Flexural Deflection Prediction of Piezo-Composite Unimorph Actuator Using Material Orthotropy and Nonlinearity of Piezoelectric Material Layer
Abstract
1. Introduction
2. Design, Analysis, and Manufacturing of Piezo-Composite Actuators
2.1. Deflection Analysis of Piezo-Composite Unimorph Cantilever
2.2. Lay-Up Structure Design of a Unimorph Cantilever
2.3. Fabrication of Piezo-Composite Actuators
3. Characterization of the Orthotropic Properties of a PMN-29PT Single Crystal
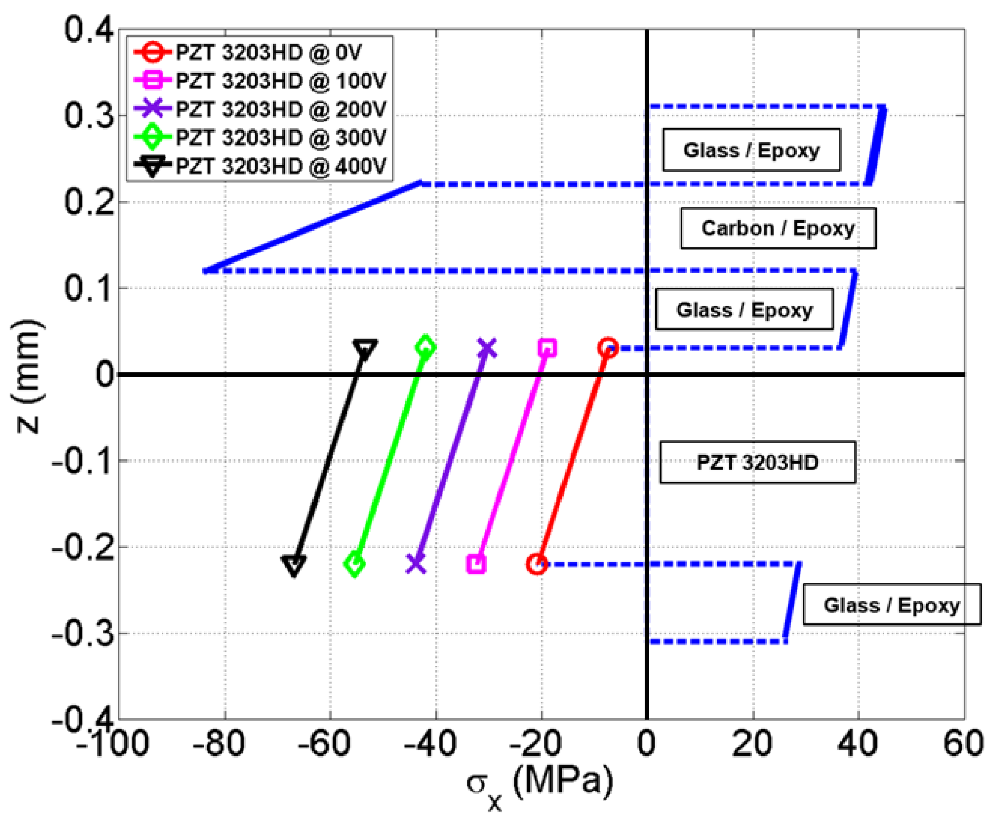
4. Internal Residual Stress Analysis of a Laminate
5. Performance Evaluation of Actuators and Discussion
6. Conclusions
Author Contributions
Funding
Conflicts of Interest
References
- Haertling, G.H. Rainbow Actuators and Sensors: A New Smart Technology. In Proceedings of the International Society for Optical Engineering, San Diego, CA, USA, 3–4 March 1997; Simmons, W.C., Aksay, I.A., Huston, D.R., Eds.; SPIE: Bellingham, WA, USA, 1997; Volume 3040, pp. 81–92. [Google Scholar]
- Barrett, R.; Gross, R.S.; Brozoski, F. Missile flight control using active flexspar actuators. Smart Mater. Struct. 1995, 2443, 121–128. [Google Scholar] [CrossRef]
- Barrett, R.; Gross, R.S.; Brozoski, F. Design and Testing of a Subsonic All-Moving Adaptive Flight Control Surface. Am. Inst. Aeronaut. Astronaut. 1997, 35, 1217–1219. [Google Scholar] [CrossRef]
- Hellbaum, R.; Bryant, R.G.; Fox, R. Thin Layer Composite Unimorph Ferroelectric Driver and Sensor. U.S. Patent US 5,632,841, 27 May 1997. [Google Scholar]
- Mossi, K.; Bishop, R.P. Characterization of Different types of High Performance THUNDER Actuators. In Proceedings of the International Society for Optical Engineering, Newport Beach, CA, USA, 12 July 1999; Wuttig, M.R., Ed.; SPIE: Bellingham, WA, USA, 1999; Volume 3675. [Google Scholar]
- Yoon, K.J.; Park, K.H.; Lee, S.K.; Goo, N.S. Analytical design model for a piezo-composite unimorph actuator and its verification using lightweight piezo-composite curved actuators. Smart Mater. Struct. 2004, 13, 459–467. [Google Scholar] [CrossRef]
- Nguyen, N.T.; Yoon, B.S.; Park, K.H. Analyticlal model and optimal design of a d33-mode active layer for the lightweight unimorph piezo-composite actuator. J. Electroceramics 2011, 26, 175–184. [Google Scholar] [CrossRef]
- Nguyen, N.T.; Yoon, K.J.; Park, H.C. Actuation displacement of unimorph piezoelectric actuators with external loading. J. Korean Phys. Soc. 2007, 51, 11–15. [Google Scholar] [CrossRef]
- Bryant, R.G. Overview of NASA Langley’s Piezoelectric Ceramic Packaging Technology and Applications. In Proceedings of the 10th Japan International SAMPE Symposium and Exhibition, Tokyo, Japan, 27–30 November 2007. [Google Scholar]
- Kang, L.H.; Lee, J.W.; Han, J.H. Development of a piezoelectric unimorph using a mechanically pre-stressed substrate. Smart Mater. Struct. 2009, 18, 1–9. [Google Scholar] [CrossRef]
- Kang, L.H.; Han, J.H. Prediction of actuation displacement and the force of a pre-stressed piezoelectric unimorph (PUMPS) considering nonlinear piezoelectric coefficient and elastic modulus. Smart Mater. Struct. 2010, 19, 1–11. [Google Scholar] [CrossRef]
- Park, J.H.; Yoon, B.S.; Yoon, K.J. Experimental investigation on the piezo-composite actuator with piezoelectric single crystal layer. Adv. Compos. Mater. 2016, 25, 487–496. [Google Scholar] [CrossRef]
- Yoon, B.S.; Park, J.H.; Yoon, K.J. Experimental study on control fins of a small flying vehicle using piezo-composite actuators. Adv. Compos. Mater. 2017, 26, 35–43. [Google Scholar] [CrossRef]
- Yoon, B.S.; Park, J.W.; Yoon, K.J.; Choi, H.Y. Deflection Prediction of Piezo-composite Unimorph Actuator Considering Material Property Change of Piezoelectric Single Crystal for Compression Stress Variation. Compos. Res. 2017, 30, 15–20. [Google Scholar] [CrossRef][Green Version]
- Nguyen, X.H.; Mau, T.H.; Meyer, I.; Dang, B.; Pham, H. Improvements of Piezo-Actuated Stick–Slip Micro-Drives: Modeling and Driving Waveform. Coatings 2018, 8, 62. [Google Scholar] [CrossRef]
- Feng, Z.; Lin, D.; Luo, H.; Li, S.; Feng, D. Effect of uniaxial stress on the electromechanical response of.001.-oriented Pb.Mg1/3Nb2/3.O3–PbTiO3 crystals. J. Appl. Phys. 2005, 97, 1–5. [Google Scholar] [CrossRef]















| Properties | PMN-29PT | CTS 3203HD | Glass/Epoxy | Carbon/Epoxy | PI Film |
|---|---|---|---|---|---|
| E1 (GPa) | 8.9 | 62.0 | 21.7 | 231.2 | 3.0 |
| E2 (GPa) | 44.0 | 62.0 | 21.7 | 7.2 | 3.0 |
| G12 (GPa) | 3.42 | 23.9 | 3.99 | 4.3 | 1.15 |
| ν12 | 0.3 | 0.31 | 0.13 | 0.29 | 0.3 |
| α1 (*10−6/°k) | 9.5 | 3.5 | 14.2 | −1.58 | 20.0 |
| α2 (*10−6/°k) | 9.5 | 3.5 | 14.2 | 32.2 | 20.0 |
| d3x (*10−12 m/V) | −1742 (d32) | −320 (d31) | - | - | - |
| t (mm) | 0.25 | 0.25 | 0.09 | 0.10 | 0.03 |
| Manufacturer | Ceracomp | CTS | SK Chemical | SK Chemical | Dupont |
| Specimens | D | NA | a | cpua | δmax (@450 V) |
|---|---|---|---|---|---|
| N·m2 | mm | mm | 1/V | mm | |
| LIPCA-C3 | 1.045 | 0.3679 | 0.1529 | −3.63 × 10−5 | 2.08 |
| LIPCA-S2 | 0.1266 | 0.3408 | 0.1858 | −2.84 × 10−4 | 5.50 |
| Incremental Step | Excitation Voltage (V) | σ (MPa) | E2 (GPa) | d31 (pm/V) | Cpua (1/V) |
|---|---|---|---|---|---|
| A | 0–20 | −1.0 | 8.9 | −1706 | −2.79 × 10−4 |
| B | 20–40 | −2.0 | 8.9 | −1662 | −2.71 × 10−4 |
| C | 40–60 | −3.0 | 8.9 | −1626 | −2.66 × 10−4 |
| D | 60–80 | −4.0 | 8.9 | −1546 | −2.53 × 10−4 |
| E | 80–100 | −5.0 | 5.4 | −1440 | −1.43 × 10−4 |
| F | 100–150 | −7.5 | 5.4 | −888 | −8.81 × 10−5 |
| G | 150–250 | −12.5 | 5.4 | −533 | −5.28 × 10−5 |
| H | 250–350 | −17.5 | 5.4 | −213 | −2.11 × 10−5 |
| I | 350–450 | −22.5 | 5.4 | −213 | −2.11 × 10−5 |
© 2020 by the authors. Licensee MDPI, Basel, Switzerland. This article is an open access article distributed under the terms and conditions of the Creative Commons Attribution (CC BY) license (http://creativecommons.org/licenses/by/4.0/).
Share and Cite
Lee, J.H.; Yoon, B.S.; Park, J.-W.; Song, G.; Yoon, K.J. Flexural Deflection Prediction of Piezo-Composite Unimorph Actuator Using Material Orthotropy and Nonlinearity of Piezoelectric Material Layer. Coatings 2020, 10, 437. https://doi.org/10.3390/coatings10050437
Lee JH, Yoon BS, Park J-W, Song G, Yoon KJ. Flexural Deflection Prediction of Piezo-Composite Unimorph Actuator Using Material Orthotropy and Nonlinearity of Piezoelectric Material Layer. Coatings. 2020; 10(5):437. https://doi.org/10.3390/coatings10050437
Chicago/Turabian StyleLee, Jae Hoon, Bum Soo Yoon, Ji-Won Park, Gunho Song, and Kwang Joon Yoon. 2020. "Flexural Deflection Prediction of Piezo-Composite Unimorph Actuator Using Material Orthotropy and Nonlinearity of Piezoelectric Material Layer" Coatings 10, no. 5: 437. https://doi.org/10.3390/coatings10050437
APA StyleLee, J. H., Yoon, B. S., Park, J.-W., Song, G., & Yoon, K. J. (2020). Flexural Deflection Prediction of Piezo-Composite Unimorph Actuator Using Material Orthotropy and Nonlinearity of Piezoelectric Material Layer. Coatings, 10(5), 437. https://doi.org/10.3390/coatings10050437
