From Conventional to Environmentally Acceptable Additives: Tribological Behaviour in Volatile Lubricants for Punching Stamping Operations
Abstract
1. Introduction
2. Materials and Methods
2.1. Specimens and Lubricants
2.2. Tribological Tests
2.3. Surface Analyses
3. Results
3.1. Friction
3.2. Wear
3.3. Surface Analysis
4. Discussion
4.1. Short vs. Long Term Effect
4.2. Conventional vs. Environmentally Acceptable Additive Mixtures
5. Conclusions
- The changing contact conditions can either enhance or weaken (diminish) the effectiveness of additives, depending on their type, in forming protective tribofilms. Such tribofilms serve two primary roles: (i) reducing the transfer of the Fe film to WC–Co, either by limiting its extent or confining it to smaller regions, and (ii) decreasing adhesion between the WC–Co and the steel sheet surfaces.
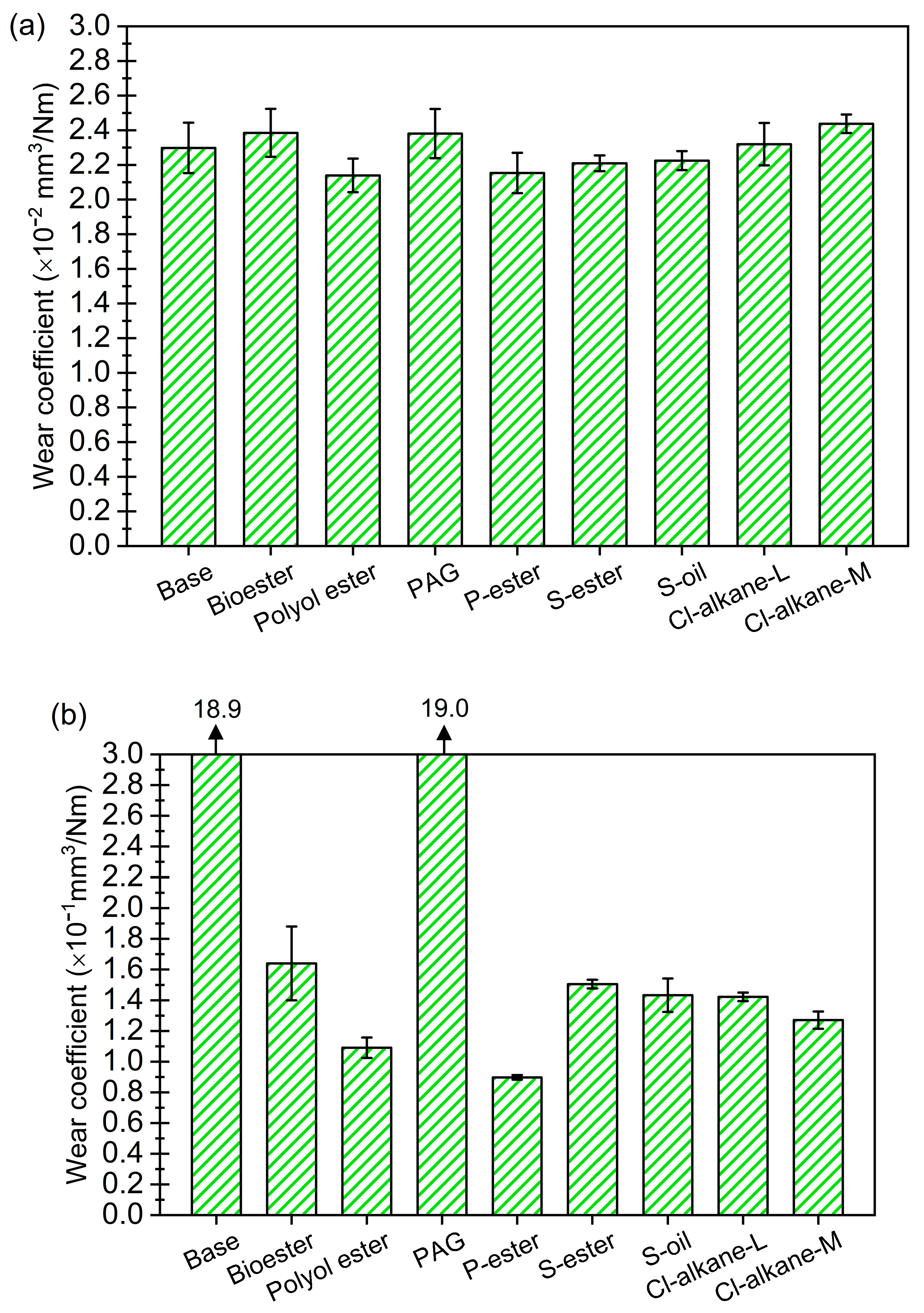
 - Sulphurised additives (S-oil and S-ester) perform well under both short- and long-term conditions, in contrast to the more aggressive chlorinated additives (Cl-alkane-M and Cl-alkane-L), whose performance deteriorates significantly as contact pressure decreases. Although chlorinated additives are typically used as high-pressure additives under extreme stamping conditions, they are among the less effective additives in this study. After 10,000 cycles, mixtures containing chlorinated additives exhibited a coefficient of friction of ~0.18, ~29 to 50% higher than that of sulphurised additive mixtures (~0.14 S-ester and ~0.12 S-oil). Their wear coefficient of ~1.3 × 10−1 mm3/Nm, however, was ~13% lower than that of sulphurised additive mixtures (~1.5 × 10−1 mm3/Nm).
 - The P-ester additive outperformed both types of sulphurised additives in terms of long-term wear resistance, as the wear coefficient was ~0.9 × 10−1 mm3/Nm, which is approximately 40% lower than that of the sulphurised additive mixtures.
 - Among the environmentally acceptable additives, polyol ester demonstrates the best overall tribological performance. After 10 cycles, its effectiveness is only slightly lower than that of the sulphur-based additives. However, after 10,000 cycles, the polyol ester mixture achieved the lowest coefficient of friction and the second lowest wear coefficient. The coefficient of friction of ~0.11 was ~8 to 21% lower than that of the sulphurised additives, while the wear coefficient of ~1.1 × 10−1 mm3/Nm was ~27% lower. These results highlight the strong potential of polyol ester formulations as safe and effective multifunctional alternatives to conventional additives.
 
Author Contributions
Funding
Data Availability Statement
Conflicts of Interest
Abbreviations
| AW | Anti-Wear Additive | 
| EP | Extreme Pressure Additive | 
| FM | Friction Modifier Additive | 
References
- Schmid, S.R.; Kalpakjian, S. Manufacturing Engineering and Technology; Pearson Prentice Hall: Upper Saddle River, NJ, USA, 2006. [Google Scholar]
 - Stephenson, D.A.; Agapiou, J.S. Metal Cutting Theory and Practice; CRC Press: Boca Raton, FL, USA, 2018. [Google Scholar]
 - Byers, J.P. Metalworking Fluids; CRC Press: Boca Raton, FL, USA, 2016. [Google Scholar]
 - Kim, H.; Altan, T.; Yan, Q. Evaluation of Stamping Lubricants in Forming Advanced High Strength Steels (AHSS) Using Deep Drawing and Ironing Tests. J. Mater. Process. Technol. 2009, 209, 4122–4133. [Google Scholar] [CrossRef]
 - Harwood, B.; Altan, T. Forming Trends in the Automotive Industry and Their Impact on Lubrication. Tribol. Lubr. Technol. 2015, 71, 46. [Google Scholar]
 - Kraemer, A.; Stoll, J.; Blickle, D.; Lanza, G.; Boeker, B. Analysis of Wear Behavior of Stamping Tools in the Production of Electrical Steel Sheets. In Proceedings of the 2015 5th International Electric Drives Production Conference (EDPC), Nuremberg, Germany, 15–16 September 2015; IEEE: Washington, DC, USA, 2015; pp. 1–7. [Google Scholar]
 - Trzepieciński, T. Approaches for Preventing Tool Wear in Sheet Metal Forming Processes. Machines 2023, 11, 616. [Google Scholar] [CrossRef]
 - Čoga, L.; Polajnar, M.; Samodurova, A.; Kalin, M. Tribological Properties of Steel Sheet with Epoxy-Based Enamel Coating under Dry and Lubricated Conditions for Stamping Applications. J. Mater. Res. Technol. 2025, 36, 7666–7675. [Google Scholar] [CrossRef]
 - Saini, V.; Lodhi, A.P.S. Surface Protectants Additives. In Lubricant Technology; CRC Press: Boca Raton, FL, USA, 2025; pp. 42–54. [Google Scholar]
 - Minami, I. Molecular Science of Lubricant Additives. Appl. Sci. 2017, 7, 445. [Google Scholar] [CrossRef]
 - Fang, L.; Korres, S.; Lamberti, W.A.; Webster, M.N.; Carpick, R.W. What Stress Components Drive Mechanochemistry? A Study of ZDDP Tribofilm Formation. Faraday Discuss. 2023, 241, 394–412. [Google Scholar]
 - Pape, F.; Poll, G.; Ellersiek, L.; Denkena, B.; Liu, H. Tribological Effects of Metalworking Fluids in Cutting Processes. Lubricants 2023, 11, 224. [Google Scholar] [CrossRef]
 - Buteri, A.; Borgeot, M.; Roizard, X.; Lallemand, F.; Melot, J.M.; Morand, L. Tribological Behavior of a New Green Industrial Lubricant for Stamping Operations-Application to Stainless Steels. IOP Conf. Ser. Mater. Sci. Eng. 2016, 159, 012018. [Google Scholar] [CrossRef]
 - Schmid, S.R.; Saha, P.K.; Wang, J.; Schmitz, T. Developments in Tribology of Manufacturing Processes. J. Manuf. Sci. Eng. 2020, 142, 110803. [Google Scholar] [CrossRef]
 - Nussbaumer, J. Alternatives for Chlorinated Paraffins in Metalworking Applications. Tribol. Lubr. Technol. 2012, 68, 48. [Google Scholar]
 - Djordjevic, M.; Aleksandrovic, S.; Arsić, D.; Lazic, V.; Milosavljevic, D.; Nikolic, R. Comparative Study of an Environmentally Friendly Lubricant with Conventional Lubricants in Strip Ironing Test. J. Balk. Tribol. Assoc. 2016, 22, 947–958. [Google Scholar]
 - Ramezani, M.; Schmid, S.R. Bio-Based Lubricants for Forming of Magnesium. J. Manuf. Process. 2015, 19, 112–117. [Google Scholar] [CrossRef]
 - Pereira, M.P.; Yan, W.; Rolfe, B.F. Sliding Distance, Contact Pressure and Wear in Sheet Metal Stamping. Wear 2010, 268, 1275–1284. [Google Scholar] [CrossRef]
 - Bay, N.; Azushima, A.; Groche, P.; Ishibashi, I.; Merklein, M.; Morishita, M.; Nakamura, T.; Schmid, S.; Yoshida, M. Environmentally Benign Tribo-Systems for Metal Forming. CIRP Ann. 2010, 59, 760–780. [Google Scholar] [CrossRef]
 - Lovell, M.; Higgs, C.F.; Deshmukh, P.; Mobley, A. Increasing Formability in Sheet Metal Stamping Operations Using Environmentally Friendly Lubricants. J. Mater. Process. Technol. 2006, 177, 87–90. [Google Scholar] [CrossRef]
 - Ike, H. Report on Metal Forming Tribology Research in Japan with Special Focus on Environmental Aspects. In Proceedings of the 2nd International Conference on Tribology in Manufacturing Processes (ICTMP 2004), Nyborg, Denmark, 15–18 June 2004. [Google Scholar]
 - Bay, N.; Olsson, D.D.; Andreasen, J.L. Lubricant Test Methods for Sheet Metal Forming. Tribol. Int. 2008, 41, 844–853. [Google Scholar] [CrossRef]
 - McGuire, N. Minding the Metalworking Fluids. Tribol. Lubr. Technol. 2016, 72, 32. [Google Scholar]
 - Lovell, M.R.; Deng, Z. Characterization of Interfacial Friction in Coated Sheet Steels: Influence of Stamping Process Parameters and Wear Mechanisms. Tribol. Int. 2002, 35, 85–95. [Google Scholar] [CrossRef]
 - Kim, H.; Sung, J.H.; Sivakumar, R.; Altan, T. Evaluation of Stamping Lubricants Using the Deep Drawing Test. Int. J. Mach. Tools Manuf. 2007, 47, 2120–2132. [Google Scholar] [CrossRef]
 - Chandrasekharan, S.; Palaniswamy, H.; Jain, N.; Ngaile, G.; Altan, T. Evaluation of Stamping Lubricants at Various Temperature Levels Using the Ironing Test. Int. J. Mach. Tools Manuf. 2005, 45, 379–388. [Google Scholar] [CrossRef]
 - Polajnar, M.; Čoga, L.; Kalin, M. Base Lubricants for Green Stamping: The Effects of Their Structure and Viscosity on Tribological Performance. Friction 2023, 11, 1741–1754. [Google Scholar] [CrossRef]
 - Peña-Parás, L.; Taha-Tijerina, J.; García, A.; Maldonado, D.; González, J.A.; Molina, D.; Palacios, E.; Cantú, P. Antiwear and Extreme Pressure Properties of Nanofluids for Industrial Applications. Tribol. Trans. 2014, 57, 1072–1076. [Google Scholar] [CrossRef]
 - Marzouki, M.; Kowandy, C.; Richard, C. Experimental Simulation of Tool/Product Interface during Hot Drawing. Wear 2007, 262, 235–241. [Google Scholar] [CrossRef]
 - Ghiotti, A.; Sgarabotto, F.; Bruschi, S. A Novel Approach to Wear Testing in Hot Stamping of High Strength Boron Steel Sheets. Wear 2013, 302, 1319–1326. [Google Scholar] [CrossRef]
 - Klocke, F.; Raedt, H.-W. Formulation and Testing of Optimised Coating Properties with Regard to Tribological Performance in Cold Forging and Fine Blanking Applications. Int. J. Refract. Met. Hard Mater. 2001, 19, 495–505. [Google Scholar] [CrossRef]
 - Ramadan, M.K.; Lashin, M.M.A.; Gaafer, A.M. Mechanical and Tribological Properties of Coated Steel Blanking Punch. J. Egypt. Soc. Tribol. 2020, 17, 27–35. [Google Scholar]
 - Schwingenschlögl, P.; Merklein, M. Characterization of Tribological Conditions within Direct Hot Stamping. J. Mater. Process. Technol. 2020, 278, 116535. [Google Scholar]
 - Uda, K.; Azushima, A.; Yanagida, A. Development of New Lubricants for Hot Stamping of Al-Coated 22MnB5 Steel. J. Mater. Process. Technol. 2016, 228, 112–116. [Google Scholar] [CrossRef]
 - Decrozant-Triquenaux, J.; Pelcastre, L.; Courbon, C.; Prakash, B.; Hardell, J. Effect of Surface Engineered Tool Steel and Lubrication on Aluminium Transfer at High Temperature. Wear 2021, 477, 203879. [Google Scholar] [CrossRef]
 - Yanagida, A.; Azushima, A. Evaluation of Coefficients of Friction in Hot Stamping by Hot Flat Drawing Test. CIRP Ann. 2009, 58, 247–250. [Google Scholar] [CrossRef]
 - Bogatu, L.; Dragomir, R. Suitable Compositions for Efficient Deep Stamping Lubricants. Rev. Chim. 2015, 66, 722–726. [Google Scholar]
 - Li, X.; Yan, X.; Zhang, Z.; Ren, M.; Jia, H. Determination of Hot Stamping Friction Coefficient of 7075 Aluminum. Metals 2021, 11, 1111. [Google Scholar] [CrossRef]
 - Fernandes, L.; Silva, F.J.G.; Andrade, M.F.; Alexandre, R.; Baptista, A.P.M.; Rodrigues, C. Improving the Punch and Die Wear Behavior in Tin Coated Steel Stamping Process. Surf. Coat. Technol. 2017, 332, 174–189. [Google Scholar] [CrossRef]
 - Kohutiar, M.; Krbata, M.; Escherova, J.; Eckert, M.; Mikus, P.; Jus, M.; Polášek, M.; Janík, R.; Dubec, A. The Influence of the Geometry of Movement during the Friction Process on the Change in the Tribological Properties of 30CrNiMo8 Steel in Contact with a G40 Steel Ball. Materials 2024, 17, 127. [Google Scholar] [CrossRef]
 - Polajnar, M.; Čoga, L.; Sharma, S.K.; Kalin, M. Laboratory Tribological Screening Test Methodologies to Evaluate the Performance of Metalworking Lubricants for Punching Stamping. Tribol. Int. 2025, 211, 110815. [Google Scholar] [CrossRef]
 - Krbata, M.; Ciger, R.; Kohutiar, M.; Sozańska, M.; Eckert, M.; Barenyi, I.; Kianicova, M.; Jus, M.; Beronská, N.; Mendala, B.; et al. Effect of Supercritical Bending on the Mechanical & Tribological Properties of Inconel 625 Welded Using the Cold Metal Transfer Method on a 16Mo3 Steel Pipe. Materials 2023, 16, 5014. [Google Scholar] [CrossRef] [PubMed]
 - Spikes, H. Friction Modifier Additives. Tribol. Lett. 2015, 60, 5. [Google Scholar] [CrossRef]
 - Alves, S.M.; Schroeter, R.B.; Bossardi, J.C.D.S.; Andrade, C.L.F.D. Influence of EP Additive on Tool Wear in Drilling of Compacted Graphite Iron. J. Braz. Soc. Mech. Sci. Eng. 2011, 33, 197–202. [Google Scholar] [CrossRef]
 - Srinivas, V.; Thakur, R.N.; Jain, A.K. Antiwear, Antifriction, and Extreme Pressure Properties of Motor Bike Engine Oil Dispersed with Molybdenum Disulfide Nanoparticles. Tribol. Trans. 2017, 60, 12–19. [Google Scholar] [CrossRef]
 - Canter, N. Special Report: Trends in Extreme Pressure Additives. Tribol. Lubr. Technol. 2007, 63, 10. [Google Scholar]
 






| Additive | Label | Type of Additive * | S/Cl/P Content (wt%)  | Biodegradability/ Aquatic Toxicity  | Environmental Impact | 
|---|---|---|---|---|---|
| Hydrolytically stable monoester (Croda)  | Bioester | Lub | 0 | B/low | ![]()  | 
| Unsaturated polyol partial  ester (Croda)  | Polyol ester | FM | 0 | B/low | |
| Polyalkylene glycol (Croda)  | PAG | Lub | 0 | NS/low | |
| Polymeric phosphite ester (Dover Chemicals)  | P-ester | AW, EP | P = 4.5 | NR/NS | |
| Sulphurised methyl ester (Dover Chemicals)  | S-ester | Lub, EP | S ≈ 10, without active sulphur | NS/NS | |
| Sulphurised lard oil  (Dover Chemicals)  | S-oil | EP | S ≈ 10–11, with active sulphur | NS/NS | |
| Long-chain (more than 21 C atoms) chlorinated alkane (Dover Chemicals)  | Cl-alkane-L | EP | Cl ≈ 45–50 | NR/high | |
| Medium-chain (C14-16)  chlorinated alkane (Dover Chemicals)  | Cl-alkane-M | EP | Cl ≈ 40 | NR/high | 
| Lubricant | Area 10 Cycles (10−7 m2)  | Area 10,000 Cycles (10−7 m2)  | 
|---|---|---|
| Base | 5.5 | 81 | 
| Bioester | 2.6 | 35 | 
| Polyol ester | 2.0 | 19 | 
| PAG | 3.5 | 85 | 
| P-ester | 2.5 | 16 | 
| S-ester | No Fe-film * | 17 | 
| S-oil | No Fe-film * | 19 | 
| Cl-alkane-L | 2.3 | 19 | 
| Cl-alkane-M | 2.4 | 16 | 
Disclaimer/Publisher’s Note: The statements, opinions and data contained in all publications are solely those of the individual author(s) and contributor(s) and not of MDPI and/or the editor(s). MDPI and/or the editor(s) disclaim responsibility for any injury to people or property resulting from any ideas, methods, instructions or products referred to in the content.  | 
© 2025 by the authors. Licensee MDPI, Basel, Switzerland. This article is an open access article distributed under the terms and conditions of the Creative Commons Attribution (CC BY) license (https://creativecommons.org/licenses/by/4.0/).
Share and Cite
Čoga, L.; Polajnar, M.; Kalin, M. From Conventional to Environmentally Acceptable Additives: Tribological Behaviour in Volatile Lubricants for Punching Stamping Operations. Lubricants 2025, 13, 446. https://doi.org/10.3390/lubricants13100446
Čoga L, Polajnar M, Kalin M. From Conventional to Environmentally Acceptable Additives: Tribological Behaviour in Volatile Lubricants for Punching Stamping Operations. Lubricants. 2025; 13(10):446. https://doi.org/10.3390/lubricants13100446
Chicago/Turabian StyleČoga, Lucija, Marko Polajnar, and Mitjan Kalin. 2025. "From Conventional to Environmentally Acceptable Additives: Tribological Behaviour in Volatile Lubricants for Punching Stamping Operations" Lubricants 13, no. 10: 446. https://doi.org/10.3390/lubricants13100446
APA StyleČoga, L., Polajnar, M., & Kalin, M. (2025). From Conventional to Environmentally Acceptable Additives: Tribological Behaviour in Volatile Lubricants for Punching Stamping Operations. Lubricants, 13(10), 446. https://doi.org/10.3390/lubricants13100446
        

       