Astrophysical Wormholes
Abstract
1. Introduction
2. Formation and Stability
3. Search for Astrophysical Wormholes
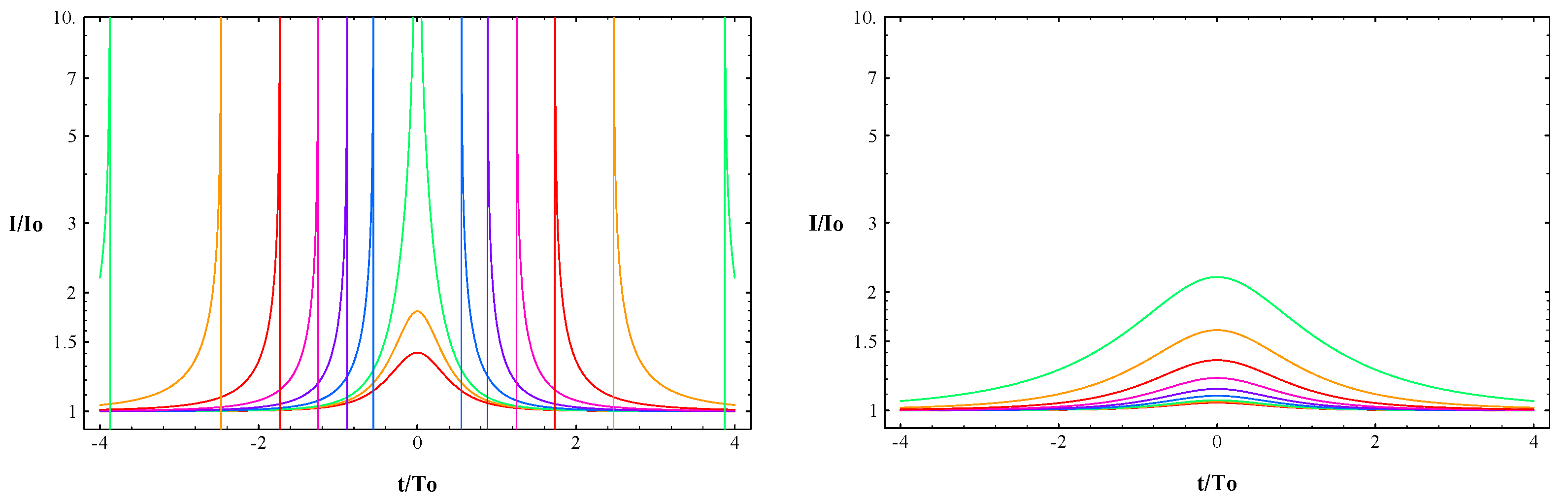
3.1. Gravitational Lensing
3.2. Orbiting Stars
3.3. Imaging
3.4. Accretion Disk Spectra
3.5. Gravitational Waves
4. Concluding Remarks
Author Contributions
Funding
Institutional Review Board Statement
Informed Consent Statement
Data Availability Statement
Conflicts of Interest
References
- Emparan, R.; Grado-White, B.; Marolf, D.; Tomasevic, M. Multi-mouth Traversable Wormholes. arXiv 2012, arXiv:2012.07821. [Google Scholar]
- Einstein, A.; Rosen, N. The Particle Problem in the General Theory of Relativity. Phys. Rev. 1935, 48, 73–77. [Google Scholar] [CrossRef]
- Misner, C.W.; Wheeler, J.A. Classical physics as geometry: Gravitation, electromagnetism, unquantized charge, and mass as properties of curved empty space. Annals Phys. 1957, 2, 525–603. [Google Scholar] [CrossRef]
- Bronnikov, K.A. Scalar-tensor theory and scalar charge. Acta Phys. Polon. B 1973, 4, 251–266. [Google Scholar]
- Ellis, H.G. Ether flow through a drainhole—A particle model in general relativity. J. Math. Phys. 1973, 14, 104–118. [Google Scholar] [CrossRef]
- Morris, M.S.; Thorne, K.S. Wormholes in space-time and their use for interstellar travel: A tool for teaching general relativity. Am. J. Phys. 1988, 56, 395–412. [Google Scholar] [CrossRef]
- Morris, M.S.; Thorne, K.S.; Yurtsever, U. Wormholes, Time Machines, and the Weak Energy Condition. Phys. Rev. Lett. 1988, 61, 1446–1449. [Google Scholar] [CrossRef]
- Visser, M. Traversable wormholes: Some simple examples. Phys. Rev. D 1989, 39, 3182–3184. [Google Scholar] [CrossRef]
- Bronnikov, K.A.; Krechet, V.G. Potentially observable cylindrical wormholes without exotic matter in general relativity. Phys. Rev. D 2019, 99, 084051. [Google Scholar] [CrossRef]
- Shinkai, H.A.; Hayward, S.A. Fate of the first traversible wormhole: Black hole collapse or inflationary expansion. Phys. Rev. D 2002, 66, 044005. [Google Scholar] [CrossRef]
- Gravanis, E.; Willison, S. ‘Mass without mass’ from thin shells in Gauss–Bonnet gravity. Phys. Rev. D 2007, 75, 084025. [Google Scholar] [CrossRef]
- Richarte, M.G.; Simeone, C. Thin-shell wormholes supported by ordinary matter in Einstein-Gauss-Bonnet gravity. Phys. Rev. D 2008, 76, 087502, Erratum in 2008, 77, 089903. [Google Scholar] [CrossRef]
- Eiroa, E.F.; Richarte, M.G.; Simeone, C. Thin-shell wormholes in Brans-Dicke gravity. Phys. Lett. A 2008, 373, 1–4, Erratum in 2009, 373, 2399–2400. [Google Scholar] [CrossRef]
- Richarte, M.G. Wormholes and solitonic shells in five-dimensional DGP theory. Phys. Rev. D 2010, 82, 044021. [Google Scholar] [CrossRef]
- Abbott, B.P.; Abbott, R.; Abbott, T.D.; Abernathy, M.R.; Acernese, F.; Ackley, K.; Adams, C.; Adams, T.; Addesso, P.; Adhikari, R.X.; et al. [LIGO Scientific and Virgo]. Observation of Gravitational Waves from a Binary Black Hole Merger. Phys. Rev. Lett. 2016, 116, 061102. [Google Scholar] [CrossRef] [PubMed]
- The Event Horizon Telescope Collaboration; Akiyama, K.; Alberdi, A.; Alef, W.; Asada, K.; Azulay, R.; Baczko, A.-K.; Ball, D.; Baloković, M.; Barrett, J. First M87 Event Horizon Telescope Results. I. The Shadow of the Supermassive Black Hole. Astrophys. J. 2019, 875. [Google Scholar] [CrossRef]
- Friedman, J.L.; Schleich, K.; Witt, D.M. Topological censorship. Phys. Rev. Lett. 1993, 71, 1486–1489, Erratum in 1995, 75, 1872. [Google Scholar] [CrossRef] [PubMed]
- Galloway, G.J.; Schleich, K.; Witt, D.M.; Woolgar, E. Topological censorship and higher genus black holes. Phys. Rev. D 1999, 60, 104039. [Google Scholar] [CrossRef]
- Gao, P.; Jafferis, D.L.; Wall, A.C. Traversable Wormholes via a Double Trace Deformation. J. High Energy Phys. 2017, 12, 151. [Google Scholar] [CrossRef]
- Maldacena, J.; Qi, X.L. Eternal traversable wormhole. arXiv 2018, arXiv:1804.00491. [Google Scholar]
- Horowitz, G.T.; Marolf, D.; Santos, J.E.; Wang, D. Creating a Traversable Wormhole. Class Quant. Grav. 2019, 36, 205011. [Google Scholar] [CrossRef]
- Maldacena, J.; Susskind, L. Cool horizons for entangled black holes. Fortsch. Phys. 2013, 61, 781–811. [Google Scholar] [CrossRef]
- Visser, M.; Kar, S.; Dadhich, N. Traversable wormholes with arbitrarily small energy condition violations. Phys. Rev. Lett. 2003, 90, 201102. [Google Scholar] [CrossRef]
- Deng, H.; Garriga, J.; Vilenkin, A. Primordial black hole and wormhole formation by domain walls. J. Cosmol. Astropart. Phys. 2017, 4, 50. [Google Scholar] [CrossRef]
- Polchinski, J. Cosmic superstrings revisited. AIP Conf. Proc. 2004, 743, 331–340. [Google Scholar] [CrossRef]
- Dai, D.C.; Minic, D.; Stojkovic, D. How to form a wormhole. Eur. Phys. J. C 2020, 80, 1103. [Google Scholar] [CrossRef]
- Arkani-Hamed, N.; Dimopoulos, S.; Dvali, G.R. The Hierarchy problem and new dimensions at a millimeter. Phys. Lett. B 1998, 429, 263–272. [Google Scholar] [CrossRef]
- Randall, L.; Sundrum, R. A Large mass hierarchy from a small extra dimension. Phys. Rev. Lett. 1999, 83, 3370–3373. [Google Scholar] [CrossRef]
- Randall, L.; Sundrum, R. An Alternative to compactification. Phys. Rev. Lett. 1999, 83, 4690–4693. [Google Scholar] [CrossRef]
- Dai, D.C.; Minic, D.; Stojkovic, D. New wormhole solution in de Sitter space. Phys. Rev. D 2017, 98, 124026. [Google Scholar] [CrossRef]
- Bambi, C. Testing black hole candidates with electromagnetic radiation. Rev. Mod. Phys. 2017, 89, 025001. [Google Scholar] [CrossRef]
- Yagi, K.; Stein, L.C. Black Hole Based Tests of General Relativity. Class. Quant. Grav. 2016, 33, 054001. [Google Scholar] [CrossRef]
- Kim, S.W.; Cho, Y.M. Wormhole gravitational lens. In Proceedings of the 37th Yamada Conference: Evolution of the Universe and its Observational Quest, Tokyo, Japan, 8–12 June 1993; Sato, K., Ed.; Universal Academy Press: Tokyo, Japan, 1994; pp. 353–354. [Google Scholar]
- Cramer, J.G.; Forward, R.L.; Morris, M.S.; Visser, M.; Benford, G.; Landis, G.A. Natural wormholes as gravitational lenses. Phys. Rev. D 1995, 51, 3117–3120. [Google Scholar] [CrossRef]
- Torres, D.F.; Romero, G.E.; Anchordoqui, L.A. Might some gamma-ray bursts be an observable signature of natural wormholes? Phys. Rev. D 1998, 58, 123001. [Google Scholar] [CrossRef]
- Torres, D.F.; Eiroa, E.F.; Romero, G.E. On the possibility of an astronomical detection of chromaticity effects in microlensing by wormhole - like objects. Mod. Phys. Lett. A 2001, 16, 1849–1861. [Google Scholar] [CrossRef]
- Nandi, K.K.; Zhang, Y.Z.; Zakharov, A.V. Gravitational lensing by wormholes. Phys. Rev. D 2006, 74, 024020. [Google Scholar] [CrossRef]
- Rahaman, F.; Kalam, M.; Chakraborty, S. Gravitational lensing by stable C-field wormhole. Chin. J. Phys. 2017, 45, 518. [Google Scholar]
- Dey, T.K.; Sen, S. Gravitational lensing by wormholes. Mod. Phys. Lett. A 2008, 23, 953–962. [Google Scholar] [CrossRef]
- Bhattacharya, A.; Potapov, A.A. Bending of light in Ellis wormhole geometry. Mod. Phys. Lett. A 2010, 25, 2399–2409. [Google Scholar] [CrossRef]
- Nakajima, K.; Asada, H. Deflection angle of light in an Ellis wormhole geometry. Phys. Rev. D 2012, 85, 107501. [Google Scholar] [CrossRef]
- Tsukamoto, N.; Harada, T.; Yajima, K. Can we distinguish between black holes and wormholes by their Einstein ring systems? Phys. Rev. D 2012, 86, 104062. [Google Scholar] [CrossRef]
- Kuhfittig, P.K.F. Gravitational lensing of wormholes in the galactic halo region. Eur. Phys. J. C 2014, 74, 2818. [Google Scholar] [CrossRef]
- Tsukamoto, N. Strong deflection limit analysis and gravitational lensing of an Ellis wormhole. Phys. Rev. D 2016, 94, 124001. [Google Scholar] [CrossRef]
- Shaikh, R.; Kar, S. Gravitational lensing by scalar-tensor wormholes and the energy conditions. Phys. Rev. D 2017, 96, 044037. [Google Scholar] [CrossRef]
- Jusufi, K.; Ovgün, A.; Banerjee, A. Light deflection by charged wormholes in Einstein–Maxwell-dilaton theory. Phys. Rev. D 2017, 96, 084036. [Google Scholar] [CrossRef]
- Övgün, A. Light deflection by Damour-Solodukhin wormholes and Gauss–Bonnet theorem. Phys. Rev. D 2018, 98, 044033. [Google Scholar] [CrossRef]
- Övgün, A.; Gyulchev, G.; Jusufi, K. Weak Gravitational lensing by phantom black holes and phantom wormholes using the Gauss–Bonnet theorem. Ann. Phys. 2019, 406, 152–172. [Google Scholar] [CrossRef]
- Ono, T.; Ishihara, A.; Asada, H. Deflection angle of light for an observer and source at finite distance from a rotating wormhole. Phys. Rev. D 2018, 98, 044047. [Google Scholar] [CrossRef]
- Shaikh, R.; Banerjee, P.; Paul, S.; Sarkar, T. A novel gravitational lensing feature by wormholes. Phys. Lett. B 2019, 789, 270–275, Erratum in 2019, 791, 422–423. [Google Scholar] [CrossRef]
- Shaikh, R.; Banerjee, P.; Paul, S.; Sarkar, T. Strong gravitational lensing by wormholes. J. Cosmol. Astropart. Phys. 2019, 7, 28. [Google Scholar] [CrossRef]
- Anchordoqui, L.A.; Romero, G.E.; Torres, D.F.; Andruchow, I. In search for natural wormholes. Mod. Phys. Lett. A 1999, 14, 791–798. [Google Scholar] [CrossRef]
- Abe, F. Gravitational Microlensing by the Ellis Wormhole. Astrophys. J. 2010, 725, 787–793. [Google Scholar] [CrossRef]
- Toki, Y.; Kitamura, T.; Asada, H.; Abe, F. Astrometric Image Centroid Displacements due to Gravitational Microlensing by the Ellis Wormhole. Astrophys. J. 2011, 740, 121. [Google Scholar] [CrossRef]
- Takahashi, R.; Asada, H. Observational Upper Bound on the Cosmic Abundances of Negative-mass Compact Objects and Ellis Wormholes from the Sloan Digital Sky Survey Quasar Lens Search. Astrophys. J. Lett. 2013, 768, L16. [Google Scholar] [CrossRef]
- Kitamura, T.; Nakajima, K.; Asada, H. Demagnifying gravitational lenses toward hunting a clue of exotic matter and energy. Phys. Rev. D 2013, 87, 027501. [Google Scholar] [CrossRef]
- Izumi, K.; Hagiwara, C.; Nakajima, K.; Kitamura, T.; Asada, H. Gravitational lensing shear by an exotic lens object with negative convergence or negative mass. Phys. Rev. D 2013, 88, 024049. [Google Scholar] [CrossRef]
- Nakajima, K.; Izumi, K.; Asada, H. Negative time delay of light by a gravitational concave lens. Phys. Rev. D 2014, 90, 084026. [Google Scholar] [CrossRef]
- Dai, D.C.; Stojkovic, D. Observing a Wormhole. Phys. Rev. D 2019, 100, 083513. [Google Scholar] [CrossRef]
- Dai, D.C.; Stojkovic, D. Reply to “Comment on ‘Observing a wormhole’”. Phys. Rev. D 2020, 101, 068302. [Google Scholar] [CrossRef]
- Do, T.; Hees, A.; Ghez, A.; Martinez, G.D.; Chu, D.S.; Jia, S.; Sakai, S.; Lu, J.R.; Gautam, A.K.; O’Neil, K.K.; et al. Relativistic redshift of the star S0-2 orbiting the Galactic center supermassive black hole. Science 2019, 365, 664–668. [Google Scholar] [CrossRef] [PubMed]
- Simonetti, J.H.; Kavic, M.J.; Minic, D.; Stojkovic, D.; Dai, D.C. A sensitive search for wormholes. arXiv 2020, arXiv:2007.12184. [Google Scholar]
- Kavic, M.; Simonetti, J.H.; Cutchin, S.E.; Ellingson, S.W.; Patterson, C.D. Transient Pulses from Exploding Primordial Black Holes as a Signature of an Extra Dimension. J. Cosmol. Astropart. Phys. 2008, 11, 17. [Google Scholar] [CrossRef]
- Kavic, M.; Minic, D.; Simonetti, J. Transient Astrophysical Pulses and Quantum Gravity. Int. J. Mod. Phys. D 2009, 17, 2495–2500. [Google Scholar] [CrossRef]
- Simonetti, J.H.; Kavic, M.; Minic, D.; Surani, U.; Vijayan, V. A Precision Test for an Extra Spatial Dimension Using Black Hole–Pulsar Binaries. Astrophys. J. Lett. 2011, 737, L28. [Google Scholar] [CrossRef]
- Estes, J.; Kavic, M.; Lippert, M.; Simonetti, J.H. Pulsar–black hole binaries as a window on quantum gravity. Int. J. Mod. Phys. D 2017, 26, 1743004. [Google Scholar] [CrossRef]
- Liebling, S.L.; Kavic, M.; Lippert, M. Probing Near-Horizon Fluctuations with Black Hole Binary Mergers. J. High Energy Phys. 2018, 3, 176. [Google Scholar] [CrossRef]
- Kavic, M.J.; Minic, D.; Simonetti, J. Quantum gravity and BH-NS binaries. Int. J. Mod. Phys. D 2018, 27, 1847007. [Google Scholar] [CrossRef]
- Kavic, M.; Liebling, S.L.; Lippert, M.; Simonetti, J.H. Accessing the axion via compact object binaries. J. Cosmol. Astropart. Phys. 2020, 8, 5. [Google Scholar] [CrossRef]
- Weisberg, J.M.; Huang, Y. Relativistic Measurements from Timing the Binary Pulsar PSR B1913+16. Astrophys. J. 2016, 829, 55. [Google Scholar] [CrossRef]
- Falcke, H.; Melia, F.; Agol, E. Viewing the shadow of the black hole at the galactic center. Astrophys. J. Lett. 2000, 528, L13. [Google Scholar] [CrossRef] [PubMed]
- Bambi, C.; Freese, K. Apparent shape of super-spinning black holes. Phys. Rev. D 2009, 79, 043002. [Google Scholar] [CrossRef]
- Bambi, C. Can the supermassive objects at the centers of galaxies be traversable wormholes? The first test of strong gravity for mm/sub-mm very long baseline interferometry facilities. Phys. Rev. D 2013, 87, 107501. [Google Scholar] [CrossRef]
- Mizuno, Y.; Younsi, Z.; Fromm, C.M.; Porth, O.; de Laurentis, M.; Olivares, H.; Falcke, H.; Kramer, M.; Rezzolla, L. The Current Ability to Test Theories of Gravity with Black Hole Shadows. Nat. Astron. 2018, 2, 585–590. [Google Scholar] [CrossRef]
- Nedkova, P.G.; Tinchev, V.K.; Yazadjiev, S.S. Shadow of a rotating traversable wormhole. Phys. Rev. D 2013, 88, 124019. [Google Scholar] [CrossRef]
- Ohgami, T.; Sakai, N. Wormhole shadows. Phys. Rev. D 2015, 91, 124020. [Google Scholar] [CrossRef]
- Abdujabbarov, A.; Juraev, B.; Ahmedov, B.; Stuchlík, Z. Shadow of rotating wormhole in plasma environment. Astrophys. Space Sci. 2016, 361, 226. [Google Scholar] [CrossRef]
- Shaikh, R. Shadows of rotating wormholes. Phys. Rev. D 2018, 98, 024044. [Google Scholar] [CrossRef]
- Gyulchev, G.; Nedkova, P.; Tinchev, V.; Yazadjiev, S. On the shadow of rotating traversable wormholes. Eur. Phys. J. C 2018, 78, 544. [Google Scholar] [CrossRef]
- Amir, M.; Banerjee, A.; Maharaj, S.D. Shadow of charged wormholes in Einstein–Maxwell–dilaton theory. Ann. Phys. 2019, 400, 198–207. [Google Scholar] [CrossRef]
- Wang, X.; Li, P.C.; Zhang, C.Y.; Guo, M. Novel shadows from the asymmetric thin-shell wormhole. Phys. Lett. B 2020, 811, 135930. [Google Scholar] [CrossRef]
- Wielgus, M.; Horak, J.; Vincent, F.; Abramowicz, M. Reflection-asymmetric wormholes and their double shadows. Phys. Rev. D 2020, 102, 084044. [Google Scholar] [CrossRef]
- Li, Z.; Bambi, C. Distinguishing black holes and wormholes with orbiting hot spots. Phys. Rev. D 2014, 90, 024071. [Google Scholar] [CrossRef]
- Shatskiy, A. Image of another universe being observed through a wormhole throat. Phys. Usp. 2009, 52, 811–814. [Google Scholar] [CrossRef]
- Doroshkevich, A.; Hansen, J.; Novikov, I.; Shatskiy, A. Passage of radiation through wormholes. Int. J. Mod. Phys. D 2009, 18, 1665–1691. [Google Scholar] [CrossRef]
- Novikov, I.D.; Thorne, K.S. Astrophysics of black holes. In Black Holes; De Witt, C., De Witt, B., Eds.; Gordon and Breach: New York, NY, USA, 1973; pp. 343–450. [Google Scholar]
- Page, D.N.; Thorne, K.S. Disk-Accretion onto a Black Hole. Time-Averaged Structure of Accretion Disk. Astrophys. J. 1974, 191, 499–506. [Google Scholar] [CrossRef]
- Bambi, C. Black Holes: A Laboratory for Testing Strong Gravity; Springer: Singapore, 2017. [Google Scholar] [CrossRef]
- Bambi, C.; Brenneman, L.W.; Dauser, T.; Garcia, J.A.; Grinberg, V.; Ingram, A.; Jiang, J.; Liu, H.; Lohfink, A.M.; Marinucci, A.; et al. Towards precision measurements of accreting black holes using X-ray reflection spectroscopy. arXiv 2020, arXiv:2011.04792. [Google Scholar]
- Bambi, C. Astrophysical Black Holes: A Compact Pedagogical Review. Ann. Phys. 2018, 530, 1700430. [Google Scholar] [CrossRef]
- Harko, T.; Kovacs, Z.; Lobo, F.S.N. Electromagnetic signatures of thin accretion disks in wormhole geometries. Phys. Rev. D 2008, 78, 084005. [Google Scholar] [CrossRef]
- Harko, T.; Kovacs, Z.; Lobo, F.S.N. Thin accretion disks in stationary axisymmetric wormhole spacetimes. Phys. Rev. D 2009, 79, 064001. [Google Scholar] [CrossRef]
- Karimov, R.K.; Izmailov, R.N.; Nandi, K.K. Accretion disk around the rotating Damour–Solodukhin wormhole. Eur. Phys. J. C 2019, 79, 952. [Google Scholar] [CrossRef]
- Paul, S.; Shaikh, R.; Banerjee, P.; Sarkar, T. Observational signatures of wormholes with thin accretion disks. J. Cosmol. Astropart. Phys. 2020, 3, 55. [Google Scholar] [CrossRef]
- Tripathi, A.; Zhou, M.; Abdikamalov, A.B.; Ayzenberg, D.; Bambi, C.; Gou, L.; Grinberg, V.; Liu, H.; Steiner, J.F. Testing general relativity with the stellar-mass black hole in LMC X-1 using the continuum-fitting method. Astrophys. J. 2020, 897, 84. [Google Scholar] [CrossRef]
- Tripathi, A.; Abdikamalov, A.B.; Ayzenberg, D.; Bambi, C.; Grinberg, V.; Zhou, M. Testing the Kerr Black Hole Hypothesis with GX 339–4 by a Combined Analysis of Its Thermal Spectrum and Reflection Features. Astrophys. J. 2021, 907, 31. [Google Scholar] [CrossRef]
- Tripathi, A.; Zhang, Y.; Abdikamalov, A.B.; Ayzenberg, D.; Bambi, C.; Jiang, J.; Liu, H.; Zhou, M. Testing General Relativity with NuSTAR data of Galactic Black Holes. arXiv 2020, arXiv:2012.10669. [Google Scholar]
- Bambi, C. Broad Kα iron line from accretion disks around traversable wormholes. Phys. Rev. D 2013, 87, 084039. [Google Scholar] [CrossRef]
- Zhou, M.; Cardenas-Avendano, A.; Bambi, C.; Kleihaus, B.; Kunz, J. Search for astrophysical rotating Ellis wormholes with X-ray reflection spectroscopy. Phys. Rev. D 2016, 94, 024036. [Google Scholar] [CrossRef]
- Bambi, C.; Cardenas-Avendano, A.; Dauser, T.; Garcia, J.A.; Nampalliwar, S. Testing the Kerr black hole hypothesis using X-ray reflection spectroscopy. Astrophys. J. 2017, 842, 76. [Google Scholar] [CrossRef]
- Abdikamalov, A.B.; Ayzenberg, D.; Bambi, C.; Dauser, T.; Garcia, J.A.; Nampalliwar, S. Public Release of RELXILL_NK: A Relativistic Reflection Model for Testing Einstein’s Gravity. Astrophys. J. 2019, 878, 91. [Google Scholar] [CrossRef]
- Tripathi, A.; Zhou, B.; Abdikamalov, A.B.; Ayzenberg, D.; Bambi, C. Search for traversable wormholes in active galactic nuclei using x-ray data. Phys. Rev. D 2020, 101, 064030. [Google Scholar] [CrossRef]
- Piotrovich, M.Y.; Krasnikov, S.V.; Buliga, S.D.; Natsvlishvili, T.M. Search for wormhole candidates in active galactic nuclei: Radiation from colliding accreting flows. Mon. Not. R. Astron. Soc. 2020, 498, 3684–3686. [Google Scholar] [CrossRef]
- Dent, J.B.; Gabella, W.E.; Holley-Bockelmann, K.; Kephart, T.W. The Sound of Clearing the Throat: Gravitational Waves from a Black Hole Orbiting in a Wormhole Geometry. arXiv 2007, arXiv:2007.09135. [Google Scholar]
- Cardoso, V.; Pani, P. Testing the nature of dark compact objects: A status report. Living Rev. Rel. 2019, 22, 4. [Google Scholar] [CrossRef]
- Cardoso, V.; Franzin, E.; Pani, P. Is the gravitational-wave ringdown a probe of the event horizon? Phys. Rev. Lett. 2016, 116, 171101. [Google Scholar] [CrossRef]
- Konoplya, R.A.; Molina, C. The Ringing wormholes. Phys. Rev. D 2005, 71, 124009. [Google Scholar] [CrossRef]
- Konoplya, R.A.; Zhidenko, A. Wormholes versus black holes: Quasinormal ringing at early and late times. J. Cosmol. Astropart. Phys. 2016, 12. [Google Scholar] [CrossRef]
- Nandi, K.K.; Izmailov, R.N.; Yanbekov, A.A.; Shayakhmetov, A.A. Ring-down gravitational waves and lensing observables: How far can a wormhole mimic those of a black hole? Phys. Rev. D 2017, 95, 104011. [Google Scholar] [CrossRef]
- Bueno, P.; Cano, P.A.; Goelen, F.; Hertog, T.; Vercnocke, B. Echoes of Kerr-like wormholes. Phys. Rev. D 2018, 97, 024040. [Google Scholar] [CrossRef]
- Aneesh, S.; Bose, S.; Kar, S. Gravitational waves from quasinormal modes of a class of Lorentzian wormholes. Phys. Rev. D 2018, 97, 124004. [Google Scholar] [CrossRef]
- Blázquez-Salcedo, J.L.; Chew, X.Y.; Kunz, J. Scalar and axial quasinormal modes of massive static phantom wormholes. Phys. Rev. D 2018, 98, 044035. [Google Scholar] [CrossRef]
- Churilova, M.S.; Konoplya, R.A.; Zhidenko, A. Arbitrarily long-lived quasinormal modes in a wormhole background. Phys. Lett. B 2020, 802, 135207. [Google Scholar] [CrossRef]









Publisher’s Note: MDPI stays neutral with regard to jurisdictional claims in published maps and institutional affiliations. |
© 2021 by the authors. Licensee MDPI, Basel, Switzerland. This article is an open access article distributed under the terms and conditions of the Creative Commons Attribution (CC BY) license (https://creativecommons.org/licenses/by/4.0/).
Share and Cite
Bambi, C.; Stojkovic, D. Astrophysical Wormholes. Universe 2021, 7, 136. https://doi.org/10.3390/universe7050136
Bambi C, Stojkovic D. Astrophysical Wormholes. Universe. 2021; 7(5):136. https://doi.org/10.3390/universe7050136
Chicago/Turabian StyleBambi, Cosimo, and Dejan Stojkovic. 2021. "Astrophysical Wormholes" Universe 7, no. 5: 136. https://doi.org/10.3390/universe7050136
APA StyleBambi, C., & Stojkovic, D. (2021). Astrophysical Wormholes. Universe, 7(5), 136. https://doi.org/10.3390/universe7050136

