A Reinforcement Learning Method of Solving Markov Decision Processes: An Adaptive Exploration Model Based on Temporal Difference Error
Abstract
:1. Introduction
- In the dual-network RL algorithm, we introduce an TEAE model to address the trade-off between exploration and exploitation. This model dynamically adjusts the exploration probability, effectively balancing the exploration of new possibilities and the exploitation of existing knowledge. As a result, it can maximize the optimal expected payoff of the posterior subprocess.
- We have developed two RL algorithms, namely DQN-PER-TEAE and DDQN-PER-TEAE, which are built upon the TEAE model we proposed. These algorithms incorporate the adaptive exploration mechanism of the TEAE model, enabling the agent to dynamically adjust its exploration strategy based on its current knowledge. This capability allows the agent to effectively explore unfamiliar or complex states, thereby enhancing the efficiency and effectiveness of learning in solving MDP.
- We evaluate the performance of our proposed model and algorithm using various evaluation criteria and cases. Through comparisons with state-of-the-art methods, we observe that our TEAE method outperforms existing approaches in terms of efficiency for solving MDP.
2. Notation and Problem Formalization
- T represents a finite time period, with .
- S indicates the state space. Assuming that in each time period t, , meaning that the state space remains the same in each time period, we have , where . In this study, the state mainly uses mathematical symbols to record information such as the location, instantaneous velocity, and energy value of the agent in the simulator in real time.
- A denotes the action space. Assuming that in each time period t, , meaning that the action space remains consistent in each time period, we have , where . In this research, the action is mainly the agent moving up, down, left, right or shooting.
- P is the state transfer probability function. At time t, when state takes action , it transitions to state at time . The probability of this state transition within the stage is denoted as . It can generally be represented as: .
- R is the reward (payoff) function. At time t, when state takes action and transitions to state at time , the immediate reward obtained in state is denoted as , and generally simplified as .
- γ is the discount factor. It is a value between 0 and 1, where a higher value places more emphasis on long-term rewards.
3. TEAE Model
3.1. Reinforcement Learning Method for MDP
3.2. TD Error-Based Adaptive Exploration Algorithm
| Algorithm 1 TEAE |
|
3.3. Reinforcement Learning Algorithm Based on TEAE
- (1)
- DQN-PER-TEAE
| Algorithm 2 DQN-PER-TEAE |
|
- (2)
- DDQN-PER-TEAE
4. Evaluation and Experiment
4.1. Evaluation Metrics
4.2. Experimental Setup
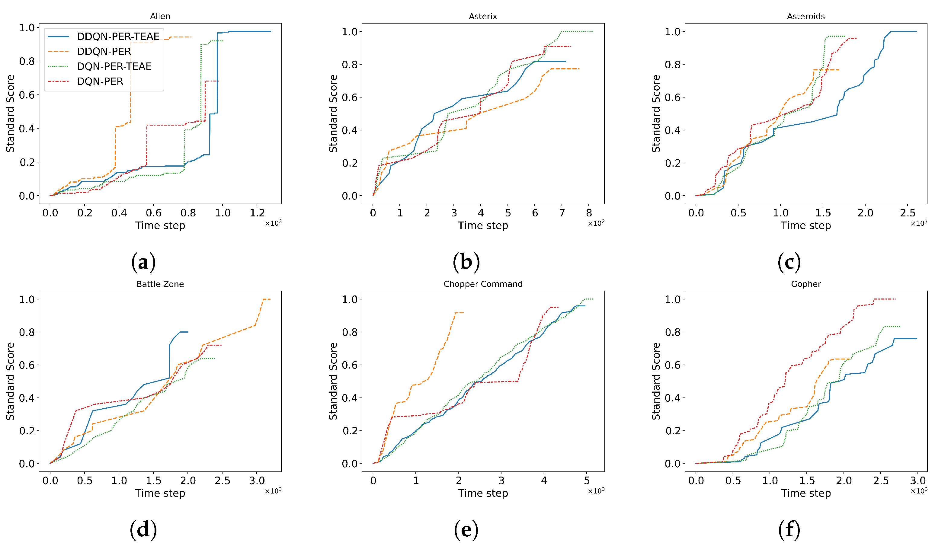
4.3. Experimental Results and Analysis
4.4. Case Study
- (1)
- FJSP [43]
- (2)
- Methodology
- (3)
- Markov Decision Process
- (4)
- Results
5. Conclusions
Author Contributions
Funding
Data Availability Statement
Conflicts of Interest
References
- Xie, S.; Zhang, Z.; Yu, H.; Luo, X. Recurrent prediction model for partially observable MDPs. Inf. Sci. 2023, 620, 125–141. [Google Scholar] [CrossRef]
- White, D. Infinite horizon Markov decision processes with unknown or variable discount factors. Eur. J. Oper. Res. 1987, 28, 96–100. [Google Scholar] [CrossRef]
- Liu, Z.; Khojandi, A.; Li, X.; Mohammed, A.; Davis, R.L.; Kamaleswaran, R. A Machine Learning–Enabled Partially Observable Markov Decision Process Framework for Early Sepsis Prediction. INFORMS J. Comput. 2022, 1, 176–182. [Google Scholar] [CrossRef]
- Puterman, M.L. Markov Decision Processes: Discrete Stochastic Dynamic Programming; John Wiley & Sons: Hoboken, NJ, USA, 2014. [Google Scholar]
- Bellman, R.; Kalaba, R.E. Dynamic Programming and Modern Control Theory; Academic Press: New York, NY, USA, 1965. [Google Scholar]
- Puterman, M.L. Markov decision processes. In Stochastic Models; Elsevier: Amsterdam, The Netherlands, 1990; pp. 331–434. [Google Scholar]
- Bellman, R. Dynamic programming. Science 1966, 153, 34–37. [Google Scholar] [CrossRef]
- Mnih, V.; Kavukcuoglu, K.; Silver, D.; Rusu, A.A.; Veness, J.; Bellemare, M.G.; Graves, A.; Riedmiller, M.; Fidjeland, A.K.; Ostrovski, G. Human-level control through deep reinforcement learning. Nature 2015, 518, 529–533. [Google Scholar] [CrossRef]
- Van Hasselt, H.; Guez, A.; Silver, D. Deep reinforcement learning with double q-learning. In Proceedings of the Thirtieth the Association for the Advancement of Artificial Intelligence Conference on Artificial Intelligence, Phoenix, AZ, USA, 12–17 February 2016; pp. 2094–2100. [Google Scholar]
- Haarnoja, T.; Zhou, A.; Abbeel, P.; Levine, S. Soft actor-critic: Off-policy maximum entropy deep reinforcement learning with a stochastic actor. In Proceedings of the Thirty-Fifth International Conference on Machine Learning, Stockholm, Sweden, 25–31 July 2018; pp. 1861–1870. [Google Scholar]
- Wang, D.; Ren, J.; Ha, M. Discounted linear Q-learning control with novel tracking cost and its stability. Inf. Sci. 2023, 626, 339–353. [Google Scholar] [CrossRef]
- Bertsekas, D. Reinforcement Learning and Optimal Control; Athena Scientific: Nashua, NH, USA, 2019. [Google Scholar]
- Wang, X.; Yang, Z.; Liu, Y.; Chen, G. A reinforcement learning-based strategy updating model for the cooperative evolution. Phys. A 2023, 618, 128699. [Google Scholar] [CrossRef]
- Gosavi, A. Reinforcement learning: A tutorial survey and recent advances. INFORMS J. Comput. 2009, 21, 178–192. [Google Scholar] [CrossRef]
- Nguyen, T.T.; Nguyen, N.D.; Nahavandi, S. Deep Reinforcement Learning for Multiagent Systems: A Review of Challenges, Solutions, and Applications. IEEE Trans. Cybern. 2020, 50, 3826–3839. [Google Scholar] [CrossRef]
- Zai, W.; Wang, J.; Li, G. A Drone Scheduling Method for Emergency Power Material Transportation Based on Deep Reinforcement Learning Optimized PSO Algorithm. Sustainability 2023, 15, 13127. [Google Scholar] [CrossRef]
- Leon, J.F.; Li, Y.; Martin, X.A.; Calvet, L.; Panadero, J.; Juan, A.A. A Hybrid Simulation and Reinforcement Learning Algorithm for Enhancing Efficiency in Warehouse Operations. Algorithms 2023, 16, 408. [Google Scholar] [CrossRef]
- Schrittwieser, J.; Antonoglou, I.; Hubert, T.; Simonyan, K.; Sifre, L.; Schmitt, S.; Guez, A.; Lockhart, E.; Hassabis, D.; Graepel, T. Mastering atari, go, chess and shogi by planning with a learned model. Nature 2020, 588, 604–609. [Google Scholar] [CrossRef]
- Lv, Z.; Tong, X. A Reinforcement Learning List Recommendation Model Fused with Graph Neural Networks. Electronics 2023, 12, 3748. [Google Scholar] [CrossRef]
- Wu, X.; Huang, S.; Huang, G. Deep Reinforcement Learning-Based 2.5D Multi-Objective Path Planning for Ground Vehicles: Considering Distance and Energy Consumption. Electronics 2023, 12, 3840. [Google Scholar] [CrossRef]
- Mazyavkina, N.; Sviridov, S.; Ivanov, S.; Burnaev, E. Reinforcement learning for combinatorial optimization: A survey. Comput. Oper. Res. 2021, 134, 105400. [Google Scholar] [CrossRef]
- Fehér, Á.; Aradi, S.; Bécsi, T. Online trajectory planning with reinforcement learning for pedestrian avoidance. Electronics 2022, 11, 2346. [Google Scholar] [CrossRef]
- Huang, F.; Deng, X.; He, Y.; Jiang, W. A novel policy based on action confidence limit to improve exploration efficiency in reinforcement learning. Inf. Sci. 2023, 640, 119011. [Google Scholar] [CrossRef]
- Yao, Z.; Yu, J.; Zhang, J.; He, W. Graph and dynamics interpretation in robotic reinforcement learning task. Inf. Sci. 2022, 611, 317–334. [Google Scholar] [CrossRef]
- Guo, Z.; Thakoor, S.; Pîslar, M.; Avila Pires, B.; Altché, F.; Tallec, C.; Saade, A.; Calandriello, D.; Grill, J.B.; Tang, Y.; et al. Byol-explore: Exploration by bootstrapped prediction. Adv. Neural. Inf. Process. Syst. 2022, 35, 31855–31870. [Google Scholar]
- Fujimoto, S.; Hoof, H.; Meger, D. Addressing function approximation error in actor-critic methods. In Proceedings of the Thirty-Fifth International Conference on Machine Learning, Stockholm, Sweden, 25–31 July 2018; pp. 1587–1596. [Google Scholar]
- Zaks, G.; Katz, G. ReCom: A deep reinforcement learning approach for semi-supervised tabular data labeling. Inf. Sci. 2022, 589, 321–340. [Google Scholar] [CrossRef]
- Kaelbling, L.P.; Littman, M.L.; Moore, A.W. Reinforcement learning: A survey. J. Artif. Intell. Res. 1996, 4, 237–285. [Google Scholar] [CrossRef]
- Vinyals, O.; Babuschkin, I.; Czarnecki, W.M.; Mathieu, M.; Dudzik, A.; Chung, J.; Choi, D.H.; Powell, R.; Ewalds, T.; Georgiev, P.; et al. Grandmaster level in StarCraft II using multi-agent reinforcement learning. Nature 2019, 575, 350–354. [Google Scholar] [CrossRef]
- Schaul, T.; Quan, J.; Antonoglou, I.; Silver, D. Prioritized experience replay. arXiv 2015, arXiv:1511.05952. [Google Scholar]
- Triche, A.; Maida, A.S.; Kumar, A. Exploration in neo-Hebbian reinforcement learning: Computational approaches to the exploration–exploitation balance with bio-inspired neural networks. Neural Netw. 2022, 151, 16–33. [Google Scholar] [CrossRef] [PubMed]
- Kyoung, D.; Sung, Y. Transformer Decoder-Based Enhanced Exploration Method to Alleviate Initial Exploration Problems in Reinforcement Learning. Sensors 2023, 23, 7411. [Google Scholar] [CrossRef]
- Yuan, Y.; Yu, Z.L.; Gu, Z.; Yeboah, Y.; Wei, W.; Deng, X.; Li, J.; Li, Y. A novel multi-step Q-learning method to improve data efficiency for deep reinforcement learning. Knowl. Based. Syst. 2019, 175, 107–117. [Google Scholar] [CrossRef]
- White, C.C.; White, D.J. Markov decision processes. Eur. J. Oper. Res. 1989, 39, 1–16. [Google Scholar] [CrossRef]
- Bellman, R. Dynamic Programming; Princeton University Press: Princeton, NJ, USA, 1957. [Google Scholar]
- Sutton, R.S.; Barto, A.G. Reinforcement Learning: An Introduction; MIT Press: Cambridge, MA, USA, 2018. [Google Scholar]
- Meuleau, N.; Bourgine, P. Exploration of multi-state environments: Local measures and back-propagation of uncertainty. Mach. Learn. 1999, 35, 117–154. [Google Scholar] [CrossRef]
- Kakade, S.M. On the Sample Complexity of Reinforcement Learning; University of London: London, UK, 2003. [Google Scholar]
- Kingma, D.P.; Ba, J. Adam: A method for stochastic optimization. arXiv 2014, arXiv:1412.6980. [Google Scholar]
- Durrett, R. Probability: Theory and Examples; Cambridge University Press: Cambridge, UK, 2019; Volume 49. [Google Scholar]
- Bellemare, M.G.; Naddaf, Y.; Veness, J.; Bowling, M. The arcade learning environment: An evaluation platform for general agents. J. Artif. Intell. Res. 2013, 47, 253–279. [Google Scholar] [CrossRef]
- Machado, M.C.; Bellemare, M.G.; Talvitie, E.; Veness, J.; Hausknecht, M.; Bowling, M. Revisiting the arcade learning environment: Evaluation protocols and open problems for general agents. J. Artif. Intell. Res. 2018, 61, 523–562. [Google Scholar] [CrossRef]
- Adams, J.; Balas, E.; Zawack, D. The shifting bottleneck procedure for job shop scheduling. Manag. Sci. 1988, 34, 391–401. [Google Scholar] [CrossRef]
- Xia, W.; Wu, Z. An effective hybrid optimization approach for multi-objective flexible job-shop scheduling problems. Comput. Ind. Eng. 2005, 48, 409–425. [Google Scholar] [CrossRef]
- Wang, L.; Hu, X.; Wang, Y.; Xu, S.; Ma, S.; Yang, K.; Liu, Z.; Wang, W. Dynamic job-shop scheduling in smart manufacturing using deep reinforcement learning. Comput. Netw. 2021, 190, 107969. [Google Scholar] [CrossRef]








| Symbol | Description |
|---|---|
| S | State space. |
| The state at time t. | |
| A | Action space. |
| The size of the action space. | |
| The actions executed at time t. | |
| P | Probability of state transfer. |
| R | Reward function. |
| Reward obtained at time t. | |
| Discount factor. | |
| Expectation function. | |
| Q | Action value function. |
| Action value function under strategy . | |
| Optimal action value function. | |
| The set of strategies. | |
| Optimal strategy. | |
| The state s follows a probability distribution p. | |
| Learning rate. | |
| TD error at time t. | |
| Parameters of the -greedy algorithm. | |
| Parameters of the SoftMax algorithm. | |
| Parameters of the target network in the DQN algorithm. | |
| Parameters of the current network in the DQN algorithm. | |
| Parameters of the target network in the DDQN algorithm. | |
| Parameters of the current network in the DDQN algorithm. | |
| Parameters of the TEAE model, inverse sensitivity coefficient. | |
| Parameters in the TEAE model, usually taken as . | |
| D | Experience replay pool. |
| C | The size of the experience replay pool. |
| N | Number of iteration epochs. |
| n | Number of iteration time steps in the epoch. |
| F | Frequency of updating parameters of the target network. |
| Hyperparameter | Value | Description |
|---|---|---|
| Minibatch size | 32 | Number of training cases over which each stochastic gradient descent (SGD) update is computed. |
| Replay memory size | SGD updates are sampled from this number of most recent empirical data. | |
| Update frequency | 2 | The frequency at which the target network parameters are updated. |
| Discount factor | 0.99 | Discount factor gamma used in the Q-learning. |
| Learning rate | The learning rate used by Adam. | |
| Initial exploration probability | 1 | Initial value of in TEAE model. |
| Number of epochs | epochs per algorithm iteration. | |
| Time steps | time steps per epoch. |
| Alien | Asterix | Asteroids | Battle Zone | Chopper Commmand | Gopher | |
|---|---|---|---|---|---|---|
| DQN-PER-TEAE | 0.919 | 0.818 | 0.958 | 0.839 | 0.895 | 0.761 |
| DDQN-PER-TEAE | 0.976 | 0.955 | 0.971 | 0.649 | 0.897 | 0.833 |
| DQN-PER | 0.681 | 0.773 | 0.767 | 0.921 | 0.737 | 0.635 |
| DDQN-PER | 0.943 | 0.909 | 0.956 | 0.721 | 0.789 | 0.875 |
| SAC | 0.964 | 0.948 | 0.983 | 0.932 | 0.891 | 0.862 |
| RAND | 0.483 | 0.462 | 0.496 | 0.398 | 0.461 | 0.397 |
| Alien | Asterix | Asteroids | Battle Zone | Chopper Commmand | Gopher | |
|---|---|---|---|---|---|---|
| DQN-PER-TEAE | 1930 | 900 | 2400 | 20,000 | 1700 | 1460 |
| DDQN-PER-TEAE | 2050 | 1100 | 2330 | 16,000 | 1900 | 1600 |
| DQN-PER | 750 | 850 | 1840 | 20,510 | 1400 | 1220 |
| DDQN-PER | 1440 | 1000 | 2300 | 18,000 | 1500 | 1920 |
| SAC | 2000 | 1000 | 2310 | 21,000 | 1810 | 2110 |
| RAND | 227.8 | 210 | 719.1 | 2360 | 811 | 257.6 |
| Problem | DQN-PER -TEAE | DDQN-PER -TEAE | DQN-PER | DDQN-PER | FIFO | SPT | LPT |
|---|---|---|---|---|---|---|---|
| 111.52 | 105.16 | 120.13 | 110.27 | 119.63 | 129.16 | 130.12 | |
| 147.16 | 137.28 | 154.29 | 145.18 | 158.32 | 161.24 | 173.54 | |
| 173.19 | 160.47 | 183.36 | 178.26 | 185.18 | 198.25 | 208.72 |
| Problem | DQN-PER -TEAE | DDQN-PER -TEAE | DQN-PER | DDQN-PER | FIFO | SPT | LPT |
|---|---|---|---|---|---|---|---|
| 258.73 | 247.36 | 279.26 | 260.59 | 257.16 | 261.51 | 274.69 | |
| 321.19 | 312.47 | 335.25 | 321.47 | 338.53 | 347.56 | 368.43 |
Disclaimer/Publisher’s Note: The statements, opinions and data contained in all publications are solely those of the individual author(s) and contributor(s) and not of MDPI and/or the editor(s). MDPI and/or the editor(s) disclaim responsibility for any injury to people or property resulting from any ideas, methods, instructions or products referred to in the content. |
© 2023 by the authors. Licensee MDPI, Basel, Switzerland. This article is an open access article distributed under the terms and conditions of the Creative Commons Attribution (CC BY) license (https://creativecommons.org/licenses/by/4.0/).
Share and Cite
Wang, X.; Yang, Z.; Chen, G.; Liu, Y. A Reinforcement Learning Method of Solving Markov Decision Processes: An Adaptive Exploration Model Based on Temporal Difference Error. Electronics 2023, 12, 4176. https://doi.org/10.3390/electronics12194176
Wang X, Yang Z, Chen G, Liu Y. A Reinforcement Learning Method of Solving Markov Decision Processes: An Adaptive Exploration Model Based on Temporal Difference Error. Electronics. 2023; 12(19):4176. https://doi.org/10.3390/electronics12194176
Chicago/Turabian StyleWang, Xianjia, Zhipeng Yang, Guici Chen, and Yanli Liu. 2023. "A Reinforcement Learning Method of Solving Markov Decision Processes: An Adaptive Exploration Model Based on Temporal Difference Error" Electronics 12, no. 19: 4176. https://doi.org/10.3390/electronics12194176
APA StyleWang, X., Yang, Z., Chen, G., & Liu, Y. (2023). A Reinforcement Learning Method of Solving Markov Decision Processes: An Adaptive Exploration Model Based on Temporal Difference Error. Electronics, 12(19), 4176. https://doi.org/10.3390/electronics12194176

