Y. Detection of Pine Shoot Beetle (PSB) Stress on Pine Forests at Individual Tree Level using UAV-Based Hyperspectral Imagery and Lidar. Remote Sens. 2019, 11, 2540. [Google Scholar] [CrossRef]
- Lin, Q.; Huang, H.; Chen, L.; Wang, J.; Huang, K.; Liu, Y. Using the 3D model RAPID to invert the shoot dieback ratio of vertically heterogeneous Yunnan pine forests to detect beetle damage. Remote Sens. Environ. 2021, 260, 112475. [Google Scholar] [CrossRef]
- Yu, R.; Luo, Y.; Zhou, Q.; Zhang, X.; Wu, D.; Ren, L. A machine learning algorithm to detect pine wilt disease using UAV-based hyperspectral imagery and LiDAR data at the tree level. Int. J. Appl. Earth Obs. Geoinf. 2021, 101, 102363. [Google Scholar] [CrossRef]
- Guerra-Hernández, J.; Díaz-Varela, R.A.; Ávarez-González, J.G.; Rodríguez-González, P.M. Assessing a novel modelling approach with high resolution UAV imagery for monitoring health status in priority riparian forests. For. Ecosyst. 2021, 8, 61. [Google Scholar] [CrossRef]
- Minařík, R.; Langhammer, J.; Lendzioch, T. Automatic Tree Crown Extraction from UAS Multispectral Imagery for the Detection of Bark Beetle Disturbance in Mixed Forests. Remote Sens. 2020, 12, 4081. [Google Scholar] [CrossRef]
- Barmpoutis, P.; Stathaki, T.; Kamperidou, V. Monitoring of trees’ health condition using a uav equipped with low-cost digital camera. In Proceedings of the 44th IEEE International Conference on Acoustics, Speech and Signal Processing (ICASSP), Brighton, UK, 12–17 May 2019; Institute of Electrical and Electronics Engineers (IEEE): Piscataway, NJ, USA, 2019; pp. 8291–8295. [Google Scholar] [CrossRef]
- Ganthaler, A.; Losso, A.; Mayr, S. Using image analysis for quantitative assessment of needle bladder rust disease of Norway spruce. Plant Pathol. 2018, 67, 1122–1130. [Google Scholar] [CrossRef]
- Gerard, F.; George, C.; Iglhaut, J.; Broughton, R.; Chavana-Bryant, C.; White, K.; Schonrogge, K. Deriving hyper spectral reflectance spectra from uav data collected in changeable illumination conditions to assess vegetation condition. In Proceedings of the 38th IEEE International Geoscience and Remote Sensing Symposium (IGARSS), Valencia, Spain, 22–27 July 2018; Institute of Electrical and Electronics Engineers (IEEE): Piscataway, NJ, USA, 2018; pp. 8837–8840. [Google Scholar]
- Li, F.; Liu, Z.; Shen, W.; Wang, Y.; Wang, Y.; Ge, C.; Sun, F.; Lan, P. A Remote Sensing and Airborne Edge-Computing Based Detection System for Pine Wilt Disease. IEEE Access 2021, 9, 66346–66360. [Google Scholar] [CrossRef]
- Akıncı, Ş.; Göktoǧan, A. Detection and Mapping of Pine Processionary Moth Nests in UAV Imagery of Pine Forests Using Semantic Segmentation. In Proceedings of the Australasian Conference on Robotics and Automation (ACRA), Adelaide, Australia, 9–11 December 2019. [Google Scholar]
- Yuan, Y.; Hu, X. Random forest and objected-based classification for forest pest extraction from UAV aerial imagery. In Proceedings of the 23rd Congress of the International-Society-for-Photogrammetry-and-Remote-Sensing (ISPRS), Prague, Czech Republic, 12–19 July 2016; Copernicus GmbH: Göttingen, Germany, 2016; Volume 41, pp. 1093–1098. [Google Scholar] [CrossRef]
- Xu, K.; Gong, Y.; Fang, S.; Wang, K.; Lin, Z.; Wang, F. Radiometric calibration of UAV remote sensing image with spectral angle constraint. Remote Sens. 2019, 11, 1291. [Google Scholar] [CrossRef]
- Guo, Y.; Senthilnath, J.; Wu, W.; Zhang, X.; Zeng, Z.; Huang, H. Radiometric calibration for multispectral camera of different imaging conditions mounted on a UAV platform. Sustainability 2019, 11, 978. [Google Scholar] [CrossRef]
- Cardil, A.; Otsu, K.; Pla, M.; Silva, C.A.; Brotons, L. Quantifying pine processionary moth defoliation in a pine-oak mixed forest using unmanned aerial systems and multispectral imagery. PLoS ONE 2019, 14, e0213027. [Google Scholar] [CrossRef] [PubMed]
- Minařík, R.; Langhammer, J.; Lendzioch, T. Detection of Bark Beetle Disturbance at Tree Level Using UAS Multispectral Imagery and Deep Learning. Remote Sens. 2021, 13, 4768. [Google Scholar] [CrossRef]
- Dimitrov, S.; Georgiev, G.; Mirchev, P.; Georgieva, M.; Iliev, M.; Doychev, D.; Bencheva, S.; Zaemdzhikova, G.; Zaphirov, N. Integrated model of application of remote sensing and field investigations for sanitary status assessment of forest stands in two reserves in West Balkan Range, Bulgaria. In Proceedings of the 7th International Conference on Remote Sensing and Geoinformation of the Environment (RSCy), Cyprus Remote Sensing Soc, Paphos, Cyprus, 18–21 March 2019; SPIE-INT SOC Optical Engineering: Bellingham, WA, USA, 2019; Volume 11174. [Google Scholar] [CrossRef]
- Talucci, A.C.; Forbath, E.; Kropp, H.; Alexander, H.D.; DeMarco, J.; Paulson, A.K.; Zimov, N.S.; Zimov, S.; Loranty, M.M. Evaluating Post-Fire Vegetation Recovery in Cajander Larch Forests in Northeastern Siberia Using UAV Derived Vegetation Indices. Remote Sens. 2020, 12, 2970. [Google Scholar] [CrossRef]
- Duarte, A.; Acevedo-Muñoz, L.; Gonçalves, C.I.; Mota, L.; Sarmento, A.; Silva, M.; Fabres, S.; Borralho, N.; Valente, C. Detection of Longhorned Borer Attack and Assessment in Eucalyptus Plantations Using UAV Imagery. Remote Sens. 2020, 12, 3153. [Google Scholar] [CrossRef]
- Näsi, R.; Honkavaara, E.; Lyytikäinen-Saarenmaa, P.; Blomqvist, M.; Litkey, P.; Hakala, T.; Viljanen, N.; Kantola, T.; Tanhuanpää, T.; Holopainen, M. Using UAV-Based Photogrammetry and Hyperspectral Imaging for Mapping Bark Beetle Damage at Tree-Level. Remote Sens. 2015, 7, 15467–15493. [Google Scholar] [CrossRef]
- Näsi, R.; Honkavaara, E.; Blomqvist, M.; Lyytikäinen-Saarenmaa, P.; Hakala, T.; Viljanen, N.; Kantola, T.; Holopainen, M. Remote sensing of bark beetle damage in urban forests at individual tree level using a novel hyperspectral camera from UAV and aircraft. Urban For. Urban Green. 2018, 30, 72–83. [Google Scholar] [CrossRef]
- Smigaj, M.; Gaulton, R.; Barr, S.L.; Suarez, J.C. UAV-borne Thermal Imaging For Forest Health Monitoring: Detection Of Disease-Induced Canopy Temperature Increase. In Proceedings of the ISPRS Geospatial Week, La Grande Motte, France, 28 September–3 October 2015; Copernicus GmbH: Göttingen, Germany, 2015; Volume XL-3/W3, pp. 349–354. [Google Scholar] [CrossRef]
- Smigaj, M.; Gaulton, R.; Suárez, J.C.; Barr, S.L. Canopy temperature from an Unmanned Aerial Vehicle as an indicator of tree stress associated with red band needle blight severity. For. Ecol. Manag. 2019, 433, 699–708. [Google Scholar] [CrossRef]
- Otsu, K.; Pla, M.; Duane, A.; Cardil, A.; Brotons, L. Estimating the Threshold of Detection on Tree Crown Defoliation Using Vegetation Indices from UAS Multispectral Imagery. Drones 2019, 3, 80. [Google Scholar] [CrossRef]
- Zhu, X.; Hou, Y.; Weng, Q.; Chen, L. Integrating UAV optical imagery and LiDAR data for assessing the spatial relationship between mangrove and inundation across a subtropical estuarine wetland. ISPRS J. Photogramm. Remote Sens. 2019, 149, 146–156. [Google Scholar] [CrossRef]
- Liu, M.; Zhang, Z.; Liu, X.; Yao, J.; Du, T.; Ma, Y.; Shi, L. Discriminant Analysis of the Damage Degree Caused by Pine Shoot Beetle to Yunnan Pine Using UAV-Based Hyperspectral Images. Forests 2020, 11, 1258. [Google Scholar] [CrossRef]
- Qin, J.; Wang, B.; Wu, Y.; Lu, Q.; Zhu, H. Identifying Pine Wood Nematode Disease Using UAV Images and Deep Learning Algorithms. Remote Sens. 2021, 13, 162. [Google Scholar] [CrossRef]
- Yu, R.; Luo, Y.; Zhou, Q.; Zhang, X.; Wu, D.; Ren, L. Early detection of pine wilt disease using deep learning algorithms and UAV-based multispectral imagery. For. Ecol. Manag. 2021, 497, 119493. [Google Scholar] [CrossRef]
- Otsu, K.; Pla, M.; Vayreda, J.; Brotons, L. Calibrating the Severity of Forest Defoliation by Pine Processionary Moth with Landsat and UAV Imagery. Sensors 2018, 18, 3278. [Google Scholar] [CrossRef]
- Li, W.; Campos-Vargas, C.; Marzahn, P.; Sanchez-Azofeifa, A. On the estimation of tree mortality and liana infestation using a deep self-encoding network. Int. J. Appl. Earth Obs. Geoinf. 2018, 73, 1–13. [Google Scholar] [CrossRef]
- Waite, C.E.; Heijden, G.M.F.; Field, R.; Boyd, D.S. A view from above: Unmanned aerial vehicles ( UAV s) provide a new tool for assessing liana infestation in tropical forest canopies. J. Appl. Ecol. 2019, 56, 902–912. [Google Scholar] [CrossRef]
- Yu, R.; Ren, L.; Luo, Y. Early detection of pine wilt disease in Pinus tabuliformis in North China using a field portable spectrometer and UAV-based hyperspectral imagery. For. Ecosyst. 2021, 8, 44. [Google Scholar] [CrossRef]
- Ludovisi, R.; Tauro, F.; Salvati, R.; Khoury, S.; Mugnozza Scarascia, G.; Harfouche, A. UAV-Based Thermal Imaging for High-Throughput Field Phenotyping of Black Poplar Response to Drought. Front. Plant Sci. 2017, 8, 1681. [Google Scholar] [CrossRef]
- Khokthong, W.; Zemp, D.C.; Irawan, B.; Sundawati, L.; Kreft, H.; Hölscher, D. Drone-Based Assessment of Canopy Cover for Analyzing Tree Mortality in an Oil Palm Agroforest. Front. For. Glob. Chang. 2019, 2, 12. [Google Scholar] [CrossRef]
- Fraser, R.; van der Sluijs, J.; Hall, R. Calibrating Satellite-Based Indices of Burn Severity from UAV-Derived Metrics of a Burned Boreal Forest in NWT, Canada. Remote Sens. 2017, 9, 279. [Google Scholar] [CrossRef]
- Buras, A.; Schunk, C.; Zeiträg, C.; Herrmann, C.; Kaiser, L.; Lemme, H.; Straub, C.; Taeger, S.; Gößwein, S.; Klemmt, H.J.; et al. Are Scots pine forest edges particularly prone to drought-induced mortality? Environ. Res. Lett. 2018, 13, 025001. [Google Scholar] [CrossRef]
- Pádua, L.; Guimarães, N.; Adão, T.; Sousa, A.; Peres, E.; Sousa, J.J. Effectiveness of Sentinel-2 in Multi-Temporal Post-Fire Monitoring When Compared with UAV Imagery. ISPRS Int. J. Geo-Inf. 2020, 9, 225. [Google Scholar] [CrossRef]
- Röder, M.; Latifi, H.; Hill, S.; Wild, J.; Svoboda, M.; Brůna, J.; Macek, M.; Nováková, M.H.; Gülch, E.; Heurich, M. Application of optical unmanned aerial vehicle-based imagery for the inventory of natural regeneration and standing deadwood in post-disturbed spruce forests. Int. J. Remote Sens. 2018, 39, 5288–5309. [Google Scholar] [CrossRef]
- Campbell, M.J.; Dennison, P.E.; Tune, J.W.; Kannenberg, S.A.; Kerr, K.L.; Codding, B.F.; Anderegg, W.R. A multi-sensor, multi-scale approach to mapping tree mortality in woodland ecosystems. Remote Sens. Environ. 2020, 245, 111853. [Google Scholar] [CrossRef]
- Arkin, J.; Coops, N.C.; Hermosilla, T.; Daniels, L.D.; Plowright, A. Integrated fire severity–land cover mapping using very-high-spatial-resolution aerial imagery and point clouds. Int. J. Wildland Fire 2019, 28, 840. [Google Scholar] [CrossRef]
- Nguyen, H.T.; Lopez Caceres, M.L.; Moritake, K.; Kentsch, S.; Shu, H.; Diez, Y. Individual Sick Fir Tree (Abies mariesii) Identification in Insect Infested Forests by Means of UAV Images and Deep Learning. Remote Sens. 2021, 13, 260. [Google Scholar] [CrossRef]
- Campos-Vargas, C.; Sanchez-Azofeifa, A.; Laakso, K.; Marzahn, P. Unmanned Aerial System and Machine Learning Techniques Help to Detect Dead Woody Components in a Tropical Dry Forest. Forests 2020, 11, 827. [Google Scholar] [CrossRef]
- Syifa, M.; Park, S.j.; Lee, C.W. Detection of the Pine Wilt Disease Tree Candidates for Drone Remote Sensing Using Artificial Intelligence Techniques. Engineering 2020, 6, 919–926. [Google Scholar] [CrossRef]
- Navarro, A.; Catalao, J.; Calvao, J. Assessing the Use of Sentinel-2 Time Series Data for Monitoring Cork Oak Decline in Portugal. Remote Sens. 2019, 11, 2515. [Google Scholar] [CrossRef]
- Dell, M.; Stone, C.; Osborn, J.; Glen, M.; McCoull, C.; Rimbawanto, A.; Tjahyono, B.; Mohammed, C. Detection of necrotic foliage in a young Eucalyptus pellita plantation using unmanned aerial vehicle RGB photography—A demonstration of concept. Aust. For. 2019, 82, 79–88. [Google Scholar] [CrossRef]
- Abdalla, D.; Ramdan, H.; Dungani, R. Spectral Colour Characteristic’s (Red, Green, Blue) of Sick Acacia Mangium Stand. In Proceedings of the 2nd International Conference on Environment and Forest Conservation (ICEFC), Mindanao State University, Bogor, Indonesia, 1–3 October 2019; IOP Publishing: Bristol, UK, 2020; Volume 528, p. 012049. [Google Scholar] [CrossRef]
- Rossi, F.; Becker, G. Creating forest management units with Hot Spot Analysis (Getis-Ord Gi*) over a forest affected by mixed-severity fires. Aust. For. 2019, 82, 166–175. [Google Scholar] [CrossRef]
- Zhang, N.; Zhang, X.; Yang, G.; Zhu, C.; Huo, L.; Feng, H. Assessment of defoliation during the Dendrolimus tabulaeformis Tsai et Liu disaster outbreak using UAV-based hyperspectral images. Remote Sens. Environ. 2018, 217, 323–339. [Google Scholar] [CrossRef]
- Sandino, J.; Pegg, G.; Gonzalez, F.; Smith, G. Aerial Mapping of Forests Affected by Pathogens Using UAVs, Hyperspectral Sensors, and Artificial Intelligence. Sensors 2018, 18, 944. [Google Scholar] [CrossRef] [PubMed]
- Kampen, M.; Lederbauer, S.; Mund, J.P.; Immitzer, M. UAV-Based Multispectral Data for Tree Species Classification and Tree Vitality Analysis. In Proceedings of the Dreiländertagung der Deutschen Gesellschaft für Photogrammetrie, Fernerkundung und Geoinformation (DGPF), der OVG und der SGPF, Wien, Austria, 20–22 February 2019. [Google Scholar]
- Doonan, J.; Denman, S.; Pachebat, J.A.; McDonald, J.E. Genomic analysis of bacteria in the Acute Oak Decline pathobiome. Microb. Genom. 2019, 5, e000240. [Google Scholar] [CrossRef] [PubMed]
- Yuan, X.; Laakso, K.; Marzahn, P.; Sanchez-Azofeifa, G.A. Canopy Temperature Differences between Liana-Infested and Non-Liana Infested Areas in a Neotropical Dry Forest. Forests 2019, 10, 890. [Google Scholar] [CrossRef]
- Cox, C.J.; Edwards, W.; Campbell, M.J.; Laurance, W.F.; Laurance, S.G.W. Liana cover in the canopies of rainforest trees is not predicted by local ground–based measures. Austral Ecol. 2019, 44, 759–767. [Google Scholar] [CrossRef]
- Visser, M.D.; Muller-Landau, H.C.; Schnitzer, S.A.; Kroon, H.; Jongejans, E.; Wright, S.J. A host–parasite model explains variation in liana infestation among co–occurring tree species. J. Ecol. 2018, 106, 2435–2445. [Google Scholar] [CrossRef]
- Nagai, S.; Saitoh, T.M.; Kajiwara, K.; Yoshitake, S.; Honda, Y. Investigation of the potential of drone observations for detection of forest disturbance caused by heavy snow damage in a Japanese cedar (Cryptomeria japonica) forest. J. Agric. Meteorol. 2018, 74, 123–127. [Google Scholar] [CrossRef]
- Gamon, J.A.; Peñuelas, J.; Field, C.B. A narrow-waveband spectral index that tracks diurnal changes in photosynthetic efficiency. Remote Sens. Environ. 1992, 41, 35–44. [Google Scholar] [CrossRef]
- Raparelli, E.; Bajocco, S. A bibliometric analysis on the use of unmanned aerial vehicles in agricultural and forestry studies. Int. J. Remote Sens. 2019, 40, 9070–9083. [Google Scholar] [CrossRef]
- Dainelli, R.; Toscano, P.; Di Gennaro, S.F.; Matese, A. Recent Advances in Unmanned Aerial Vehicle Forest Remote Sensing—A Systematic Review. Part I: A General Framework. Forests 2021, 12, 327. [Google Scholar] [CrossRef]
- Frey, J.; Kovach, K.; Stemmler, S.; Koch, B. UAV Photogrammetry of Forests as a Vulnerable Process. A Sensitivity Analysis for a Structure from Motion RGB-Image Pipeline. Remote Sens. 2018, 10, 912. [Google Scholar] [CrossRef]
- MicaSense RedEdge MX Processing Workflow (Including Reflectance Calibration) in Agisoft Metashape Professional. Available online: https://agisoft.freshdesk.com/support/solutions/articles/31000148780-micasense-rededge-mx-processing-workflow-including-reflectance-calibration-in-agisoft-metashape-pro (accessed on 14 February 2022).
- Dandois, J.; Olano, M.; Ellis, E. Optimal Altitude, Overlap, and Weather Conditions for Computer Vision UAV Estimates of Forest Structure. Remote Sens. 2015, 7, 13895–13920. [Google Scholar] [CrossRef]
- Young, D.J.N.; Koontz, M.J.; Weeks, J. Optimizing aerial imagery collection and processing parameters for drone–based individual tree mapping in structurally complex conifer forests. Methods Ecol. Evol. 2022. [Google Scholar] [CrossRef]
- European Commission. Commission Implementing Regulation (EU) 2019/947 of 24 May 2019 on the Rules and Procedures for the Operation of Unmanned Aircraft: Regulation (EU) 2019/947; European Commission: Brussels, Belgium, 2019. [Google Scholar]
- Mohan, M.; Richardson, G.; Gopan, G.; Aghai, M.M.; Bajaj, S.; Galgamuwa, G.A.P.; Vastaranta, M.; Arachchige, P.S.P.; Amorós, L.; Corte, A.P.D.; et al. UAV-Supported Forest Regeneration: Current Trends, Challenges and Implications. Remote Sens. 2021, 13, 2596. [Google Scholar] [CrossRef]
- Knapitsch, A.; Park, J.; Zhou, Q.Y.; Koltun, V. Tanks and temples. ACM Trans. Graph. 2017, 36, 1–13. [Google Scholar] [CrossRef]
- Jiang, S.; Jiang, C.; Jiang, W. Efficient structure from motion for large-scale UAV images: A review and a comparison of SfM tools. ISPRS J. Photogramm. Remote Sens. 2020, 167, 230–251. [Google Scholar] [CrossRef]
- Goodbody, T.R.H.; Coops, N.C.; White, J.C. Digital Aerial Photogrammetry for Updating Area-Based Forest Inventories: A Review of Opportunities, Challenges, and Future Directions. Curr. For. Rep. 2019, 5, 55–75. [Google Scholar] [CrossRef]
- Wallace, L.; Lucieer, A.; Malenovský, Z.; Turner, D.; Vopěnka, P. Assessment of Forest Structure Using Two UAV Techniques: A Comparison of Airborne Laser Scanning and Structure from Motion (SfM) Point Clouds. Forests 2016, 7, 62. [Google Scholar] [CrossRef]
- Guerra-Hernández, J.; Cosenza, D.N.; Rodriguez, L.C.E.; Silva, M.; Tomé, M.; Díaz-Varela, R.A.; González-Ferreiro, E. Comparison of ALS- and UAV(SfM)-derived high-density point clouds for individual tree detection in Eucalyptus plantations. Int. J. Remote Sens. 2018, 39, 5211–5235. [Google Scholar] [CrossRef]
- Moe, K.; Owari, T.; Furuya, N.; Hiroshima, T. Comparing Individual Tree Height Information Derived from Field Surveys, LiDAR and UAV-DAP for High-Value Timber Species in Northern Japan. Forests 2020, 11, 223. [Google Scholar] [CrossRef]
- Guo, Y.; Chen, S.; Li, X.; Cunha, M.; Jayavelu, S.; Cammarano, D.; Fu, Y. Machine Learning-Based Approaches for Predicting SPAD Values of Maize Using Multi-Spectral Images. Remote Sens. 2022, 14, 1337. [Google Scholar] [CrossRef]
- Olsson, P.O.; Vivekar, A.; Adler, K.; Garcia Millan, V.E.; Koc, A.; Alamrani, M.; Eklundh, L. Radiometric Correction of Multispectral UAS Images: Evaluating the Accuracy of the Parrot Sequoia Camera and Sunshine Sensor. Remote Sens. 2021, 13, 577. [Google Scholar] [CrossRef]
- Morsy, S.; Shaker, A.; El-Rabbany, A. Multispectral LiDAR Data for Land Cover Classification of Urban Areas. Sensors 2017, 17, 958. [Google Scholar] [CrossRef]
- Huo, L.Z.; Silva, C.A.; Klauberg, C.; Mohan, M.; Zhao, L.J.; Tang, P.; Hudak, A.T. Supervised spatial classification of multispectral LiDAR data in urban areas. PLoS ONE 2018, 13, e0206185. [Google Scholar] [CrossRef]
- Grenzdörffer, G.J.; Engel, A.; Teichert, B. The photogrammetric potential of low-cost UAVs in forestry and agriculture. Int. Arch. Photogramm. Remote Sens. Spat. Inf. Sci. 2008, 31, 1207–1214. [Google Scholar]
- Przybilla, H.J.; Bäumker, M.; Luhmann, T.; Hastedt, H.; Eilers, M. Interaction Between Direct Georeferencing, Control Point Configuration Furthermore, Camera Self-Calibration For RTK-based UAV Photogrammetry. Int. Arch. Photogramm. Remote Sens. Spat. Inf. Sci. 2020, XLIII-B1-2020, 485–492. [Google Scholar] [CrossRef]
- Cromwell, C.; Giampaolo, J.; Hupy, J.; Miller, Z.; Chandrasekaran, A. A Systematic Review of Best Practices for UAS Data Collection in Forestry-Related Applications. Forests 2021, 12, 957. [Google Scholar] [CrossRef]
- Tomaštík, J.; Mokroš, M.; Surový, P.; Grznárová, A.; Merganič, J. UAV RTK/PPK Method—An Optimal Solution for Mapping Inaccessible Forested Areas? Remote Sens. 2019, 11, 721. [Google Scholar] [CrossRef]
- Emilien, A.V.; Thomas, C.; Thomas, H. UAV & satellite synergies for optical remote sensing applications: A literature review. Sci. Remote Sens. 2021, 3, 100019. [Google Scholar] [CrossRef]
- Wulder, M.A.; Masek, J.G.; Cohen, W.B.; Loveland, T.R.; Woodcock, C.E. Opening the archive: How free data has enabled the science and monitoring promise of Landsat. Remote Sens. Environ. 2012, 122, 2–10. [Google Scholar] [CrossRef]
- Grizonnet, M.; Michel, J.; Poughon, V.; Inglada, J.; Savinaud, M.; Cresson, R. Orfeo ToolBox: Open source processing of remote sensing images. Open Geospat. Data Softw. Stand. 2017, 2, 15. [Google Scholar] [CrossRef]
- Blaschke, T.; Strobl, J. What is wrong with pixels? Some recent developments interfacing remote sensing and GIS. Z. Geoinf. 2001, 14, 12–17. [Google Scholar]
- Hossain, M.D.; Chen, D. Segmentation for Object-Based Image Analysis (OBIA): A review of algorithms and challenges from remote sensing perspective. ISPRS J. Photogramm. Remote Sens. 2019, 150, 115–134. [Google Scholar] [CrossRef]
- Blaschke, T. Object based image analysis for remote sensing. ISPRS J. Photogramm. Remote Sens. 2010, 65, 2–16. [Google Scholar] [CrossRef]
- Jaskierniak, D.; Lucieer, A.; Kuczera, G.; Turner, D.; Lane, P.; Benyon, R.G.; Haydon, S. Individual tree detection and crown delineation from Unmanned Aircraft System (UAS) LiDAR in structurally complex mixed species eucalypt forests. ISPRS J. Photogramm. Remote Sens. 2021, 171, 171–187. [Google Scholar] [CrossRef]
- Kattenborn, T.; Leitloff, J.; Schiefer, F.; Hinz, S. Review on Convolutional Neural Networks (CNN) in vegetation remote sensing. ISPRS J. Photogramm. Remote Sens. 2021, 173, 24–49. [Google Scholar] [CrossRef]
- Feng, Q.; Liu, J.; Gong, J. UAV Remote Sensing for Urban Vegetation Mapping Using Random Forest and Texture Analysis. Remote Sens. 2015, 7, 1074–1094. [Google Scholar] [CrossRef]
- Prospero, S.; Cleary, M. Effects of Host Variability on the Spread of Invasive Forest Diseases. Forests 2017, 8, 80. [Google Scholar] [CrossRef]
- Dale, V.H.; Joyce, L.A.; McNulty, S.; Neilson, R.P.; Ayres, M.P.; Flannigan, M.D.; Hanson, P.J.; Irland, L.C.; Lugo, A.E.; Peterson, C.J.; et al. Climate Change and Forest Disturbances. BioScience 2001, 51, 723. [Google Scholar] [CrossRef]
- Millar, C.I.; Stephenson, N.L. Temperate forest health in an era of emerging megadisturbance. Science 2015, 349, 823–826. [Google Scholar] [CrossRef] [PubMed]
- Minarik, R.; Langhammer, J. Use of A Multispectral UAV Photogrammetry For Detection Furthermore, Tracking of Forest Disturbance Dynamics. In Proceedings of the 23rd Congress of the International-Society-for-Photogrammetry-and-Remote-Sensing (ISPRS), Prague, Czech Republic, 12–19 July 2016; Copernicus GmbH: Göttingen, Germany, 2016; Volume 41, pp. 711–718. [Google Scholar] [CrossRef]
- Cardil, A.; Vepakomma, U.; Brotons, L. Assessing Pine Processionary Moth Defoliation Using Unmanned Aerial Systems. Forests 2017, 8, 402. [Google Scholar] [CrossRef]
- Stoyanova, M.; Kandilarov, A.; Koutev, V.; Nitcheva, O.; Dobreva, P. Potential of multispectral imaging technology for assessment coniferous forests bitten by a bark beetle in Central Bulgaria. In Proceedings of the 13th National Congress on Theoretical and Applied Mechanics (NCTAM), Sofia, Bulgaria, 6–10 September 2017; EDP Sciences: Ulys, France, 2018; Volume 145, p. 01005. [Google Scholar] [CrossRef][Green Version]
- Safonova, A.; Tabik, S.; Alcaraz-Segura, D.; Rubtsov, A.; Maglinets, Y.; Herrera, F. Detection of Fir Trees (Abies sibirica) Damaged by the Bark Beetle in Unmanned Aerial Vehicle Images with Deep Learning. Remote Sens. 2019, 11, 643. [Google Scholar] [CrossRef]
- Barmpoutis, P.; Kamperidou, V.; Stathaki, T. Estimation of Extent of Trees’ and Biomass’ Infestation of the Suburban Forest of Thessaloniki (Seich Sou) using UAV Imagery and Combining R-CNNs and Multichannel Texture Analysis. In Proceedings of the 12th International Conference on Machine Vision (ICMV), Amsterdam, The Netherlands, 16–18 November 2019; SPIE-INT SOC Optical Engineering: Bellingham, WA, USA, 2020; Volume 11433. [Google Scholar] [CrossRef]
- Zhang, N.; Wang, Y.; Zhang, X. Extraction of tree crowns damaged by Dendrolimus tabulaeformis Tsai et Liu via spectral-spatial classification using UAV-based hyperspectral images. Plant Methods 2020, 16, 135. [Google Scholar] [CrossRef]
- Park, J.K.; Kim, M.G. Application of unmanned aerial vehicle for detection of pine wilt disease. Asia Life Sci. 2014, 10, 191–202. [Google Scholar]
- Jung, K.Y.; Park, J.K. Analysis of Vegetation Infection Information Using Unmanned Aerial Vehicle with Optical Sensor. Sens. Mater. 2019, 31, 3319. [Google Scholar] [CrossRef]
- Deng, X.; Tong, Z.; Lan, Y.; Huang, Z. Detection and Location of Dead Trees with Pine Wilt Disease Based on Deep Learning and UAV Remote Sensing. AgriEngineering 2020, 2, 294–307. [Google Scholar] [CrossRef]
- Iordache, M.D.; Mantas, V.; Baltazar, E.; Pauly, K.; Lewyckyj, N. A Machine Learning Approach to Detecting Pine Wilt Disease Using Airborne Spectral Imagery. Remote Sens. 2020, 12, 2280. [Google Scholar] [CrossRef]
- Hoshikawa, T.; Yamamoto, K. Individual Tree Detection and Classification for Mapping Pine Wilt Disease Using Multispectral and Visible Color Imagery Acquired from Unmanned Aerial Vehicle. J. Remote Sens. Soc. Jpn. 2020, 40, 13–19. [Google Scholar] [CrossRef]
- Tao, H.; Li, C.; Zhao, D.; Deng, S.; Hu, H.; Xu, X.; Jing, W. Deep learning-based dead pine tree detection from unmanned aerial vehicle images. Int. J. Remote Sens. 2020, 41, 8238–8255. [Google Scholar] [CrossRef]
- Sun, Z.; Wang, Y.; Pan, L.; Xie, Y.; Zhang, B.; Liang, R.; Sun, Y. Pine wilt disease detection in high-resolution UAV images using object-oriented classification. J. For. Res. 2021, 1–13. [Google Scholar] [CrossRef]
- Shin, J.i.; Seo, W.W.; Kim, T.; Park, J.; Woo, C.s. Using UAV Multispectral Images for Classification of Forest Burn Severity—A Case Study of the 2019 Gangneung Forest Fire. Forests 2019, 10, 1025. [Google Scholar] [CrossRef]
- Tran, D.Q.; Park, M.; Jung, D.; Park, S. Damage-Map Estimation Using UAV Images and Deep Learning Algorithms for Disaster Management System. Remote Sens. 2020, 12, 4169. [Google Scholar] [CrossRef]
- Woo, H.; Acuna, M.; Madurapperuma, B.; Jung, G.; Woo, C.; Park, J. Application of Maximum Likelihood and Spectral Angle Mapping Classification Techniques to Evaluate Forest Fire Severity from UAV Multi-spectral Images in South Korea. Sens. Mater. 2021, 33, 3745–3760. [Google Scholar] [CrossRef]
- Gallardo-Salazar, J.L.; Pompa-García, M. Detecting Individual Tree Attributes and Multispectral Indices Using Unmanned Aerial Vehicles: Applications in a Pine Clonal Orchard. Remote Sens. 2020, 12, 4144. [Google Scholar] [CrossRef]









Publisher’s Note: MDPI stays neutral with regard to jurisdictional claims in published maps and institutional affiliations. |
© 2022 by the authors. Licensee MDPI, Basel, Switzerland. This article is an open access article distributed under the terms and conditions of the Creative Commons Attribution (CC BY) license (https://creativecommons.org/licenses/by/4.0/).
Share and Cite
Ecke, S.; Dempewolf, J.; Frey, J.; Schwaller, A.; Endres, E.; Klemmt, H.-J.; Tiede, D.; Seifert, T. UAV-Based Forest Health Monitoring: A Systematic Review. Remote Sens. 2022, 14, 3205. https://doi.org/10.3390/rs14133205
Ecke S, Dempewolf J, Frey J, Schwaller A, Endres E, Klemmt H-J, Tiede D, Seifert T. UAV-Based Forest Health Monitoring: A Systematic Review. Remote Sensing. 2022; 14(13):3205. https://doi.org/10.3390/rs14133205
Chicago/Turabian StyleEcke, Simon, Jan Dempewolf, Julian Frey, Andreas Schwaller, Ewald Endres, Hans-Joachim Klemmt, Dirk Tiede, and Thomas Seifert. 2022. "UAV-Based Forest Health Monitoring: A Systematic Review" Remote Sensing 14, no. 13: 3205. https://doi.org/10.3390/rs14133205
APA StyleEcke, S., Dempewolf, J., Frey, J., Schwaller, A., Endres, E., Klemmt, H.-J., Tiede, D., & Seifert, T. (2022). UAV-Based Forest Health Monitoring: A Systematic Review. Remote Sensing, 14(13), 3205. https://doi.org/10.3390/rs14133205

