Effects of Variety and Pulsed Electric Field on the Quality of Fresh-Cut Apples
Abstract
1. Introduction
2. Materials and Methods
2.1. Raw Materials
2.2. Sample Preparation
2.3. PEF Treatment
2.4. Browning Index (BI)
2.5. Weight Loss
2.6. Firmness
2.7. Titratable Acid (TA) Content
2.8. Total Phenol (TP) Content
2.9. Malondialdehyde (MDA) Content
2.10. PPO and POD Activity
2.11. Microbiological Analysis
2.12. Sensory Evaluation
2.13. Statistical Analysis
3. Results and Discussion
3.1. Variety Effects on the Storage Quality of Fresh-Cut Apples

3.2. Principal Component Analysis
| Principal Components | Eigenvalue | Contribution Rate /% | Cumulative Contribution Rate /% |
|---|---|---|---|
| 1 | 3.925 | 56.065 | 56.065 |
| 2 | 1.192 | 17.029 | 73.094 |
| 3 | 0.932 | 13.321 | 86.415 |
| 4 | 0.460 | 6.578 | 92.993 |
| 5 | 0.326 | 4.660 | 97.653 |
| 6 | 0.113 | 1.619 | 99.271 |
| 7 | 0.051 | 0.729 | 100.000 |
| Index | Principal Component 1 | Principal Component 2 | ||
|---|---|---|---|---|
| Load Factor | Eigenvector | Load Factor | Eigenvector | |
| Weight loss | −0.961 | −0.485 | 0.057 | 0.053 |
| Browning index | −0.893 | −0.451 | 0.069 | 0.063 |
| Storage time | −0.842 | −0.425 | −0.058 | −0.053 |
| POD activity | −0.833 | −0.420 | 0.014 | 0.013 |
| Firmness | 0.820 | 0.414 | −0.352 | −0.323 |
| PPO activity | −0.271 | −0.137 | −0.804 | −0.737 |
| Titratable acidity | 0.235 | 0.118 | 0.640 | 0.586 |
3.3. Effect of PEF Treatment on Physical Properties of Fresh-Cut Apples
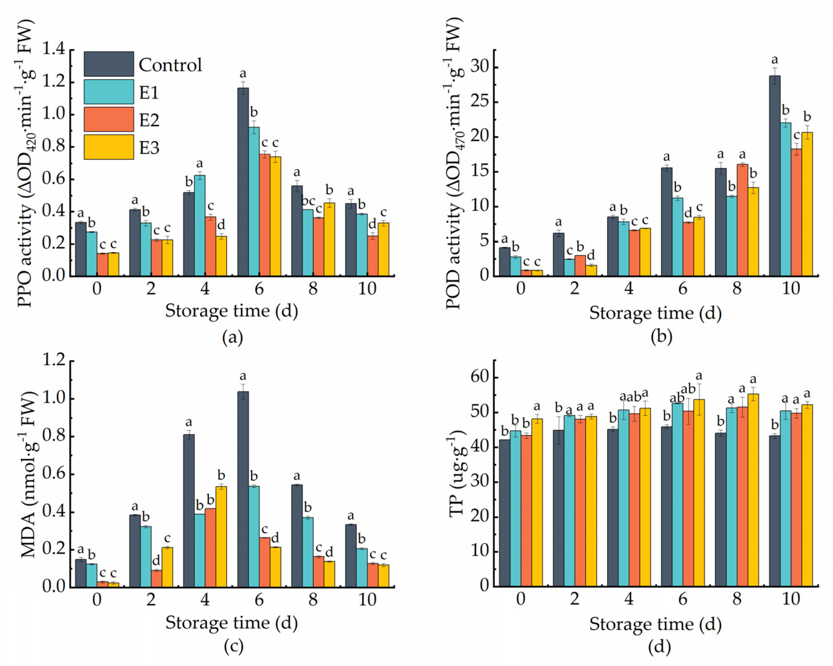
3.4. Effect of PEF Treatment on Enzyme Activity and Nutrient Content of Fresh-Cut Apples

3.5. Microbial Analysis
3.6. Comprehensive Evaluation
4. Conclusions
Author Contributions
Funding
Institutional Review Board Statement
Informed Consent Statement
Data Availability Statement
Conflicts of Interest
References
- Hershko, S.; Cortese, S.; Ert, E.; Aronis, A.; Maeir, A.; Pollak, Y. The influence of attractiveness and convenience cues on food appeal in adults with and without ADHD. Appetite 2020, 150, 104679. [Google Scholar] [CrossRef] [PubMed]
- Zha, Z.; Tang, R.; Wang, C.; Li, Y.-L.; Liu, S.; Wang, L.; Wang, K. Riboflavin inhibits browning of fresh-cut apples by repressing phenolic metabolism and enhancing antioxidant system. Postharvest Biol. Technol. 2022, 187, 111867. [Google Scholar] [CrossRef]
- Dellarosa, N.; Tappi, S.; Ragni, L.; Laghi, L.; Rocculi, P.; Dalla Rosa, M. Metabolic response of fresh-cut apples induced by pulsed electric fields. Innov. Food Sci. Emerg. Technol. 2016, 38, 356–364. [Google Scholar] [CrossRef]
- Caminiti, I.M.; Palgan, I.; Noci, F.; Muñoz, A.; Whyte, P.; Cronin, D.A.; Morgan, D.J.; Lyng, J.G. The effect of pulsed electric fields (PEF) in combination with high intensity light pulses (HILP) on Escherichia coli inactivation and quality attributes in apple juice. Innov. Food Sci. Emerg. Technol. 2011, 12, 118–123. [Google Scholar] [CrossRef]
- Ohshima, T.; Tanino, T.; Kameda, T.; Harashima, H. Engineering of operation condition in milk pasteurization with PEF treatment. Food Control 2016, 68, 297–302. [Google Scholar] [CrossRef]
- Pyatkovskyy, T.I.; Shynkaryk, M.V.; Mohamed, H.M.; Yousef, A.E.; Sastry, S.K. Effects of combined high pressure (HPP), pulsed electric field (PEF) and sonication treatments on inactivation of Listeria innocua. J. Food Eng. 2018, 233, 49–56. [Google Scholar] [CrossRef]
- Kantono, K.; Hamid, N.; Ma, Q.; Oey, I.; Farouk, M. Changes in the physicochemical properties of chilled and frozen-thawed lamb cuts subjected to pulsed electric field processing. Food Res. Int. 2021, 141, 110092. [Google Scholar] [CrossRef]
- Mok, J.H.; Her, J.-Y.; Kang, T.; Hoptowit, R.; Jun, S. Effects of pulsed electric field (PEF) and oscillating magnetic field (OMF) combination technology on the extension of supercooling for chicken breasts. J. Food Eng. 2017, 196, 27–35. [Google Scholar] [CrossRef]
- Rahbari, M.; Hamdami, N.; Mirzaei, H.; Jafari, S.M.; Kashaninejad, M.; Khomeiri, M. Effects of high voltage electric field thawing on the characteristics of chicken breast protein. J. Food Eng. 2018, 216, 98–106. [Google Scholar] [CrossRef]
- Tylewicz, U.; Mannozzi, C.; Castagnini, J.M.; Genovese, J.; Romani, S.; Rocculi, P.; Dalla Rosa, M. Application of PEF- and OD-assisted drying for kiwifruit waste valorisation. Innov. Food Sci. Emerg. Technol. 2022, 77, 102952. [Google Scholar] [CrossRef]
- Neri, L.; Giancaterino, M.; Rocchi, R.; Tylewicz, U.; Valbonetti, L.; Faieta, M.; Pittia, P. Pulsed electric fields (PEF) as hot air drying pre-treatment: Effect on quality and functional properties of saffron (Crocus sativus L.). Innov. Food Sci. Emerg. Technol. 2021, 67, 102592. [Google Scholar] [CrossRef]
- Pataro, G.; Carullo, D.; Bakar Siddique, M.A.; Falcone, M.; Donsì, F.; Ferrari, G. Improved extractability of carotenoids from tomato peels as side benefits of PEF treatment of tomato fruit for more energy-efficient steam-assisted peeling. J. Food Eng. 2018, 233, 65–73. [Google Scholar] [CrossRef]
- Saldana, G.; Cebrian, G.; Abenoza, M.; Sanchez-Gimeno, C.; Alvarez, I.; Raso, J. Assessing the efficacy of PEF treatments for improving polyphenol extraction during red wine vinifications. Innov. Food Sci. Emerg. Technol. IFSET Off. Sci. J. Eur. Fed. Food Sci. Technol. 2017, 39, 179–187. [Google Scholar] [CrossRef]
- Zhang, Z.-H.; Wang, L.-H.; Zeng, X.-A.; Han, Z.; Wang, M.-S. Effect of pulsed electric fields (PEFs) on the pigments extracted from spinach (Spinacia oleracea L.). Innov. Food Sci. Emerg. Technol. 2017, 43, 26–34. [Google Scholar] [CrossRef]
- Yildiz, S.; Pokhrel, P.R.; Unluturk, S.; Barbosa-Canovas, G.V. Shelf life extension of strawberry juice by equivalent ultrasound, high pressure, and pulsed electric fields processes. Food Res. Int. 2021, 140, 110040. [Google Scholar] [CrossRef] [PubMed]
- Sepulveda, D.R.; Góngora-Nieto, M.M.; Guerrero, J.A.; Barbosa-Cánovas, G.V. Production of extended-shelf life milk by processing pasteurized milk with pulsed electric fields. J. Food Eng. 2005, 67, 81–86. [Google Scholar] [CrossRef]
- González-Arenzana, L.; López-Alfaro, I.; Garde-Cerdán, T.; Portu, J.; López, R.; Santamaría, P. Microbial inactivation and MLF performances of Tempranillo Rioja wines treated with PEF after alcoholic fermentation. Int. J. Food Microbiol. 2018, 269, 19–26. [Google Scholar] [CrossRef] [PubMed]
- Li, Y.; Wills, R.B.H.; Golding, J.B. Sodium chloride, a cost effective partial replacement of calcium ascorbate and ascorbic acid to inhibit surface browning on fresh-cut apple slices. LWT-Food Sci. Technol. 2015, 64, 503–507. [Google Scholar] [CrossRef]
- Li, J.; Shi, J.; Wang, T.; Huang, X.; Zou, X.; Li, Z.; Zhang, D.; Zhang, W.; Xu, Y. Effects of pulsed electric field pretreatment on mass transfer kinetics of pickled lotus root (Nelumbo nucifera Gaertn.). LWT 2021, 151, 112205. [Google Scholar] [CrossRef]
- Osuga, R.; Koide, S.; Sakurai, M.; Orikasa, T.; Uemura, M. Quality and microbial evaluation of fresh-cut apples during 10 days of supercooled storage. Food Control 2021, 126, 108014. [Google Scholar] [CrossRef]
- Mello, R.E.; Fontana, A.; Mulet, A.; Corrêa, J.L.G.; Cárcel, J.A. PEF as pretreatment to ultrasound-assisted convective drying: Influence on quality parameters of orange peel. Innov. Food Sci. Emerg. Technol. 2021, 72, 102753. [Google Scholar] [CrossRef]
- Zheng, H.; Liu, W.; Liu, S.; Liu, C.; Zheng, L. Effects of melatonin treatment on the enzymatic browning and nutritional quality of fresh-cut pear fruit. Food Chem. 2019, 299, 125116. [Google Scholar] [CrossRef] [PubMed]
- Li, Z.; Li, B.; Li, M.; Fu, X.; Zhao, X.; Min, D.; Li, F.; Li, X.; Zhang, X. Hot air pretreatment alleviates browning of fresh-cut pitaya fruit by regulating phenylpropanoid pathway and ascorbate-glutathione cycle. Postharvest Biol. Technol. 2022, 190, 111954. [Google Scholar] [CrossRef]
- Koide, S.; Shi, J. Microbial and quality evaluation of green peppers stored in biodegradable film packaging. Food Control 2007, 18, 1121–1125. [Google Scholar] [CrossRef]
- Glicerina, V.; Tylewicz, U.; Canali, G.; Siroli, L.; Dalla Rosa, M.; Lanciotti, R.; Romani, S. Influence of two different cocoa-based coatings on quality characteristics of fresh-cut fruits during storage. LWT 2019, 101, 152–160. [Google Scholar] [CrossRef]
- Li, F.; Zhang, X.; Wang, J.; Jiang, Y.; Zhang, X.; Li, X. Preharvest application of 1-methylcyclopropene and Ethephon altered cuticular wax biosynthesis and fruit quality of apples at harvest and during cold storage. Hortic. Plant J. 2022, 8, 143–152. [Google Scholar] [CrossRef]
- Kasnak, C. Evaluation of the anti-browning effect of quercetin on cut potatoes during storage. Food Packag. Shelf Life 2022, 31, 100816. [Google Scholar] [CrossRef]
- Ighodaro, O.M.; Akinloye, O.A. First line defence antioxidants-superoxide dismutase (SOD), catalase (CAT) and glutathione peroxidase (GPX): Their fundamental role in the entire antioxidant defence grid. Alex. J. Med. 2019, 54, 287–293. [Google Scholar] [CrossRef]
- Alsayegh, S.Y.; Disi, Z.A.; Al-Ghouti, M.A.; Zouari, N. Evaluation by MALDI-TOF MS and PCA of the diversity of biosurfactants and their producing bacteria, as adaption to weathered oil components. Biotechnol. Rep. 2021, 31, e00660. [Google Scholar] [CrossRef]
- Liu, C.-E.; Chen, W.-J.; Chang, C.-K.; Li, P.-H.; Lu, P.-L.; Hsieh, C.-W. Effect of a high voltage electrostatic field (HVEF) on the shelf life of persimmons (Diospyros kaki). LWT 2017, 75, 236–242. [Google Scholar] [CrossRef]
- Yeom, H.W.; Streaker, C.B.; Zhang, Q.H.; Min, D.B. Effects of Pulsed Electric Fields on the Quality of Orange Juice and Comparison with Heat Pasteurization. Agric. Food Chem. 2000, 48, 4597–4605. [Google Scholar] [CrossRef] [PubMed]
- Leong, S.Y.; Richter, L.-K.; Knorr, D.; Oey, I. Feasibility of using pulsed electric field processing to inactivate enzymes and reduce the cutting force of carrot (Daucus carota var. Nantes). Innov. Food Sci. Emerg. Technol. 2014, 26, 159–167. [Google Scholar] [CrossRef]
- Martín-Belloso, O.; Elez-Martínez, P. 7-Enzymatic Inactivation by Pulsed Electric Fields. Emerg. Technol. Food Process. 2005, 155–181. [Google Scholar] [CrossRef]
- Balaša, A. Pulsed electric field induced stress in plant systems. Doctoral Thesis, Technische Universität Berlin, Berlin, Germany, 2014. [Google Scholar]
- Li, X.; Li, W.; Jiang, Y.; Ding, Y.; Yun, J.; Tang, Y.; Zhang, P. Effect of nano-ZnO-coated active packaging on quality of fresh-cut ‘Fuji’ apple. Int. J. Food Sci. Technol. 2011, 46, 1947–1955. [Google Scholar] [CrossRef]
- Liu, X.; Lu, Y.; Yang, Q.; Yang, H.; Li, Y.; Zhou, B.; Li, T.; Gao, Y.; Qiao, L. Cod peptides inhibit browning in fresh-cut potato slices: A potential anti-browning agent of random peptides for regulating food properties. Postharvest Biol. Technol. 2018, 146, 36–42. [Google Scholar] [CrossRef]
- Chong, J.X.; Lai, S.; Yang, H. Chitosan combined with calcium chloride impacts fresh-cut honeydew melon by stabilising nanostructures of sodium-carbonate-soluble pectin. Food Control 2015, 53, 195–205. [Google Scholar] [CrossRef]
- Moreira, M.R.; Tomadoni, B.; Martín-Belloso, O.; Soliva-Fortuny, R. Preservation of fresh-cut apple quality attributes by pulsed light in combination with gellan gum-based prebiotic edible coatings. LWT-Food Sci. Technol. 2015, 64, 1130–1137. [Google Scholar] [CrossRef]
- Wu, Z.S.; Zhang, M.; Wang, S. Effects of high pressure argon treatments on the quality of fresh-cut apples at cold storage. Food Control 2012, 23, 120–127. [Google Scholar] [CrossRef]





Disclaimer/Publisher’s Note: The statements, opinions and data contained in all publications are solely those of the individual author(s) and contributor(s) and not of MDPI and/or the editor(s). MDPI and/or the editor(s) disclaim responsibility for any injury to people or property resulting from any ideas, methods, instructions or products referred to in the content. |
© 2023 by the authors. Licensee MDPI, Basel, Switzerland. This article is an open access article distributed under the terms and conditions of the Creative Commons Attribution (CC BY) license (https://creativecommons.org/licenses/by/4.0/).
Share and Cite
Li, Z.; Yang, H.; Fang, W.; Huang, X.; Shi, J.; Zou, X. Effects of Variety and Pulsed Electric Field on the Quality of Fresh-Cut Apples. Agriculture 2023, 13, 929. https://doi.org/10.3390/agriculture13050929
Li Z, Yang H, Fang W, Huang X, Shi J, Zou X. Effects of Variety and Pulsed Electric Field on the Quality of Fresh-Cut Apples. Agriculture. 2023; 13(5):929. https://doi.org/10.3390/agriculture13050929
Chicago/Turabian StyleLi, Zhihua, Hanli Yang, Wenbing Fang, Xiaowei Huang, Jiyong Shi, and Xiaobo Zou. 2023. "Effects of Variety and Pulsed Electric Field on the Quality of Fresh-Cut Apples" Agriculture 13, no. 5: 929. https://doi.org/10.3390/agriculture13050929
APA StyleLi, Z., Yang, H., Fang, W., Huang, X., Shi, J., & Zou, X. (2023). Effects of Variety and Pulsed Electric Field on the Quality of Fresh-Cut Apples. Agriculture, 13(5), 929. https://doi.org/10.3390/agriculture13050929
