Blockchain Traceability Adoption in Agricultural Supply Chain Coordination: An Evolutionary Game Analysis
Abstract
1. Introduction
2. Literature Review and Theoretical Framework
2.1. The Mechanisms of Blockchains
| Authors | Fields | Highlights | Methods |
|---|---|---|---|
| Walsh et al. [20] | Financial services | Examined managers’ resistance to the adoption of blockchain-based systems in financial services | Qualitative study |
| Wang and Su [21] | Energy | Analyzed the application of blockchain in energy sectors to promote trust between entities | Bibliometric analysis |
| Tanwar, Parekh and Evans [4] | Healthcare | Built a healthcare record sharing system with blockchain for efficiency and security | Experimental analysis |
| Kayikci et al. [22] | Food supply chain | Investigated blockchain technology resolving traceability, trust, and accountability in the food industry | Systematic literature review and case interviews |
| Centobelli et al. [23] | Sustainability | Incorporated a closed-loop recovery framework into blockchain platforms | Case study |
| Kittipanya-ngam and Tan [24] | Agriculture | Discussed the practice of blockchain in digitalization for agri-food supply chains | Interviews |
| Liu and Li [25] | E-commerce | Presented a general framework for product traceability in cross-border e-commerce supply chains based on blockchain | Experimental analysis |
2.2. Blockchain-Based Traceability in Agri-Food Supply Chain
2.3. Evolutionary Game Theory
3. Materials and Methods
3.1. Model Assumption
3.2. Replicator Dynamic
3.2.1. Expected Payoffs and Strategy Stability Analysis of Producers
3.2.2. Expected Payoffs and Strategy Stability Analysis of Processors
3.2.3. Expected Payoffs and Strategy Stability Analysis of Local Governments
3.3. Analysis of ESS
4. Numerical Simulation
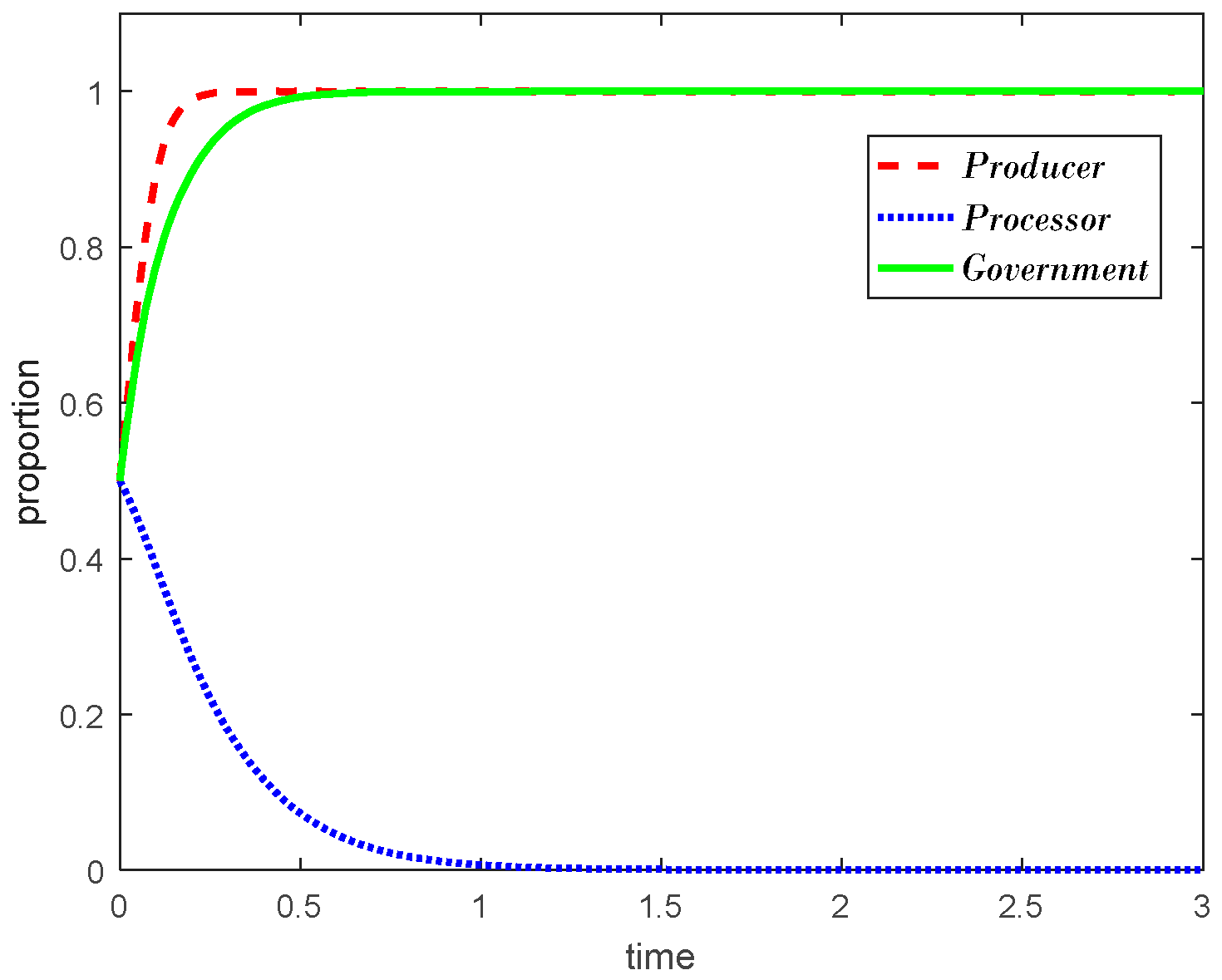
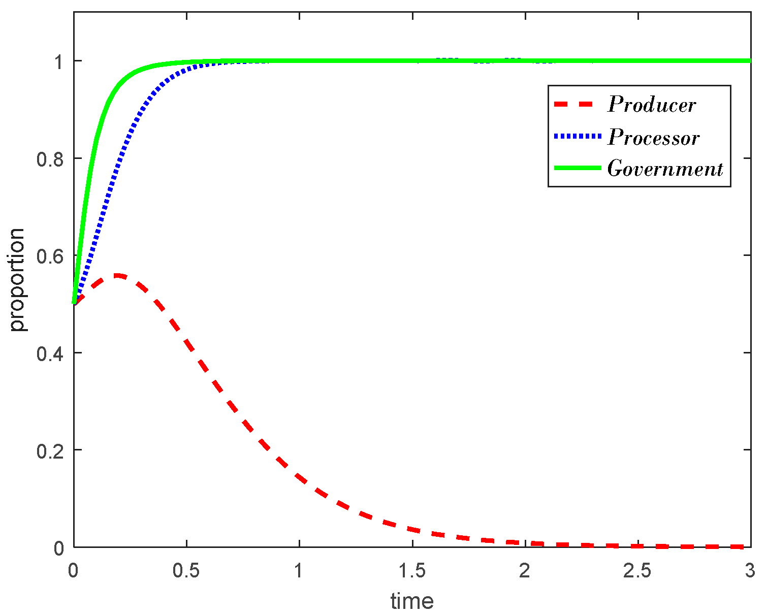
4.1. Results of Analysis
4.2. Influence of Traceability Benefits
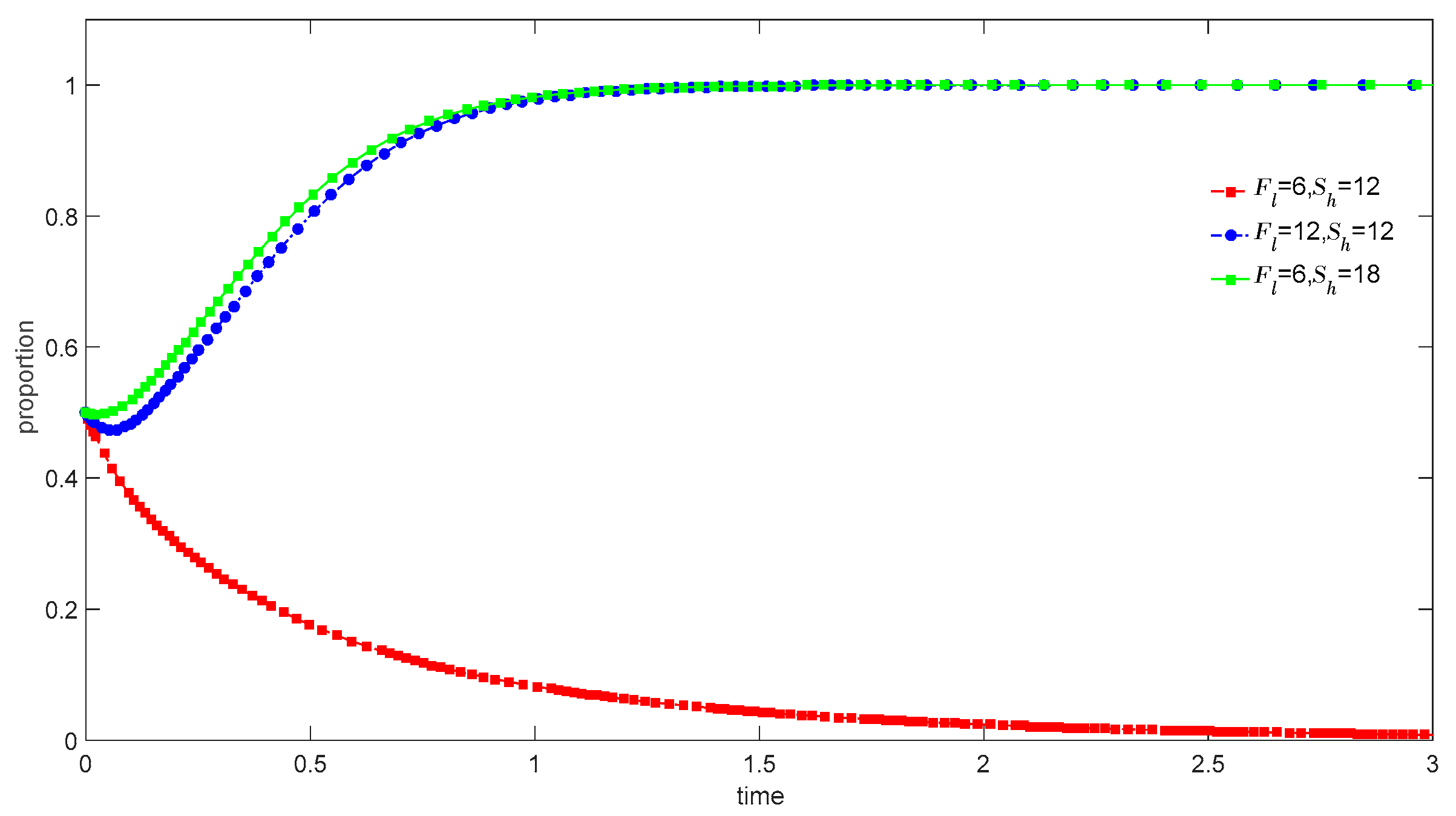
4.3. Influence of Traceability Costs
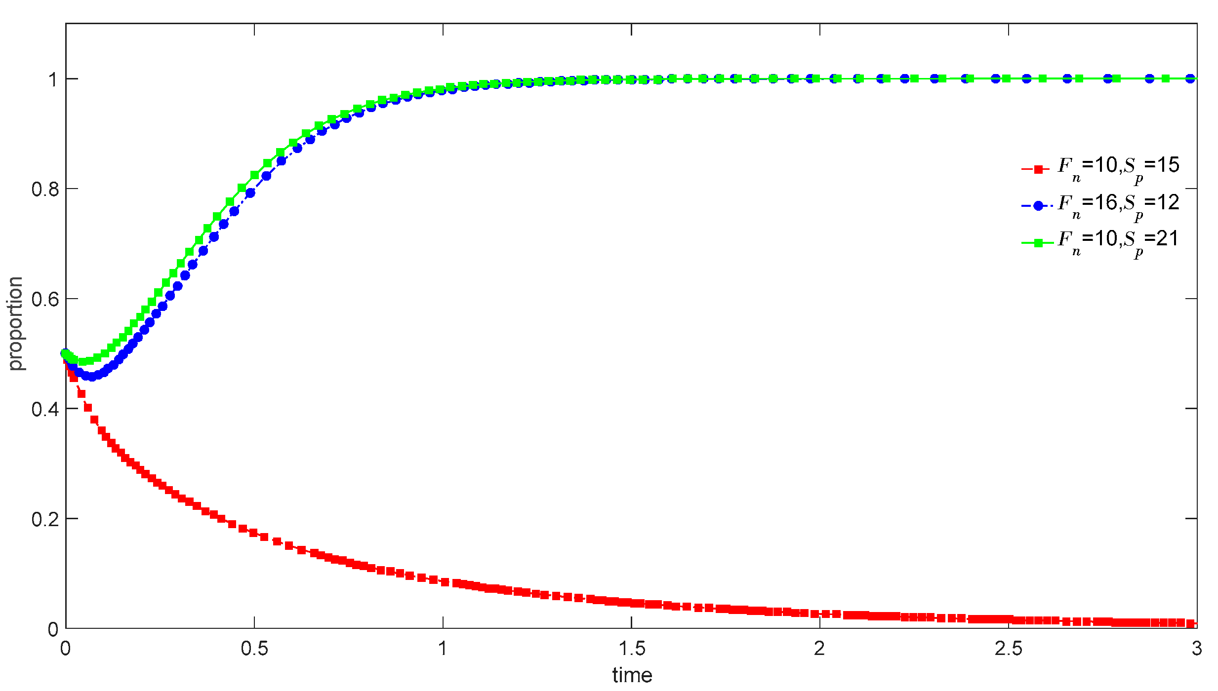
4.4. Influence of Free-Riding Benefits
4.5. Analysis of the Effectiveness of Government Subsidies and Penalties
5. Conclusions and Implications
5.1. Conclusions
5.2. Policy Implications
Author Contributions
Funding
Institutional Review Board Statement
Data Availability Statement
Conflicts of Interest
References
- Saurabh, S.; Dey, K. Blockchain technology adoption, architecture, and sustainable agri-food supply chains. J. Clean. Prod. 2021, 284, 124731. [Google Scholar] [CrossRef]
- Khan, H.H.; Malik, M.N.; Konecna, Z.; Chofreh, A.G.; Goni, F.A.; Klemes, J.J. Blockchain technology for agricultural supply chains during the COVID-19 pandemic: Benefits and cleaner solutions. J. Clean. Prod. 2022, 347, 131268. [Google Scholar] [CrossRef] [PubMed]
- Rudoy, D.; Bingzhang, L.; Zirianov, V.; Olshevskaya, A.; Ugrekhelidze, N. Blockchain in agricultural supply chain management. E3S Web Conf. 2021, 273, 08029. [Google Scholar] [CrossRef]
- Tanwar, S.; Parekh, K.; Evans, R. Blockchain-based electronic healthcare record system for healthcare 4.0 applications. J. Inf. Secur. Appl. 2020, 50, 102407. [Google Scholar] [CrossRef]
- Collart, A.J.; Canales, E. How might broad adoption of blockchain-based traceability impact the U.S. fresh produce supply chain? Appl. Econ. Perspect. Policy 2021, 44, 219–236. [Google Scholar] [CrossRef]
- Chen, S.; Liu, X.; Yan, J.; Hu, G.; Shi, Y. Processes, benefits, and challenges for adoption of blockchain technologies in food supply chains: A thematic analysis. Inf. Syst. e-Bus. Manag. 2020, 19, 909–935. [Google Scholar] [CrossRef]
- Vu, N.; Ghadge, A.; Bourlakis, M. Blockchain adoption in food supply chains: a review and implementation framework. Prod. Plan. Control. 2021. [Google Scholar] [CrossRef]
- Sunny, J.; Undralla, N.; Madhusudanan Pillai, V. Supply chain transparency through blockchain-based traceability: An overview with demonstration. Comput. Ind. Eng. 2020, 150, 106895–106946. [Google Scholar] [CrossRef]
- Hosseini-Motlagh, S.-M.; Choi, T.-M.; Johari, M.; Nouri-Harzvili, M. A profit surplus distribution mechanism for supply chain coordination: An evolutionary game-theoretic analysis. Eur. J. Oper. Res. 2022, 301, 561–575. [Google Scholar] [CrossRef]
- Kouhizadeh, M.; Saberi, S.; Sarkis, J. Blockchain technology and the sustainable supply chain: Theoretically exploring adoption barriers. Int. J. Prod. Econ. 2021, 231, 107831. [Google Scholar] [CrossRef]
- Ktari, J.; Frikha, T.; Chaabane, F.; Hamdi, M.; Hamam, H. Agricultural Lightweight Embedded Blockchain System: A Case Study in Olive Oil. Electronics 2022, 11, 3394. [Google Scholar] [CrossRef]
- Lim, M.K.; Li, Y.; Wang, C.; Tseng, M.-L. A literature review of blockchain technology applications in supply chains: A comprehensive analysis of themes, methodologies and industries. Comput. Ind. Eng. 2021, 154, 107133. [Google Scholar] [CrossRef]
- Bai, C.; Sarkis, J. A supply chain transparency and sustainability technology appraisal model for blockchain technology. Int. J. Prod. Res. 2020, 58, 2142–2162. [Google Scholar] [CrossRef]
- Creydt, M.; Fischer, M. Blockchain and more—Algorithm driven food traceability. Food Control. 2019, 105, 45–51. [Google Scholar] [CrossRef]
- Pillai, B.; Biswas, K.; Muthukkumarasamy, V. Cross-chain interoperability among blockchain-based systems using transactions. Knowl. Eng. Rev. 2020, 35, e23. [Google Scholar] [CrossRef]
- Dutta, P.; Choi, T.M.; Somani, S.; Butala, R. Blockchain technology in supply chain operations: Applications, challenges and research opportunities. Transp. Res. E Logist. Transp. Rev. 2020, 142, 102067. [Google Scholar] [CrossRef] [PubMed]
- Wang, Z.; Wang, T.; Hu, H.; Gong, J.; Ren, X.; Xiao, Q. Blockchain-based framework for improving supply chain traceability and information sharing in precast construction. Autom. Constr. 2020, 111, 103063. [Google Scholar] [CrossRef]
- Lin, W.; Huang, X.; Fang, H.; Wang, V.; Hua, Y.; Wang, J.; Yin, H.; Yi, D.; Yau, L. Blockchain Technology in Current Agricultural Systems: From Techniques to Applications. IEEE Access 2020, 8, 143920–143937. [Google Scholar] [CrossRef]
- Mukherjee, A.A.; Singh, R.K.; Mishra, R.; Bag, S. Application of blockchain technology for sustainability development in agricultural supply chain: Justification framework. Oper. Manag. Res. 2021, 15, 46–61. [Google Scholar] [CrossRef]
- Walsh, C.; O’Reilly, P.; Gleasure, R.; McAvoy, J.; O’Leary, K. Understanding manager resistance to blockchain systems. Eur. Manag. J. 2021, 39, 353–365. [Google Scholar] [CrossRef]
- Wang, Q.; Su, M. Integrating blockchain technology into the energy sector—From theory of blockchain to research and application of energy blockchain. Comput. Sci. Rev. 2020, 37, 100275. [Google Scholar] [CrossRef]
- Kayikci, Y.; Subramanian, N.; Dora, M.; Bhatia, M.S. Food supply chain in the era of Industry 4.0: Blockchain technology implementation opportunities and impediments from the perspective of people, process, performance, and technology. Prod. Plan. Control. 2020, 33, 301–321. [Google Scholar] [CrossRef]
- Centobelli, P.; Cerchione, R.; Vecchio, P.D.; Oropallo, E.; Secundo, G. Blockchain technology for bridging trust, traceability and transparency in circular supply chain. Inf. Manag. 2022, 59, 103508. [Google Scholar] [CrossRef]
- Kittipanya-ngam, P.; Tan, K.H. A framework for food supply chain digitalization: Lessons from Thailand. Prod. Plan. Control. 2019, 31, 158–172. [Google Scholar] [CrossRef]
- Liu, Z.; Li, Z. A blockchain-based framework of cross-border e-commerce supply chain. Int. J. Inf. Manag. 2020, 52, 102059. [Google Scholar] [CrossRef]
- Fan, Z.-P.; Wu, X.-Y.; Cao, B.-B. Considering the traceability awareness of consumers: Should the supply chain adopt the blockchain technology? Ann. Oper. Res. 2020, 309, 837–860. [Google Scholar] [CrossRef]
- Cao, S.; Powell, W.; Foth, M.; Natanelov, V.; Miller, T.; Dulleck, U. Strengthening consumer trust in beef supply chain traceability with a blockchain-based human-machine reconcile mechanism. Comput. Electron. Agric. 2021, 180, 105886. [Google Scholar] [CrossRef]
- Zhu, Z.; Chu, F.; Dolgui, A.; Chu, C.; Zhou, W.; Piramuthu, S. Recent advances and opportunities in sustainable food supply chain: A model-oriented review. Int. J. Prod. Res. 2018, 56, 5700–5722. [Google Scholar] [CrossRef]
- Tian, F. An agri-food supply chain traceability system for China based on RFID & blockchain technology. In Proceedings of the 2016 13th international Conference on Service Systems and Service Management (ICSSSM), Kunming, China, 24–26 June 2016; pp. 1–6. [Google Scholar]
- Behnke, K.; Janssen, M. Boundary conditions for traceability in food supply chains using blockchain technology. Int. J. Inf. Manag. 2020, 52, 101969. [Google Scholar] [CrossRef]
- George, R.V.; Harsh, H.O.; Ray, P.; Babu, A.K. Food quality traceability prototype for restaurants using blockchain and food quality data index. J. Clean. Prod. 2019, 240, 118021. [Google Scholar] [CrossRef]
- Zheng, X.R.; Lu, Y. Blockchain technology—Recent research and future trend. Enterp. Inf. Syst. 2021, 16, 1939895. [Google Scholar] [CrossRef]
- Antonucci, F.; Figorilli, S.; Costa, C.; Pallottino, F.; Raso, L.; Menesatti, P. A review on blockchain applications in the agri-food sector. J. Sci. Food Agric. 2019, 99, 6129–6138. [Google Scholar] [CrossRef]
- Salah, K.; Nizamuddin, N.; Jayaraman, R.; Omar, M. Blockchain-Based Soybean Traceability in Agricultural Supply Chain. IEEE Access 2019, 7, 73295–73305. [Google Scholar] [CrossRef]
- Wang, J.; Zhang, X.; Xu, J.; Wang, X.; Li, H.; Zhao, Z.; Kong, J. Blockchain-Based Information Supervision Model for Rice Supply Chains. Comput. Intell. Neurosci. 2022, 2022, 2914571. [Google Scholar] [CrossRef] [PubMed]
- Wu, X.-Y.; Fan, Z.-P.; Cao, B.-B. An analysis of strategies for adopting blockchain technology in the fresh product supply chain. Int. J. Prod. Res. 2021, 1–18. [Google Scholar] [CrossRef]
- Hu, S.; Huang, S.; Huang, J.; Su, J. Blockchain and edge computing technology enabling organic agricultural supply chain: A framework solution to trust crisis. Comput. Ind. Eng. 2021, 153, 107079. [Google Scholar] [CrossRef]
- Wang, F.; Xu, Y. Evolutionary Game Analysis of the Quality of Agricultural Products in Supply Chain. Agriculture 2022, 12, 1575. [Google Scholar] [CrossRef]
- Kamble, S.S.; Gunasekaran, A.; Sharma, R. Modeling the blockchain enabled traceability in agriculture supply chain. Int. J. Inf. Manag. 2020, 52, 101967. [Google Scholar] [CrossRef]
- Yuan, M.; Li, Z.; Li, X.; Li, L.; Zhang, S.; Luo, X. How to promote the sustainable development of prefabricated residential buildings in China: A tripartite evolutionary game analysis. J. Clean. Prod. 2022, 349, 131423. [Google Scholar] [CrossRef]
- Wang, S.; Xu, Y. Complex Network-Based Evolutionary Game for Knowledge Transfer of Social E-Commerce Platform Enterprise’s Operation Team under Strategy Imitation Preferences. Sustainability 2022, 14, 15383. [Google Scholar] [CrossRef]
- Xuan, S.; Zheng, L.; Chung, I.; Wang, W.; Man, D.; Du, X.; Yang, W.; Guizani, M. An incentive mechanism for data sharing based on blockchain with smart contracts. Comput. Electr. Eng. 2020, 83, 106587. [Google Scholar] [CrossRef]
- Motepalli, S.; Jacobsen, H.-A. Reward mechanism for blockchains using evolutionary game theory. In Proceedings of the 2021 3rd Conference on Blockchain Research & Applications for Innovative Networks and Services (BRAINS), Paris, France, 27–30 September 2021; pp. 217–224. [Google Scholar]
- Xiong, H.; Dalhaus, T.; Wang, P.; Huang, J. Blockchain Technology for Agriculture: Applications and Rationale. Front. Blockchain 2020, 3, 7. [Google Scholar] [CrossRef]
- Hameed, M.A.; Counsell, S.; Swift, S. A conceptual model for the process of IT innovation adoption in organizations. J. Eng. Technol. Manag. 2012, 29, 358–390. [Google Scholar] [CrossRef]
- Laborde, D.; Martin, W.; Swinnen, J.; Vos, R. COVID-19 risks to global food security. Science 2020, 369, 500–502. [Google Scholar] [CrossRef] [PubMed]
- Ritzberger, K.; Weibull, J.W. Evolutionary Selection in Normal-Form Games. Econometrica 1995, 63, 1371–1399. [Google Scholar] [CrossRef]
- Lyapunov, A.M. The general problem of the stability of motion. Int. J. Control. 1992, 55, 531–534. [Google Scholar] [CrossRef]














| Equilibrium Points | Eigenvalues | ||
|---|---|---|---|
| Equilibrium Points | Stability Condition | Scenario |
|---|---|---|
| 1 | ||
| 2 | ||
| 3 | ||
| 4 |
| Case1 | 16 | 20 | 15 | 12 | 6 | 6 | 32 | 30 | 28 | 15 | 5 | 10 | 15 | 10 | 20 |
| Case2 | 20 | 16 | 10 | 30 | 15 | - | - | 24 | 20 | 10 | 8 | 5 | - | - | - |
| Case3 | 20 | 16 | 10 | - | 15 | - | - | 24 | 20 | - | 8 | - | - | - | - |
| Case4 | 24 | 16 | - | 10 | - | 8 | - | 24 | 25 | 12 | - | 15 | - | - | - |
Disclaimer/Publisher’s Note: The statements, opinions and data contained in all publications are solely those of the individual author(s) and contributor(s) and not of MDPI and/or the editor(s). MDPI and/or the editor(s) disclaim responsibility for any injury to people or property resulting from any ideas, methods, instructions or products referred to in the content. |
© 2023 by the authors. Licensee MDPI, Basel, Switzerland. This article is an open access article distributed under the terms and conditions of the Creative Commons Attribution (CC BY) license (https://creativecommons.org/licenses/by/4.0/).
Share and Cite
Zheng, Y.; Xu, Y.; Qiu, Z. Blockchain Traceability Adoption in Agricultural Supply Chain Coordination: An Evolutionary Game Analysis. Agriculture 2023, 13, 184. https://doi.org/10.3390/agriculture13010184
Zheng Y, Xu Y, Qiu Z. Blockchain Traceability Adoption in Agricultural Supply Chain Coordination: An Evolutionary Game Analysis. Agriculture. 2023; 13(1):184. https://doi.org/10.3390/agriculture13010184
Chicago/Turabian StyleZheng, Yi, Yaoqun Xu, and Zeguo Qiu. 2023. "Blockchain Traceability Adoption in Agricultural Supply Chain Coordination: An Evolutionary Game Analysis" Agriculture 13, no. 1: 184. https://doi.org/10.3390/agriculture13010184
APA StyleZheng, Y., Xu, Y., & Qiu, Z. (2023). Blockchain Traceability Adoption in Agricultural Supply Chain Coordination: An Evolutionary Game Analysis. Agriculture, 13(1), 184. https://doi.org/10.3390/agriculture13010184

