Study on the Effects of Artificial Trapezoidal Freezing Soil Mass on the Stability of Large-Diameter Shield Tunnel Portal
Abstract
1. Introduction
2. Project Profile
3. Theoretical Analysis of Tunnel Portal Stability
4. Three-Dimensional Numerical Simulation on the Influences of Trapezoidal Freezing Soil Mass on Tunnel Portal Displacement
4.1. Model Establishment
4.2. Model Validation
4.2.1. Deformation of the Unreinforced Tunnel Portal
4.2.2. Portal Deformation of the Wuhu River-Crossing Tunnel
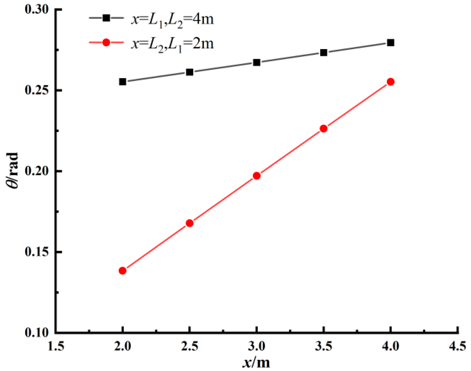
4.3. Influences of Upper and Lower Side Dimensions of Trapezoidal Freezing Soil Mass on the Portal Deformation
4.3.1. Influences of the Lower Side Length on the Portal Deformation
4.3.2. Influences of the Upper Side Length on the Portal Deformation
5. The Application of Trapezoidal Freezing Soil Mass in the Wuhu River-Crossing Tunnel
6. Conclusions
- When the longitudinal length of the freezing soil mass is less than the tunnel diameter, the tunnel portal stability is improved significantly, with the longitudinal reinforcement length increasing. When the longitudinal reinforcement length is greater than the tunnel diameter, the tunnel portal’s stability is not improved significantly with the increase in longitudinal reinforcement length.
 - The lower side length of the trapezoidal freezing soil mass has a greater influence on the deformation of the portal than the upper side length of the trapezoidal freezing soil mass. The decreased value of the maximum tunnel portal displacement with the increase in the lower side length is more than five times that with the increase in the upper side length.
 - For the Wuhu River-Crossing Tunnel end reinforcement, the trapezoidal freezing soil mass is more effective than the rectangular freezing soil mass. The trapezoidal freezing soil mass can be used to replace the rectangular freezing soil mass in order to reinforce the tunnel end.
 
Author Contributions
Funding
Institutional Review Board Statement
Informed Consent Statement
Data Availability Statement
Acknowledgments
Conflicts of Interest
References
- Wang, M.S.; Tan, Z.S. Construction Technology of Tunnel and Underground Engineering in China. Chin. Eng. Sci. 2010, 12, 1–112. (In Chinese) [Google Scholar]
 - Zhang, F.X.; Zhu, H.H.; Fu, D.M. Shield Tunnel; China Communications Press: Beijing, China, 2004. [Google Scholar]
 - Einstein, H.H. Risk and risk analysis in rock engineering. Tunn. Undergr. Technol. 1996, 11, 141–155. [Google Scholar] [CrossRef]
 - Nakamura, H.; Kubota, T.; Furukawa, M.; Nakao, T. Unified construction of running track tunnel and crossover tunnel for subway by rectangular shape double track cross-section shield machine. Tunn. Undergr. Space Technol. 2003, 18, 253–262. [Google Scholar] [CrossRef]
 - Yamaguchi, I.; Yamazaki, I.; Kiritani, Y. Study of ground-tunnel interactions of four shield tunnels driven in close proximity, in relation to design and construction of parallel shield tunnels. Tunn. Undergr. Space Technol. 1998, 13, 289–304. [Google Scholar] [CrossRef]
 - Snel, A.J.M.; Van Hasselt, D.R.S. Risk management in the Amsterdam north/south metroline, a matter of process-communication instead of calculation. In Proceedings of the World Tunnel Congress’ 99 Challenges for the 21st Century, Oslo, Norway, 31 May–3 June 1999; Volume 5, pp. 179–186. [Google Scholar]
 - Chambon, P.; Corte, J.F. Shallow tunnels in cohesionless soil: Stability of tunnel face. J. Geotech. Eng. 1994, 120, 1148. [Google Scholar] [CrossRef]
 - Leca, E.; Dormieux, L. Upper and lower bound solutions for the face stability of shallow circular tunnels in frictional material. Geotechnique 1990, 40, 581–606. [Google Scholar] [CrossRef]
 - Anagnostou, G.; Kovari, K. Face stability in slurry and EPB shield tunneling. In Proceedings of the International Symposium on Geotechnical Aspects of Underground Construction in Soft Ground, London, UK, 15–17 April 1996; Volume 28, pp. 35–42. [Google Scholar]
 - Wei, L.W.; Wu, T.; Zhang, Q.H. Analysis of soil stability in the exit section of large-diameter shield tunnels. Low Temp. Build. Technol. 2006, 110, 85–86. (In Chinese) [Google Scholar]
 - Meguid, M.A.; Mattar, J. Investigation of tunnel-soil-pile interaction in cohesive soils. J. Geotech. Geoenviron. Eng. 2009, 135, 973–979. [Google Scholar] [CrossRef]
 - Qiu, P.; Li, P.T.; Hu, J.; Liu, Y. Modeling Seepage Flow and Spatial Variability of Soil Thermal Conductivity during Artificial Ground Freezing for Tunnel Excavation. Appl. Sci. 2021, 11, 6275. [Google Scholar] [CrossRef]
 - Phillips, M.; Ing, H.F.; Raafat, I. Use of artificial ground freezing in construction of cross passages under Suez Canal. Geomech. Tunn. 2021, 14, 298–307. [Google Scholar] [CrossRef]
 - Sun, J.L.; Chen, X.Z.; Qiu, M.M.; Cao, X.Y.; Chen, S.J. Physical Model Test of Artificial Freezing-Inclined Shaft. Adv. Civ. Eng. 2021, 2021, 6640722. [Google Scholar] [CrossRef]
 - Rojo, J.L.; Novillo, A.; Alocen, J.R. Soil freezing for the Valencia underground railway work. Int. Symp. Ground Freez. 1991, 1, 359–367. [Google Scholar]
 - Jordan, P.; Hass, H.; JESSBERGER, H. Use of artificial ground freezing in three sections of the Düsseldorf subway. In Proceedings of the Ground Freezing 94, Seventh International Symposium on Ground Freezing, Nancy, France, 24–28 October 1994; Volume 10, pp. 327–339. [Google Scholar]
 - Li, J.; Li, J.K.; Cai, Y.C.; Wu, D.Y.; Guo, C.X.; Zhao, W.C.; Tang, K.J.; Liu, Y.H. Application of Artificial Freezing Method in Deformation Control of Subway Tunnel. Adv. Mater. Sci. Eng. 2022, 2022, 3251318. [Google Scholar] [CrossRef]
 - Hu, X.; Deng, S. Ground freezing application of intake installing construction of an underwater tunnel. Procedia Eng. 2016, 165, 633–640. [Google Scholar] [CrossRef]
 - Yang, P.; She, C.G.; Dong, C.W.; Ke, J.M.; Zhang, T. Application of artificial freezing method in Zhangfuyuan Station of Nanjing Metro. Geomechanics 2003, 24, 388–391. (In Chinese) [Google Scholar]
 - Russo, G.; Corbo, A.; Cavuoto, F.; Autuori, S. Artificial ground freezing to excavate a tunnel in sandy soil. Tunn. Undergr. Space Technol. 2015, 50, 226–238. [Google Scholar] [CrossRef]
 - Han, L.; Ye, G.; Li, Y.; Xia, X.; Wang, J. In situ monitoring of frost heave pressure during cross-passage construction using ground-freezing method. Can. Geotech. J. 2015, 53, 530–539. [Google Scholar] [CrossRef]
 - Zhang, T.; Yang, P.; Zhang, Y.X. Investigation of Frost-Heaving Characteristics of Horizontal- Cup-Shape Frozen Ground Surface for Reinforced End Soil Mass in Shield Tunnel Construction. Period. Polytech. Civ. Eng. 2017, 61, 541–547. [Google Scholar] [CrossRef]
 - Chen, J.H. Study on the Frost Heave Characteristics of Artificial Frozen Soil Under Different Freezing Modes. Appl. Mech. Mater. 2012, 1975, 599–603. [Google Scholar] [CrossRef]
 - An, Y.L.; Peng, L.M.; Zhang, F.; Wu, B. Discussion on monitoring and control standard of surface settlement during tunnel construction. Rock Soil Mech. 2009, 30, 446–451. (In Chinese) [Google Scholar]
 - Hu, J. Research on Reinforcement Method and Key Problems of Shield Tunnel End in Suzhou Metro; Nan Jing, Forestry University: Nanjing, China, 2009. [Google Scholar]
 


















| Soil Horizons | Elastic Modulus E/MPa | Poisson’s Ratio v | Volume Weight γ/(kN/m3) | Cohesion c/kPa | Internal Friction Angle φ/(°) | Soil Thickness/m | 
|---|---|---|---|---|---|---|
| Silty clay | 6.2 | 0.32 | 17.1 | 12 | 6 | 1 | 
| Muddy silty clay | 10.0 | 0.30 | 18.4 | 15 | 22 | 7.5 | 
| Silt | 20.6 | 0.28 | 19.5 | 2 | 27 | 18 | 
| Fine sand | 25.0 | 0.28 | 20.0 | 3 | 30 | 20.5 | 
| Medium-weathered siltstone | 21 × 10³ | 0.23 | 21.9 | 15 × 10³ | 38 | 22.93 | 
| Cement-Reinforced Soil Layer | Elastic Modulus E/MPa | Poisson’s Ratio v | Internal Friction Angle φ/(°) | Cohesion c/kPa | Tensile Strength σt/MPa | Volume Weight γ/(kN/m3) | 
|---|---|---|---|---|---|---|
| Silty clay | 50.4 | 0.3 | 26.2 | 120 | 0.028 | 18.0 | 
| Muddy silty clay | 83.16 | 0.28 | 40.1 | 150 | 0.074 | 19.0 | 
| Sand | 165.2 | 0.25 | 50.1 | 300 | 0.085 | 20.0 | 
| Freezing Cement-Soil | Elastic Modulus E/MPa | Poisson’s Ratio v | Internal Friction Angle φ/(°) | Cohesion c/kPa | Tensile Strength σt/MPa | Volume Weight γ/(kN/m3) | 
|---|---|---|---|---|---|---|
| Silty clay | 170 | 0.3 | 40.25 | 300 | 0.096 | 20.0 | 
| Muddy silty clay | 299.02 | 0.28 | 53.2 | 400 | 0.265 | 21.0 | 
| Sand | 684.46 | 0.25 | 61.8 | 700 | 0.352 | 22.0 | 
| Maximum y-Direction Displacement | Maximum x-Direction Displacement | Maximum z-Direction Displacement | |
|---|---|---|---|
| trapezoidal freezing soil mass | 6.64 mm | 1.27 mm | 1.30 mm | 
| rectangular freezing soil mass | 9.24 mm | 1.86 mm | 1.67 mm | 
Publisher’s Note: MDPI stays neutral with regard to jurisdictional claims in published maps and institutional affiliations.  | 
© 2022 by the authors. Licensee MDPI, Basel, Switzerland. This article is an open access article distributed under the terms and conditions of the Creative Commons Attribution (CC BY) license (https://creativecommons.org/licenses/by/4.0/).
Share and Cite
Peng, S.; Xiong, F.; Yang, F.; Hu, L.; Wang, X.; Li, F. Study on the Effects of Artificial Trapezoidal Freezing Soil Mass on the Stability of Large-Diameter Shield Tunnel Portal. Appl. Sci. 2022, 12, 12250. https://doi.org/10.3390/app122312250
Peng S, Xiong F, Yang F, Hu L, Wang X, Li F. Study on the Effects of Artificial Trapezoidal Freezing Soil Mass on the Stability of Large-Diameter Shield Tunnel Portal. Applied Sciences. 2022; 12(23):12250. https://doi.org/10.3390/app122312250
Chicago/Turabian StylePeng, Shuai, Feng Xiong, Fan Yang, Li Hu, Xuebin Wang, and Fan Li. 2022. "Study on the Effects of Artificial Trapezoidal Freezing Soil Mass on the Stability of Large-Diameter Shield Tunnel Portal" Applied Sciences 12, no. 23: 12250. https://doi.org/10.3390/app122312250
APA StylePeng, S., Xiong, F., Yang, F., Hu, L., Wang, X., & Li, F. (2022). Study on the Effects of Artificial Trapezoidal Freezing Soil Mass on the Stability of Large-Diameter Shield Tunnel Portal. Applied Sciences, 12(23), 12250. https://doi.org/10.3390/app122312250
        
