Occupational Microbial Risk among Embalmers
Abstract
:1. Introduction
2. Materials and Methods
2.1. Sampling Strategy
2.2. Real Time Monitoring
2.3. Microbial Air Sampling
2.4. Culturable Bacteria Analysis
2.5. Data Analysis
3. Results
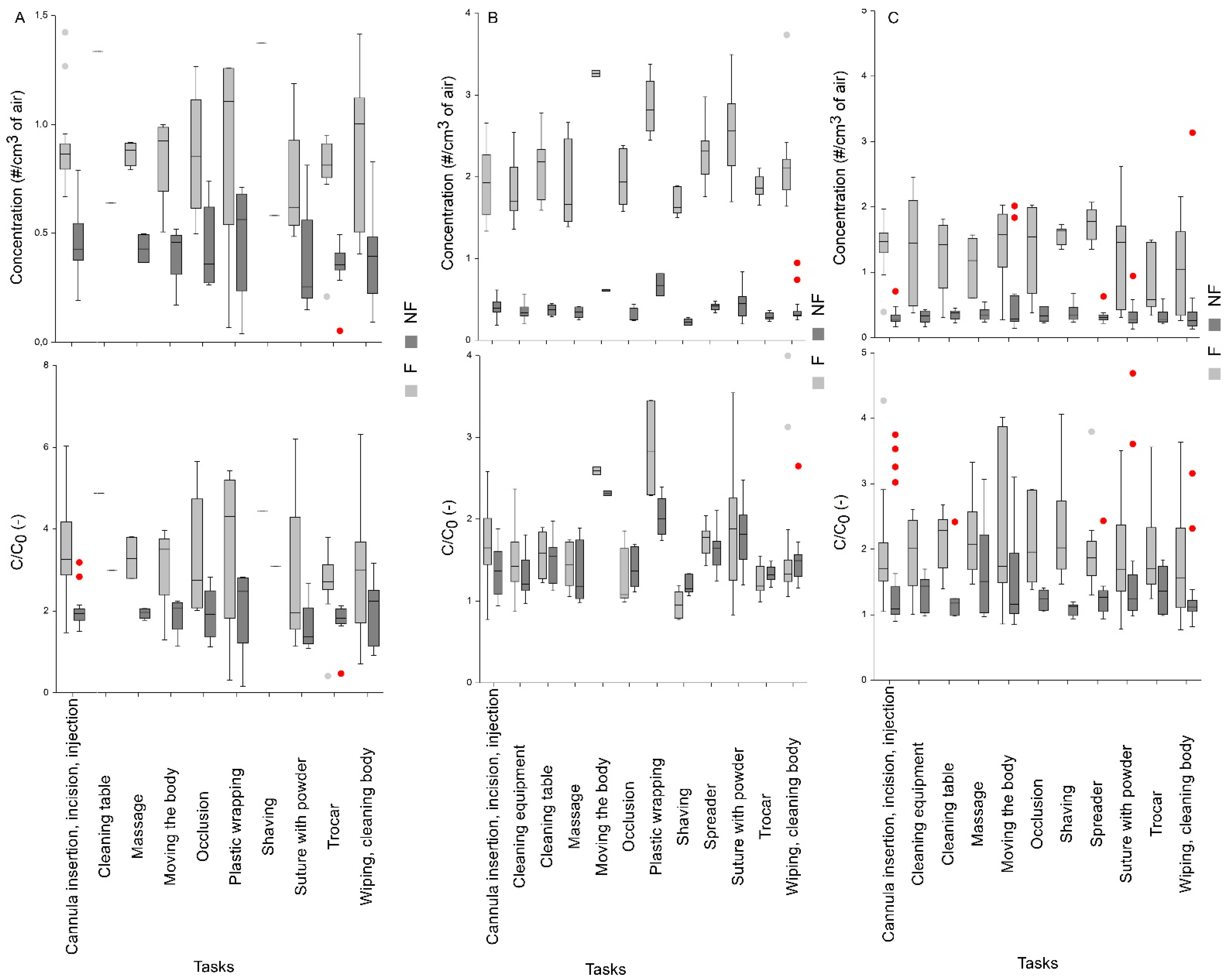
3.1. Real Time Monitoring
3.2. Particle Size Distribution
3.3. Culturable Bacteria
3.4. Aerosolization Mechanism
- Bellows effect—ejection of air and particles by compression, air movement (suturing using sealing powder, occlusion, or wrapping);
- Splash—projection related to the use of water (wiping and cleaning bodies, table, or equipment);
- Inertial—emission of particles escaping from the aspiration tool (trocar);
- Venous insertion—emission caused by an incision or the insertion of an object into a vein or artery (cannula insertion, fluid injection, retractor, or spring forceps);
- Friction—emission or resuspension by rubbing (body manipulation, shaving, depilation, or massage).
3.5. Limits
4. Conclusions
Author Contributions
Funding
Institutional Review Board Statement
Informed Consent Statement
Data Availability Statement
Acknowledgments
Conflicts of Interest
References
- Sender, R.; Fuchs, S.; Milo, R. Revised Estimates for the Number of Human and Bacteria Cells in the Body. PLoS Biol. 2016, 14, e1002533. [Google Scholar] [CrossRef] [PubMed]
- Rup, L. The Human Microbiome Project. Indian J. Microbiol. 2012, 52, 315. [Google Scholar] [CrossRef] [PubMed]
- Savage, D.C. Microbial Ecology of the Gastrointestinal Tract. Annu. Rev. Microbiol. 1977, 31, 107–133. [Google Scholar] [CrossRef]
- Luckey, T.D. Introduction to Intestinal Microecology. Am. J. Clin. Nutr. 1972, 25, 1292–1294. [Google Scholar] [CrossRef] [PubMed]
- Javan, G.T.; Finley, S.J.; Can, I.; Wilkinson, J.E.; Hanson, J.D.; Tarone, A.M. Human Thanatomicrobiome Succession and Time Since Death. Sci. Rep. 2016, 6, 29598. [Google Scholar] [CrossRef]
- Tuomisto, S.; Karhunen, P.J.; Vuento, R.; Aittoniemi, J.; Pessi, T. Evaluation of Postmortem Bacterial Migration Using Culturing and Real-Time Quantitative Pcr. J. Forensic Sci. 2013, 58, 910–916. [Google Scholar] [CrossRef]
- Pechal, J.L.; Schmidt, C.J.; Jordan, H.R.; Benbow, M.E. A Large-Scale Survey of the Postmortem Human Microbiome, and Its Potential to Provide Insight into the Living Health Condition. Sci. Rep. 2018, 8, 5724. [Google Scholar] [CrossRef]
- Morris, J.A.; Harrison, L.M.; Partridge, S.M. Practical and Theoretical Aspects of Postmortem Bacteriology. Curr. Diagn. Pathol. 2007, 13, 65–74. [Google Scholar] [CrossRef]
- Rose, G.W.; Hockett, R.N. The Microbiologic Evaluation and Enumeration of Postmortem Specimens from Human Remains. Health Lab. Sci. 1971, 8, 75–78. [Google Scholar]
- Can, I.; Javan, G.T.; Pozhitkov, A.E.; Noble, P.A. Distinctive Thanatomicrobiome Signatures Found in the Blood and Internal Organs of Humans. J. Microbiol. Methods 2014, 106, 1–7. [Google Scholar] [CrossRef]
- Javan, G.T.; Finley, S.J.; Abidin, Z.; Mulle, J.G. The Thanatomicrobiome: A Missing Piece of the Microbial Puzzle of Death. Front. Microbiol. 2016, 7, 225. [Google Scholar] [CrossRef] [PubMed]
- Cattaneo, C.; Nuttall, P.A.; Molendini, L.O.; Pellegrinelli, M.; Grandi, M.; Sokol, R.J. Prevalence of HIV and Hepatitis C Markers among a Cadaver Population in Milan. J. Clin. Pathol. 1999, 52, 267–270. [Google Scholar] [CrossRef] [PubMed]
- Healing, T.D.; Hoffman, P.N.; Young, S.E.J. Communicable Disease Report the Infection Hazards of Human Cadavers. CDR Rev. 1995, 5, R61–R68. [Google Scholar]
- Beck-Sagué, C.M.; Jarvis, W.R.; Fruehling, J.A.; Ott, C.E.; Higgins, M.T.; Bates, F.L. Universal Precautions and Mortuary Practitioners: Influence on Practices and Risk of Occupationally Acquired Infection. J. Occup. Med. Off. Publ. Ind. Med. Assoc. 1991, 33, 874–878. [Google Scholar] [CrossRef]
- Creely, K. Infection Risks and Embalming; Institute of Occupational Medicine: Edinburgh, UK, 2004; p. 90. [Google Scholar]
- Gwenzi, W. Autopsy, Thanatopraxy, Cemeteries and Crematoria as Hotspots of Toxic Organic Contaminants in the Funeral Industry Continuum. Sci. Total Environ. 2021, 753, 141819. [Google Scholar] [CrossRef]
- Balta, J.Y.; Cryan, J.F.; O’Mahony, S.M. The Antimicrobial Capacity of Embalming Solutions: A Comparative Study. J. Appl. Microbiol. 2019, 126, 764–770. [Google Scholar] [CrossRef]
- Davidson, S.S.; Benjamin, W.H. Risk of Infection and Tracking of Work-Related Infectious Diseases in the Funeral Industry. Am. J. Infect. Control 2006, 34, 655–660. [Google Scholar] [CrossRef]
- Correia, J.C.; Steyl, J.L.; Villiers, H.C.D. Assessing the Survival of Mycobacterium Tuberculosis in Unembalmed and Embalmed Human Remains. Clin. Anat. 2014, 27, 304–307. [Google Scholar] [CrossRef]
- McKenna, M.T.; Hutton, M.; Cauthen, G.; Onorato, I.M. The Association between Occupation and Tuberculosis. A Population-Based Survey. Am. J. Respir. Crit. Care Med. 1996, 154, 587–593. [Google Scholar] [CrossRef]
- Sterling, T.R.; Pope, D.S.; Bishai, W.R.; Harrington, S.; Gershon, R.R.; Chaisson, R.E. Transmission of Mycobacterium Tuberculosis from a Cadaver to an Embalmer. N. Engl. J. Med. 2000, 342, 246–248. [Google Scholar] [CrossRef]
- Anderson, J.A.; Meissner, J.S.; Ahuja, S.D.; Shashkina, E.; O’Flaherty, T.; Proops, D.C. Confirming Mycobacterium Tuberculosis Transmission from a Cadaver to an Embalmer Using Molecular Epidemiology. Am. J. Infect. Control 2015, 43, 543–545. [Google Scholar] [CrossRef] [PubMed]
- Gershon, R.R.M.; Vlahov, D.; Escamilla-Cejudo, J.A.; Badawi, M.; McDiarmid, M.; Karkashian, C.; Grimes, M.; Comstock, G.W. Tuberculosis Risk in Funeral Home Employees. J. Occup. Environ. Med. 1998, 40, 497–503. [Google Scholar] [CrossRef] [PubMed]
- Burton, J.L. Health and Safety at Necropsy. J. Clin. Pathol. 2003, 56, 254–260. [Google Scholar] [CrossRef] [PubMed]
- Keane, E.; Dee, A.; Crotty, T.; Cunney, R.; Daly, E.; Griffin, S.; Horgan, M.; Keane, S.; Kenny, E.; Lyon, C.; et al. Guidelines for the Management of Deceased Individuals Harbouring Infectious Disease; Health Protection Surveillance Centre: Dublin, Ireland, 2013. [Google Scholar]
- Tabaac, B.; Goldberg, G.; Alvarez, L.; Amin, M.; Shupe-Ricksecker, K.; Gomez, F. Bacteria Detected on Surfaces of Formalin Fixed Anatomy Cadavers. Ital. J. Anat. Embryol. 2013, 118, 1–5. [Google Scholar] [PubMed]
- Woodburne, R.T.; Lawrence, C.A. An Improved Embalming Fluid Formula. Anat. Rec. 1952, 114, 507–514. [Google Scholar] [CrossRef]
- Turner, S.B.; Kunches, L.M.; Gordon, K.F.; Travers, P.H.; Mueller, N.E. Occupational Exposure to Human Immunodeficiency Virus (HIV) and Hepatitis B Virus (HBV) among Embalmers: A Pilot Seroprevalence Study. Am. J. Public Health 1989, 79, 1425–1426. [Google Scholar] [CrossRef]
- Stewart, P.A.; Herrick, R.F.; Feigley, C.E.; Utterback, D.F.; Hornung, R.; Mahar, H.; Hayes, R.; Douthit, D.E.; Blair, A. Study Design for Assessing Exposures of Embalmers for a Case-Control Study. Part I. Monitoring Results. Appl. Occup. Environ. Hyg. 1992, 7, 532–540. [Google Scholar] [CrossRef]
- Droplet Measurement Technologies. WIBS-NEO Wideband Integrated Bioaerosols Sensor; Operator Manual; Droplet Measurement Technologies: Longmont, CO, USA, 2020. [Google Scholar]
- Kaye, P.H.; Stanley, W.R.; Foot, V.; Baxter, K.; Barrington, S.J. A Dual-Wavelength Single Particle Aerosol Fluorescence Monitor. In Optically Based Materials and Optically Based Biological and Chemical Sensing for Defence II; SPIE: Bellingham, WA, USA, 1989; Volume 5990, pp. 166–177. [Google Scholar]
- Kaye, P.H.; Stanley, W.R.; Hirst, E.; Foot, E.V.; Baxter, K.L.; Barrington, S.J. Single Particle Multichannel Bio-Aerosol Fluorescence Sensor. Opt. Express 2005, 13, 3583. [Google Scholar] [CrossRef]
- Pinnick, R.G.; Hill, S.C.; Nachman, P.; Pendleton, J.D.; Fernandez, G.L.; Mayo, M.W.; Bruno, J.G. Fluorescence Particle Counter for Detecting Airborne Bacteria and Other Biological Particles. Aerosol Sci. Technol. 1995, 23, 653–664. [Google Scholar] [CrossRef]
- Lennette, E.H. Manual of Clinical Microbiology, 4th ed.; American Society for Microbiology, Ed.; American Society for Microbiology: Washington, DC, USA, 1985. [Google Scholar]
- Andersen, A.A. New Sampler for the Collection, Sizing, and Enumeration of Viable Airborne Particles. J. Bacteriol. 1958, 76, 471–484. [Google Scholar] [CrossRef]
- Marchand, G. Identification Des Bactéries Cultivables; IRSST (Institut de recherche Robert Sauvé en santé et sécurité du travail): Montréal, QC, Canada, 2009; p. 10. [Google Scholar]
- Bekal, S.; Gaudreau, C.; Laurence, R.A.; Simoneau, E.; Raynal, L. Streptococcus Pseudoporcinus Sp. Nov.; a Novel Species Isolated from the Genitourinary Tract of Women. J. Clin. Microbiol. 2006, 44, 2584–2586. [Google Scholar] [CrossRef] [PubMed]
- Janvier, M.; Grimont, P.A.D. The Genus Methylophaga, a New Line of Descent within Phylogenetic Branch γ of Proteobacteria. Res. Microbiol. 1995, 146, 543–550. [Google Scholar] [CrossRef]
- Harf-Monteil, C. Aeromonas Simiae sp. Nov., Isolated from Monkey Faeces. Int. J. Syst. Evol. Microbiol. 2004, 54, 481–485. [Google Scholar] [CrossRef] [PubMed]
- Agence de la Santé Publique du Canada. Fiche Technique Santé-Sécurité: Agents Pathogènes—Mycobacterium Tuberculosis et Complexe Mycobacterium Tuberculosis. Available online: https://www.canada.ca/fr/sante-publique/services/biosecurite-biosurete-laboratoire/fiches-techniques-sante-securite-agents-pathogenes-evaluation-risques/complexe-mycobacterium-tuberculosis.html (accessed on 5 February 2020).
- Karimzadeh, S.; Bhopal, R.; Tien, H.N. Review of Infective Dose, Routes of Transmission and Outcome of COVID-19 Caused by the SARS-COV-2: Comparison with Other Respiratory Viruses. Epidemiol. Infect. 2021, 149, E96. [Google Scholar] [CrossRef]
- Goodfellow, M.; Kämpfer, P.; Busse, H.-J.; Trujillo, M.E.; Suzuki, K.; Ludwig, W.; Whitman, W.B. Bergey’s Manual® of Systematic Bacteriology; Springer: New York, NY, USA, 2012. [Google Scholar]
- Gorny, R.L.; Reponen, T.; Willeke, K.; Schmechel, D.; Robine, E.; Boissier, M.; Grinshpun, S.A. Fungal Fragments as Indoor Air Biocontaminants. Appl. Environ. Microbiol. 2002, 68, 3522–3531. [Google Scholar] [CrossRef]
- Pastuszka, J.S.; Paw, U.K.T.; Lis, D.O.; Wlazło, A.; Ulfig, K. Bacterial and Fungal Aerosol in Indoor Environment in Upper Silesia, Poland. Atmos. Environ. 2000, 34, 3833–3842. [Google Scholar] [CrossRef]
- Kim, K.Y.; Kim, C.N. Airborne Microbiological Characteristics in Public Buildings of Korea. Build. Environ. 2007, 42, 2188–2196. [Google Scholar] [CrossRef]
- Reponen, T.A.; Gazenko, S.V.; Grinshpun, S.A.; Willeke, K.; Cole, E.C. Characteristics of Airborne Actinomycete Spores. Appl. Environ. Microbiol. 1998, 64, 3807–3812. [Google Scholar] [CrossRef]
- Nevalainen, A. Bacterial Aerosols in Indoor Air; Kansanterveyslaitos KTL: Kuopio, Finland, 1989. [Google Scholar]
- De Vos, P.; Whitman, W.B.; Bergey, D.H. (Eds.) Bergey’s Manual of Systematic Bacteriology; The Firmicutes, 2nd ed.; Springer: Dordrecht, The Netherlands, 2009. [Google Scholar]
- Weiser, J.N. The Pneumococcus: Why a Commensal Misbehaves. J. Mol. Med. 2010, 88, 97–102. [Google Scholar] [CrossRef]
- Goyer, N.; Lavoie, J.; Lazure, L.; Marchand, G. Les Bioaérosols en Milieu de travail: Guide D’évaluation, de Contrôle et de Prévention; Institut de recherche Robert-Sauvé en santé et en sécurité du travail du Québec: Montréal, QC, Canada, 2001. [Google Scholar]
- Brenner, D.J.; Garrity, G.M.; Bergey, D.H. (Eds.) Bergey’s Manual of Systematic Bacteriology the Proteobacteria—The Gammaproteobacteria, 2nd ed.; Springer: New York, NY, USA, 2005. [Google Scholar]














Publisher’s Note: MDPI stays neutral with regard to jurisdictional claims in published maps and institutional affiliations. |
© 2022 by the authors. Licensee MDPI, Basel, Switzerland. This article is an open access article distributed under the terms and conditions of the Creative Commons Attribution (CC BY) license (https://creativecommons.org/licenses/by/4.0/).
Share and Cite
Wingert, L.; Debia, M.; Hallé, S.; Marchand, G. Occupational Microbial Risk among Embalmers. Atmosphere 2022, 13, 1281. https://doi.org/10.3390/atmos13081281
Wingert L, Debia M, Hallé S, Marchand G. Occupational Microbial Risk among Embalmers. Atmosphere. 2022; 13(8):1281. https://doi.org/10.3390/atmos13081281
Chicago/Turabian StyleWingert, Loïc, Maximilien Debia, Stéphane Hallé, and Geneviève Marchand. 2022. "Occupational Microbial Risk among Embalmers" Atmosphere 13, no. 8: 1281. https://doi.org/10.3390/atmos13081281
APA StyleWingert, L., Debia, M., Hallé, S., & Marchand, G. (2022). Occupational Microbial Risk among Embalmers. Atmosphere, 13(8), 1281. https://doi.org/10.3390/atmos13081281

