The Meaning and Reliability of Minimal Important Differences (MIDs) for Clinician-Reported Outcome Measures (ClinROMs) in Dermatology—A Scoping Review
Abstract
1. Introduction
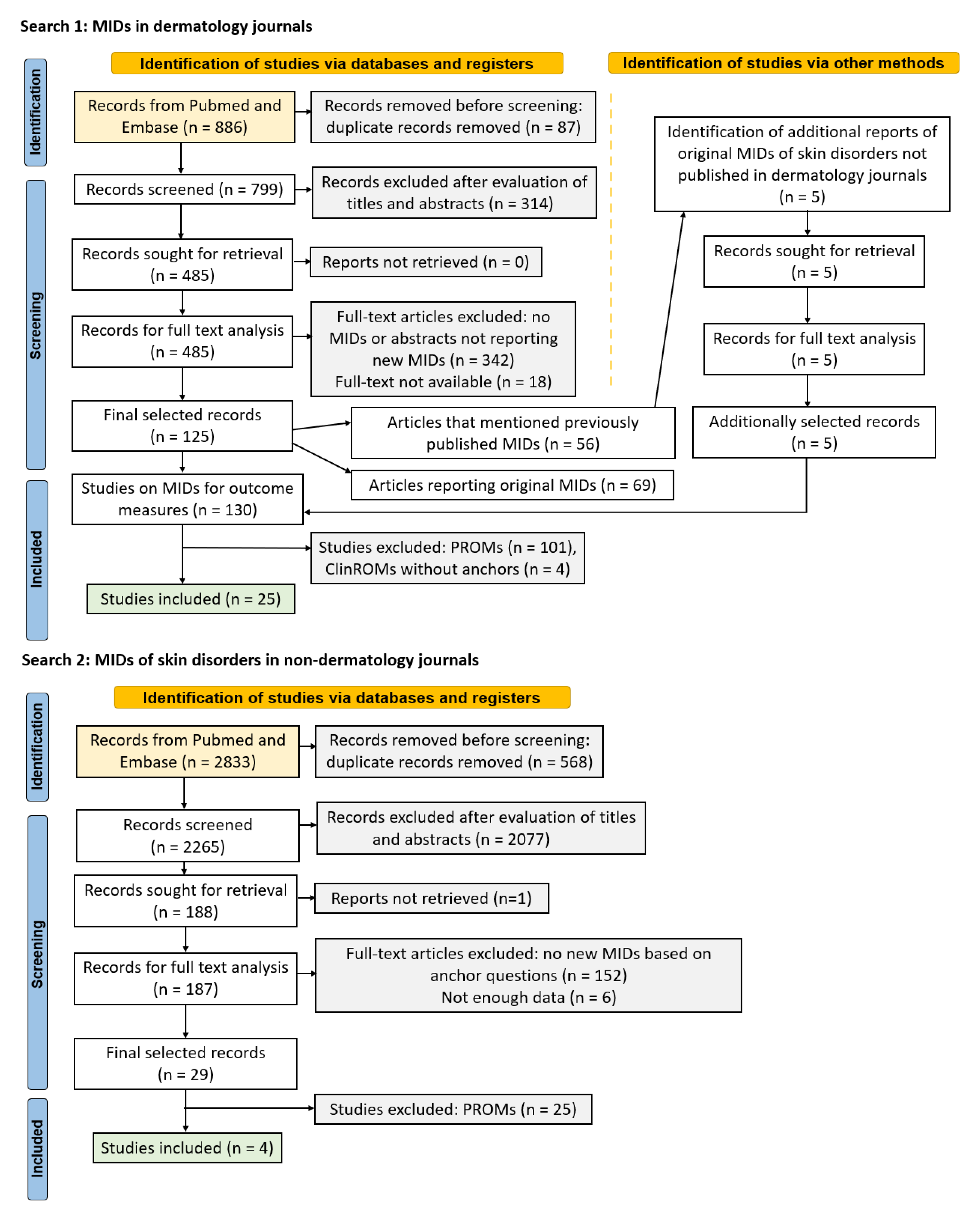
2. Materials and Methods
3. Results
3.1. The Characteristics of MIDs for ClinROMs
3.1.1. Methodology: How Is the Minimal Important Difference Determined?
3.1.2. Reliability: Is the Sample Size Adequate, and Is the Anchor Selection Appropriate?
3.2. Results for Different Skin Disorders
3.2.1. Atopic Dermatitis/Eczema
3.2.2. Bullous Skin Disorders
3.2.3. Psoriasis
3.2.4. Vitiligo
3.2.5. Dermatomyositis
3.2.6. Localized Scleroderma
3.2.7. Other Skin Disorders
| Is the Patient or Necessary Proxy Responding Directly to the Anchor and the Physician to the Outcome Measure? | Is the Anchor Easily Understandable and Relevant for Patients or Necessary Proxy? | Has the Anchor Shown Good Correlation with the Patient-Reported Outcome Measure? | Is the MID Precise? (95% Confidence Interval or Number of Patients Included in the Estimation) | Does Anchor Used to Estimate the MID Reflect a Small Difference/Change? | Does the Anchor Question Assess the Importance According to the Patient and Not Only a Change in Clinical Signs/Symptoms? | - What Does This MID Mean? - Is the Value Reliable? 1 | |
|---|---|---|---|---|---|---|---|
| Atopic Dermatitis/Eczema | |||||||
| Eczema Area and Severity Index (EASI) | |||||||
| Schram et al., 2012 [9] | No, physician | N = 42 (239 observations) | No, IGA | - Minimal difference in physicians’ assessment of disease severity (MID = 6.6) - No, correlation is missing and moderate number of patients. | |||
| Silverberg et al., 2021 [10] | - Minimal difference in patients’ rated disease severity (MIDimprovement = 10.9) - Unclear, correlation is missing. | ||||||
| Hand Eczema Severity Index (HECSI) | |||||||
| Yüksel et al., 2021 [11] | - Minimal difference in patients’ rated disease severity (MID = 4.5–7.1; mild: 1.5; moderate-severe: 8.9–9.5); - Unclear, correlation is missing. | ||||||
| Oosterhaven et al., 2020 [12] | No, physician | No, score by physicians | - Minimal difference in physicians’ assessment of disease severity (MID = 10.5–30.2; low baseline HECSI: 5.5–10.7; High baseline HECSI: 19.0–46.9) - Yes, but only from a physicians’ perspective. | ||||
| Investigator’s Global Assessment (IGA) x Body Surface Area in Children and Adults with Atopic Dermatitis | |||||||
| Silverberg et al., 2021 [26] | No, physician | 2 | No, global severity (physician) | - Minimal difference in physicians’ assessment of disease severity (MID = 1.0) - Yes, but only from a physicians’ perspective. | |||
| Investigator Global Assessment for Atopic Dermatitis (vIGA-AD™) | |||||||
| Simpson et al., 2022 [27] | - Minimal difference in patients’ rated disease severity (MID = −1.00) - Unclear, correlation is missing. | ||||||
| Occupational Contact Dermatitis Disease Severity Index (ODDI) | |||||||
| Ofenloch et al., 2015 [28] | No, physician | 2 0.48 | No, PGA | - Minimal difference in physicians’ assessment of disease severity (MID = 1.29) - Yes, but only from a physicians’ perspective. | |||
| Rajka–Langeland Severity Score | |||||||
| Silverberg et al., 2021 [29] | - Minimal difference in physicians’ assessment of disease severity (−0.9–−1.2) - Unclear, correlation is missing. | ||||||
| SCORing Atopic Dermatitis (SCORAD) | |||||||
| Schram et al., 2012 [9] | No, physician | N = 42 (239 observations) | No, IGA | - Minimal difference in patients’ rated disease severity (MID = 8.7) - No, correlation is missing and moderate number of patients | |||
| Silverberg et al., 2021 [10] | - Minimal difference in patients’ rated disease severity (MID = 16.6; mild AD: 2.7–15.8; moderate AD: 17.5–23.3; severe AD: 22.3–29.2); - Unclear, correlation is missing. | ||||||
| Objective SCORing Atopic Dermatitis (O-SCORAD) | |||||||
| Silverberg et al., 2021 [10] | - Minimal difference in patients’ rated disease severity (MID = 13.0; mild AD: 1.5–11.7; moderate AD: 17.5–23.3; severe AD: 22.3–29.2); - Unclear, correlation is missing. | ||||||
| Bullous Skin Disorders | |||||||
| Autoimmune Bullous Skin Disorder Intensity Score (ABSIS) | |||||||
| Hanna et al., 2017 [13] | No, physician | 0.48 | N = 28 | PGA ≥ 2 or Likert ≥ 3 considered as minimally changed | No, score by physicians | - A substantial difference in physicians’ assessment of disease severity (MID= +/−8.5) - No, small number of patients. | |
| Wijayanti et al., 2017 [14] | No, physician | N = 27 (108 observations) | Broad categories: improved, stable, or deteriorated | No, score by physicians | - A substantial difference in physicians’ assessment of disease severity [MID: 8.6 (improvement); 4 (deterioriation)] - No, small number of patients. | ||
| Bullous Pemphigoid Disease Area Index (BPDAI) | |||||||
| Wijayanti et al., 2017 [14] | No, physician | N = 27 (108 observations) | Broad categories: improved, stable, or deteriorated | No, score by physicians | - A substantial difference in physicians’ assessment of disease severity [MID = 4 (improvement); 3 (deterioration)] - No, small number of patients. | ||
| Pemphigus Disease Area Index (PDAI) | |||||||
| Hanna et al., 2017 [13] | No, physician | −0.46 | N = 28 | PGA ≥ 2 or Likert scale ≥ 3 considered as minimally changed | No, score by physicians | - A substantial difference in physicians’ assessment of disease severity (MID = +/−3) - No, small number of patients | |
| Physician-Reported Outcome Measure: Epidermolysis Bullosa Disease Activity and Scarring Index (EBDASI) | |||||||
| Jain et al., 2017 [15] | No, physician | N = 29 | Broad categories: 3-point Likert | No, score by physicians | - A substantial difference in physicians’ assessment of disease severity [MID: 3 (deterioration); 9 (improvement)] - No, small number of patients and no correlation | ||
| Cellulite | |||||||
| Photonumeric Cellulite Severity Scale (CR-PCSS) | |||||||
| Cohen et al., 2020 [25] | No, physician | −0.65 | N = 76 | Smallest categories: improved or worse. | No, score by physicians | - A substantial difference in physicians’ assessment of disease severity (MID = 1.0) - No, small number of patients | |
| Dermatomyositis | |||||||
| Cutaneous Dermatomyositis Disease Area and Severity Index Activity (CDASI-A) | |||||||
| Ahmed et al., 2020 [20] | N = 103 | - Minimal difference in patients’ experienced disease impact/disease-related quality of life (MID: 7.86 (symptoms); MID: 10.29 (emotions) - No, correlation is missing and moderate number of patients | |||||
| Cutaneous Dermatomyositis Disease Area and Severity Index (CDASI) | |||||||
| Anyanwu et al., 2015 [19] | No, physician | N = 128 | 2-point change in PGA-VAS considered as minimally changed | No, PGA | - A substantial difference in physicians’ assessment of disease severity (MID = 4–5) - No, moderate number of patients and correlation is missing | ||
| Hidradenitis Suppurativa | |||||||
| Hidradenitis Suppurativa Clinical Response (HiSCR) | |||||||
| Kimball et al., 2014 [22] | 2 −0.27–−0.47 | N = 138 | Broad categories in the ClinROM (0- < 30; 30- < 40; 40- < 50…) | - Minimal difference in patients’ experienced disease impact/disease-related quality of life. However due to the broad categories in the ClinROM, the change may be considered as substantial. (MID= 0.77–2.72); - No, moderate number of patients | |||
| Localized Scleroderma | |||||||
| Modified Localized Scleroderma Skin Severity Index (mLOSSI) | |||||||
| Kelsey et al., 2013 [21] | No, physician | N = 29 | Broad categories: Active or inactive | No, activity classification (physcian) | - A substantial difference in physicians’ assessment of disease severity (MID = 6 (4–8)) - No, low number of patients | ||
| Physician Global Assessment of Disease Activity (PGA-A) | |||||||
| Kelsey et al., 2013 [21] | No, physician | N = 29 | Broad categories: Active or inactive | No, activity classification (physcian) | - A substantial difference in physicians’ assessment of disease severity (MID = 41 (34–51)) - No, low number of patients | ||
| Lupus | |||||||
| Cutaneous Lupus Disease Area and Severity Index Activity Score (CLASI-A) | |||||||
| Chakka et al., 2021 [24] | N = 8 | Threshold in a PROM (Skindex-29 E: 9.38; Skindex-29 S: 7.37) | - A substantial difference in patients’ experienced disease impact/disease-related quality of life (MID = 3.3–7.4) - No, very low number of patients | ||||
| Psoriasis | |||||||
| Three-Item Physician-Global Assessment: PGA (Psoriasis) (Erythema, Induration and Scaling, Individually, on a Five-Point Scale (from 0 = no symptom to 4 = severe) | |||||||
| Cappelleri et al., 2013 [16] | 2 | N = 197 | - Minimal difference in patients’ rated disease severity (MID = 0.52; 95% CI: 0.47–0.56) - Yes | ||||
| Duffin et al., 2019 [17] | 2 | - Minimal difference in patients’ rated disease severity (MID = 0.55; 0.45–0.56) - Yes | |||||
| Simplified Psoriasis Index (SPI) | |||||||
| Chularojanamontri et al., 2014 [30] | No, physician | N = 100 | PASI-50 but not PASI-75 | No, PASI | - A substantial difference in physicians’ assessment of disease severity (MID= 5.25–7.57) - No, moderate number of patients | ||
| Sarcoidosis | |||||||
| Cutaneous Sarcoidosis Activity and Morphology Instrument (CSAMI) | |||||||
| Noe et al., 2020 [23] | No, physician | N = 41 | Broad categories: improved-no change-worsened | No, physician change rating (PCR) | - A substantial difference in physicians’ assessment of disease severity (MID = 5) - No, low number of patients | ||
| Vitiligo | |||||||
| VASI (Vitiligo Area Scoring Index) | |||||||
| Hamzavi et al., 2021 [31] | 0.45 | N = 157 | Very much and much improved = meaningfully changed | - A substantial difference in physicians’ assessment of disease severity (MID = 57% improvement of the facial-VASI; 42% improvement of the total-VASI) - Yes, but for a substantial and not a minimal difference | |||
| Vitiligo Extent Score (VES) | |||||||
| Uitentuis et al., 2021 [18] | No, only improvement in vitiligo extent | - Minimal difference in patients’ rated symptoms (MID = 0.5%) - Yes, for a subjectively significant difference (= smallest difference that a patient can detect), but not for an MID (only symptoms are assessed and no correlation) [4]. | |||||
4. Discussion
Supplementary Materials
Author Contributions
Funding
Conflicts of Interest
References
- Devji, T.; Carrasco-Labra, A.; Guyatt, G. Mind the Methods of Determining Minimal Important Differences: Three Critical Issues to Consider. Evid. Based Ment. Health 2021, 24, 77–81. [Google Scholar] [CrossRef]
- Salas Apaza, J.A.; Franco, J.V.A.; Meza, N.; Madrid, E.; Loézar, C.; Garegnani, L. Minimal clinically important difference: The basics. Medwave 2021, 21, e8149. [Google Scholar] [CrossRef]
- Cranston, J.S.; Kaplan, B.D.; Saver, J.L. Minimal Clinically Important Difference for Safe and Simple Novel Acute Ischemic Stroke Therapies. Stroke 2017, 48, 2946–2951. [Google Scholar] [CrossRef]
- King, M.T. A Point of Minimal Important Difference (MID): A Critique of Terminology and Methods. Expert Rev. Pharmacoecon. Outcomes Res. 2011, 11, 171–184. [Google Scholar] [CrossRef]
- Jaeschke, R.; Singer, J.; Guyatt, G.H. Measurement of Health Status. Ascertaining the Minimal Clinically Important Difference. Control. Clin. Trials 1989, 10, 407–415. [Google Scholar] [CrossRef]
- Devji, T.; Carrasco-Labra, A.; Qasim, A.; Phillips, M.; Johnston, B.C.; Devasenapathy, N.; Zeraatkar, D.; Bhatt, M.; Jin, X.; Brignardello-Petersen, R.; et al. Evaluating the Credibility of Anchor Based Estimates of Minimal Important Differences for Patient Reported Outcomes: Instrument Development and Reliability Study. BMJ 2020, 369, m1714. [Google Scholar] [CrossRef]
- Terwee, C.B.; Peipert, J.D.; Chapman, R.; Lai, J.-S.; Terluin, B.; Cella, D.; Griffith, P.; Mokkink, L.B. Minimal Important Change (MIC): A Conceptual Clarification and Systematic Review of MIC Estimates of PROMIS Measures. Qual. Life Res. 2021, 30, 2729–2754. [Google Scholar] [CrossRef]
- McGlothlin, A.E.; Lewis, R.J. Minimal Clinically Important Difference: Defining What Really Matters to Patients. JAMA 2014, 312, 1342–1343. [Google Scholar] [CrossRef]
- Schram, M.E.; Spuls, P.I.; Leeflang, M.M.G.; Lindeboom, R.; Bos, J.D.; Schmitt, J. EASI, (Objective) SCORAD and POEM for Atopic Eczema: Responsiveness and Minimal Clinically Important Difference. Allergy 2012, 67, 99–106. [Google Scholar] [CrossRef]
- Silverberg, J.I.; Lei, D.; Yousaf, M.; Janmohamed, S.R.; Vakharia, P.P.; Chopra, R.; Chavda, R.; Gabriel, S.; Patel, K.R.; Singam, V.; et al. What Are the Best Endpoints for Eczema Area and Severity Index and Scoring Atopic Dermatitis in Clinical Practice? A Prospective Observational Study. Br. J. Dermatol. 2021, 184, 888–895. [Google Scholar] [CrossRef]
- Yüksel, Y.T.; Agner, T.; Ofenloch, R. New Evidence on the Minimal Important Change (MIC) for the Hand Eczema Severity Index (HECSI). Contact Dermat. 2021, 85, 164–170. [Google Scholar] [CrossRef]
- Oosterhaven, J.A.F.; Schuttelaar, M.L.A. Responsiveness and Interpretability of the Hand Eczema Severity Index. Br. J. Dermatol. 2020, 182, 932–939. [Google Scholar] [CrossRef]
- Hanna, S.; Kim, M.; De La Mata, N.; Zhao, C.; Murrell, D. 020 Responsiveness, Minimal Clinically Important Difference (MCID), and Cut-Offs for the Pemphigus Disease Area Index (PDAI) and Autoimmune Bullous Skin Disorder Intensity Score (ABSIS) for Pemphigus. J. Investig. Dermatol. 2017, 137, S196. [Google Scholar] [CrossRef][Green Version]
- Wijayanti, A.; Zhao, C.; Boettiger, D.; Chiang, Y.; Ishii, N.; Hashimoto, T.; Murrell, D. The Reliability, Validity and Responsiveness of Two Disease Scores (BPDAI and ABSIS) for Bullous Pemphigoid: Which One to Use? Acta Derm. Venerol. 2017, 97, 24–31. [Google Scholar] [CrossRef]
- Jain, S.V.; Harris, A.G.; Su, J.C.; Orchard, D.; Warren, L.J.; McManus, H.; Murrell, D.F. The Epidermolysis Bullosa Disease Activity and Scarring Index (EBDASI): Grading Disease Severity and Assessing Responsiveness to Clinical Change in Epidermolysis Bullosa. J. Eur. Acad. Dermatol. Venereol. 2017, 31, 692–698. [Google Scholar] [CrossRef]
- Cappelleri, J.C.; Bushmakin, A.G.; Harness, J.; Mamolo, C. Psychometric Validation of the Physician Global Assessment Scale for Assessing Severity of Psoriasis Disease Activity. Qual. Life Res. 2013, 22, 2489–2499. [Google Scholar] [CrossRef]
- Callis Duffin, K.; Bushmakin, A.G.; Cappelleri, J.C.; Mallbris, L.; Mamolo, C. A Multi-Item Physician Global Assessment Scale to Assess Psoriasis Disease Severity: Validation Based on Four Phase III Tofacitinib Studies. BMC Dermatol. 2019, 19, 8. [Google Scholar] [CrossRef]
- Uitentuis, S.E.; Wolkerstorfer, A.; Bae, J.M.; Esmat, S.; Mogawer, R.M.; Ragab, N.; Chuah, S.Y.; Passeron, T.; van Geel, N.; Thng, S.T.G.; et al. Assessing the Minimal Important Change in the Vitiligo Extent Score and the Self-Assessment Vitiligo Extent Score. J. Am. Acad. Dermatol. 2021, 85, 1363–1364. [Google Scholar] [CrossRef]
- Anyanwu, C.O.; Fiorentino, D.F.; Chung, L.; Dzuong, C.; Wang, Y.; Okawa, J.; Carr, K.; Propert, K.J.; Werth, V.P. Validation of the Cutaneous Dermatomyositis Disease Area and Severity Index: Characterizing Disease Severity and Assessing Responsiveness to Clinical Change. Br. J. Dermatol. 2015, 173, 969–974. [Google Scholar] [CrossRef]
- Ahmed, S.; Chakka, S.; Concha, J.; Krain, R.; Feng, R.; Werth, V.P. Evaluating Important Change in Cutaneous Disease Activity as an Efficacy Measure for Clinical Trials in Dermatomyositis. Br. J. Dermatol. 2020, 182, 949–954. [Google Scholar] [CrossRef]
- Kelsey, C.E.; Torok, K.S. The Localized Scleroderma Cutaneous Assessment Tool: Responsiveness to Change in a Pediatric Clinical Population. J. Am. Acad. Dermatol. 2013, 69, 214–220. [Google Scholar] [CrossRef]
- Kimball, A.B.; Jemec, G.B.E.; Yang, M.; Kageleiry, A.; Signorovitch, J.E.; Okun, M.M.; Gu, Y.; Wang, K.; Mulani, P.; Sundaram, M. Assessing the Validity, Responsiveness and Meaningfulness of the Hidradenitis Suppurativa Clinical Response (HiSCR) as the Clinical Endpoint for Hidradenitis Suppurativa Treatment. Br. J. Dermatol. 2014, 171, 1434–1442. [Google Scholar] [CrossRef]
- Noe, M.H.; Gelfand, J.M.; Bryer, J.S.; Price, S.N.; Judson, M.A.; Rosenbach, M. Responsiveness to Change and Establishment of the Minimal Clinically Important Difference for the Cutaneous Sarcoidosis Activity and Morphology Instrument. JAMA Dermatol. 2020, 156, 98–99. [Google Scholar] [CrossRef]
- Chakka, S.; Krain, R.L.; Ahmed, S.; Concha, J.S.S.; Feng, R.; Merrill, J.T.; Werth, V.P. Evaluating Change in Disease Activity Needed to Reflect Meaningful Improvement in Quality of Life for Clinical Trials in Cutaneous Lupus Erythematosus. J. Am. Acad. Dermatol. 2021, 84, 1562–1567. [Google Scholar] [CrossRef]
- Cohen, J.L.; Sadick, N.S.; Kirby, M.T.; McLane, M.P.; Lenderking, W.R.; Bender, R.H.; Chen, J.; Hurley, D.; Knoble, N.B.; Liu, G.; et al. Development and Validation Clinician and Patient Reported Photonumeric Scales to Assess Buttocks Cellulite Severity. Dermatol. Surg. 2020, 46, 1628–1635. [Google Scholar] [CrossRef]
- Silverberg, J.I.; Lei, D.; Yousaf, M.; Janmohamed, S.R.; Vakharia, P.P.; Chopra, R.; Chavda, R.; Gabriel, S.; Patel, K.R.; Singam, V.; et al. Measurement Properties of the Product of Investigator’s Global Assessment and Body Surface Area in Children and Adults with Atopic Dermatitis. J. Eur. Acad. Dermatol. Venereol. 2021, 35, 180–187. [Google Scholar] [CrossRef]
- Simpson, E.L.; Bissonnette, R.; Paller, A.S.; King, B.; Silverberg, J.I.; Reich, K.; Thyssen, J.P.; Doll, H.; Sun, L.; DeLozier, A.M.; et al. The Validated Investigator Global Assessment for Atopic Dermatitis (VIGA-ADTM): A Clinical Outcome Measure for the Severity of Atopic Dermatitis. Br. J. Dermatol. 2022. [Google Scholar] [CrossRef]
- Ofenloch, R.F.; Diepgen, T.L.; Popielnicki, A.; Weisshaar, E.; Molin, S.; Bauer, A.; Mahler, V.; Elsner, P.; Schmitt, J.; Apfelbacher, C. Severity and Functional Disability of Patients with Occupational Contact Dermatitis: Validation of the German Version of the Occupational Contact Dermatitis Disease Severity Index. Contact Dermat. 2015, 72, 84–89. [Google Scholar] [CrossRef]
- Silverberg, J.I.; Lei, D.; Yousaf, M.; Janmohamed, S.R.; Vakharia, P.P.; Chopra, R.; Chavda, R.; Gabriel, S.; Patel, K.R.; Singam, V.; et al. Measurement Properties of the Rajka-Langeland Severity Score in Children and Adults with Atopic Dermatitis. Br. J. Dermatol. 2021, 184, 87–95. [Google Scholar] [CrossRef]
- Chularojanamontri, L.; Griffiths, C.E.M.; Chalmers, R.J.G. Responsiveness to Change and Interpretability of the Simplified Psoriasis Index. J. Investig. Dermatol. 2014, 134, 351–358. [Google Scholar] [CrossRef]
- Hamzavi, I.; Rosmarin, D.; Butler, K.; Kuo, F.; Zhu, Z.; Sun, K. 25486 Correlation of the Vitiligo Area Scoring Index with Patient- and Physician-Reported Measures of Clinical Improvement in a Randomized, Double-Blind Phase 2 Study. J. Am. Acad. Dermatol. 2021, 85, AB60. [Google Scholar] [CrossRef]
- van Walraven, C.; Mahon, J.L.; Moher, D.; Bohm, C.; Laupacis, A. Surveying Physicians To Determine the Minimal Important Difference: Implications for Sample-Size Calculation. J. Clin. Epidemiol. 1999, 52, 717–723. [Google Scholar] [CrossRef]

| Credibility Instrument of Devji et al., 2021 [6] | |
|---|---|
| 1. Is the patient or necessary proxy responding directly to the anchor and the physician to the outcome measure? | |
| - Patient or proxy responding | 13/29 (44.8%) |
| - Physician/investigator responding | 16/29 (55.2%) |
| - Different patient group responding | 0/29 (0%) |
| 2. Is the anchor easily understandable and relevant for patients or necessary proxies? | |
| - Avoidance of difficult medical terminology, statements deemed adequate for their purpose | 13/13 (100%) |
| - Global assessments of change or global ratings of disease severity or disease activity that are generally accepted as easy to understand for patients | 7/13 (76.9%) |
| - Validated PROMS with confirmed comprehensibility for patients | 3/13 (23.1%) |
| 3. Has the anchor shown a good correlation with the PROM? | |
| - Good correlation with the PROM (r ≥ 0.5) | 7/29 (24.1%) |
| - Moderate correlation with the PROM (r ≥ 0.3–0.5) | 5/29 (17.2%) |
| - Low correlation with the PROM (r < 0.3) | 0/29 (0%) |
| - No correlation mentioned | 17/29 (58.6%) |
| 4. Is the MID precise? (number of patients included) | |
| - Very high number of patients | 9/29 (31.0%) |
| - High number of patients | 4/29 (13.8%) |
| - Less than adequate number of patients | 6/29 (20.7%) |
| - Insufficient number of patients | 10/29 (34.5%) |
| 5. Does the threshold or difference between groups on the anchor used to estimate the MID reflect a small but important difference? | |
| 5a. Does the anchor used to estimate the MID reflect a small difference? | |
| - Small differences taken into account (most used terms: “mild”, “little”) | 15/29 (51.7%) |
| - No small differences taken into account | 14/29 (48.3%) |
| 5b. Does the anchor question assess the importance according to the patient and not only a change in clinical signs/symptoms? (Anchor questions were evaluated using the original definition of the MID, which indicates that the patient’s perception should be included [8]) | |
| - Anchor questions handling the impact of the disease on the quality of life, tolerability of the disease, functional implications, and emotions (=> highly likely to accurately reflect important changes for the patients) | 3/29 (10.3%) |
| - Anchor questions about the severity of the disease/symptoms from a patients’ perspective {Rating the severity of the disease was considered a questionable (but acceptable) approach for stratifying disease states that mandate a change in treatment) | 9/29 (31.0%) |
| - Anchor questions assessing a small detectable change in symptoms rather than a clinically important change from a patients’ perspective | 1/29 (3.4%) |
| - Anchor questions not answered by patients, but assessing the global severity of the disease | 16/29 (55.2%) |
Publisher’s Note: MDPI stays neutral with regard to jurisdictional claims in published maps and institutional affiliations. |
© 2022 by the authors. Licensee MDPI, Basel, Switzerland. This article is an open access article distributed under the terms and conditions of the Creative Commons Attribution (CC BY) license (https://creativecommons.org/licenses/by/4.0/).
Share and Cite
Speeckaert, R.; Belpaire, A.; Herbelet, S.; Speeckaert, M.M.; van Geel, N. The Meaning and Reliability of Minimal Important Differences (MIDs) for Clinician-Reported Outcome Measures (ClinROMs) in Dermatology—A Scoping Review. J. Pers. Med. 2022, 12, 1167. https://doi.org/10.3390/jpm12071167
Speeckaert R, Belpaire A, Herbelet S, Speeckaert MM, van Geel N. The Meaning and Reliability of Minimal Important Differences (MIDs) for Clinician-Reported Outcome Measures (ClinROMs) in Dermatology—A Scoping Review. Journal of Personalized Medicine. 2022; 12(7):1167. https://doi.org/10.3390/jpm12071167
Chicago/Turabian StyleSpeeckaert, Reinhart, Arno Belpaire, Sandrine Herbelet, Marijn M. Speeckaert, and Nanja van Geel. 2022. "The Meaning and Reliability of Minimal Important Differences (MIDs) for Clinician-Reported Outcome Measures (ClinROMs) in Dermatology—A Scoping Review" Journal of Personalized Medicine 12, no. 7: 1167. https://doi.org/10.3390/jpm12071167
APA StyleSpeeckaert, R., Belpaire, A., Herbelet, S., Speeckaert, M. M., & van Geel, N. (2022). The Meaning and Reliability of Minimal Important Differences (MIDs) for Clinician-Reported Outcome Measures (ClinROMs) in Dermatology—A Scoping Review. Journal of Personalized Medicine, 12(7), 1167. https://doi.org/10.3390/jpm12071167

