Comparability of a Blood-Pressure-Monitoring Smartphone Application with Conventional Measurements—A Pilot Study
Abstract
:1. Introduction
2. Materials and Methods
2.1. Patient Selection
2.2. Study Procedure
2.2.1. Conventional Measurement, OBPM
2.2.2. App-Based Measurements, AppBP
2.2.3. Merging of the Measurements
2.2.4. Cuff-Derived Values, CuffBP
2.2.5. Working Principle of the App
2.3. Statistical Analyses
Comparison Based on Standards
2.4. Ethics
3. Results
3.1. Baseline Characteristics
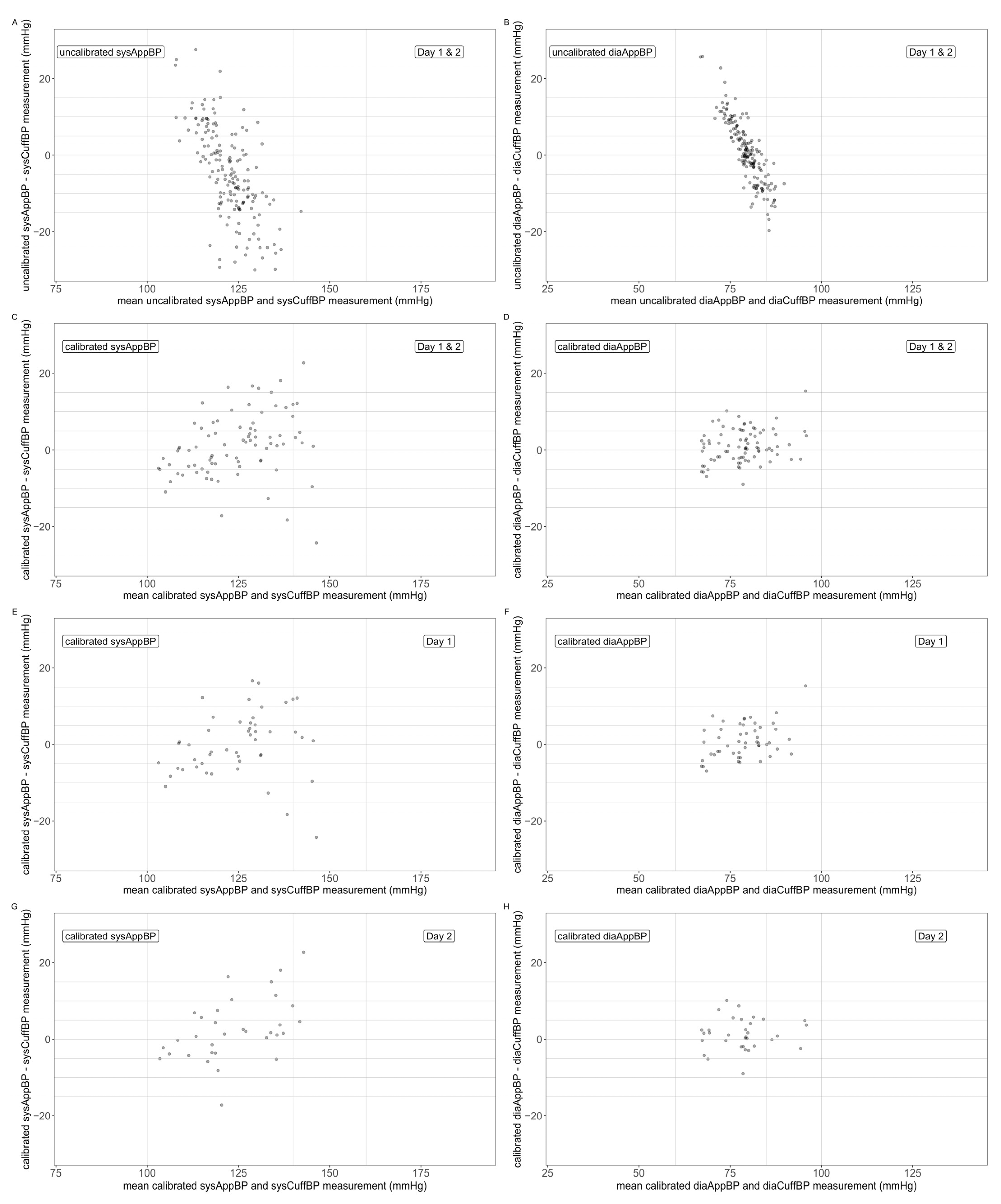
3.2. Results for Uncalibrated AppBP Values
3.3. Results for Calibrated AppBP Values
3.3.1. Day 1 and Day 2 Combined
3.3.2. Day 1
3.3.3. Day 2
3.3.4. Differences at Participant Level
3.4. Comparison Based on Standards
3.4.1. ESH-IP 2010 Validation Protocol
3.4.2. AAMI/ESH/ISO Validation Protocol
4. Discussion
4.1. Limitations
4.2. Perspectives
5. Conclusions
6. Patents
Supplementary Materials
Author Contributions
Funding
Institutional Review Board Statement
Informed Consent Statement
Data Availability Statement
Conflicts of Interest
References
- Oparil, S.; Acelajado, M.C.; Bakris, G.L.; Berlowitz, D.R.; Cífková, R.; Dominiczak, A.F.; Grassi, G.; Jordan, J.; Poulter, N.R.; Rodgers, A.; et al. Hypertension. Nat. Rev. Dis. Primers 2018, 4, 18014. [Google Scholar] [CrossRef] [PubMed] [Green Version]
- Mills, K.T.; Stefanescu, A.; He, J. The global epidemiology of hypertension. Nat. Rev. Nephrol. 2020, 16, 223–237. [Google Scholar] [CrossRef] [PubMed]
- Neuhauser, H.K.; Adler, C.; Rosario, A.S.; Diederichs, C.; Ellert, U. Hypertension prevalence, awareness, treatment and control in Germany 1998 and 2008–11. J. Hum. Hypertens. 2015, 29, 247–253. [Google Scholar] [CrossRef] [PubMed]
- Beaney, T.; Burrell, L.M.; Castillo, R.R.; Charchar, F.J.; Cro, S.; Damasceno, A.; Kruger, R.; Nilsson, P.M.; Prabhakaran, D.; Ramirez, A.J.; et al. May Measurement Month 2018: A pragmatic global screening campaign to raise awareness of blood pressure by the International Society of Hypertension. Eur. Heart J. 2019, 40, 2006–2017. [Google Scholar] [CrossRef] [PubMed] [Green Version]
- Lu, J.; Lu, Y.; Wang, X.; Li, X.; Linderman, G.C.; Wu, C.; Cheng, X.; Mu, L.; Zhang, H.; Liu, J.; et al. Prevalence, awareness, treatment, and control of hypertension in China: Data from 1·7 million adults in a population-based screening study (China PEACE Million Persons Project). Lancet 2017, 390, 2549–2558. [Google Scholar] [CrossRef]
- Williams, B.; Mancia, G.; Spiering, W.; Agabiti Rosei, E.; Azizi, M.; Burnier, M.; Clement, D.L.; Coca, A.; de Simone, G.; Dominiczak, A.; et al. 2018 ESC/ESH Guidelines for the management of arterial hypertension. Eur. Heart J. 2018, 39, 3021–3104. [Google Scholar] [CrossRef] [PubMed]
- Kario, K. Management of Hypertension in the Digital Era: Small Wearable Monitoring Devices for Remote Blood Pressure Monitoring. Hypertension 2020, 76, 640–650. [Google Scholar] [CrossRef] [PubMed]
- Bray, E.P.; Holder, R.; Mant, J.; McManus, R.J. Does self-monitoring reduce blood pressure? Meta-analysis with meta-regression of randomized controlled trials. Ann. Med. 2010, 42, 371–386. [Google Scholar] [CrossRef] [PubMed]
- Barnes, S.J.; Pressey, A.D.; Scornavacca, E. Mobile ubiquity: Understanding the relationship between cognitive absorption, smartphone addiction and social network services. Comput. Hum. Behav. 2019, 90, 246–258. [Google Scholar] [CrossRef] [Green Version]
- Alessa, T.; Hawley, M.S.; Hock, E.S.; de Witte, L. Smartphone Apps to Support Self-Management of Hypertension: Review and Content Analysis. JMIR Mhealth Uhealth 2019, 7, e13645. [Google Scholar] [CrossRef] [PubMed] [Green Version]
- Dörr, M.; Weber, S.; Birkemeyer, R.; Leonardi, L.; Winterhalder, C.; Raichle, C.J.; Brasier, N.; Burkard, T.; Eckstein, J. iPhone App compared with standard blood pressure measurement—The iPARR trial. Am. Heart J. 2021, 233, 102–108. [Google Scholar] [CrossRef] [PubMed]
- Sagirova, Z.; Kuznetsova, N.; Gogiberidze, N.; Gognieva, D.; Suvorov, A.; Chomakhidze, P.; Omboni, S.; Saner, H.; Kopylov, P. Cuffless Blood Pressure Measurement Using a Smartphone-Case Based ECG Monitor with Photoplethysmography in Hypertensive Patients. Sensors 2021, 21, 3525. [Google Scholar] [CrossRef] [PubMed]
- Chandrasekhar, A.; Kim, C.S.; Naji, M.; Natarajan, K.; Hahn, J.O.; Mukkamala, R. Smartphone-based blood pressure monitoring via the oscillometric finger-pressing method. Sci. Transl. Med. 2018, 10, eaap8674. [Google Scholar] [CrossRef] [PubMed] [Green Version]
- Matsumura, K.; Rolfe, P.; Toda, S.; Yamakoshi, T. Cuffless blood pressure estimation using only a smartphone. Sci. Rep. 2018, 8, 7298. [Google Scholar] [CrossRef] [PubMed] [Green Version]
- Luo, H.; Yang, D.; Barszczyk, A.; Vempala, N.; Wei, J.; Wu, S.J.; Zheng, P.P.; Fu, G.; Lee, K.; Feng, Z.P. Smartphone-Based Blood Pressure Measurement Using Transdermal Optical Imaging Technology. Circ. Cardiovasc. Imaging 2019, 12, e008857. [Google Scholar] [CrossRef] [PubMed] [Green Version]
- dThx—Digital Therapeutix. Available online: https://dthx.ch/#App (accessed on 12 February 2021).
- Lee, H.Y.; Burkard, T. The Advent of Cuffless Mobile Device Blood Pressure Measurement: Remaining Challenges and Pitfalls. Korean Circ. J. 2022, 52, 198–204. [Google Scholar] [CrossRef] [PubMed]
- Plante, T.B.; Urrea, B.; MacFarlane, Z.T.; Blumenthal, R.S.; Miller, E.R., 3rd; Appel, L.J.; Martin, S.S. Validation of the Instant Blood Pressure Smartphone App. JAMA Intern. Med. 2016, 176, 700–702. [Google Scholar] [CrossRef] [PubMed]
- Raichle, C.J.; Eckstein, J.; Lapaire, O.; Leonardi, L.; Brasier, N.; Vischer, A.S.; Burkard, T. Performance of a Blood Pressure Smartphone App in Pregnant Women: The iPARR Trial (iPhone App Compared with Standard RR Measurement). Hypertension 2018, 71, 1164–1169. [Google Scholar] [CrossRef] [PubMed]
- Lee, H.Y.; Lee, D.J.; Seo, J.; Ihm, S.H.; Kim, K.I.; Cho, E.J.; Kim, H.C.; Shin, J.; Park, S.; Sohn, I.S.; et al. Smartphone/smartwatch-based cuffless blood pressure measurement: A position paper from the Korean Society of Hypertension. Clin. Hypertens. 2021, 27, 4. [Google Scholar] [CrossRef] [PubMed]
- Schoettker, P.; Degott, J.; Hofmann, G.; Proenca, M.; Bonnier, G.; Lemkaddem, A.; Lemay, M.; Schorer, R.; Christen, U.; Knebel, J.F.; et al. Blood pressure measurements with the OptiBP smartphone app validated against reference auscultatory measurements. Sci. Rep. 2020, 10, 17827. [Google Scholar] [CrossRef] [PubMed]
- Degott, J.; Ghajarzadeh-Wurzner, A.; Hofmann, G.; Proenca, M.; Bonnier, G.; Lemkaddem, A.; Lemay, M.; Christen, U.; Knebel, J.F.; Durgnat, V.; et al. Smartphone based blood pressure measurement: Accuracy of the OptiBP mobile application according to the AAMI/ESH/ISO universal validation protocol. Blood Press. Monit. 2021, 26, 441–448. [Google Scholar] [CrossRef]
- Alpert, B.S. Validation of the Welch Allyn SureBP (inflation) and StepBP (deflation) algorithms by AAMI standard testing and BHS data analysis. Blood Press. Monit. 2011, 16, 96–98. [Google Scholar] [CrossRef] [PubMed]
- Proença, M.; Solà, J.; Lemay, M.; Verjus, C. Method, Apparatus and Computer Program for Determining a Blood Pressure Value. Patent WO 2016 138965 A1, 9 September 2016. [Google Scholar]
- Ghamri, Y.; Proenca, M.; Hofmann, G.; Renevey, P.; Bonnier, G.; Braun, F.; Axis, A.; Lemay, M.; Schoettker, P. Automated Pulse Oximeter Waveform Analysis to Track Changes in Blood Pressure During Anesthesia Induction: A Proof-of-Concept Study. Anesth. Analg. 2020, 130, 1222–1233. [Google Scholar] [CrossRef]
- Stergiou, G.S.; Alpert, B.; Mieke, S.; Asmar, R.; Atkins, N.; Eckert, S.; Frick, G.; Friedman, B.; Graßl, T.; Ichikawa, T.; et al. A Universal Standard for the Validation of Blood Pressure Measuring Devices: Association for the Advancement of Medical Instrumentation/European Society of Hypertension/International Organization for Standardization (AAMI/ESH/ISO) Collaboration Statement. Hypertension 2018, 71, 368–374. [Google Scholar] [CrossRef]
- Team, R.C. R: A Language and Environment for Statistical Computing; R Foundation for Statistical Computing: Vienna, Austria, 2019. [Google Scholar]
- O’Brien, E.; Atkins, N.; Stergiou, G.; Karpettas, N.; Parati, G.; Asmar, R.; Imai, Y.; Wang, J.; Mengden, T.; Shennan, A.; et al. European Society of Hypertension International Protocol revision 2010 for the validation of blood pressure measuring devices in adults. Blood Press. Monit. 2010, 15, 23–38. [Google Scholar] [CrossRef]
- Stergiou, G.S.; Palatini, P.; Asmar, R.; Ioannidis, J.P.; Kollias, A.; Lacy, P.; McManus, R.J.; Myers, M.G.; Parati, G.; Shennan, A.; et al. Recommendations and Practical Guidance for performing and reporting validation studies according to the Universal Standard for the validation of blood pressure measuring devices by the Association for the Advancement of Medical Instrumentation/European Society of Hypertension/International Organization for Standardization (AAMI/ESH/ISO). J. Hypertens. 2019, 37, 459–466. [Google Scholar] [CrossRef] [PubMed] [Green Version]
- Vischer, A.S.; Dutilh, G.; Socrates, T.; Burkard, T. A Model for Early Failure Prediction of Blood Pressure Measurement Devices in a Stepped Validation Approach. J. Clin. Hypertens. 2022. [Google Scholar] [CrossRef]
- Weissstein, E.W. “Standard Deviation”. From MathWorld—A Wolfram Web Resource. Available online: https://mathworld.wolfram.com/StandardDeviation.html (accessed on 7 February 2021).
- O’Brien, E.; Petrie, J.; Littler, W.; de Swiet, M.; Padfield, P.L.; O’Malley, K.; Jamieson, M.; Altman, D.; Bland, M.; Atkins, N. The British Hypertension Society protocol for the evaluation of automated and semi-automated blood pressure measuring devices with special reference to ambulatory systems. J. Hypertens. 1990, 8, 607–619. [Google Scholar] [CrossRef] [PubMed] [Green Version]
- Stergiou, G.S.; Parati, G.; McManus, R.J.; Head, G.A.; Myers, M.G.; Whelton, P.K. Guidelines for blood pressure measurement: Development over 30 years. J. Clin. Hypertens. 2018, 20, 1089–1091. [Google Scholar] [CrossRef] [Green Version]
- Vischer, A.S.; Burkard, T. How Should We Measure and Deal with Office Blood Pressure in 2021? Diagnostics 2021, 11, 235. [Google Scholar] [CrossRef]
- Lewington, S.; Clarke, R.; Qizilbash, N.; Peto, R.; Collins, R.; Prospective Studies, C. Age-specific relevance of usual blood pressure to vascular mortality: A meta-analysis of individual data for one million adults in 61 prospective studies. Lancet 2002, 360, 1903–1913. [Google Scholar] [CrossRef] [PubMed]
- Pickering, T.G. Now we are sick: Labeling and hypertension. J. Clin. Hypertens. 2006, 8, 57–60. [Google Scholar] [CrossRef] [PubMed]
- Haynes, R.B.; Sackett, D.L.; Taylor, D.W.; Gibson, E.S.; Johnson, A.L. Increased absenteeism from work after detection and labeling of hypertensive patients. N. Engl. J. Med. 1978, 299, 741–744. [Google Scholar] [CrossRef] [PubMed]
- Constanti, M.; Boffa, R.; Floyd, C.N.; Wierzbicki, A.S.; McManus, R.J.; Glover, M. Options for the diagnosis of high blood pressure in primary care: A systematic review and economic model. J. Hum. Hypertens. 2021, 35, 455–461. [Google Scholar] [CrossRef] [PubMed]
- Haase, C.B.; Gyuricza, J.V.; Brodersen, J. New hypertension guidance risks overdiagnosis and overtreatment. BMJ 2019, 365, l1657. [Google Scholar] [CrossRef] [PubMed]
- Ettehad, D.; Emdin, C.A.; Kiran, A.; Anderson, S.G.; Callender, T.; Emberson, J.; Chalmers, J.; Rodgers, A.; Rahimi, K. Blood pressure lowering for prevention of cardiovascular disease and death: A systematic review and meta-analysis. Lancet 2016, 387, 957–967. [Google Scholar] [CrossRef] [Green Version]



| >5 mmHg | >10 mmHg | >15 mmHg | |
|---|---|---|---|
| Two of | ≥27 | ≥13 | ≥4 |
| Either | ≥35 | ≥19 | ≥7 |
| Difference AppBP vs. CuffBD | Uncalibrated AppBP n = 175 | Calibrated AppBP n = 83 | ||
|---|---|---|---|---|
| Systolic | Diastolic | Systolic | Diastolic | |
| Mean | −5.9 | 0.7 | 1.4 | 1.1 |
| Std. deviation | 13.6 | 8.1 | 8.9 | 4.3 |
| Minimum | −43.8 | −19.7 | −24.3 | −9.0 |
| Maximum | 33.8 | 25.8 | 31.0 | 15.33 |
| ≤5 mmHg, n (%) | 40 (23.4) | 81 (46.3) | 42 (50.6) | 60 (72.3) |
| ≤10 mmHg, n (%) | 94 (53.7) | 139 (79.4) | 64 (77.1) | 81 (97.6) |
| ≤15 mmHg, n (%) | 133 (76.0) | 167 (95.4) | 73 (88.0) | 82 (98.8) |
| >15 mmHg, n (%) | 42 (24.0) | 8 (4.6) | 10 (12.0) | 1 (1.2) |
| Difference | Day 1 n = 50 | Day 2 n = 33 | ||
|---|---|---|---|---|
| Systolic | Diastolic | Systolic | Diastolic | |
| Mean | 0.7 | 1.0 | 2.6 | 1.3 |
| Std. deviation | 9.4 | 4.5 | 8.2 | 4.1 |
| Minimum | −24.3 | −7.0 | −17.2 | −9.0 |
| Maximum | 31.0 | 15.3 | 22.7 | 10.1 |
| ≤5 mmHg, n (%) | 24 (48.0) | 36 (72.0) | 18 (54.5) | 24 (72.7) |
| ≤10 mmHg, n (%) | 38 (76.0) | 49 (98.0) | 26 (78.8) | 32 (97.0) |
| ≤15 mmHg, n (%) | 45 (90.0) | 49 (98.0) | 28 (84.8) | 33 (100) |
| >15 mmHg, n (%) | 5 (10.0) | 1 (2.0) | 5 (15.2) | 0 (0) |
Publisher’s Note: MDPI stays neutral with regard to jurisdictional claims in published maps and institutional affiliations. |
© 2022 by the authors. Licensee MDPI, Basel, Switzerland. This article is an open access article distributed under the terms and conditions of the Creative Commons Attribution (CC BY) license (https://creativecommons.org/licenses/by/4.0/).
Share and Cite
Vischer, A.S.; Rosania, J.; Socrates, T.; Blaschke, C.; Eckstein, J.; Proust, Y.-M.; Bonnier, G.; Proença, M.; Lemay, M.; Burkard, T. Comparability of a Blood-Pressure-Monitoring Smartphone Application with Conventional Measurements—A Pilot Study. Diagnostics 2022, 12, 749. https://doi.org/10.3390/diagnostics12030749
Vischer AS, Rosania J, Socrates T, Blaschke C, Eckstein J, Proust Y-M, Bonnier G, Proença M, Lemay M, Burkard T. Comparability of a Blood-Pressure-Monitoring Smartphone Application with Conventional Measurements—A Pilot Study. Diagnostics. 2022; 12(3):749. https://doi.org/10.3390/diagnostics12030749
Chicago/Turabian StyleVischer, Annina S., Jana Rosania, Thenral Socrates, Christina Blaschke, Jens Eckstein, Yara-Maria Proust, Guillaume Bonnier, Martin Proença, Mathieu Lemay, and Thilo Burkard. 2022. "Comparability of a Blood-Pressure-Monitoring Smartphone Application with Conventional Measurements—A Pilot Study" Diagnostics 12, no. 3: 749. https://doi.org/10.3390/diagnostics12030749
APA StyleVischer, A. S., Rosania, J., Socrates, T., Blaschke, C., Eckstein, J., Proust, Y.-M., Bonnier, G., Proença, M., Lemay, M., & Burkard, T. (2022). Comparability of a Blood-Pressure-Monitoring Smartphone Application with Conventional Measurements—A Pilot Study. Diagnostics, 12(3), 749. https://doi.org/10.3390/diagnostics12030749

