Next Article in Journal
Application of Headspace-SIFT-MS to Direct Analysis of Hazardous Volatiles in Drinking Water
Previous Article in Journal
Comparison of Freshwater Mussels Unio tumidus and Unio crassus as Biomonitors of Microplastic Contamination of Tisza River (Hungary)
 
 
Font Type:
Arial Georgia Verdana
Font Size:
Aa Aa Aa
Line Spacing:
Column Width:
Background:
Review

Function of Nanomaterials in Removing Heavy Metals for Water and Wastewater Remediation: A Review

1
Department of Civil Engineering, College of Engineering, University of Thi-Qar, Al-Nassiriya 64001, Iraq
2
Department of Reconstruction & Projects, The University of Thi-Qar, Al-Nassiriya 64001, Iraq
3
Department of Civil, Environmental and Natural Resources Engineering, Lulea University of Technology, 97187 Lulea, Sweden
4
Department of Civil Engineering, Wasit University, Wasit 52001, Iraq
*
Author to whom correspondence should be addressed.
Environments 2022, 9(10), 123; https://doi.org/10.3390/environments9100123
Submission received: 2 August 2022 / Revised: 8 September 2022 / Accepted: 16 September 2022 / Published: 25 September 2022

Abstract

Although heavy metals are typically found in trace levels in natural waterways, most of them are hazardous to human health and the environment, even at extremely low concentrations. Nanotechnology and nanomaterials have gained great attention among researchers as a sustainable route to addressing water pollution. Researchers focus on developing novel nanomaterials that are cost-effective for use in water/wastewater remediation. A wide range of adsorbed nanomaterials have been fabricated based on different forms of natural materials, such as carbonaceous nanomaterials, zeolite, natural polymers, magnetic materials, metal oxides, metallic materials, and silica. Hence, this review set out to address the ability of various synthesized nanoadsorbent materials to remove different heavy metal ions from water and wastewater and to investigate the influence of the functionalization of nanomaterials on their adsorption capacity and separation process. Additionally, the effect of experimental variables, such as pH, initial ion concentration, adsorbent dose, contact time, temperature, and ionic strength, on the removal of metal ions has been discussed.

Graphical Abstract

1. Introduction

Sustainable life requires a clean water source. Water pollution is a global concern that harms the entire biosphere and threatens life on earth. Development in industry, such as spreading energy plants, mining sectors, and environmental disasters due to climatic change, has contributed to the alarming growth of harmful pollutants in the aquatic environment [1]. Water pollution, coupled with the simultaneous increase in demand due to population growth, leads to an increased lack of access to clean drinking water in many areas worldwide [2,3]. Organic, inorganic, biological, and microscopic contaminants are common water pollutants, causing serious health problems. This is especially the case with wastewater containing heavy metal ions. These hazardous ions are released into the environment, accumulate via cumulative exposure over time, and cannot be easily decomposed, posing a threat to human health across the food chain [4]. Medically, when the quantities of some of these heavy metal ions approach certain threshold levels, they become carcinogenic and even fatal to humans [5]. Heavy metals are elements with atomic weights between 63.5 and 200.6 and densities of more than 5 g/cm3 [6]. Many industries have effluents containing heavy metals such as Hg, Cu, Zn, Co, As, Ni, and Cr, which are highly toxic. Some industrial effluents are untreated or inadequately treated and are discharged into the environment and watersheds [7]. Moreover, the spread of inadequate landfill sites has worsened water pollution. Landfill leachates contain significant amounts of heavy metals that may discharge into groundwater [8,9]. This type of pollution has gained broad attention among engineers and researchers. However, providing valuable solutions that are simple to adopt and economical is a difficult task that is perhaps frequently encountered.
An increasing number of accessible wastewater treatment and water purification options have come to light in recent years, demonstrating that both consolidated and emergent water purification technologies can provide convincing answers to the water pollution problem. Even though they can remove various pollutants from wastewater, these technologies have some drawbacks (high cost, process complexity, low efficiency, and so on) [10]. The descriptions of each method of common techniques used to sequester heavy metals from water are given in Table 1. Moreover, heavy metal ion removal is difficult in water purification because these contaminants are widely spread. Additionally, because of their ionic forms or ion selectivity, even the most well-established procedures are frequently unsuitable or inefficient [4]. For instance, arsenic (AS3+) can be removed by ion exchange or reverse osmosis since these technologies are highly inefficient with arsenic 3+ (only 20–55% removal) because arsenite exists as a neutral molecule that readily penetrates through the membrane. An intermediate oxidation step to arsenic (AS+5) is necessary before membrane removal [11]. It should be noted that the adsorption method is receiving considerable attention from researchers working on treating industrial wastewater that is contaminated with heavy metal ions [12]. It is believed that the adsorption process is safe, clean, efficient, and technologically possible. Furthermore, some adsorbent materials that are utilized can be recyclable, making the adsorption process more cost-effective [13]. Adsorbent materials have large surface areas, high porosity, high resistance to toxic substances, and are simple to design and operate [14].
A wide array of adsorptive materials can be used in wastewater treatment for toxic heavy metals removal. An adsorbent should have enough binding sites to adsorb heavy metal ions appropriately. Activated carbon, metal oxides, and others are often employed as adsorbents for heavy metal ion removal [15]. Traditional adsorbents have poor adsorption capabilities, are not functionally tunable, and are not recyclable. New nanoadsorbents using nanomaterials are being developed to overcome these constraints. Due to their high specific surface area, low flocculent generation, and many active groups for binding heavy metal ions, nanomaterials currently have received considerable interest as adsorbents for wastewater decontamination [16,17]. Notably, the developed nanomaterials provided new geometries with novel properties not found in bulk materials. Geometrically diverse nanomaterials have shown high efficiencies in heavy metal removal. This can be attributed to their premium properties, including specific surface charge, high surface area, porosity, surface functionality, and ion-binding strengths [18]. Nevertheless, there are significant restrictions on the industrial applications of these nanoparticles—for instance, the process of their removal from treated water [19]. This issue is addressed by functionalizing nanomaterials using various materials, such as carbon, polymers, biomolecules, and inorganic chemicals, which facilitates their separation from treated water and increases their adsorption capacity. With their recyclability, nanomaterials are attractive and cost-effective. Therefore, this work aims to review and briefly discuss using nanomaterials to remove heavy metals from water/wastewater using adsorption. It also discusses the operating conditions that govern this process, such as the effects of the pH of the treatment solution, temperature, contact time, initial concentration of the heavy metal, and adsorbent dosage on the adsorption process.
Table 1. Common techniques for remediation water and wastewater and heavy metals removal.
Table 1. Common techniques for remediation water and wastewater and heavy metals removal.
ProcessDescriptionAdvantagesLimitationsReference
Coagulation and
Flocculation
Positively charged chemicals are added to the water.
These chemicals neutralize the negative charge of contaminants and other dissolved particles in the water. When this occurs, the particles bind with the chemicals and form larger particles, called floc. Floc settles to the bottom of the water supply due to its weight, and this settling process is called sedimentation.
Relatively affordable since alum is a cheap coagulant
Simple to operate
Ineffective for heavy metals removal
To achieve efficient removal, it is frequently combined with a precipitation approach.
Sludge production
[20]
PrecipitationChemical agents are used in this procedure to convert metal ions to insoluble precipitates of hydroxide, sulfide, carbonate, or phosphate.
Later, the solid precipitate is separated using a filtering procedure.
A simple approach with remarkable selectivity
Low-cost precipitants
Low-efficiency treatment for polluted water with high heavy metals concentrations.
Consumes huge quantities of precipitate agents
Results in large amounts of toxic sludge
Chemical stabilization and efficient precipitant disposal are required.
Metal precipitation and sedimentation at a slow rate
[21]
Ion
exchange
Ion exchange removes ions from the aqueous phase by exchanging cations or anions between the contaminants and the exchange medium. Ion exchange materials may consist of resins made from synthetic organic materials that contain ionic functional groups to which exchangeable ions are attached. They also may be inorganic and natural polymeric materials. After the resin capacity has been exhausted, resins can be regenerated for re-use.Easy procedure
Low-cost materials and re-usable resin
Fast process kinetic
Highly sensitive to pH
The presence of free acids may result in low
binding affinity.
Fouling of metal ions on ion exchange mediaOnly suitable for low concentration of metals
[22]
Membrane
technologies
The membrane technologies use a physical barrier (usually a porous membrane or filter) to separate particles and microorganisms suspended in water.High removal efficiency
Ease of fabrication, operation
No need for chemical additives
Scale-up and control, space-saving
Severe foulingHigh energy consumption due to the pressure-driven inherent process
May need pretreatment process
Probability generation of secondary pollutants and requirement of post-treatment
[23]
Electrochemical technologiesUsing anodic and cathodic reactions
In an electrochemical cell
This process is easy to operate, does not require chemicals, and has reduced sludge production and saves energy.Large capital investments,
expensive electricity supply
Ineffective when metal ion
concentrations in aqueoussolutions are low
[24]
AdsorptionThis mechanism entraps metal ions in materials with adsorptive features (i.e., highly porous, large surface area, active functional groups) through physical or chemical interactions. The adsorbents are then filtered from the solution and regenerated.Wide range of adsorbents
Low cost
Easy to use
Time-consuming post-treatment procedure
For maximal binding capacity, some adsorbents must be hybridized.
[25]

2. Mechanisms for the Removal of Heavy Metal

The interaction mechanisms that allow heavy metal ion removal from aqueous solutions are currently not well known, and they are still a matter of debate [26]. Most current remediation methods for the removal of these pollutants use sorption, sorption–reduction, or photocatalytic degradation [27]. Determining the physicochemical features of these contaminants and combining modern characterization (e.g., spectroscopy) with theoretical calculations at the molecular level seems necessary to comprehend their potential influence on the environment and define alternate elimination pathways. One of the simplest mechanisms for heavy metal ion elimination from solutions is sorption, owing to chemical interactions between functional groups (especially those with various oxygen-containing groups, hydroxyl groups, or carbonyl groups) and metal ions [28]. It is essential to mention that the International Union of Pure and Applied Chemistry (IUPAC) defines sorption as the process by which a substance (sorbate) is sorbed (adsorbed or absorbed) on or in another substance (sorbent) [29]. This process is mediated by the development of strong surface complexes via hydrophobic contacts, π–π-donor–acceptor interactions, hydrogen bond interactions, and/or electrostatic attraction [30,31,32,33]. Similarly, sorption–reduction is a method for immobilizing and reducing high-valent metal ions to low-valent metal ions. The high valent metal ions undergo reduction first, forming more dense particles or clusters that readily precipitate. Common examples of these sorption-reduction pathways are the reduction of Cr6+ to Cr3+ and Se4+ to Se2+. As a result, low valent metal ions are significantly more biocompatible in the natural environment. This process is commonly considered to be regulated by the fact that high valent metal ions are substantially more mobile than low valent metal ions. Finally, while the photocatalytic degradation process is frequently utilized to remove various organic contaminants, such as persistent organic pollutants (POPs), it has been extensively employed to remove low concentrations of heavy metal and metalloid ions from solutions [34,35]. This technique is based on photocatalytic reactions, which are highly dependent on the morphology of the catalyst, mass transport mechanisms, visible-light absorption, and active site surface distribution [31,32,33,36]. The mechanism(s) for heavy metal ions may vary depending on the types of metal ions and light sources [37].

3. Nanomaterials for Heavy Metals Removal

Nanomaterials can be used to remove heavy metals from wastewater by using the adsorption method on their surfaces. To remove heavy metal ions from wastewater, nanomaterials must meet the following criteria: nontoxic nanomaterials should be used; the nanomaterials should provide high adsorption capacities and selectivity to low pollutant concentration; the pollutant could be easily removed from the nano-adsorbent surface; and adsorbents should be considerably recyclable. In recent years, nanomaterials such as zeolite, carbonaceous, chitosan, polymer-based ferrite, magnetic, bimetallic, metal oxide, metallic, etc., have been used to remove heavy metals from wastewater. Various nanomaterials are described and explored in detail in the following sections based on their fundamental material and importance for heavy metal removal.

3.1. Carbon-Based Nanomaterials

Activated carbon is most popular for wastewater treatment of carbon-based materials. The activated carbon is characterized by a highly porous structure, a large surface area, and high surface reaction affinity. These features aided the activated carbon as one of the most favorable options to adsorb and remove deferent types of contaminants from the aqueous environment [9]. Despite the widespread use of activated carbon for wastewater treatment, research on activated carbon in recent years has been slowed down by the rise of other carbon-based nanomaterials such as carbon nanotubes (CNTs), graphene (GO), and carbon-based nanocomposite [38,39]. Functionalizing carbon-based nanomaterials is one of the most attractive solutions for adsorption the toxic metals from wastewater. The unique chemical and physical characteristics of the carbon-based nanosorbents allow them to scale-up usage for wastewater purification [40]. Engineers are attracted to CNTs for their electrical conductivity, tiny size, cylindrical hollow shape, and large surface area [28]. The two primary allotropes of CNTs include single-walled carbon nanotubes (SWCNTs) and multi-walled carbon nanotubes (MWCNTs). They are successfully applied for heavy metals removal from aqueous solutions. The CNTs can absorb heavy metal ions from the water by combining different mechanisms, such as chemical interaction, physical adsorption, electrostatic attraction, and sorption–precipitation [41]. Many researchers have successfully applied various forms of CNTs to remove various heavy metals such as Cd2+, V5+, Cr6+, Co2+, Cu2+, As3+, Ni2+, Pb2+, Cu2+, Zn2+, Sr2+, and Hg2+ [42,43,44,45,46]. The CNTs have shorter intraparticle diffusion distances and more accessible adsorption sites per unit mass [47]. The adsorption properties of the CNTs depend on a variety of factors. The proportion of open and activated nanotubes and the presence of individual adsorption sites are significant morphological factors [48]. The number of active sites in exposed CNT bundles is greater than in capped CNT bundles [49]. The adsorption of CNTs can be found in four site types: the internal sites, the interstitial channels, the grooves, and the outer surfaces [50]. The adsorption achieves a much faster equilibrium on the grooves and the outer surfaces than on the inner sites, i.e., within the internal and the interstitial channels because the adsorbent material is directly exposed to these adsorption sites. One essential aspect is the purity of CNTs because contaminants such as soot, carbon-catalyst particles, and other carbon-based impurities can coat CNT bundle surfaces, reducing active adsorption sites [48].
Previous studies showed that the surface modification of CNTs by acid treatment and grafting functional groups could enhance the adsorption capacity of CNTs through electrostatic interactions. The surface functional groups of the CNTs (e.g., carboxyl, hydroxyl, and phenol) adsorb the metal ions and, consequently, release the H+ from the surface, which causes a decrease in the pH value of water [28,47,50]. The surface oxidation of CNTs enhances the metal adsorption and substantially exceeds the adsorption capacities of CNTs over activated carbons [51]. Moreover, oxidation causes an increase in cation exchange capacity of CNTs by inducing the negative charges on their surface [52].
For example, the presence of the functional acid sites on SWCNTs surface and the negative zeta potential have enhanced the efficiency of Ni2+ and Zn2+ adsorption [47]. The metal oxide modification of CNTs also has been led to efficient heavy metal removal, such as manganese dioxide [53], iron oxide [46], and aluminum oxide [54]. It was reported in another study that the removal of lead ions from water was with 70.2 mg/g adsorption capability. In addition, MnO2 was used to coat oxidized MWCNTs to effectively scavenge cadmium ions from the water with 41.7 mg/g adsorption capacity [55]. Although the mechanisms for enhancing these composites’ adsorption capacity are not yet fully understood, it has been proposed that this may result from the synergistic effect between CNTs and metal oxides [46]. Recently, scientists synthesized the carbon-layered silicate nanocomposite, which has unique features compared to traditional carbon nanomaterials. It was reported that an environmentally friendly material of nanoadsorbent-modified montmorillonite/carbon composite was synthesized and used to remove lead ions with a capacity of adsorption of 247.86 mg/g [56].
Graphene (GO) is another form of carbon allotrope compound. It has also been used to fabricate new adsorbents for heavy metal ion removal after combination with metal oxides [57]. Interestingly, the carbon in the form of graphene oxide has a high dispersity in an aqueous solution. For instance, smart magnetic graphene oxide (GO) and ferrocene precursors were successfully synthesized when heated in a microwave environment [58]. It was found that this adsorbent combination showed high removal efficiencies (B99%) down to the ppb level for Cr6+, As5+, and Pb2+.
Moreover, it has also demonstrated a functional disinfection capability and safe utilization for water purification. It presented an antibacterial activity (at 40 mg/L) against E. coli and low toxicity (at 0.1 ng/nL) towards fish. The excellent adsorption properties of this adsorbent (e.g., the huge surface area of GO and functional groups on its GO surface) make it a potential adsorbent for safe drinking water with disinfection control and cost-effective nature in the future for water detoxification. By the same token, the graphene-based nanomaterials revealed high efficiency in removing different water pollutants. The graphene adsorption of toxic metals from water can be related to the complexion of oxygen functional groups in graphene and cationic metals. GO hydrogel was reduced by nanotubes of MnO2 to create a 3D nanomaterial of 20 nm size. The GO nanotubes were applied to adsorb several heavy metal ions with high adsorption capacity. They noticed that the adsorption capacity of lead, cadmium, silver, copper, and zinc, copper, silver, cadmium, and lead ions were 356.37, 177.4, 138.2, 121.5, and 83.9 mg/g, respectively [59]. The high adsorption capacity might be attributed to the synergetic action between MnO2 nanotubes and decreased GO of the porous 3D nanostructures. Meanwhile, prepared GO nanosheets were prepared to discard the cobalt and cadmium ions [60]. Co+2 and Cd+2 were adsorbed with 68.2 mg/g and 106.3 mg/g adsorption capacity, respectively.

3.2. Zeolites Nanoparticle

The zeolite materials are crystalline hydrated aluminosilicate materials and very porous, as their skeletal structure contains innumerable pores and channels ranging in size from nano to micrometers [61]. They belong to the very few material classes that are considered nanomaterials because they form nanoscale particles and if they have nanopores. Zeolites are crystalline aluminosilicates of tetrahedral SiO4 and AlO4—units that form a frame of pores and channels in which cations, water and/or small molecules may reside. Their structure resembles a sponge with many (micro or nano) holes, but they are not flexible. Atoms of Si and Al are located at the center; meanwhile, atoms of O are placed at the corners and shared between SiO4 and AlO4 units to form regular intra-crystalline cavities and channels. The net negative charge that Al3 generates attracts the positive cations such as Na+, Mg2+, K+, and Ca2+, which may reside in the voids, compensating the negative charge of the framework. Moreover, the open 3D framework structures zeolite is very stable, and bonds of ions and molecules in the pores and voids are weak, which facilitates the process of extracting these ions without destroying the zeolite structure [62]. Chemically zeolites based on the Si/Al molar ratio may be categorized into three groups, which are: low silica zeolites (aluminum-rich zeolites A and X) when Si/Al < 2, intermediate silica zeolites when Si/Al is more than 2 and less than 5 (zeolite Y, zeolite L, natural zeolites), and high silica zeolites (zeolite beta, ZSM-5) when Si/Al is more than 5. Hence, the variation of Si/Al leads to the zeolite frameworks characteristics, enabling zeolite compounds to achieve different industrial purposes [63]. For instance, in the low silica zeolites, the aluminum in the framework composition with a molar ratio of Si/Al ≈ 1 contains the maximum number of cation exchange sites balancing the framework aluminum and, thus, the highest cation contents and exchange capacities [64]. Meanwhile, zeolites with a higher silicon content of intermediate silica were needed to improve thermal and acids stability characteristics, which make them important for catalytic applications. While the high silica zeolites can adsorb stronger, the less polar organic molecules only weakly interact with water and other polar molecules. The surface of the high silica zeolites is more homogeneous with an organophilic–hydrophobic selectivity than the low and intermediate silica zeolites, which have heterogeneous hydrophilic surfaces within a porous crystal [65]. Because of their unique porous properties, zeolites are particularly interesting as catalysts in chemical processes, as liquids can move freely through the pores, and chemical reactions can take place on their walls. They can also be prepared or modified to improve their adsorption capacity. The removal of toxic metals from wastewater can be efficiently achieved by adsorbing active and large surface areas of the zeolite nanoparticles. Two forms of zeolite are utilized for the treatments of heavy metals, including natural zeolite (e.g., clinoptilolite) and synthetic zeolites (e.g., zeolite 4A and zeolite X) [66,67]. Both forms offer the mobility of alkali and alkaline earth metals to compensate net negative charge between Si4+ and Al3+ in the framework [68,69,70]. Sprynskyy et al. carried out the sorption using the natural zeolites (clinoptilolite) to remove the heavy metals (Ni2+, Cu2+, Pb2+, and Cd2+) [71]. They found that sorption has an ion-exchange nature. It mainly takes care over three stages rapid adsorption on the surface of clinoptilolite microcrystals, the inversion stage, and diffusion flow from the interior of the microcrystals of zeolites. The authors concluded that particle size plays a major role in the sorption of the metal ions, whereas the finer fraction of clinoptilolite resulted in higher removal of metals. However, the adsorption capacity of the clinoptilolite showed a slight difference between treating the single metal component and multi-metal components aqueous solutions, due to the appearance of the individual sorption centers of the zeolite for each metal. A couple of studies showed the difference between natural zeolite and synthetic zeolite [72,73]. They recorded that the zeolite exchanger of synthetic zeolite has better efficiency in metal ions removal. Recently, Yurekli successfully removed lead and nickel from aqueous solutions by zeolite nanoparticles (NaX)-impregnated polysulfone (PSf) membranes [74]. This study suggested that the presence of NaX nanoparticles in the membrane architecture enhances its efficiency in treating pollutant metals with low concentrations and transmembrane pressures. In another study, a novel technique, including electrospun polyvinyl alcohol/nano zeolite nanocomposite nanofiber (PVA/NaX), was prepared for efficient removal of Ni2+ and Cd2+ ions from synthetically prepared solutions with an adsorption capacity for Cd2+ higher than Ni2+ ions [68]. Three sorbents, including alumina nanoparticles (Al2O3 Nanoparticles), NaX zeolite granules, and alumina nanoparticles-immobilized zeolite (ANIZ), were utilized to investigate their effects on Cr3+ and Co2+ removal [75]. In addition, the same authors revealed that pH has a major role in metals ions removal. The optimal pH should be 5 and 6 for Cr3+ and Co2+ efficient removals, respectively. The results showed that the removal capacity of ANIZ has higher adoption capacity removal of Cr3+ (31.76%) and Co2+ (17.2%) compared to Al2O3 Nanoparticles and NaX. Abdelrahman et al. reported that the synthesized hydroxysodalite zeolite nanoparticles could be effectively applied to remove the Zn+ ions from the polluted water with a maximum adsorption capacity of 8.53 mg/g and efficiency removal of 66% [76]. 4A and 4A zeolite-based carbon composites have been successfully prepared for cobalt ions removal from an aqueous solution [77]. The prepared materials were examined for ion exchange with cobalt ions based on the actual weight of zeolite that was used. The authors reported that the zeolite ion exchange capacity significantly improved when zeolite-based carbon composites were applied and increasing the pH and temperature of the cobalt solution enhanced the cobalt removal. Table 2 shows some latest applications of zeolite nanoparticles for heavy metals removal.

3.3. Polymer-Based Nanomaterials

As an environmentally friendly remediation procedure, the polymer-based nanofibrous membranes filled with polymers (e.g., cellulose, chitosan) receive wide attention among scholars. The well-defined porous fiber skeleton, large specific surface area, and high gas penetrability improve their sorption efficiency. Because of their easy degradation behavior, adjustable surface functional classes, and high skeletal strength, they are excellent adsorption alternatives. Polymer-filled nanomembranes involve a strong selectivity and adsorption capability arising from special functional moieties, i.e., NH2, COOH, NH2, and SO3H. Polymer-based nanoadsorbents may be further classified using the substrate used.

3.3.1. Cellulose-Based Nanomaterials

Plant cell walls are composed mainly of different percentages of cellulose, hemicellulose, and lignin. Cellulose is responsible for the stiffness and organized fibrous structure of plant cell walls [85]. Cellulose has been investigated as a renewable source to remove the toxic heavy metal ions from water and wastewater. It was reported that the structure of cellulose nanofibrils (CNF) could be modified by interacting with the phosphoric acid (P) synthesized CNF-P adsorbed, which can efficiently remove ions of Cu2+ from water-based solutions [86]. A novel method to prepare three bio adsorbents of tricarboxylic cellulose nanofiber was carried out by Abou-Zeid et al. [87]. Oxidizing of dissolving cellulose pulp (selective at C-6) and periodate-chlorite (selective on C-2 and C-3) by 2,2,6,6-tetramethylpiperidine-1-oxyl (TEMPO) are used to prepare the adsorbents 2,3,6-Tricarboxy cellulose nanofiber (TPC-CNFs). The performance of these adsorbents was measured by Cu2+, Ca2+, and Pb2+ adsorption capacity. It was recorded that TPC-CNFs has the highest adsorption capacity for the tested heavy metals ions among the prepared bio adsorbents, and Cu2+ and Pb2+ were the highest adsorbed ions with 92.23, 82.19, as well as 97.34, and mg/g for T-CNFs, cross-linked TPC-CNFs, and TPC-CNFs, correspondingly. By the same token, Choi et al. successfully modified the cellulose nanofibers via the electrospinning process followed by an esterification reaction to remove Pb2+, Cd2+, and Cu2+ ions [88]. In this context, Zhang and his coworkers used another way to modify the cellulose nanofiber to effectively remove Cr6+ from an aqueous solution [78]. The modification process of the nanoadsorbent included treatment of the cellulose nanofiber with citric acid. In conclusion, changing the cross-linked cellulose nanofiber structure through synthesizing is essential for utilizing these materials in water remediation processes.

3.3.2. Dendrimer-Based Nanomaterials

Dendrimers are nano-sized, radially symmetric, homogeneous, monodisperse molecules with a symmetric core, inner shell, and outer shell [89]. These hyperbranched molecules have attracted chemistry research since Fritz Vogtle first discovered them in 1978. Recently, these materials have been applied to efficiently remove toxic metals from aqueous solutions [90]. The organic polymers containing a polymer matrix, in addition to efficient chelating groups, have the potential to chelate these toxins. Based on the polymeric support with functional arms, the synthesis of superabsorbent polymer hydrogel was carried out using different ratios of acrylamide and acrylic acid to remove Co2+, Cu2+, Ni2+, and Cd2+. The adsorption efficiency of heavy metal ions toward Cd2+ and Ni2+ was lower than that of Cu2+ and Co2+, which can be inferred that the small metal cations are easily chelated by functional arms and polymeric supports [91]. Efome et al. fabricated nano-fibrous metal-organic frameworks (MOF-808)) and polyacrylonitrile using the co-electro spinning technique to produce PAN/MOF-808 nanoadsorbent, and afterward inspected for scavenging removal of Zn2+, Cd2+, Pb2+ and Hg2+ from the water [92]. The adsorptive removal efficiency among these ions according to the order is Hg2+ (34%) < Pb2+ (46%) < Cd2+ (50%) < Zn2+ (54%). It is interesting to mention that this order of removal effectiveness is in line with the metals ionic size (Pb2+ (1.19 Å), Hg2+ (1.02 Å), Cd2+ (0.95 Å), and Zn2+ (0.74 Å) [93]. This may indicate that the metal steric effect hinders the entrance of the ions of heavy metals to the adsorption location, whereas the effective removals of Pb2+, Zn2+, and Cd2+, with adsorption potential of 8.8, 7.2, and 6.1 mmol/g, were shown in nanofibers with ion-selectivity behavioral nanofibers involving ethyleneglycol, diethylenetriamine, as well as ethylenediamine over a polyacrylonitrile base polymer [94]. In another scientific report, a prepared chelating resin of poly (styrene-alt-maleic anhydride) with 3-aminobenzoic acid was modified by 1,2 or 1,3-diaminoethane employed for the adsorption removal of ions of heavy metals from aqueous solution. The results showed that the percent removal was in the sequence of Pb2+< Zn 2+ < Cu2+ < Fe 2+ [95].
By the same token, Cegłowski et al. prepared two new polymeric nanoadsorbents. The reaction of diethylenetriamine (DETA) or pentaethylenehexamine (PEHA) with 1,3,5-tris(6-isocyanatohexyl)-1,3,5-triazinane-2,4,6-trione(HDI-IC) resulted in polymeric nanomaterials with ethyleneamine arms [96]. The novel nanoadsorbent of HDI-IC-DETA and HDI-IC-PEHA captures metallic ions through a complexation reaction. Though both polymers present approximately similar morphology characteristics with a rough surface, as seen in SEM images in Figure 1, they showed a difference in adsorption performance. This behavior may relate to the fact that the long amine chains in the HDI-IC-PEHA nanoadsorbent that was synthesized using pentaethylenehexamine allowed a higher capture of heavy metal ions such as Cd2+, Co2+, Cr3+, and Cu2+ ions than that one was synthesized using diethylenetriamine.

3.3.3. Chitosan-Based Nanomaterials

The polysaccharide chitosan nanoparticles have been derived from naturally occurring sources, such as shellfish and crustacean shells (e.g., crabs, prawns, shrimp, and beaks of cephalopods) [97]. Chitosan is a hydrophilic polymer that is non-toxic, biodegradable, bio-renewable, biocompatible, and biodegradable. When chitin is hydrolyzed in alkaline circumstances (e.g., concentrated NaOH), it yields chitosan [98,99]. Chitosan can also be generated via enzyme hydrolysis in the presence of chitin deacetylase [98,99] (Figure 2). The chemical and mechanical modification of its unique properties generates novel properties that facilitate its utilization in different fields. Because of its superior solubility in water and organic solvents, as well as the presence of a significant number of –NH2 and –OH groups, chitosan has garnered increased interest in the water purification industry, where it may chelate hazardous contaminants such as dyes and heavy metals. A study found that the chemical changes in chitosan and chelation improve the sorption in addition to the selectivity capability of the compound by grafting additional functional groups onto the compound’s backbone. Chitosan’s backbone has been modified to incorporate a new functional group, which adjusts the pH range for metal sorption, enhances the density of sorption sites, and modifies the composition of sorption sites to improve the sorption selectivity for the targeted metals [100]. Dubey et al. developed carbon nanoparticles (CANPs) for the adsorption of Hg2+ ions in water [101]. Ions of alginate and Chitosan electrostatically react with both calcium and tripolyphosphate ions owing to the presence of negative and positive charges on chitosan and alginate ions. This investigation discovered a substantially higher level of maximal adsorptive power for ions of Hg2+ recorded by 217.4 mg/g at 30 °C CANanoparticles. In another study, ZnO/chitosan core–shell nanocomposite was synthesized, which successfully separated copper ions, cadmium ions, and lead ions from water in order: Pb2+ > Cd2+ > Cu2+ [102]. By the same token, a similar compositing technique was achieved to create a nanocomposite of TiO2/chitosan nanoparticles, which showed a high adsorption capacity for divalent ions of lead and copper [103]. Esmaeili and Khoshnevisan functionalized chitosan nanoparticles with alginate to prepare an alginate/chitosan nanocomposite adsorbent. The prepared adsorbent removed 94.9% of Ni+2 from aqueous solution [104]. The chitosan–alginate nanocomposite was synthesized by microemulsion method. The synthesized biopolymers were applied to remove Hg2+ from water, with promising results. The high interaction among differently charged contaminants in water, negatively charged alginate and positively charged chitosan, allowed an adsorption capacity of 217.40 mg/g of Hg+2, which was quite high [101]. A hierarchy of porous three-dimensional carbon materials was synthesized by Yuan et al., who used chitosan as a carbon/nitrogen source to do so [105]. The results demonstrated that HNC has a very high adsorption capacity for lead 2+ and cadmium 2+ in an aqueous environment, which is consistent with previous findings. A photocatalytic process, according to the authors, is responsible for the adsorption of Pb2+ onto HNC materials, which is generated by the coordination and electrostatic contact between the ions of Pb2+ and the O- and N-containing functional groups of HNC substances.

3.4. Magnetic Nanomaterials

Magnetic nanomaterial compounds, considered one of the most advanced nanomaterials, employ magnetic separation and nanotechnology to remove hazardous metals effectively. The magnetic separation technique is commonly used in ecological problems and has wide applications in environmental remediation, as after magnetic separation, the magnetic nanoparticles exhibit excellent recyclability. The magnetic nanomaterials’ properties have been considerably changed with the decrease in size. Compared to magnetic nanomaterials, non-magnetic nanomaterials have limited applicability in water treatment as a result of the hard separation from the aqueous phase and limited surface area. The magnetic nanomaterials have several features: inert chemical activity, easily dispersed, less toxic, biocompatibility, and a greater surface area. Because of the characteristics of magnetic nanoparticles, water purification can be made more cost effective and reliable.
Many researchers have examined different magnetic nanoparticles for the effective elimination of heavy metal ions. In this context, the synthesized Fe3O4 nanoparticles showed efficient adsorption of Pb2+ ions from water with an adsorptive capability of 36 mg/g [107]. By the same token, the synthesized magnetite nanoparticles (nFe3O4) were compared to commercial magnetite products to investigate their removal efficiency toward Cd2+ and Cu2+ [108]. The findings showed that synthesized magnetite had a higher adsorption potential than commercial magnetite.
Because of their simple accumulation in water, induced by their propensity to oxidize, the actual applications of bare magnetic nanoparticles are restricted. In addition, it is essential to avoid precipitation or aggregation of the magnetic nanoparticles together with the production of their synthesis [109]. Researchers used a functionalization method on bare magnetic nanoparticles to address these concerns. By surface functionalization, magnetic nanoparticles’ selectivity, stability, and adsorption capability have improved. Various types of interactions between magnetic surfaces and metals are possible due to the presence of various functional groups on magnetic surfaces, involving electrostatic interactions, Van der Waals interactions, ligand combination interactions, complex formation interactions, and chemical binding interactions, among others [110,111]. In addition, surface metal electrostatic interactions may be improved by functionalization using charged moieties. As a result, the selectivity of surfaces against various metals was mainly due to increased electrostatic attraction. On this basis, encapsulating a magnetic nanoparticle with an inorganic substance can help overcome challenges relating to reactivity and stability. To target specific metallic or organic compounds, coatings can preserve the magnetic core of the resultant core–shell structure, increase dispersion stability in the suspension medium and reduce particle–particle aggregation [112]. In addition, the homogeneity and high surface area of magnetic nanoparticles have been improved by functionalization. Selective chelation induced the modification of their properties to toxic metals by tailoring the magnetic surfaces. The selectivity and enhancement of magnetic nanoparticles’ adsorption against harmful contaminants are primarily determined by their surface area and scale, all of which are affected by surface alteration [113]. Chemical synthesis produces large numbers of metallic and metal oxide magnetic nanoparticles for environmental applications at a low cost. Surface alteration of magnetic nanoparticles can be achieved utilizing numerous modifiers such as inorganic and organic carbonaceous compounds, polymeric materials, etc.

3.4.1. Polymers Functionalized Magnetic Nanoparticles

To achieve excellent adsorption potential for weighty metals from water, magnetic nanoparticles have been treated with polymers for biocompatibility, mechanical strength, and chemical durability. Several researchers have shown the use of polymers in conjunction with magnetic nanoparticles. Liu et al. have developed a novel form of poly (maleic anhydride) graft-poly (vinyl alcohol) comb polymer functionalized magnetic nanoparticles specifically designed for this purpose [114]. The produced material was used for the regulated removal of heavy metal ions as an effective adsorbent with stimulus-responsive adsorption/desorption action, and it was found to be effective. They found that good sustainability and easy reusability after five consecutive absorption/desorption cycles were basically expressed by more than 80% uptake efficiency. Meanwhile, the highest capacity removals of Ag+, Ni2+, Cd2+, Pb2+ and Co2+ (92.15%, 89.2%, 90.16%, 83.56% and 84.52%, respectively) were achieved at a pH of 7. An earlier study demonstrated that modification of Fe3O4 nanoparticles by diethylene-triamine and polyacrylic acid resulted in a greater adsorption removal against Cu+2 and Cr+6 than the unmodified Fe3O4 particles [115]. Martínez-Cabanas et al. proposed another polymer-functional Fe3O4 magnetic nanoparticles, where chitosan was used as a polymer to adsorb As5+ effectively [116]. As mentioned earlier, the nanomaterial was synthesized using a green method, with iron oxide nanoparticles made from eucalyptus plant extract. Nanoparticle beads of Iron oxide (Fe2O3) are a practical As5+ adsorbent with short periods as well as high adsorption potential at natural pH. The iminodiacetic acid grafted poly (glycidylmethacrylate-maleicanhydride) (PGMA-MAn) copolymer was used to create efficient new magnetic nanocomposite particles (MNCPs). These MNCPs were studied to eliminate Pb2+ and Cd2+ from water and wastewater. The findings revealed that the maximal adsorption capacities for Pb2+ and Cd2+ were 53.33 and 48.53 mg/g, respectively [117]. Furthermore, this study recorded that the metal ions from the nanocomposite–metal complex can efficiently remove phenol contaminants from wastewater, making the synthesized adsorbent beneficial for removing toxic metal ions and handling phenol pollutants.

3.4.2. Nanocomposite Magnetic Nanoparticles

For heavy metals removal from water, several metal oxides magnetic nanocomposites have been synthesized. Kim et al. synthesized flower-shaped Fe3O4/MnO2 nanocomposite [118]. The prepared adsorbent showed a high adsorption capacity for Cd2+, Cu2+, Pb2+, and Zn2+ compared to Fe3O4 nanoparticles. By the same token, other researchers combined metals and ferrite molecules to create metal ferrite magnetic nanoparticles with magnetic separation properties. M (FexOy) is the general formula used to present metal ferrite nanocomposites. M represents the metal atom that makes divalent bonds. In this context, a large number of metal ferrites have been manufactured for the removal of weighty metals, i.e., copper ferrite (CuFe2O4) as well as ZnFe2O4 [119,120] and Mn-Zn ferrite (Mn0.67Zn0.33Fe2O4) [121]. It was reported that ZnFe2O4 has the ability to eliminate lead divalent ions. Meanwhile, CuFe2O4 was effectively employed to remove molybdenum divalent ions from aqueous media with a high capacity for adsorption. The investigations showed that As5+, Cd2+, and Pb2+ were effectively removed by Mn-Zn ferrites. In another study, Asadi and his colleagues synthesized cobalt spinel ferrites and manganese (CoFe2O4 and MnFe2O4) using the co-precipitation method [122]. These nanoparticles of CoFe2O4 and MnFe2O4 were used to remove divalent zinc ions resulting in adsorption capacities of 384.6 and 454.5 mg/g, respectively. Another study showed that the synthesized nanocomposite cobalt ferrite (CoFe2O4) modified magnetic by coating with octadecylamine can effectively adsorb Cu2+ from an aqueous solution with 164.2 mg/g of adsorption capacity [123]. Additionally, the prepared nanocomposite demonstrated an easy separation via a magnet and a good recovery via acidic treatment.

3.4.3. Inorganic Functionalized Magnetic Nanoparticles

A wide array of inorganic materials, such as silica, metal, nonmetal compounds, and metal oxides, can be utilized to functionalize the magnetic nanoparticles for metal removal from water or wastewater. The coating with these materials stabilizes the nanoparticles in the aqueous solution and helps them to bind to particular ligands on the surface of the particles. They promote the covalent binding of ligands to the surface of nanoparticles. For instance, silica, metformin, and amine were applied to modify different wt.% of Fe3O4 nanoparticles. It was found that the highest removal of Cu2+ (about 92%) can be achieved with 0.1 wt% metformin-modified silica-coated Fe3O4 magnetic nanoparticles, due to high affinity in Cu2+ adsorption [124]. An earlier application of silica coating via aluminosilicate-functionalized magnetic nanoparticles was effectively employed to adsorb Hg2+ even at very low concentrations [125]. Another study used silica-coated magnetic nanoparticles modified with 1, 2, and 3-triazole. Zinc ions remove hazardous divalent metals such as copper, zinc, and lead. The capacity of adsorption was determined to be in the following sequence: Pb2+ > Cu2+ > Zn2+. This order can be derived from the atom’s electrical characteristics. This order corresponds to the electronic characteristics of the atoms that cause the complex reaction. High ionic potential metals tend to collect electrons from ligands and form durable partnerships. Thus, when all metals have the equivalent charge, the complexes’ stability decreases as the ionic radius increases [126]. Increasing the size of the metal’s hydrated ions follows a sequence that goes as follows: Pb2+ (4.01 A°), Cu2+ (4.19 A°), and Zn2+ (4.30 A°) [127]. Meanwhile, it showed that Mn-Co amorphous oxide shells can be utilized to modify magnetic nanoparticle surfaces, permitting robust negative charge display at varied pH values, which resulted in adsorption capacities of 481.2, 386.2, and 345.5 for Pb2+, Cu2+, and Cd2+, respectively [128]. Carbonate-based adsorbents are also a class of substances that may be used to functionalize Magnetic Nanoparticles. CaCO3 is a cost-effective, non-toxic porous substance with solubility that boosts metal ion adsorption capacity by boosting CaCO3 precipitation processes with ions of heavy metals. Nevertheless, some drawbacks, i.e., inefficiency, production of separation difficulty, and sludge, can limit its application in wastewater purification. These constraints can be overcome by combining CaCO3 with magnetic nanoparticles, which increase their capacity adsorption and facilitate their recovery from experimental media. Wang and his group prepared magnetic mesoporous CaCO3 nanocomposite through a solvothermal technique followed by an annealing treatment, resulting in a nanocomposite with an irregular spherical shape and a size of 50 nm [129]. The prepared adsorbent carbonate-based nanocomposite was applied to remove Pb2+ and Cd2+ from water. The maximum adsorption capacity of the synthesized adsorbent was 1179 and 821 mg/g for Pb2+ and Cd2+, respectively. Earlier research used a hydrothermal technique to prepare mesoporous iron oxide@CaCO3 (IO@CaCO3) like a magnetic adsorbent needle. It was applied to remove Cr6+, As5+, Cd6+, as well as Pb2+ [130]. The results showed that the prepared adsorbent had a high removal compared to any previous reports that used the conventional adsorbent.

3.5. Carbon Materials Magnetic Nanoparticles

Functionalizing the nanoadsorbents with carbonaceous materials such as activated carbon and graphene oxide can improve the removal of heavy metals from aqueous solutions. For instance, Danesh and his team evaluated the adsorption capacity of graphene oxide/iron oxide/EDTA (ethylenediaminetetraacetic acid) to remove lead ions [131]. The results showed that the adsorption capacity of the modified surface nanoadsorbents was significantly enhanced due to the presence of hydroxyl and carboxyl groups on graphene oxide and the powerful coordination capability of ethylenediaminetetraacetic acid (EDTA) that improve the electrostatic interactions between functional groups on the surface and hazardous metals. By the same token, Ghasemi et al. synthesized another very effective Fe3O4 nanoadsorbents functionalized with EDTA to adsorption ions of Hg2+, Ag+, Cd2+, Pb2+, Mn2+, as well as Zn2+ with adsorptive capacities of 71–169 mg/ g [132]. Li et al. prepared a nanocomposite of modified Fe3O4 nanoparticles functionalized with thiol (SH) [133]. Through one-step synthesis with activated carbon (Fe3O4@C-SH Nanoparticles), the nanocomposite was tested to remove Pb2+. The synthesized adsorbent achieved a maximal adsorption capacity of 28.8 mg/g.

3.5.1. Organic Functionalized Magnetic Nanoparticles

Organic-derived functional groups are thought to improve magnetic nanoparticles’ adsorption capacity toward heavy metals. Ge et al. synthesized Fe3O4 magnetic nanoparticles’ grafted with crotonic acid (CA) as well as acrylic acid (AA) and adjusted with 3 aminopropyltriethoxysilane (APTES) for effective elimination of several metal ions [134]. The results of employing the prepared adsorbent showed the following order for removal: Pb 2+ > Cu 2+ > Zn 2+ > Cd2+. The carbonyl’s unique ability to form complexes with metal ions is thought to be the cause of the disparity in results. In another study, magnetic nanoparticles coated with silica were functionalized with EDTA to remove divalent mercury. The results revealed that adding dithiocarbamate groups enhanced the removal of the toxic metal at high adsorption removal capacity [135]. Similarly, glutathione was utilized to modify magnetic nanoparticles coated with silica to create the Fe3O4/SiO2/GSH nanoadsorbent for removing divalent lead ions from water. The adsorption of lead ions on the produced nanoadsorbent was enhanced by increasing the temperature. This adsorbent’s magnetic characteristics made it easy to separate from the reaction media [136]. Additionally, copper ions were removed from water using nanoparticles of iron oxide treated with metformin and amine. Copper ions were eliminated 92% by Fe3O4 coated with silica and 0.1 wt% metformin [124]. Shen et al. also studied the mechanism of Cr6+ adsorption on the surface of magnetic nanoparticles functionalized with tetraethylene pentaamine [137]. The adsorption of Cr6+ on the produced adsorbents was confirmed by the results of electrostatic interaction and the reduction of Cr6+ charge transfer on the adsorbent surface. Meanwhile, Zhang et al. modified nitrogen-doped Fe3O4 magnetic porous carbon with humic acid to remove Cr6+ from water [138]. Functional groups were present on the surface, allowing adsorption to be highly successful, resulting in a total mass of 130.5 mg/g. By the same token, a hollow Fe3O4/SiO2/chitosan nanocomposite with triethylenetetramine was used to remove Cr6+ from water. It took about 15 min for the surface to be altered with the ligand triethylenetetramine to adsorb 254.6 mg/g Cr6+ [139]. In another study, Shen et al. developed core–shell Fe3O4 nanoparticles functionalized with NH2 magnetic nanoparticles [140]. Ions of Cr6+ and Cu2+ were adsorbed in both solitary metal-ion systems (MISs) and concurrent MISs. Both Cu2+ and Cr6+ ions adsorption processes were shown to be strongly pH dependent. The adsorption process relied heavily on electrostatic reactions. Adsorptive capabilities were greatest at pH 2–4. The -NH2 to -NH3+ protonation reduces the -NH2 binding sites availability, hence decreasing the effectiveness of adsorption. The presence of -NH2 binding sites increases the adsorption of Cu2+ ions above pH 2. Cu2+ precipitation occurs at pH 4 and above. This was owing to the electrostatic interaction between HCrO4 and -NH3+. Adsorption capacity is reduced when the pH is increased due to HCrO4- and OH- ions competition. The adsorption technique was found to be competitive at high metal ion concentrations and low pH values. The adsorption efficiency of coexisting systems was not affected by lower concentrations or higher pH.

3.5.2. Biomolecules Functionalized Magnetic Nanoparticles

As environmentally friendly materials, the biomolecules functionalized magnetic nano-scaled particles are applied to improve hazardous metals removal from the aqueous solutions. Verma et al. functionalized magnetic Fe3O4 nanoparticles with glycine to remove Pb2+ ions via entrapped glycine-functionalized magnetic nanoparticles into alginate polymer as beads [141]. The prepared adsorbent showed high Pb2+ ion removal efficiency due to the amino and carboxylate groups on the surface of the beads. Xu et al. developed an adsorbent comprising iron oxide magnetic nanoparticles and Ca-alginate fixed on the biomass strain surface for the same purpose. Pellets of Phanerochaete chrysosporium were effective in removing toxic metals [142]. The results demonstrated an efficient elimination of Pb 2+ ions with an adsorption value of 167.36 mg/g. The adsorption of divalent ions, including Pb2+, Cu2+, Ni2+, Co2+, and Zn2+, were investigated using the modified magnetic nanoparticles of triazinyl-β-cyclodextrin. As mentioned earlier, the hydroxyl group and azinyl nitrogen on the surface of magnetic nanoparticles enhanced their chelation capacity toward the metals. Because surface nitrogen and oxygen have differing chelation abilities, cobalt ions were the least adsorbed metal [143]. Various research employed cellulose to functionalize magnetic nanoparticles. The adsorption capacity of carboxymethyl cellulose-immobilized magnetic nanoparticles was 152.1 mg/g for divalent lead ions. On the nanoadsorbent, cellulose chains have numerous functional groups responsible for electrostatic interactions and chelation. The adsorption capacity rose with pH above the zero-point charge and declined with pH below the zero-point charge [144].
In this study, chitosan-based magnetic adsorbent CMC@Fe3O4 was synthesized by a one-step method using carboxymethyl chitosan (CMC) and ferric salts under relatively mild conditions. The magnetic adsorbent CMC@Fe3O4 displayed satisfactory adsorption performance for arsenic in water samples, up to 20.1 mg/g [145].
The adsorption of Cd2+ ions onto magnetic glycine modified cross-linked chitosan (MGMCR) resin was studied by Mohamed et al. [146]. The maximal absorption was determined to be 172 mg g−1 at 25 °C and pH 5 in batch tests. A proposed EDTA-functionalized magnetic chitosan oligosaccharide and carboxymethyl cellulose (Fe3O4@CMCCOS-EDTA) nanocomposite adsorbent for Pb2+ adsorption was successfully synthesized. At a pH of 5 and a temperature of 308 K, the maximum adsorption capacity (qm) for monolayer chemical adsorption was determined to be 432.34 mg/g. Notably, Fe3O4@CMCCOS-EDTA demonstrated a high Pb2+ removal rate of 100% when starting with a 100 mg/L or 200 mg/L metal ion solution [147].

3.6. Metal Oxides and Metal-Based Nanomaterials

Recent research has revealed that metallic and metal oxide nanoparticles are potentially effective materials for removing heavy metals from aqueous solutions. The nanoparticles of bare metallic are not favorable to use as adsorbents due to low stability because they tend to agglomerate and the difficulty of separating after the treatment process. Thus, these nanostructured adsorbents require capping or functionalization to improve their stability and ease the separation. Zero valent nano iron Fe0 is used for its high adsorption capacity, reducing characteristics, large surface area, and non-toxicity, in addition to stability in water treatment. Consequently, several researchers have experimented with using Fe0 to remove hazardous metals from water in this manner. The common separation mechanism depends on the complexation of oxygen in metallic oxides with contaminants in the aqueous solution [148]. So, in this way, many researchers throughout the world have experimented with nano metal oxides, such as ferric oxides, including: hydrous ferric oxide [149], hematite (a-Fe2O3), and goethite (a-FeOOH) [46]; maghemite (g-Fe2O3) [30]; magnetite (Fe3O4) [150]; manganese oxides including zinc oxides [151]; cerium oxides [152]; titanium oxides, aluminum oxides, and magnesium oxides [153]; hydrous manganese oxide [154]; and mixed-valence manganese oxides [155]. They are effective and low-cost materials for treatment heavy metal ions of wastewater. Due to the high reactivity with heavy metal ions, the good surface-to-volume ratio, desirable mechanical stability, and ease of regeneration, the hierarchically structured metal oxides have acquired considerable interest [118,156]. Fe0, i.e., nano zero-valent iron, showed a higher adsorption capacity among the metallic nanoparticles. The synthesized Fe0 nano zero-valent iron efficiently removed of 99% of pentavalent arsenic from water [19]. By the same token, Fe0 was synthesized from FeCl3 utilizing Syzygium jambos, which has an adsorption capacity of 983.3 mg/g for Cr+6 [157]. For enhancement of Fe0 nano iron stability, some research combines Fe0 with a stabilizing agent. The biodegradable stabilizer of chitosan carboxymethyl β-cyclodextrin complex combined with Fe0 to remove Cu2+ and Cr+6 by reducing these metals to Cu0 and Cr3+ and oxidized Fe0 to Fe3+ [158].
Furthermore, it has been demonstrated that bimetallic nanoparticles may eliminate heavy metals. In this regard, kaolinite-embedded Fe/Ni nanoparticles were produced for their outstanding ability to remove divalent copper ions with a 99.8% efficiency [159]. Additionally, metal oxides have been proven effective in treating water contaminated with heavy metals. Magnetic and non-magnetic metal oxide nanoparticles were categorized based on their magnetism. Remediation of heavy metals from water using non-magnetic nanoparticles metal oxides has extensively employed the oxides of Cu, Mn, Fe, Ce, Al, and Zn compared to other metal oxides. For example, sodium titanate was utilized to construct a nanofibrous adsorbent that has been found to be efficient in removing Pb+2, Cu+2, Cd+2, Ni+2, and Zn+2; according to Sounthararajah et al., the removal of metals from single and contemporaneous systems was examined and shown to be more significant in the case of single system adsorption due to competition for adsorption sites among multiple adsorbates [160]. A couple of research produced CuO nanoparticles by magnetron sputtering to remove ions of Pb2+ and Cr6+ from aqueous solutions, with adsorptive capacities of 37.02 and 15.62 mg/g, correspondingly [161,162]. Another low-cost nanoparticle, volcanic rock coated with Fe2O3, was utilized to effectively adsorb Cd2+ ions [163]. They reported that Cd2+ ions had the highest adsorptive capability of 146.4 mg/g at 30 °C. MnO2 nanofibers were coated with polypyrrole and polyacrylonitrile. The results showed that MnO2 nanofibers have a high removal efficiency of divalent lead ions with 251.90 mg/g adsorption capability [84]. Similarly, 3-mercaptopropyltrimethoxysilane and vinylpyrrolidone were used to coat CeO2 nanoparticles to remove divalent lead and copper ions, with lead ions having a higher affinity compared to ions of copper [164]. Furthermore, polyvinyl alcohol was used to coat ZnO nanofibers to remove U6+, Ni2+, and Cu2+, resulting in a low Ni2+ adsorption capacity but a high U6+ adsorption capacity [165]. The lowest electronegativity and hydrated ionic radius affect the adsorption sequence on these nanofibers. α-Fe2O3 nanofibers with 16.18 mg/g adsorption capability were produced to remove hexavalent chromium from water [166]. Another work used α-Fe2O3 nanoparticles coated with volcanic rock to remove divalent cadmium toxics from H2O at 30 °C, demonstrating an adsorption capacity of 146.42 mg/g [163]. Separate investigations employed magnetron sputtering to synthesize CuO nanoparticles with 37.02 and 15.62 mg/g adsorption capacities to remove Pb2+ and Cr6+ from H2O, respectively [157].
Another significant metal oxide nanoadsorbent for removing heavy metals is alumina (Al2O3). Alumina occurs naturally in a variety of structural forms, including α, β, ɤ, ɵ, and χ [167]. Natural-Al2O3 adsorbents are highly stable when used in traditional ways (Pham et al., 2019). Al2O3 exhibits an array of intriguing properties, including good water resistance and corrosion, electrical insulation, high thermal conductivity and compressive strength, and an interatomic bonding structure that makes it an efficient adsorbent [168].
In recent research, Al2O3 nanoparticles have been shown to enhance the adsorption efficiency of some nanomembranes. In this regard, Ghaemi used Al2O3 nanoparticles to improve the copper removal efficiency of polyethersulfone (PES) membranes [169]. In this study, PES nanomembranes were impregnated with varying concentrations of Al2O3 nanoparticles. It was discovered that increasing the nanoparticles concentration in the membrane matrix enhances metal ion removal. Dehghani et al. demonstrated that nano-alumina effectively removed the heavy metals from polluted aqueous solutions [170]. In low time and low adsorbent doses, the prepared γ-alumina exhibited a maximum adsorption capacity of 75.78 mg/g of Co2+ from wastewater. Recent research has demonstrated the ability of alumina nanoparticles to act as nanomembranes for the adsorption of contaminants. Dithizone and 2-amine-1-methyl benzimidazole were used to fill the pores of the wasted alumina catalyst in this work to eliminate divalent zinc and cadmium toxics from the aqueous solution. The adsorption capacity of Cd2+, Zn2+, and Ni2+ on 2-amine-1-methyl benzimidazole/alumina was determined to be 1.01, 0.55, and 0.38 mmol/g, respectively. These hazardous metals were adsorbed by chemical reaction and physisorption on 2-amine-1-methyl benzimidazole/alumina nanosorbents [168].
Additionally, the adsorption capability of alumina can be increased by combining it with metallic nanoparticles. Kumari et al. showed that green-produced silver nanoparticles could be better stabilized over alumina nanoparticles to remove heavy metals from pharmaceutical effluents [171]. They employed bio-based reductant Bacillus cereus cell extracts in an ecologically friendly green synthesis technique. This nanocomposite removed 99.5%and 98.44% of Pb and Cr from pharmaceutical wastewater, respectively. The adsorption capabilities of metal oxides can be increased by adding surfactants. The adsorption capabilities of metal oxides can be increased by adding surfactants. Therefore, the use of surfactants to modify the alumina nanoparticles enhanced the adsorbent performance by avoiding agglomeration of its particles. Thus, this modification increased the surface area of the nanoparticles for greater adsorption capacity. It was reported that sodium tetra decyl sulfate and sodium dodecyl sulfate (SDS) were employed to modify Al2O3 nanoparticles to remove Cd2+ ions, allowing a surfactant to exert a substantial impact on the adsorption procedure [172]. The adsorption productivity was improved to be increased from 67% to 95% by modification. Moreover, SDS was utilized to alter alumina surfaces to enhance Mn2+ ion adsorption from manganese-containing actual industrial wastewater and manganese-spiked wastewater. Manganese ions were removed by the admicelle produced by SDS on the alumina surface. Mn2+ adsorption over this modified nanoadsorbent happened with a 92% effectiveness [173].

3.7. Silica-Based Nanomaterials

An additional class of metal oxide nanoadsorbents, silica-based nanomaterials, has considerable promise for adsorption of metal ion due to the distinctive properties of silica-based nanomaterials, i.e., controllable surface characteristics, controlled pore size, in addition to the large surface area. These nanoparticles have emerged as a significant metal oxide class for water detoxification from heavy metals. Moreover, nano-silica is a non-toxic and environmentally acceptable adsorbent. Moreover, when treated with thiol and amino groups, these nanoadsorbents exhibit enhanced selectivity and adsorption capability for metals. To effectively remove Cu2+, Cd2+, and Pb2+ from wastewater, Li et al. used nitrilotriacetic acid to modify silica gel (NTA-silica gel) [174]. The synthesized material exhibited rapid metal ion removal within 2 to 20 min, with adsorptive values of 53.14, 63.5, and 76.22 mg/g for Cd2+, Cu2+, and Pb2+, respectively. An additional study improved the removal of Cu2+ ions using amino-functionalized (3-aminopropyl and phenyl groups) silica nanospheres [175]. The adsorption capacity increased linearly with the concentration of amino groups. The removal of Ni, Cd, and Pb was compared by utilizing three distinct amino-functionalized silica nano hollow spheres (NH2-SNHS), nonfunctionalized silica-based nanomaterials (i.e., nanosilica spheres, and nonfunctionalized (SNHS), and amino-functionalized nanosilica gel (NH2-NSG) (NH2-SG)) [176]. The adsorption capability of functionalized nanosilica was greater than that of SNHS, with maximum adsorption capacities of 40.73, 31.39, and 96.79 mg/g for Cd2+, Ni2+, as well as Pb2+ using NH2-SNHS, respectively. In another work, 3-aminopropylethoxysilane (APTES)-functionalized nanoporous silicon (NPSi) hybrid materials were synthesized via nanosilver-assisted chemical etching (Ag-ACE) of silicon waste generated during the diamond-wire saw cutting process. The APTES-NPSi produced demonstrated a high-effective adsorption capacity for Cr 6+ from the aqueous solution that was significantly pH dependent, with a maximum adsorption capacity of 103.75 mg/g after 60 min at room temperature [177]. The reduction of Cr6+ to Cr3+ over protonated amino groups was the mechanism by which the adsorption of Cr6+ happened. Despite adsorption cycles of up to five times, the effectiveness of this functionalized nanoadsorbent is maintained. Table 3 show some applications of various types of nanomaterials in removing heavy metals for water and wastewater remediation.

4. Factors Affecting Adsorption

A number of parameters, including pH, adsorbent dosage, contact time, temperature, and starting ion concentration, have been investigated in scientific research investigating their effects on the adsorption of heavy metal ions on the nanoparticles’ surface. This section has discussed the impact of the previously listed factors.

4.1. Impact of Initial Ion Concentration

In general, raising concentrations of hazardous metal ions accelerate the adsorption procedure until a certain limit, then the adsorption process slows down owing to the optimal concentration of metal ions. Therefore, it must be in the reaction medium for the utilized adsorbent. Low hazardous metallic concentrations allow for lower scavenging effectiveness, whereas larger metallic concentrations allow more accessible ions for adsorption, increasing removal efficiency. However, ions with equivalent adsorption sites are accessible at higher starting concentrations, decreasing their elimination adsorption capacity. For example, increasing the metallic starting concentration from 90 to 500 mg/L increased the chelation capacity of nanofibrous PVA/ZnO adsorbent [165]. Similarly, divalent mercury ions adsorption on the chitosan–alginate nanoparticles (CANanoparticles) surface increased when the concentration of metals increased from 4 to 12 mg/L [101]. Small growth in the adsorptive capability of Pb2+ on Fe3O4–SiO2- GSH magnetic nanoparticles were found. But increasing the NaCl content up to 0.2 mM reduced the value from 98.87 to 85.72 mg/g [136]. It can be indicated that NaCl increases the separation of functional groups on the adsorbent surface, increasing adsorption capacity, which increases ionic competition for binding sites.

4.2. Temperature

The temperature of the solution is considered another vital factor affecting the adsorption procedure. Initial temperature increase the decreases in solution viscosity, enhances adsorbate molecule migration over the adsorbent surface, and increases adsorption efficiency. The subsequent temperature shift can impact the adsorption process in different ways, regardless of whether heat is absorbed or evolved. The adsorption rate for endothermic adsorption increases as the temperature rises, while the adsorption rate for exothermic adsorption decreases [180]. Furthermore, studying the temperature of an adsorption process provides valuable information about the standard Gibbs free energy (Δ), enthalpy (Δ), and entropy changes (Δ). The distribution coefficient KD can be calculated as [181].
K D = q e C e  
where qe represents the equilibrium metal concentration on the adsorbent (mmol/L) and Ce is the equilibrium metal concentration in solution (mmol/L). The KD may be expressed in terms of the Δ (kJ/mol) and Δ (kJ/mol K−1) as a function of temperature [182]:
l n K D = Δ H ° R T   + Δ S ° R
The standard free energy of adsorption (Δ) can be calculated from the following equation [182]:
Δ G ° = Δ H ° T Δ S °
It was reported that the negative Δ value acquired from Equation (3) could refer to the adsorption’s spontaneous nature and the adsorption process. The negative value of Δ refers exothermic nature of the process. This may also indicate the possibility of physical adsorption when the system’s temperature rises. The positive value of Δ reflects an increase in randomness at the solid/solution interface during the adsorption process. The decrease in the adsorption with the increase in temperature may be due to the weakening of adsorptive forces between the active sites of the adsorbent and adsorbate species and also between the adjacent molecules of the adsorbed phases [183]. It was recorded that the divalent mercury ion adsorption by chitosan–alginate nanoparticles was described as exothermic [101]. So, from 10 to 20 °C, the adsorption process improves, but above this temperature, the adsorption decreases. Increasing kinetic energy triggered the desorption of adsorbent sites of metal ions, and increasing the temperature reduced the chelated ions on chitosan–alginate nanoparticles’ surface. As a result, increasing the temperature increased ion mobility to more binding sites, boosting the adsorption capacity to lead ions [107].

4.3. Contact Time

The contact time between the metal ion solution and the nanoparticles is crucial in wastewater treatment. The removal efficacy improves with contact duration, possibly owing to the longer interaction time between metal ions and active sites on nanoadsorbents. Typically, the removal efficiency improves rapidly at the beginning of the adsorption process and then progressively increases throughout the process. This occurs due to the availability of free active sites at the time of initial adsorption, which is gradually taken by chelated metals as time progresses. Fe3O4 magnetic nanoparticles were employed to remove Pb2+, Cu2+, Zn2+ and Mn2+ [184]. The results showed that the adsorption efficiency of Zn2+ and Mn2+ was significantly time dependent, with a more extended contact period resulting in a greater adsorption efficiency, as seen in Figure 3. Additionally, a contract duration of 24 h is adequate to achieve equilibrium for all examined ions. The adsorption efficiency of Pb2+ and Cu2+ was very high for a short period (10 h) and remained steady throughout the time range examined. The divalent mercury ion adsorption on the chitosan–alginate nanoparticles’ surfaces has been investigated. Once the contact period was expanded from 0 to 90 min, the adsorption amount rose significantly. The adsorption increased considerably over the first half hour, but it took longer to reach equilibrium after 90 min [101]. In a comparative investigation, it was discovered that the adsorption of Pb2+ and Cd2+ on the surface of MNCPs was 100% and 91% of the whole adsorptive values (53.33 and 48.53 mg/g, respectively) within the first 20 min of contact time. Following that, due to the balance between the adsorption rate and the evaporation rate. The procedure turned independent of contact time after a period of adsorption and desorption [117].

4.4. Effect of Adsorbent Dosage

The quantity of removed pollutants by the adsorption procedure is directly proportional to the amount of adsorbent applied. Increasing the adsorbent dosage resulted in a rise in the number of active sites for hazardous chelating metals, resulting in a significant increase in adsorption capacity. However, despite this, the active sites are reduced due to a reduction in surface area, which is compounded by an increase in the quantity of nanoparticles present due to agglomeration, which significantly limits the adsorption capacity. Several research studies have investigated the influence of adsorbent doses on the removal of heavy metals from aqueous solutions. For example, TiO2-coated chitosan was employed to remove divalent copper and lead ions from water at a dose of 2000 mg/L. The nanoparticles’ accumulation and the surface area’s loss decreased the adsorption capacity toward hazardous metals after this optimum dosage of nanosorbent [103]. Another study found that increasing the adsorbent dose from 0.5 to 2 g/L enhanced the effectiveness of Fe3O4@C nanoadsorbent in removing lead ions from water from 41% to 92%. However, increasing the adsorbent dose lowered removal effectiveness from 41% to 22%, owing to the agglomeration of active sites to chelate lead ions (Huang et al., 2019). Nithya et al. experimented with the adsorbent of superparamagnetic iron oxide nanoparticles levels of 0.1 to 1.8 g to remove Ni2+ from the aqueous solution for 90 min [185]. They noticed that the maximum removal efficiency of 99% was achieved using the adsorbent dose of 0.2 g.

4.5. Effect of Solution pH

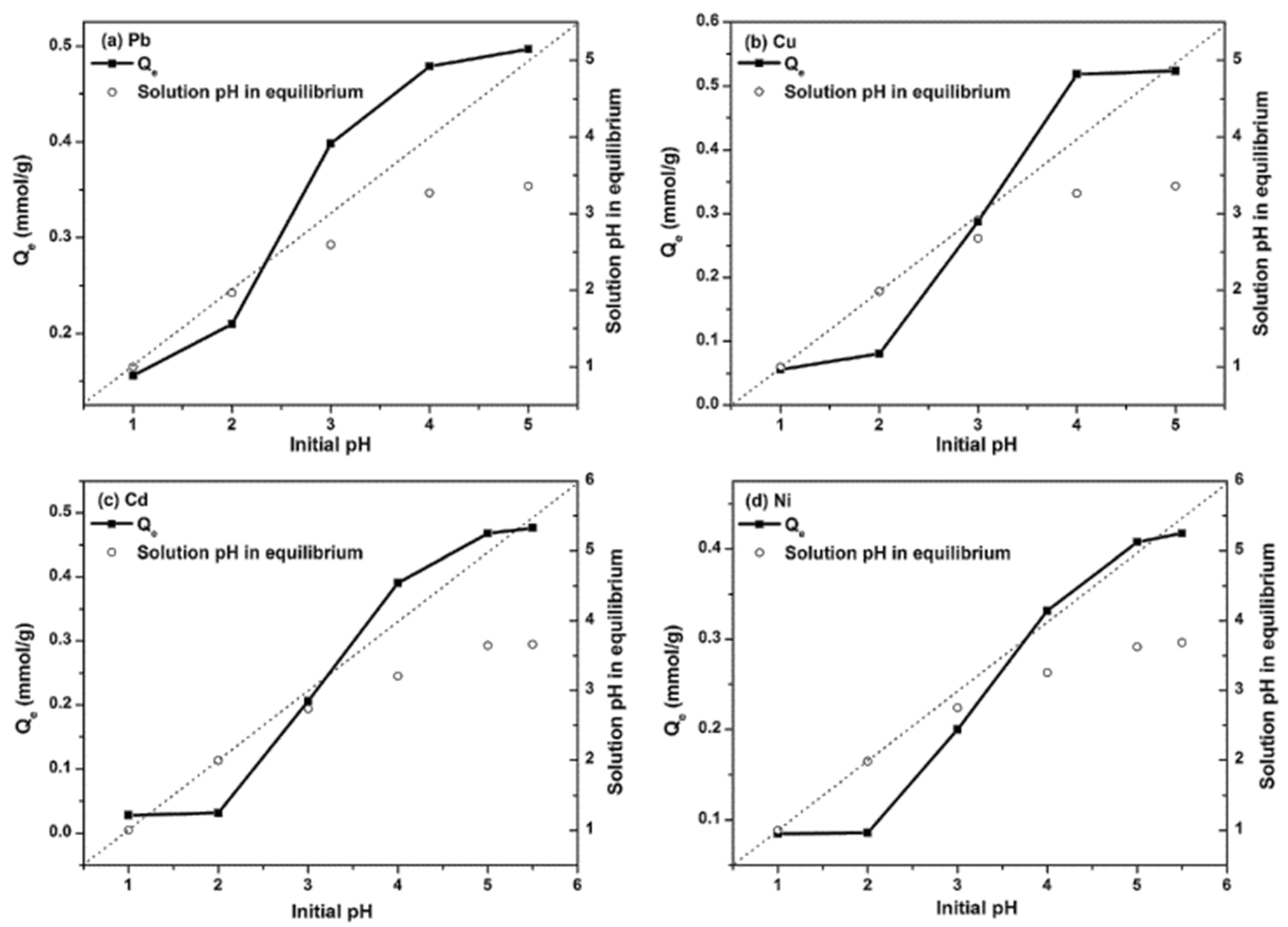
pH is one of the parameters governing the treatment with the adsorption process and directly affects adsorption capacities. Typical pH levels of water vary due to environmental influences; therefore, it is necessary to identify the optimum pH values for higher removal of metal ions from polluted water. Most studies attempt to investigate the pH for removing heavy metals using nanomaterials. For instance, Zhu and Li detected the initial pH effect on the adsorption of Pb2+, Cu2+, Cd2+, and Ni2+ ions and investigated using hydrous manganese dioxide nanoparticles. They found that the process of adsorption was pH dependent, and the adsorption capacity order was Pb2+ > Cu2+ > Cd2+ > Ni2+, as illustrated in Figure 4 [186]. In another study, magnetic nanocomposites composed of G3-PAMAM-graft-poly (methyl acrylate) were created for the magnetic removal of Pb2+ ions [187]. At pH 5–6, the maximum adsorption capacity (310 mg/g) was found. Hayati et al. fabricated a novel material for the removal of multiple divalent cations using the fifth generation of poly(propyleneimine) (PPI-G5) dendrimer connected to SiO2 nanoparticles with maximal adsorption uptakes in the range of 440–500 mg/g at neutral pH [188]. It was observed in comparative research that when the pH climbed from 4.0 to 6.0, the percentage of Cd2+ adsorption increased significantly and subsequently remained constant (97%) at pH 9.0. After elevating the pH to 11, the adsorption percentage decreased to 80% [115]. An additional study showed that the higher adsorption of Pb2+ and Cu2+ adsorption on the surface of chitosan/TiO2 nanofibers was achieved at pH 6.0 compared to the range of pH between 2.0 and 4.0 [103]. A similar observation was reported by Cegłowski and his co-authors for the treatment of several types of heavy metals using two types of synthesized nano-polymeric adsorbents (HDI-IC-DETA and HDI-IC-PEHA) [96]. While it was reported that the optimum pH was 3 for Cr6+ removal using synthesized magnetite nanoparticles [189]. As a result of the above debate, we may infer that it is essential to detect the optimum pH of the water remediation environment for maximum heavy metals removal.

4.6. Effect of Ionic Strength

The ionic strength of a solution measures the concentration of ions in that solution. Ionic compounds, when dissolved in water, dissociate into ions. The total electrolyte concentration in the solution will affect important properties such as the dissociation constant or the solubility of different salts. One of the main characteristics of a solution with dissolved ions is its ionic strength [190]. The ionic power of the aqueous solutions is critical in the adsorptive procedure because it quantifies the influence of extra ions in aqueous solutions on the adsorption of molecules on the adsorbent surface. The addition of Cl and Na+ ions to the solution was commonly used to study the effect of experimental ionic strength on chelation performance. Additionally, the affinity of the adsorbent toward the additional ions and their concentrations had an impact on the adsorption efficiency. By affecting electrostatic interactions, ionic strength can affect particle aggregation. Increased ionic strength lowers electrostatic repulsion and promotes particle aggregation, eliminating the number of accessible binding sites and then reducing the added ion adsorption [191]. Occasionally, in the adsorption process, the influence of ionic strength is neglected due to the adsorbent’s poor attraction to additional ions in comparison with the required metal ions, as various researchers have revealed, for instance, in the analysis of the adsorption of Pb2+ ions onto the surface of Fe3O4/SiO2/GSH nanoparticles [136]. The adsorption was enhanced as the solution contained 0.025 mM sodium chloride, which promotes the dispersion of functional groups on the adsorbent surfaces, while increasing the sodium chloride concentration to 0.2 mM led to a decrease in the lead ions adsorption due to the reduction in chelation sites. Hasanzadeh et al. investigated the impact of 3 mol/L NaCl on the adsorption of Pb2+ and Cd2+ on adsorbate surfaces [117]. The adsorption of heavy metal ions is unaffected by the presence of NaCl, proving that the adsorbent has a better similarity for Cd2+ and Pb2+ compared to that of Na+. This revealed that the nanocomposite surface attracts metal ions more than additional ions. Thus, the effect of ionic strength on the adsorption process depends on the target adsorbate, adsorbent attraction, and sodium chloride concentration.

5. Conclusions and Future Prospective

Heavy metal water pollution has dramatically increased in recent decades. Consequently, strategies, policies, technologies, and materials must be developed to tackle this problem and avoid its potentially devastating effects on human health and the environment. Nanotechnology is one of the viable routes to handle heavy metal water pollution. The unique physicochemical properties of engineered nanomaterials enable them to perform well in removing toxic metal ions from polluted water. In this context, this review highlighted different synthesized nano-based materials which are applied and utilized from the principle of the adsorption process for the removal of heavy metal ions from water. Even at very low concentrations, various types of nanoparticle-structured materials such as carbonaceous, zeolite, polymer-based, magnetic and metal oxide, carbon materials, and magnetic and silica-based materials showed a high removal efficiency for different types of heavy metals with excellent adsorption capacity and selectivity. Important parameters significantly affecting the adsorption process include temperature change, pH change, adsorbent dose, initial concentration, and ionic strength. Optimizing these parameters can play a critical role in rapidly removing toxic metal ions and reaching adsorption equilibrium. Several limitations are reported from sorbents’ use; in some cases, they aggregate and are unstable, which lowers their removal efficiency. Their small size requires mechanical strength to detach them from metal ions efficiently. Nanoparticles’ long-term performance needs study. Second, further research is required to commercialize nanomaterials for industrial or in situ heavy metal treatment. Green chemistry should guide nanomaterial operation and production costs. Nanomaterial toxicity, health, and environmental influences should be considered. Insufficient literature exists on real-time investigations using nanoparticles. Cost, synthesis, reusability, and separation of nanomaterials for heavy metal treatment are ongoing challenges. Moreover, the adverse impact nanomaterials may have on the environment and the ecosystem needs further research.

Author Contributions

Conceptualization, S.E.; methodology, S.E. and N.A.-A.; investigation, S.E.; resources, S.E. and N.A.-A.; writing—original draft preparation, S.E.; writing—review and editing, S.E., S.A.-Q. and S.L.Z.; visualization, S.E. and S.A.-Q.; supervision, S.E.; project administration, S.E.; funding acquisition, N.A.-A. All authors have read and agreed to the published version of the manuscript.

Funding

The APC was funded by Lulea University of Technology.

Data Availability Statement

Not applicable.

Conflicts of Interest

The authors declare no conflict of interest.

References

  1. Ethaib, S.; Zubaidi, S.L. Removal of methylene blue dye from aqueous solution using kaolin. In IOP Conference Series: Materials Science and Engineering, Proceedings of the 2nd International Scientific Conference of Al-Ayen University, Nasiriyah, Iraq, 15-16 July 2020; IOP Publishing: Bristol, UK, 2020. [Google Scholar]
  2. Khudhair, Z.S.; Zubaidi, S.; Ortega-Martorell, S.; Al-Ansari, N.; Ethaib, S.; Hashim, K. A Review of Hybrid Soft Computing and Data Pre-Processing Techniques to Forecast Freshwater Quality’s Parameters: Current Trends and Future Directions. Environments 2022, 9, 85. [Google Scholar] [CrossRef]
  3. Ethaib, S.; Zubaidi, S.L.; Al-Ansari, N. Evaluation water scarcity based on GIS estimation and climate-change effects: A case study of Thi-Qar Governorate. Iraq. Cogent Eng. 2022, 9, 2075301. [Google Scholar] [CrossRef]
  4. Bolisetty, S.; Peydayesh, M.; Mezzenga, R. Sustainable technologies for water purification from heavy metals: Review and analysis. Chem. Soc. Rev. 2019, 48, 463–487. [Google Scholar] [CrossRef] [PubMed]
  5. Rajendran, S.; Priya, T.; Khoo, K.S.; Hoang, T.; Ng, H.S.; Munawaroh, H.; Karaman, C.; Orooji, Y.; Show, P.L. A critical review on various remediation approaches for heavy metal contaminants removal from contaminated soils. Chemosphere 2022, 287, 132369. [Google Scholar] [CrossRef]
  6. Srivastava, N.; Majumder, C. Novel biofiltration methods for the treatment of heavy metals from industrial wastewater. J. Hazard. Mater. 2008, 151, 1–8. [Google Scholar] [CrossRef]
  7. Ilyas, M.; Ahmad, W.; Khan, H.; Yousaf, S.; Yasir, M.; Khan, A. Environmental and health impacts of industrial wastewater effluents in Pakistan: A review. Rev. Environ. Health 2019, 34, 171–186. [Google Scholar] [CrossRef]
  8. Ethaib, S. Solid waste situation in Thi-Qar governorate. In IOP Conference Series: Materials Science and Engineering, Proceedings of the International Conference on Civil and Environmental Engineering Technologies, Najaf, Iraq, 23–24 April 2019; IOP Publishing: Bristol, UK, 2019. [Google Scholar]
  9. Erabee, I.K.; Ethaib, S. Performane of Activated Carbon Adsorption in Removing of Organic Pollutants from River Water. Int. J. Eng. Technol. 2018, 7, 356–358. [Google Scholar] [CrossRef]
  10. Priyadharshini, S.D.; Suresh Babu, P.; Manikandan, S.; Subbaiya, R.; Govarthanan, M.; Karmegam, N. Phycoremediation of wastewater for pollutant removal: A green approach to environmental protection and long-term remediation. Environ. Pollut. 2021, 290, 117989. [Google Scholar] [CrossRef]
  11. Chan, B.; Dudeney, A. Reverse osmosis removal of arsenic residues from bioleaching of refractory gold concentrates. Miner. Eng. 2008, 21, 272–278. [Google Scholar] [CrossRef]
  12. Rashid, R.; Shafiq, I.; Akhter, P.; Iqbal, M.J.; Hussain, M. A state-of-the-art review on wastewater treatment techniques: The effectiveness of adsorption method. Environ. Sci. Pollut. Res. 2021, 28, 9050–9066. [Google Scholar] [CrossRef]
  13. Elgarahy, A.; Al-wakeel, K.; Mohammad, S.; Shoubaky, G. A critical review of biosorption of dyes, heavy metals and metalloids from wastewater as an efficient and green process. Clean. Eng. Technol. 2021, 4, 100209. [Google Scholar] [CrossRef]
  14. Ethaib, S.; Erabee, I.K.; Abdulsahib, A.A. Removal of methylene blue dye from synthetic wastewater using kenaf core and activated carbon. Int. J. Eng. Technol. 2018, 7, 909–913. [Google Scholar] [CrossRef]
  15. Qasem, N.A.; Mohammed, R.H.; Lawal, D.U. Removal of heavy metal ions from wastewater: A comprehensive and critical review. Npj Clean Water 2021, 4, 36. [Google Scholar] [CrossRef]
  16. Almomani, F.; Bhosale, R.; Khraisheh, M.; Kumar, A.; Almomani, T. Heavy metal ions removal from industrial wastewater using magnetic nanoparticles (MNP). Appl. Surf. Sci. 2020, 506, 144924. [Google Scholar] [CrossRef]
  17. Sadegh, H.; Ali, G.A. Potential applications of nanomaterials in wastewater treatment: Nanoadsorbents performance. In Research Anthology on Synthesis, Characterization, and Applications of Nanomaterials; Information Resources Management Association, Ed.; IGI Global: Hershey, PA, USA, 2021; pp. 1230–1240. [Google Scholar]
  18. Wu, Y.; Pang, H.; Liu, Y.; Wang, X.; Yu, S.; Fu, D.; Chen, J.; Wang, X. Environmental remediation of heavy metal ions by novel-nanomaterials: A review. Environ. Pollut. 2019, 246, 608–620. [Google Scholar] [CrossRef]
  19. Kanel, S.R.; Greneche, J.-M.; Choi, H. Arsenic (V) removal from groundwater using nano scale zero-valent iron as a colloidal reactive barrier material. Environ. Sci. Technol. 2006, 40, 2045–2050. [Google Scholar] [CrossRef]
  20. Zhao, C.; Zhou, J.; Yan, Y.; Yang, L.; Xing, G.; Li, H.; Wu, P.; Wang, M.; Zheng, H. Application of coagulation/flocculation in oily wastewater treatment: A review. Sci. Total Environ. 2021, 765, 142795. [Google Scholar] [CrossRef]
  21. Gunatilake, S. Methods of removing heavy metals from industrial wastewater. Methods 2015, 1, 14. [Google Scholar]
  22. Hubicki, Z.; Kołodyńska, D. Selective removal of heavy metal ions from waters and waste waters using ion exchange methods. Ion Exch. Technol. 2012, 7, 193–240. [Google Scholar]
  23. Sadr, S.M.; Saroj, D.P. Membrane technologies for municipal wastewater treatment. In Advances in Membrane Technologies for Water Treatment; Basile, A., Cassano, A., Rastogi, N.K., Eds.; Elsevier: Amsterdam, The Netherlands, 2015; pp. 443–463. [Google Scholar]
  24. Lee, J.; Lee, J.K.; Uhm, S.; Lee, H.J. Electrochemical technologies: Water treatment. Appl. Chem. Eng. 2011, 22, 235–242. [Google Scholar]
  25. Gupta, A.; Sharma, V.; Sharma, K.; Kumar, V.; Choudhary, S.; Mankotia, P.; Kumar, B.; Mishra, H.; Moulick, A.; Ekielski, A.; et al. A review of adsorbents for heavy metal decontamination: Growing approach to wastewater treatment. Materials 2021, 14, 4702. [Google Scholar] [CrossRef] [PubMed]
  26. Xiong, C.; Wang, W.; Tan, F.; Luo, F.; Chen, J.; Qiao, X. Investigation on the efficiency and mechanism of Cd (II) and Pb (II) removal from aqueous solutions using MgO nanoparticles. J. Hazard. Mater. 2015, 299, 664–674. [Google Scholar] [CrossRef] [PubMed]
  27. Zamora-Ledezma, C.; Negrete-Bolagay, D.; Figueroa, F.; Zamora, L.E.; Ni, M.; Alexis, F.; Guerrero, V. Heavy metal water pollution: A fresh look about hazards, novel and conventional remediation methods. Environ. Technol. Innov. 2021, 22, 101504. [Google Scholar] [CrossRef]
  28. Yang, X.; Wan, Y.; Zheng, Y.; He, F.; Yu, Z.; Huang, J.; Wang, H.; Ok, Y.S.; Jiang, Y.; Gao, B. Surface functional groups of carbon-based adsorbents and their roles in the removal of heavy metals from aqueous solutions: A critical review. Chem. Eng. J. 2019, 366, 608–621. [Google Scholar] [CrossRef]
  29. Ettre, L.S. Nomenclature for chromatography (IUPAC Recommendations 1993). Pure Appl. Chem. 1993, 65, 819–872. [Google Scholar] [CrossRef]
  30. Hu, J.; Chen, G.; Lo, I.M. Removal and recovery of Cr (VI) from wastewater by maghemite nanoparticles. Water Res. 2005, 39, 4528–4536. [Google Scholar] [CrossRef]
  31. Alharbi, N.S.; Hu, B.; Hayat, T.; Rabah, S.; Alsaedi, A.; Zhuang, L.; Wang, X. Efficient elimination of environmental pollutants through sorption-reduction and photocatalytic degradation using nanomaterials. Front. Chem. Sci. Eng. 2020, 14, 1124–1135. [Google Scholar] [CrossRef]
  32. Hu, B.; Boyd, K.G.; Taggart, M.A.; Turk Sekulic, M. Efficient elimination of organic and inorganic pollutants by biochar and biochar-based materials. Biochar 2020, 2, 47–64. [Google Scholar] [CrossRef]
  33. Liu, C.; Wang, Q.; Jia, F.; Song, S. Adsorption of heavy metals on molybdenum disulfide in water: A critical review. J. Mol. Liq. 2019, 292, 111390. [Google Scholar] [CrossRef]
  34. Shukor, S.A.A.; Hamzah, R.; Bakar, M.A.; Noriman, N.Z.; Al-Rashdi, A.A.; Razlan, Z.M.; Shahriman, A.B.; Zunaidi, I.; Khairunizam, W. Metal oxide and activated carbon as photocatalyst for waste water treatment. In IOP Conference Series: Materials Science and Engineering, Proceedings of the 1st International Conference on Mechanical Electronic and Biosystem Engineering (MEBSE 2018), Bogor, Indonesia,15–16 December 2018; IOP Publishing: Bristol, UK, 2019. [Google Scholar]
  35. Cheng, L.; Liu, S.; He, G.; Hu, Y. The simultaneous removal of heavy metals and organic contaminants over a Bi2WO6/mesoporous TiO2 nanotube composite photocatalyst. RSC Adv. 2020, 10, 21228–21237. [Google Scholar] [CrossRef]
  36. Wang, X.; Li, X.; Wang, J.; Zhu, H. Recent advances in carbon nitride-based nanomaterials for the removal of heavy metal ions from aqueous solution. J. Inorg. Mater. 2020, 35, 260. [Google Scholar]
  37. Le, A.T.; Pung, S.Y.; Sreekantan, S.; Matsuda, A.; Huynh, D.P. Mechanisms of removal of heavy metal ions by ZnO particles. Heliyon 2019, 5, e01440. [Google Scholar] [CrossRef]
  38. Qu, X.; Alvarez, P.J.; Li, Q. Applications of nanotechnology in water and wastewater treatment. Water Res. 2013, 47, 3931–3946. [Google Scholar] [CrossRef] [PubMed]
  39. Hashemi, B.; Rezania, S. Carbon-based sorbents and their nanocomposites for the enrichment of heavy metal ions: A review. Microchim. Acta 2019, 186, 578. [Google Scholar] [CrossRef] [PubMed]
  40. Nasrollahzadeh, M.; Sajjadi, M.; Iravani, S.; Varma, R. Carbon-based sustainable nanomaterials for water treatment: State-of-art and future perspectives. Chemosphere 2021, 263, 128005. [Google Scholar] [CrossRef] [PubMed]
  41. Hoang, A.T.; Nižetić, S.; Cheng, C.K.; Luque, R.; Thomas, S.; Banh, T.L.; Pham, V.V.; Nguyen, X.P. Heavy metal removal by biomass-derived carbon nanotubes as a greener environmental remediation: A comprehensive review. Chemosphere 2022, 287, 131959. [Google Scholar] [CrossRef]
  42. Kosa, S.A.; Al-Zhrani, G.; Salam, M.A. Removal of heavy metals from aqueous solutions by multi-walled carbon nanotubes modified with 8-hydroxyquinoline. Chem. Eng. J. 2012, 181, 159–168. [Google Scholar] [CrossRef]
  43. Wang, J.; Ma, X.; Fang, G.; Pan, M.; Ye, X.; Wang, S. Preparation of iminodiacetic acid functionalized multi-walled carbon nanotubes and its application as sorbent for separation and preconcentration of heavy metal ions. J. Hazard. Mater. 2011, 186, 1985–1992. [Google Scholar] [CrossRef]
  44. Taghizadeh, M.; Asgharinezhad, A.A.; Samkhaniany, N.; Tadjarodi, A.; Abbaszadeh, A.; Pooladi, M. Solid phase extraction of heavy metal ions based on a novel functionalized magnetic multi-walled carbon nanotube composite with the aid of experimental design methodology. Microchim. Acta 2014, 181, 597–605. [Google Scholar] [CrossRef]
  45. Zhang, C.; Sui, J.; Li, J.; Tang, Y.; Cai, W. Efficient removal of heavy metal ions by thiol-functionalized superparamagnetic carbon nanotubes. Chem. Eng. J. 2012, 210, 45–52. [Google Scholar] [CrossRef]
  46. Chen, C.; Hu, J.; Shao, D.; Li, J.; Wang, X. Adsorption behavior of multiwall carbon nanotube/iron oxide magnetic composites for Ni (II) and Sr (II). J. Hazard. Mater. 2009, 164, 923–928. [Google Scholar] [CrossRef] [PubMed]
  47. Rao, G.P.; Lu, C.; Su, F. Sorption of divalent metal ions from aqueous solution by carbon nanotubes: A review. Sep. Purif. Technol. 2007, 58, 224–231. [Google Scholar] [CrossRef]
  48. Ren, X.; Chen, C.; Nagatsu, M.; Wang, X. Carbon nanotubes as adsorbents in environmental pollution management: A review. Chem. Eng. J. 2011, 170, 395–410. [Google Scholar] [CrossRef]
  49. Rawat, D.S.; Calbi, M.M.; Migone, A.D. Equilibration time: Kinetics of gas adsorption on closed-and open-ended single-walled carbon nanotubes. J. Phys. Chem. C 2007, 111, 12980–12986. [Google Scholar] [CrossRef]
  50. Abbas, A.; Abbas, A.; Al-Amer, A.; Laoui, T.; Almarri, M.; Nasser, M.; Khraisheh, M.; Atieh, A.M. Heavy metal removal from aqueous solution by advanced carbon nanotubes: Critical review of adsorption applications. Sep. Purif. Technol. 2016, 157, 141–161. [Google Scholar]
  51. Pyrzyńska, K.; Bystrzejewski, M. Comparative study of heavy metal ions sorption onto activated carbon, carbon nanotubes, and carbon-encapsulated magnetic nanoparticles. Colloids Surf. A Physicochem. Eng. Asp. 2010, 362, 102–109. [Google Scholar] [CrossRef]
  52. Mubarak, M.; Sahu, J.; Abdullah, E.; Natesan, J. Removal of heavy metals from wastewater using carbon nanotubes. Sep. Purif. Rev. 2014, 43, 311–338. [Google Scholar] [CrossRef]
  53. Moghaddam, H.K.; Pakizeh, M. Experimental study on mercury ions removal from aqueous solution by MnO2/CNTs nanocomposite adsorbent. J. Ind. Eng. Chem. 2015, 21, 221–229. [Google Scholar] [CrossRef]
  54. Liang, J.; Liu, J.; Yuan, X.; Dong, H.; Zeng, G.; Wu, H.; Wang, H.; Liu, J.; Hua, S.; Zhang, S.; et al. Facile synthesis of alumina-decorated multi-walled carbon nanotubes for simultaneous adsorption of cadmium ion and trichloroethylene. Chem. Eng. J. 2015, 273, 101–110. [Google Scholar] [CrossRef]
  55. Liu, D.; Zhu, Y.; Li, Z.; Tian, D.; Chen, L.; Chen, P. Chitin nanofibrils for rapid and efficient removal of metal ions from water system. Carbohydr. Polym. 2013, 98, 483–489. [Google Scholar] [CrossRef]
  56. Zhu, K.; Jia, H.; Wang, F.; Zhu, Y.; Wang, C.; Ma, C. Efficient removal of Pb (II) from aqueous solution by modified montmorillonite/carbon composite: Equilibrium, kinetics, and thermodynamics. J. Chem. Eng. Data 2017, 62, 333–340. [Google Scholar] [CrossRef]
  57. Sun, J.; Liang, Q.; Han, Q.; Zhang, X.; Ding, M. One-step synthesis of magnetic graphene oxide nanocomposite and its application in magnetic solid phase extraction of heavy metal ions from biological samples. Talanta 2015, 132, 557–563. [Google Scholar] [CrossRef] [PubMed]
  58. Gollavelli, G.; Chang, C.-C.; Ling, Y.-C. Facile synthesis of smart magnetic graphene for safe drinking water: Heavy metal removal and disinfection control. ACS Sustain. Chem. Eng. 2013, 1, 462–472. [Google Scholar] [CrossRef]
  59. Zeng, T.; Yu, Y.; Li, Z.; Zuo, J.; Kuai, Z.; Jin, Y.; Wang, Y.; Wu, A.; Peng, C. 3D MnO2 nanotubes@reduced graphene oxide hydrogel as reusable adsorbent for the removal of heavy metal ions. Mater. Chem. Phys. 2019, 231, 105–108. [Google Scholar] [CrossRef]
  60. Zhao, G.; Li, J.; Ren, X.; Chen, C.; Wang, X. Few-layered graphene oxide nanosheets as superior sorbents for heavy metal ion pollution management. Environ. Sci. Technol. 2011, 45, 10454–10462. [Google Scholar] [CrossRef] [PubMed]
  61. Mahmodi, G.; Zarrintaj, P.; Taghizadeh, A.; Taghizadeh, M.; Manouchehri, S.; Dangwal, S.; Ronte, A.; Ganjali, M.R.; Ramsey, J.D.; Kim, S.J.; et al. From microporous to mesoporous mineral frameworks: An alliance between zeolite and chitosan. Carbohydr. Res. 2020, 489, 107930. [Google Scholar] [CrossRef] [PubMed]
  62. Mahdavi Far, R.; Van der Bruggen, B.; Verliefde, A.; Cornelissen, E. A review of zeolite materials used in membranes for water purification: History, applications, challenges and future trends. J. Chem. Technol. Biotechnol. 2022, 97, 575–596. [Google Scholar] [CrossRef]
  63. Yoldi, M.; Fuentes-Ordoñez, E.G.; Korili, S.A.; Gil, A. Zeolite synthesis from industrial wastes. Microporous Mesoporous Mater. 2019, 287, 183–191. [Google Scholar] [CrossRef]
  64. Ribeiro, F.R. Zeolites: Science and Technology; Springer Science & Business Media: Dordrecht, The Netherlands, 2012; Volume 80. [Google Scholar]
  65. Guisnet, M.; Gilson, J.-P. Introduction to zeolite science and technology. Catal. Sci. Ser. 2002, 3, 1–28. [Google Scholar]
  66. Aghel, B.; Gouran, A.; Razmegir, M.H. Use of modified Iranian clinoptilolite zeolite for cadmium and lead removal from oil refinery wastewater. Int. J. Environ. Sci. Technol. 2020, 17, 1239–1250. [Google Scholar] [CrossRef]
  67. Mahmoodi, N.M.; Saffar-Dastgerdi, M.H. Zeolite nanoparticle as a superior adsorbent with high capacity: Synthesis, surface modification and pollutant adsorption ability from wastewater. Microchem. J. 2019, 145, 74–83. [Google Scholar] [CrossRef]
  68. Rad, L.R.; Momeni, A.; Ghazani, B.; Irani, M.; Mahmoudi, M.; Noghreh, B. Removal of Ni2+ and Cd2+ ions from aqueous solutions using electrospun PVA/zeolite nanofibrous adsorbent. Chem. Eng. J. 2014, 256, 119–127. [Google Scholar] [CrossRef]
  69. Charkhi, A.; Kazemeini, M.; Ahmadi, S.; Kazemian, H. Fabrication of granulated NaY zeolite nanoparticles using a new method and study the adsorption properties. Powder Technol. 2012, 231, 1–6. [Google Scholar] [CrossRef]
  70. Malamis, S.; Katsou, E. A review on zinc and nickel adsorption on natural and modified zeolite, bentonite and vermiculite: Examination of process parameters, kinetics and isotherms. J. Hazard. Mater. 2013, 252, 428–461. [Google Scholar] [CrossRef]
  71. Sprynskyy, M.; Buszewski, B.; Terzyk, A.P.; Namieśnik, J. Study of the selection mechanism of heavy metal (Pb2+, Cu2+, Ni2+, and Cd2+) adsorption on clinoptilolite. J. Colloid Interface Sci. 2006, 304, 21–28. [Google Scholar] [CrossRef]
  72. Alvarez-Ayuso, E.; Garcıa-Sánchez, A.; Querol, X. Purification of metal electroplating waste waters using zeolites. Water Res. 2003, 37, 4855–4862. [Google Scholar] [CrossRef]
  73. Lee, M.-G.; Yi, G.; Ahn, B.; Roddick, F. Conversion of coal fly ash into zeolite and heavy metal removal characteristics of the products. Korean J. Chem. Eng. 2000, 17, 325–331. [Google Scholar] [CrossRef]
  74. Yurekli, Y. Removal of heavy metals in wastewater by using zeolite nano-particles impregnated polysulfone membranes. J. Hazard. Mater. 2016, 309, 53–64. [Google Scholar] [CrossRef]
  75. Deravanesiyan, M.; Beheshti, M.; Malekpour, A. The removal of Cr (III) and Co (II) ions from aqueous solution by two mechanisms using a new sorbent (alumina nanoparticles immobilized zeolite)—Equilibrium, kinetic and thermodynamic studies. J. Mol. Liq. 2015, 209, 246–257. [Google Scholar] [CrossRef]
  76. Abdelrahman, E.A.; Tolan, D.A.; Nassar, M.Y. A tunable template-assisted hydrothermal synthesis of hydroxysodalite zeolite nanoparticles using various aliphatic organic acids for the removal of zinc (II) ions from aqueous media. J. Inorg. Organomet. Polym. Mater. 2019, 29, 229–247. [Google Scholar] [CrossRef]
  77. Al-Jubouri, S.M.; Holmes, S.M. Immobilization of cobalt ions using hierarchically porous 4A zeolite-based carbon composites: Ion-exchange and solidification. J. Water Process Eng. 2020, 33, 101059. [Google Scholar] [CrossRef]
  78. Zhang, D.; Xu, W.; Cai, J.; Cheng, S.Y.; Ding, W.P. Citric acid-incorporated cellulose nanofibrous mats as food materials-based biosorbent for removal of hexavalent chromium from aqueous solutions. Int. J. Biol. Macromol. 2020, 149, 459–466. [Google Scholar] [CrossRef] [PubMed]
  79. Khandaker, S.; Toyohara, Y.; Saha, G.; Saha, D.; Awual, M.; Kuba, T. Development of synthetic zeolites from bio-slag for cesium adsorption: Kinetic, isotherm and thermodynamic studies. J. Water Process Eng. 2020, 33, 101055. [Google Scholar] [CrossRef]
  80. Rondón, W.; Freire, D.; Benzo, Z.; Sifontes, A.; González, Y.; Valero, M.; Brito, J. Application of 3A zeolite prepared from Venezuelan kaolin for removal of Pb (II) from wastewater and its determination by flame atomic absorption spectrometry. Am. J. Anal. Chem. 2013, 4, 584–593. [Google Scholar] [CrossRef]
  81. Fanta, F.T.; Dubale, A.A.; Bebizuh, D.F.; Atlabachew, M. Copper doped zeolite composite for antimicrobial activity and heavy metal removal from waste water. BMC Chem. 2019, 13, 44. [Google Scholar] [CrossRef]
  82. Meng, Q.; Chen, H.; Lin, J.; Lin, Z.; Sun, J. Zeolite A synthesized from alkaline assisted pre-activated halloysite for efficient heavy metal removal in polluted river water and industrial wastewater. J. Environ. Sci. 2017, 56, 254–262. [Google Scholar] [CrossRef]
  83. Nosike, E.I.; Jiang, Z.; Miao, L.; Akakuru, O.U.; Yuan, B.; Wu, S.; Zhang, Y.; Zhang, Y.; Wu, A. A novel hybrid nanoadsorbent for effective Hg2+ adsorption based on zeolitic imidazolate framework (ZIF-90) assembled onto poly acrylic acid capped Fe3O4 nanoparticles and cysteine. J. Hazard. Mater. 2020, 392, 122288. [Google Scholar] [CrossRef]
  84. Luo, C.; Wang, J.; Jia, P.; Liu, Y.; An, J.; Cao, B.; Pan, K. Hierarchically structured polyacrylonitrile nanofiber mat as highly efficient lead adsorbent for water treatment. Chem. Eng. J. 2015, 262, 775–784. [Google Scholar] [CrossRef]
  85. Ethaib, S.; Omar, R.; Mazlina, M.S.; Radiah, A.D.; Zubaidi, S.L. Toward sustainable processes of pretreatment technologies of lignocellulosic biomass for enzymatic production of biofuels and chemicals: A review. BioResources 2020, 15, 1006. [Google Scholar] [CrossRef]
  86. Mautner, A.; Maples, H.; Kobkeatthawin, T.; Kokol, V.; Karim, Z.; Li, K.; Bismarck, A. Phosphorylated nanocellulose papers for copper adsorption from aqueous solutions. Int. J. Environ. Sci. Technol. 2016, 13, 1861–1872. [Google Scholar] [CrossRef]
  87. Abou-Zeid, R.E.; Dacrory, S.; Ali, K.A.; Kamel, S. Novel method of preparation of tricarboxylic cellulose nanofiber for efficient removal of heavy metal ions from aqueous solution. Int. J. Biol. Macromol. 2018, 119, 207–214. [Google Scholar] [CrossRef] [PubMed]
  88. Choi, H.Y.; Bae, J.H.; Hasegawa, Y.; An, S.; Kim, I.S.; Lee, H.; Kim, M. Thiol-functionalized cellulose nanofiber membranes for the effective adsorption of heavy metal ions in water. Carbohydr. Polym. 2020, 234, 115881. [Google Scholar] [CrossRef] [PubMed]
  89. Abbasi, E.; Aval, S.F.; Akbarzadeh, A.; Milani, M.; Nasrabadi, H.T.; Joo, S.W.; Hanifehpour, Y.; Nejati-Koshki, K.; Pashaei-Asl, R. Dendrimers: Synthesis, applications, and properties. Nanoscale Res. Lett. 2014, 9, 247. [Google Scholar] [CrossRef] [PubMed]
  90. Viltres, H.; Odio, O.F.; Reguera, E. Dendrimer-based hybrid nanomaterials for water remediation: Adsorption of inorganic contaminants. In Nanohybrids in Environmental & Biomedical Applications; Sharma, S.K., Ed.; CRC Press: Boca Raton, FL, USA, 2019; pp. 279–298. [Google Scholar]
  91. Shah, S.N.; Mo, K.H.; Soon, P.Y.; Yang, J.; Ling, T.-C. Lightweight foamed concrete as a promising avenue for incorporating waste materials: A review. Resour. Conserv. Recycl. 2021, 164, 105103. [Google Scholar] [CrossRef]
  92. Efome, J.E.; Rana, D.; Matsuura, T.; Lan, C. Effects of operating parameters and coexisting ions on the efficiency of heavy metal ions removal by nano-fibrous metal-organic framework membrane filtration process. Sci. Total Environ. 2019, 674, 355–362. [Google Scholar] [CrossRef] [PubMed]
  93. Lide, D.R. CRC Handbook of Chemistry and Physics; CRC Press: Boca Raton, FL, USA, 2004; Volume 85. [Google Scholar]
  94. Martín, D.M.; Faccini, M.; García, M.A.; Amantia, D. Highly efficient removal of heavy metal ions from polluted water using ion-selective polyacrylonitrile nanofibers. J. Environ. Chem. Eng. 2018, 6, 236–245. [Google Scholar] [CrossRef]
  95. Hasanzadeh, R.; Moghadam, P.N.; Samadi, N. Synthesis and application of modified poly (styrene-alt-maleic anhydride) networks as a nano chelating resin for uptake of heavy metal ions. Polym. Adv. Technol. 2013, 24, 34–41. [Google Scholar] [CrossRef]
  96. Cegłowski, M.; Gierczyk, B.; Frankowski, M.; Popenda, L. A new low-cost polymeric adsorbents with polyamine chelating groups for efficient removal of heavy metal ions from water solutions. React. Funct. Polym. 2018, 131, 64–74. [Google Scholar] [CrossRef]
  97. Hirano, S.; Seino, H.; Akiyama, Y.; Nonaka, I. A biocompatible material for oral and intravenous administrations. In Progress in Biomedical Polymers; Gebelein, C.G., Dunn, R.L., Eds.; Plenum Press: New York, NY, USA, 1990; pp. 283–289. [Google Scholar]
  98. Suh, J.-K.F.; Matthew, H.W. Application of chitosan-based polysaccharide biomaterials in cartilage tissue engineering: A review. Biomaterials 2000, 21, 2589–2598. [Google Scholar]
  99. Kumar, N.; Ravikumar, M.N.; Domb, A. Biodegradable block copolymers. Adv. Drug Deliv. Rev. 2001, 53, 23–44. [Google Scholar] [CrossRef]
  100. Mima, S.; Miya, M.; Iwamoto, R.; Yoshikawa, S. Highly deacetylated chitosan and its properties. J. Appl. Polym. Sci. 1983, 28, 1909–1917. [Google Scholar] [CrossRef]
  101. Dubey, R.; Bajpai, J.; Bajpai, A. Chitosan-alginate nanoparticles (CANPs) as potential nanosorbent for removal of Hg (II) ions. Environ. Nanotechnol. Monit. Manag. 2016, 6, 32–44. [Google Scholar] [CrossRef]
  102. Saad, A.H.A.; Azzam, A.; El-Wakeel, S.; Mostafa, B.; El-latif, M. Removal of toxic metal ions from wastewater using ZnO@Chitosan core-shell nanocomposite. Environ. Nanotechnol. Monit. Manag. 2018, 9, 67–75. [Google Scholar] [CrossRef]
  103. Razzaz, A.; Ghorban, S.; Hosseini, L.; Irani, M.; Aliabadi, M. Chitosan nanofibers functionalized by TiO2 nanoparticles for the removal of heavy metal ions. J. Taiwan Inst. Chem. Eng. 2016, 58, 333–343. [Google Scholar] [CrossRef]
  104. Esmaeili, A.; Khoshnevisan, N. Optimization of process parameters for removal of heavy metals by biomass of Cu and Co-doped alginate-coated chitosan nanoparticles. Bioresour. Technol. 2016, 218, 650–658. [Google Scholar] [CrossRef]
  105. Yuan, X.; An, N.; Zhu, Z.; Sun, H.; Zheng, J.; Jia, M.; Lu, C.; Zhang, W.; Liu, N. Hierarchically porous nitrogen-doped carbon materials as efficient adsorbents for removal of heavy metal ions. Process Saf. Environ. Prot. 2018, 119, 320–329. [Google Scholar] [CrossRef]
  106. Shukla, S.K.; Mishra, A.K.; Arotiba, O.A.; Mamba, B.B. Chitosan-based nanomaterials: A state-of-the-art review. Int. J. Biol. Macromol. 2013, 59, 46–58. [Google Scholar] [CrossRef]
  107. Nassar, N.N. Rapid removal and recovery of Pb (II) from wastewater by magnetic nanoadsorbents. J. Hazard. Mater. 2010, 184, 538–546. [Google Scholar] [CrossRef]
  108. Iconaru, S.L.; Guegan, R.; Popa, C.; Motelica-Heino, M.; Carmen, C.; Predoi, D. Magnetite (Fe3O4) nanoparticles as adsorbents for As and Cu removal. Appl. Clay Sci. 2016, 134, 128–135. [Google Scholar] [CrossRef]
  109. Leonel, A.G.; Mansur, A.A.; Mansur, H.S. Advanced functional nanostructures based on magnetic iron oxide nanomaterials for water remediation: A review. Water Res. 2021, 190, 116693. [Google Scholar] [CrossRef]
  110. Wang, X. Nanomaterials as sorbents to remove heavy metal ions in wastewater treatment. J. Environ. Anal. Toxicol. 2012, 2, 154–158. [Google Scholar] [CrossRef]
  111. Patwardhan, S.V.; Emami, F.S.; Berry, R.J.; Jones, S.E.; Naik, R.R.; Deschaume, O.; Heinz, H.; Perry, C.C. Chemistry of aqueous silica nanoparticle surfaces and the mechanism of selective peptide adsorption. J. Am. Chem. Soc. 2012, 134, 6244–6256. [Google Scholar] [CrossRef]
  112. Pratt, A. Environmental applications of magnetic nanoparticles. In Frontiers of Nanoscience; Lead, J.R., Valsami-Jones, E., Eds.; Elsevier: Amsterdam, The Netherlands, 2014; pp. 259–307. [Google Scholar]
  113. Hassan, M.; Naidu, R.; Du, J.; Liu, Y.; Qi, F. Critical review of magnetic biosorbents: Their preparation, application, and regeneration for wastewater treatment. Sci. Total Environ. 2020, 702, 134893. [Google Scholar] [CrossRef] [PubMed]
  114. Liu, X.; Guan, J.; Lai, G.; Xu, Q.; Bai, X.; Wang, Z.; Cui, S. Stimuli-responsive adsorption behavior toward heavy metal ions based on comb polymer functionalized magnetic nanoparticles. J. Clean. Prod. 2020, 253, 119915. [Google Scholar] [CrossRef]
  115. Huang, S.-H.; Chen, D.-H. Rapid removal of heavy metal cations and anions from aqueous solutions by an amino-functionalized magnetic nano-adsorbent. J. Hazard. Mater. 2009, 163, 174–179. [Google Scholar] [CrossRef] [PubMed]
  116. Martínez-Cabanas, M.; López-García, M.; Barriada, J.; Herrero, R.; Sastre de Vicente, M. Green synthesis of iron oxide nanoparticles. Development of magnetic hybrid materials for efficient As (V) removal. Chem. Eng. J. 2016, 301, 83–91.
  117. Hasanzadeh, R.; Moghadam, P.N.; Bahri-Laleh, N.; Sillanpää, M. Effective removal of toxic metal ions from aqueous solutions: 2-Bifunctional magnetic nanocomposite base on novel reactive PGMA-MAn copolymer@Fe3O4 nanoparticles. J. Colloid Interface Sci. 2017, 490, 727–746. [Google Scholar] [CrossRef] [PubMed]
  118. Kim, E.-J.; Lee, C.S.; Chang, Y.Y.; Chang, Y.S. Hierarchically structured manganese oxide-coated magnetic nanocomposites for the efficient removal of heavy metal ions from aqueous systems. ACS Appl. Mater. Interfaces 2013, 5, 9628–9634. [Google Scholar] [CrossRef] [PubMed]
  119. Tu, Y.-J.; You, C.-F.; Chen, M.-H.; Duan, Y.-P. Efficient removal/recovery of Pb onto environmentally friendly fabricated copper ferrite nanoparticles. J. Taiwan Inst. Chem. Eng. 2017, 71, 197–205. [Google Scholar] [CrossRef]
  120. Tu, Y.J.; Chan, T.S.; Tu, H.W.; Wang, S.L.; You, C.F.; Chang, C.K. Rapid and efficient removal/recovery of molybdenum onto ZnFe2O4 nanoparticles. Chemosphere 2016, 148, 452–458. [Google Scholar] [CrossRef]
  121. Tu, Y.-J.; You, C.-F.; Chang, C.-K. Conversion of waste Mn–Zn dry battery as efficient nano-adsorbents for hazardous metals removal. J. Hazard. Mater. 2013, 258, 102–108. [Google Scholar] [CrossRef]
  122. Asadi, R.; Abdollahi, H.; Gharabaghi, M.; Boroumand, Z. Effective removal of Zn (II) ions from aqueous solution by the magnetic MnFe2O4 and CoFe2O4 spinel ferrite nanoparticles with focuses on synthesis, characterization, adsorption, and desorption. Adv. Powder Technol. 2020, 31, 1480–1489. [Google Scholar] [CrossRef]
  123. Vamvakidis, K.; Kostitsi, T.M.; Makridis, A.; Dendrinou-Samara, C. Diverse surface chemistry of cobalt ferrite nanoparticles to optimize copper (II) removal from aqueous media. Materials 2020, 13, 1537. [Google Scholar] [CrossRef] [PubMed]
  124. Ghaemi, N.; Madaeni, S.S.; Daraei, P.; Rajabi, H.; Zinadini, S.; Alizadeh, A.; Heydari, R.; Beygzadeh, M.; Ghouzivand, S. Polyethersulfone membrane enhanced with iron oxide nanoparticles for copper removal from water: Application of new functionalized Fe3O4 nanoparticles. Chem. Eng. J. 2015, 263, 101–112. [Google Scholar] [CrossRef]
  125. Guo, L.; Li, J.; Zhang, L.; Li, J.; Li, Y.; Yu, C.; Shi, J.; Ruan, M.; Feng, J. A facile route to synthesize magnetic particles within hollow mesoporous spheres and their performance as separable Hg2+ adsorbents. J. Mater. Chem. 2008, 18, 2733–2738. [Google Scholar] [CrossRef]
  126. Mokadem, Z.; Mekki, S.; Saïdi-Besbes, S.; Agusti, G.; Elaissari, A.; Derdour, A. Triazole containing magnetic core-silica shell nanoparticles for Pb2+, Cu2+ and Zn2+ removal. Arab. J. Chem. 2017, 10, 1039–1051. [Google Scholar] [CrossRef]
  127. Calvo, B.; Canoira, L.; Morante, F.; Martínez-Bedia, J.M.; Vinagre, C.; García-González, J.E.; Elsen, J.; Alcantara, R. Continuous elimination of Pb2+, Cu2+, Zn2+, H+ and NH4+ from acidic waters by ionic exchange on natural zeolites. J. Hazard. Mater. 2009, 166, 619–627. [Google Scholar] [CrossRef]
  128. Ma, Z.; Zhao, D.; Chang, Y.; Xing, S.; Wu, Y.; Gao, Y. Synthesis of MnFe2O4@Mn–Co oxide core–shell nanoparticles and their excellent performance for heavy metal removal. Dalton Trans. 2013, 42, 14261–14267. [Google Scholar] [CrossRef]
  129. Wang, P.; Shen, T.; Li, X.; Tang, Y.; Li, Y. Magnetic mesoporous calcium carbonate-based nanocomposites for the removal of toxic Pb (II) and Cd (II) ions from water. ACS Appl. Nano Mater. 2020, 3, 1272–1281. [Google Scholar] [CrossRef]
  130. Islam, M.S.; Choi, W.; Nam, B.; Yoon, C.; Lee, H.-J. Needle-like iron oxide@CaCO3 adsorbents for ultrafast removal of anionic and cationic heavy metal ions. Chem. Eng. J. 2017, 307, 208–219. [Google Scholar] [CrossRef]
  131. Danesh, N.; Hosseini, M.; Ghorbani, M.; Marjani, A. Fabrication, characterization and physical properties of a novel magnetite graphene oxide/Lauric acid nanoparticles modified by ethylenediaminetetraacetic acid and its applications as an adsorbent for the removal of Pb (II) ions. Synth. Met. 2016, 220, 508–523. [Google Scholar] [CrossRef]
  132. Ghasemi, E.; Heydari, A.; Sillanpää, M. Superparamagnetic Fe3O4@EDTA nanoparticles as an efficient adsorbent for simultaneous removal of Ag (I), Hg (II), Mn (II), Zn (II), Pb (II) and Cd (II) from water and soil environmental samples. Microchem. J. 2017, 131, 51–56. [Google Scholar] [CrossRef]
  133. Li, N.; Li, Z.; Zhang, L.; Shi, H.; Li, J.; Zhang, J.; Zhang, Z.; Dang, F. One-step fabrication of bifunctional self-assembled oligopeptides anchored magnetic carbon nanoparticles and their application in copper (II) ions removal from aqueous solutions. J. Hazard. Mater. 2020, 382, 121113. [Google Scholar] [CrossRef] [PubMed]
  134. Ge, F.; Li, M.-M.; Ye, H.; Zhao, B.-X. Effective removal of heavy metal ions Cd2+, Zn2+, Pb2+, Cu2+ from aqueous solution by polymer-modified magnetic nanoparticles. J. Hazard. Mater. 2012, 211, 366–372. [Google Scholar] [CrossRef] [PubMed]
  135. Girginova, P.I.; Daniel-da-Silva, A.L.; Lopes, C.; Figueira, P.; Otero, M.; Amaral, V.; Pereira, E.; Trindade, T. Silica coated magnetite particles for magnetic removal of Hg2+ from water. J. Colloid Interface Sci. 2010, 345, 234–240. [Google Scholar] [CrossRef]
  136. Xu, P.; Zeng, G.; Huang, D.; Yan, M.; Chen, M.; Lai, C.; Jiang, H.; Wu, H.; Chen, G.; Wan, J. Fabrication of reduced glutathione functionalized iron oxide nanoparticles for magnetic removal of Pb (II) from wastewater. J. Taiwan Inst. Chem. Eng. 2017, 71, 165–173. [Google Scholar] [CrossRef]
  137. Shen, H.; Pan, S.; Zhang, Y.; Huang, X.; Gong, H. A new insight on the adsorption mechanism of amino-functionalized nano-Fe3O4 magnetic polymers in Cu (II), Cr (VI) co-existing water system. Chem. Eng. J. 2012, 183, 180–191. [Google Scholar] [CrossRef]
  138. Zhang, H.; Tan, X.; Qiu, T.; Zhou, L.; Li, R.; Deng, Z. A novel and biocompatible Fe3O4 loaded chitosan polyelectrolyte nanoparticles for the removal of Cd2+ ion. Int. J. Biol. Macromol. 2019, 141, 1165–1174. [Google Scholar] [CrossRef]
  139. Wang, X.; Liu, X.; Xiao, C.; Zhao, H.; Zhang, M.; Zheng, N.; Kong, W.; Zhang, L.; Yuan, H.; Zhang, L. Triethylenetetramine-modified hollow Fe3O4/SiO2/chitosan magnetic nanocomposites for removal of Cr (VI) ions with high adsorption capacity and rapid rate. Microporous Mesoporous Mater. 2020, 297, 110041. [Google Scholar] [CrossRef]
  140. Shen, H.; Chen, J.; Dai, H.; Wang, L.; Hu, M.; Xia, Q.-H. New insights into the sorption and detoxification of chromium (VI) by tetraethylenepentamine functionalized nanosized magnetic polymer adsorbents: Mechanism and pH effect. Ind. Eng. Chem. Res. 2013, 52, 12723–12732. [Google Scholar] [CrossRef]
  141. Verma, R.; Asthana, A.; Singh, A.; Prasad, S.; Susan, M. Novel glycine-functionalized magnetic nanoparticles entrapped calcium alginate beads for effective removal of lead. Microchem. J. 2017, 130, 168–178. [Google Scholar] [CrossRef]
  142. Xu, P.; Zeng, G.; Huang, D.; Lai, C.; Zhao, M.; Wei, Z.; Li, N.; Huang, C.; Xie, G. Adsorption of Pb (II) by iron oxide nanoparticles immobilized Phanerochaete chrysosporium: Equilibrium, kinetic, thermodynamic and mechanisms analysis. Chem. Eng. J. 2012, 203, 423–431. [Google Scholar] [CrossRef]
  143. Abdolmaleki, A.; Mallakpour, S.; Borandeh, S. Efficient heavy metal ion removal by triazinyl-β-cyclodextrin functionalized iron nanoparticles. RSC Adv. 2015, 5, 90602–90608. [Google Scholar] [CrossRef]
  144. Fan, H.; Ma, X.; Zhou, S.; Huang, J.; Liu, Y.; Liu, Y. Highly efficient removal of heavy metal ions by carboxymethyl cellulose-immobilized Fe3O4 nanoparticles prepared via high-gravity technology. Carbohydr. Polym. 2019, 213, 39–49. [Google Scholar] [CrossRef] [PubMed]
  145. Jiang, Z.; Li, N.; Li, P.Y.; Liu, B.; Lai, H.J.; Jin, T. One-step preparation of chitosan-based magnetic adsorbent and its application to the adsorption of inorganic arsenic in water. Molecules 2021, 26, 1785. [Google Scholar] [CrossRef] [PubMed]
  146. Mohamed, N.M.; Hamouda, A.; Kader, S.; Khalil, M. Removal of cadmium from aqueous solution using modified magnetic glycine modified cross-linked chitosan resin. Egypt. J. Aquat. Biol. Fish. 2021, 25, 555–570. [Google Scholar] [CrossRef]
  147. Lian, Z.; Li, Y.; Xian, H.; Ouyang, X.K.; Lu, Y.; Peng, X.; Hu, D. EDTA-functionalized magnetic chitosan oligosaccharide and carboxymethyl cellulose nanocomposite: Synthesis, characterization, and Pb (II) adsorption performance. Int. J. Biol. Macromol. 2020, 165, 591–600. [Google Scholar] [CrossRef] [PubMed]
  148. Hua, M.; Hua, M.; Zhang, S.; Pan, B.; Zhang, W.; Lv, L.; Zhang, Q. Heavy metal removal from water/wastewater by nanosized metal oxides: A review. J. Hazard. Mater. 2012, 211, 317–331. [Google Scholar] [CrossRef]
  149. Fan, M.; Boonfueng, T.; Xu, Y.; Axe, L.; Tyson, T. Modeling Pb sorption to microporous amorphous oxides as discrete particles and coatings. J. Colloid Interface Sci. 2005, 281, 39–48. [Google Scholar] [CrossRef]
  150. Mahdavian, A.R.; Mirrahimi, M.A.-S. Efficient separation of heavy metal cations by anchoring polyacrylic acid on superparamagnetic magnetite nanoparticles through surface modification. Chem. Eng. J. 2010, 159, 264–271. [Google Scholar] [CrossRef]
  151. Wang, X.; Cai, W.; Lin, Y.; Wang, G.; Liang, C. Mass production of micro/nanostructured porous ZnO plates and their strong structurally enhanced and selective adsorption performance for environmental remediation. J. Mater. Chem. 2010, 20, 8582–8590. [Google Scholar] [CrossRef]
  152. Recillas, S.; Colón, J.; Casals, E.; González, E.; Puntes, V.; Sánchez, A.; Font Segura, X. Chromium VI adsorption on cerium oxide nanoparticles and morphology changes during the process. J. Hazard. Mater. 2010, 184, 425–431. [Google Scholar] [CrossRef] [PubMed]
  153. Mahdavi, S.; Jalali, M.; Afkhami, A. Heavy metals removal from aqueous solutions using TiO2, MgO, and Al2O3 nanoparticles. Chem. Eng. Commun. 2013, 200, 448–470. [Google Scholar] [CrossRef]
  154. Wang, H.-Q.; Yang, G.; Li, Q.Y.; Zhong, X.X.; Wang, F.P.; Li, Z.-S.; Li, Y. Porous nano-MnO2: Large scale synthesis via a facile quick-redox procedure and application in a supercapacitor. New J. Chem. 2011, 35, 469–475. [Google Scholar] [CrossRef]
  155. Pakarinen, J.; Koivula, R.; Laatikainen, M.; Laatikainen, K.; Paatero, E.; Harjula, R. Nanoporous manganese oxides as environmental protective materials—Effect of Ca and Mg on metals sorption. J. Hazard. Mater. 2010, 180, 234–240. [Google Scholar] [CrossRef]
  156. Shao, L.; Liu, L.; Cheng, S.X.; Huang, Y.D.; Ma, J. Comparison of diamino cross-linking in different polyimide solutions and membranes by precipitation observation and gas transport. J. Membr. Sci. 2008, 312, 174–185. [Google Scholar] [CrossRef]
  157. Xiao, Z.; Zhang, H.; Xu, Y.; Yuan, M.; Jing, X.; Huang, J.; Li, Q.; Sun, D. Ultra-efficient removal of chromium from aqueous medium by biogenic iron based nanoparticles. Sep. Purif. Technol. 2017, 174, 466–473. [Google Scholar] [CrossRef]
  158. Sikder, M.T.; Yoshihiro, M.; Islam, M.; Saito, T.; Tanaka, S.; Kurasaki, M. Preparation and characterization of chitosan–caboxymethyl-β-cyclodextrin entrapped nanozero-valent iron composite for Cu (II) and Cr (IV) removal from wastewater. Chem. Eng. J. 2014, 236, 378–387. [Google Scholar] [CrossRef]
  159. Cai, X.; Gao, Y.; Sun, Q.; Chen, Z.; Mallavarapu, M.; Naidu, R. Removal of co-contaminants Cu (II) and nitrate from aqueous solution using kaolin-Fe/Ni nanoparticles. Chem. Eng. J. 2014, 244, 19–26. [Google Scholar] [CrossRef]
  160. Sounthararajah, D.; Loganathan, P.; Kandasamy, J.; Vigneswaran, S. Adsorptive removal of heavy metals from water using sodium titanate nanofibres loaded onto GAC in fixed-bed columns. J. Hazard. Mater. 2015, 287, 306–316. [Google Scholar] [CrossRef]
  161. Gupta, V.K.; Chandra, R.; Tyagi, I.; Verma, M. Removal of hexavalent chromium ions using CuO nanoparticles for water purification applications. J. Colloid Interface Sci. 2016, 478, 54–62. [Google Scholar] [CrossRef]
  162. Verma, M.; Tyagi, I.; Chandra, R.; Gupta, V. Adsorptive removal of Pb (II) ions from aqueous solution using CuO nanoparticles synthesized by sputtering method. J. Mol. Liq. 2017, 225, 936–944. [Google Scholar] [CrossRef]
  163. Zhu, X.; Song, T.; Lv, Z.; Ji, G. High-efficiency and low-cost α-Fe2O3 nanoparticles-coated volcanic rock for Cd (II) removal from wastewater. Process Saf. Environ. Prot. 2016, 104, 373–381. [Google Scholar] [CrossRef]
  164. Yari, S.; Abbasizadeh, S.; Mousavi, S.E.; Saei Moghaddam, M.; Moghaddam, A. Adsorption of Pb (II) and Cu (II) ions from aqueous solution by an electrospun CeO2 nanofiber adsorbent functionalized with mercapto groups. Process Saf. Environ. Prot. 2015, 94, 159–171. [Google Scholar] [CrossRef]
  165. Hallaji, H.; Keshtkar, A.R.; Moosavian, M.A. A novel electrospun PVA/ZnO nanofiber adsorbent for U (VI), Cu (II) and Ni (II) removal from aqueous solution. J. Taiwan Inst. Chem. Eng. 2015, 46, 109–118. [Google Scholar] [CrossRef]
  166. Ren, T.; He, P.; Niu, W.; Wu, Y.; Ai, L.; Gou, X. Synthesis of α-Fe2O3 nanofibers for applications in removal and recovery of Cr (VI) from wastewater. Environ. Sci. Pollut. Res. 2013, 20, 155–162. [Google Scholar] [CrossRef] [PubMed]
  167. Chu, T.P.M.; Nguyen, N.; Vu, T.; Dao, H.; Dinh, L.; Nguyen, H.; Hoang, T.; Thanh Son, L.; Duc, P. Synthesis, characterization, and modification of alumina nanoparticles for cationic dye removal. Materials 2019, 12, 450. [Google Scholar] [CrossRef]
  168. Hojamberdiev, M.; Daminova, S.; Kadirova, Z.; Sharipov, K.; Mtalo, F.; Hasegawa, M. Ligand-immobilized spent alumina catalyst for effective removal of heavy metal ions from model contaminated water. J. Environ. Chem. Eng. 2018, 6, 4623–4633. [Google Scholar] [CrossRef]
  169. Ghaemi, N. A new approach to copper ion removal from water by polymeric nanocomposite membrane embedded with γ-alumina nanoparticles. Appl. Surf. Sci. 2016, 364, 221–228. [Google Scholar] [CrossRef]
  170. Dehghani, M.H.; Salari, M.; Heidarinejad, Z.; Sillanpää, M. Adsorptive removal of cobalt (II) from aqueous solutions using multi-walled carbon nanotubes and γ-alumina as novel adsorbents: Modelling and optimization based on response surface methodology and artificial neural network. J. Mol. Liq. 2020, 299, 112154. [Google Scholar] [CrossRef]
  171. Kumari, V.; Tripathi, A. Remediation of heavy metals in pharmaceutical effluent with the help of Bacillus cereus-based green-synthesized silver nanoparticles supported on alumina. Appl. Nanosci. 2020, 10, 1709–1719. [Google Scholar] [CrossRef]
  172. Nguyen, T.M.T.; Do, T.; Hoang, T.; Nguyen, N.; Pham, H.; Nguyen, T.; Pham, M.; Thanh Son, L.; Duc, P. Adsorption of anionic surfactants onto alumina: Characteristics, mechanisms, and application for heavy metal removal. Int. J. Polym. Sci. 2018, 2018, 2830286. [Google Scholar] [CrossRef]
  173. Khobragade, M.; Pal, A. Adsorptive removal of Mn (II) from water and wastewater by surfactant-modified alumina. Desalination Water Treat. 2016, 57, 2775–2786. [Google Scholar] [CrossRef]
  174. Li, Y.; He, J.; Zhang, K.; Liu, T.; Hu, Y.; Chen, X.; Huang, X.; Kong, L.; Liu, J. Super rapid removal of copper, cadmium and lead ions from water by NTA-silica gel. RSC Adv. 2019, 9, 397–407. [Google Scholar] [CrossRef] [PubMed]
  175. Kotsyuda, S.S.; Tomina, V.; Zub, Y.; Furtat, I.; Lebed-Phothisane, A.; Vaclavikova, M.; Melnyk, I. Bifunctional silica nanospheres with 3-aminopropyl and phenyl groups. Synthesis approach and prospects of their applications. Appl. Surf. Sci. 2017, 420, 782–791. [Google Scholar] [CrossRef]
  176. Najafi, M.; Yousefi, Y.; Rafati, A. Synthesis, characterization and adsorption studies of several heavy metal ions on amino-functionalized silica nano hollow sphere and silica gel. Sep. Purif. Technol. 2012, 85, 193–205. [Google Scholar] [CrossRef]
  177. Yang, Z.; Chen, X.; Li, S.; Ma, W.; Li, Y.; He, Z.; Hu, H. Effective removal of Cr (VI) from aqueous solution based on APTES modified nanoporous silicon prepared from kerf loss silicon waste. Environ. Sci. Pollut. Res. 2020, 27, 10899–10909. [Google Scholar] [CrossRef]
  178. Yen, C.-H.; Lien, H.-L.; Chung, J.-S.; Yeh, H.-D. Adsorption of precious metals in water by dendrimer modified magnetic nanoparticles. J. Hazard. Mater. 2017, 322, 215–222. [Google Scholar] [CrossRef]
  179. Zhang, X.; Cheng, T.; Chen, C.; Wang, L.; Deng, Q.; Chen, G.; Ye, C. Synthesis of a novel magnetic nano-zeolite and its application as an efficient heavy metal adsorbent. Mater. Res. Express 2020, 7, 085007. [Google Scholar] [CrossRef]
  180. Ghorai, S.; Sarkar, A.; Raoufi, M.; Panda, A.; Schönherr, H.; Pal, S. Enhanced removal of methylene blue and methyl violet dyes from aqueous solution using a nanocomposite of hydrolyzed polyacrylamide grafted xanthan gum and incorporated nanosilica. ACS Appl. Mater. Interfaces 2014, 6, 4766–4777. [Google Scholar] [CrossRef]
  181. Aravindhan, R.; Rao, J.R.; Nair, B.U. Removal of basic yellow dye from aqueous solution by sorption on green alga Caulerpa scalpelliformis. J. Hazard. Mater. 2007, 142, 68–76. [Google Scholar] [CrossRef]
  182. Sarı, A.; Tuzen, M.; Soylak, M. Adsorption of Pb (II) and Cr (III) from aqueous solution on Celtek clay. J. Hazard. Mater. 2007, 144, 41–46. [Google Scholar] [CrossRef] [PubMed]
  183. Kumar, K.Y.; Muralidhara, H.B.; Nayaka, Y.A.; Balasubramanyam, J.; Hanumanthappa, H.H. Low-cost synthesis of metal oxide nanoparticles and their application in adsorption of commercial dye and heavy metal ion in aqueous solution. Powder Technol. 2013, 246, 125–136. [Google Scholar] [CrossRef]
  184. Giraldo, L.; Erto, A.; Moreno-Piraján, J.C. Magnetite nanoparticles for removal of heavy metals from aqueous solutions: Synthesis and characterization. Adsorption 2013, 19, 465–474. [Google Scholar] [CrossRef]
  185. Nithya, K.; Sathish, A.; Ponnusamy, S.K.; Ramachandran, T. Fast kinetics and high adsorption capacity of green extract capped superparamagnetic iron oxide nanoparticles for the adsorption of Ni (II) ions. J. Ind. Eng. Chem. 2018, 59, 230–241. [Google Scholar] [CrossRef]
  186. Zhu, Q.; Li, Z. Hydrogel-supported nanosized hydrous manganese dioxide: Synthesis, characterization, and adsorption behavior study for Pb2+, Cu2+, Cd2+ and Ni2+ removal from water. Chem. Eng. J. 2015, 281, 69–80. [Google Scholar] [CrossRef]
  187. Pourjavadi, A.; Abedin-Moghanaki, A.; Hosseini, S. Synthesis of poly (amidoamine)-graft-poly (methyl acrylate) magnetic nanocomposite for removal of lead contaminant from aqueous media. Int. J. Environ. Sci. Technol. 2016, 13, 2437–2448. [Google Scholar] [CrossRef][Green Version]
  188. Hayati, B.; Maleki, A.; Najafi, F.; Gharibi, F.; Mckay, G.; Gupta, V.; Shivaraju, H.P.; Marzban, N. Heavy metal adsorption using PAMAM/CNT nanocomposite from aqueous solution in batch and continuous fixed bed systems. Chem. Eng. J. 2018, 346, 258–270. [Google Scholar] [CrossRef]
  189. Padmavathy, K.; Madhu, G.; Haseena, P. A study on effects of pH, adsorbent dosage, time, initial concentration and adsorption isotherm study for the removal of hexavalent chromium (Cr (VI)) from wastewater by magnetite nanoparticles. Procedia Technol. 2016, 24, 585–594. [Google Scholar] [CrossRef]
  190. Solomon, T. The definition and unit of ionic strength. J. Chem. Educ. 2001, 78, 1691. [Google Scholar] [CrossRef]
  191. Musso, T.B.; Parolo, M.E.; Pettinari, G.R. pH, ionic strength, and ion competition effect on Cu (II) and Ni (II) sorption by a Na-bentonite used as liner material. Pol. J. Environ. Stud. 2019, 28, 2299–2309. [Google Scholar] [CrossRef]
Figure 1. SEM images of HDI-IC-DETA and HDI-IC-PEHA. Adapted with permission from [96].
Figure 1. SEM images of HDI-IC-DETA and HDI-IC-PEHA. Adapted with permission from [96].
Environments 09 00123 g001
Figure 2. Deacetylation of chitin to chitosan. Adapted with permission from [106].
Figure 2. Deacetylation of chitin to chitosan. Adapted with permission from [106].
Environments 09 00123 g002
Figure 3. Effect of contact time on the adsorption of Pb 2+, Mn2+, Cu2+ and Zn2+ ions using magnetic Fe3O4 nanoparticles. T = 298 K, pH 5.5, adsorbent dosage = 200 mg, Vsolution = 50 mL, Initial metal ions concentration = 150 mg/L. Adapted with permission from [184].
Figure 3. Effect of contact time on the adsorption of Pb 2+, Mn2+, Cu2+ and Zn2+ ions using magnetic Fe3O4 nanoparticles. T = 298 K, pH 5.5, adsorbent dosage = 200 mg, Vsolution = 50 mL, Initial metal ions concentration = 150 mg/L. Adapted with permission from [184].
Environments 09 00123 g003
Figure 4. pH solution correlation with adsorption capacity of Cd2+, Pb2+, Cu2+, and Ni2+. Adapted with permission from [186].
Figure 4. pH solution correlation with adsorption capacity of Cd2+, Pb2+, Cu2+, and Ni2+. Adapted with permission from [186].
Environments 09 00123 g004
Table 2. Some latest applications of zeolite nanoparticles for heavy metals removal from aquatic solutions.
Table 2. Some latest applications of zeolite nanoparticles for heavy metals removal from aquatic solutions.
Zeolite TypeHeavy Metal Capacity Removal (mg/g) and /or Percentage RemovalReference
Magnetic nano-zeoliteCu2+59.9 mg/g,[78]
Cd+188.6 mg/g
Pb2+909.1 mg/g
Synthetic zeolite-based modified bio-slagCs2+51.02 mg/g (97%)[79]
4A zeolite
4A zeolite/Almond shells carbon
4A zeolite/Walnut shells carbon
Co2+99.525 mg/g[77]
Co2+235.175 mg/g
Co2+202.887 mg/g
Hydroxysodalite zeolite nanoparticlesZn2+8.53 mg/g, 66%[76]
Clinoptilolite modified by HClCd2+85.9%[66]
Pb2+98.9%
Synthesized 3A ZeolitePb2+14.56 mg/g (98%.)[80]
Copper doped zeoliteCr3+100%[81]
Pb2+100%
Cd2+99.37%
Synthesized zeolite AMg2+8.4 mg/g (62.6%),[82]
K+11.4 mg/g (50.6%)
Ca2+27.0 mg/g (100%)
Cr3+27.0 mg/g (100%)
Mn2+34.7 mg/g (100%)
Fe3+34.5 mg/g (98.4%)
Ni2+38.9 mg/g (100%)
Cu2+44.2 mg/g (100%)
Zn2+43.6 mg/g (100%)
Ag+66.3 mg/g (100%)
Pb2+115.9 mg/g (100%)
Zeolitic imidazolate framework (ZIF-90)Hg2+900 mg/g (99%)[83]
Zeolite Nanoparticles Impregnated Polysulfone MembranesCu2+682 mg/g (91%)[74]
Ni2+122 mg/g (42%)
Synthesis of needle-like nanocrystalline zeolites from metakaolinCu2+431.0 ± 27.5 mg/g[84]
Pb2+37.8 ± 19.7 mg/g
Table 3. The capacity of adsorption and removal efficiency for various heavy metals using different nanomaterials.
Table 3. The capacity of adsorption and removal efficiency for various heavy metals using different nanomaterials.
Adsorbent NanomaterialTarget IonsTemperature
(K)
pHContact
Time
(min)
Ion
Concentration (mg/L)
The Capacity of Adsorption and (Removal)Reference
Magnetic-ZIF-90-Cysteine
(M-ZIF-90-C)
Hg2+29841080500900 mg/g
(99%)
[80]
Chitosan–alginate nanoparticles (CANPs)Hg2+3035904217.39 mg/g
(89%)
[98]
8-hydroxyquinoline MWCNTs (8-HQ-MWCNTs)Pb2+29861200.050.064 mg/g
(95.1%)
[40]
Third-generation dendrimers (MNP-G3)Pb2+2986.530202.71 mg/g
(63%)
[178]
Fe3O4@APS@AA-co-CA MNPsPb2+2985.54520–450166.1
(98%)
[131]
GO/Fe3O4/LA/EDTAPb2+2935105280120.18 mg/L
(57%)
[128]
Magnetic nano-zeolite (MNZ@MS)Pb2+298960500476.1 mg/g
(19%)
[179]
Magnetic nanocomposite particles (MNCPs)Pb2+2985291053.33 mg/g
100%
[114]
1,2,3-triazole functionalized magnetic nanoparticles (MNP-Trz)Pb2+2985.5240400167.78 mg/g
(66%)
[123]
1,2,3-triazole functionalized magnetic nanoparticles and silica coated MNP homologous (MNPS-Trz)Pb2+2985.5240400145.1 mg/g
(64%)
[123]
Carboxymethyl cellulose-immobilized Fe3O4 nanoparticles
(CMC-Fe3O4)
Pb2+2986720200152.0 mg/g
(68.4%),
[141]
MWCNTs–IDACd2+298860 min1–632 mg/g
(34%)
[41]
8-HQ-MWCNTsCd2+29861200.050.011 mg/g
(40%)
[40]
Fe3O4/MnO2Cd2+2986.3301053.2 mg/g
(95%)
[115]
MNZ@MSCd2+298960180188.9 mg/g
(70%)
[179]
MNCPsCd2+2985201048.53 mg/g
(91%)
[114]
Fe3O4@APS@AA-co-CA MNPsCd2+2985.54520–45029.6 mg/g
(78%)
[131]
8-HQ-MWCNTs)Cu2+29861200.050.080 mg/g
(99.53%)
[40]
(MNZ@MS)Cu2+29896050059.9 mg/g
(44%)
[179]
Fe3O4@APS@AA-co-CA MNPsCu2+2985.54520–450126.6 mg/g
(83%)
[131]
MNP-TrzCu2+2985.524040087.87 mg/g
(78%)
[123]
CS–NZVI–CMβ-CDCu2+2986360100250 mg/g
(95.8%)
[155]
8-HQ-MWCNTsZn2+29861200.050.063 mg/g
(94%)
[40]
MnFe2O4 MNPsZn2+2986120100454.5 mg/g
(63%)
[119]
CoFe2O4 MNPsZn2+2986120100384.6 mg/g
(58%)
[119]
MNP-TrzZn2+2985.524040051.20 mg/g
(87%)
[123]
Fe3O4@APS@AA-co-CA MNPsZn2+2985.54520–45043.3
(83%)
[131]
Chitosan-based magnetic adsorbent CMC@Fe3O4As+33033203020.1 mg/g
(33%)
[142]
Fe3O4/SiO2/CS-TETACr6+2982.5240150254.6 mg/g
(96.4%)
[136]
CeO2 nanoparticlesCr6+2987180801.88 mg/g
(75%)
[149]
Biogenic SJA-Fe nanoparticlesCr6+3335.512050983.2 mg/g
(99.45%)
[154]
CS–NZVI–CMβ-CDCr6+2986360100200 mg/g
(79.7%)
[155]
CuO nanoparticlesCr6+29831802013.1 mg/g
(65.6%)
[158]
Publisher’s Note: MDPI stays neutral with regard to jurisdictional claims in published maps and institutional affiliations.

Share and Cite

MDPI and ACS Style

Ethaib, S.; Al-Qutaifia, S.; Al-Ansari, N.; Zubaidi, S.L. Function of Nanomaterials in Removing Heavy Metals for Water and Wastewater Remediation: A Review. Environments 2022, 9, 123. https://doi.org/10.3390/environments9100123

AMA Style

Ethaib S, Al-Qutaifia S, Al-Ansari N, Zubaidi SL. Function of Nanomaterials in Removing Heavy Metals for Water and Wastewater Remediation: A Review. Environments. 2022; 9(10):123. https://doi.org/10.3390/environments9100123

Chicago/Turabian Style

Ethaib, Saleem, Sarah Al-Qutaifia, Nadhir Al-Ansari, and Salah L. Zubaidi. 2022. "Function of Nanomaterials in Removing Heavy Metals for Water and Wastewater Remediation: A Review" Environments 9, no. 10: 123. https://doi.org/10.3390/environments9100123

APA Style

Ethaib, S., Al-Qutaifia, S., Al-Ansari, N., & Zubaidi, S. L. (2022). Function of Nanomaterials in Removing Heavy Metals for Water and Wastewater Remediation: A Review. Environments, 9(10), 123. https://doi.org/10.3390/environments9100123

Note that from the first issue of 2016, this journal uses article numbers instead of page numbers. See further details here.

Article Metrics

Back to TopTop