Crystal ZnGeP2 for Nonlinear Frequency Conversion: Physical Parameters, Phase-Matching and Nonlinear Properties: Revision
Abstract
1. Introduction
2. Physical Parameters of the ZGP Crystal
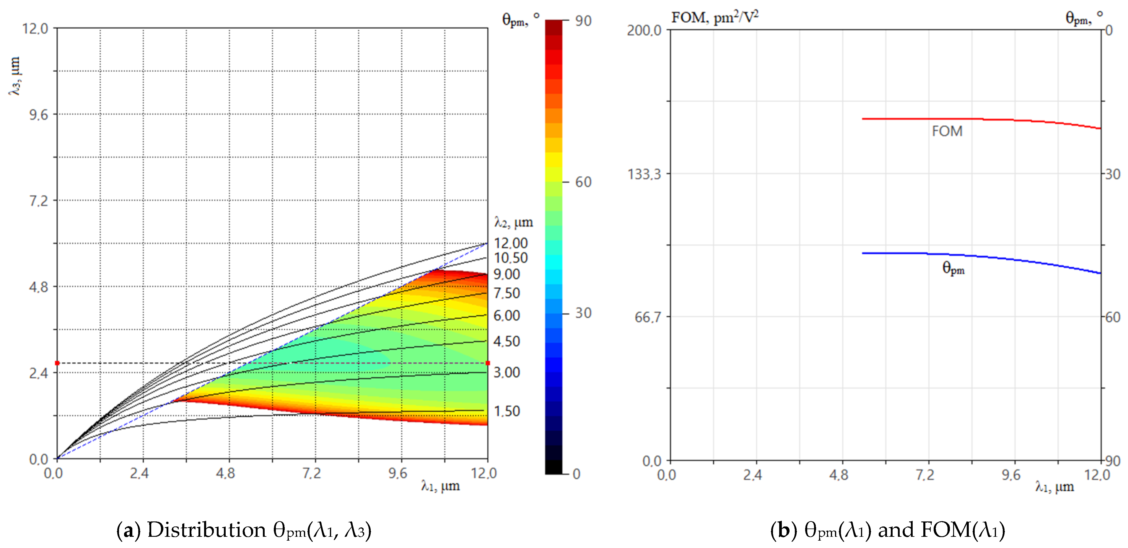
3. Function Capabilities of ZGP Crystal for Frequency Conversion
4. Thermo-Optical Parameters of ZGP Crystal for Frequency Conversion
5. Conclusions
Author Contributions
Funding
Institutional Review Board Statement
Informed Consent Statement
Data Availability Statement
Conflicts of Interest
References
- Vodopyanov, K.L. Chapter 7: Mid-IR Applications. In Laser-Based Mid-Infrared Sources and Applications; John Wiley & Sons: Hoboken, NJ, USA, 2020; pp. 247–286. [Google Scholar]
- Ebrahim-Zadeh, M.; Sorokina, I.T. Mid-Infrared Coherent Sources and Applications; Springer: Berlin/Heidelberg, Germany, 2008. [Google Scholar]
- Tittel, F.K.; Richter, D.; Fried, A. Mid-Infrared laser applications in spectroscopy. In Solid-State Mid-Infrared Laser Sources; Sorokina, I.T., Vodopyanov, K.L., Eds.; Springer: Berlin/Heidelberg, Germany, 2003; pp. 458–529. [Google Scholar]
- Ozaki, Y. Infrared Spectroscopy—Mid-infrared, near-infrared, and far-infrared/terahertz spectroscopy: Reviews. Anal. Sci. 2021, 37, 1193–1212. [Google Scholar] [CrossRef] [PubMed]
- Jean, B.; Bende, T. Mid-IR laser applications in medicine. In Solid-State Mid-Infrared Laser Sources; Sorokina, I.T., Vodopyanov, K.L., Eds.; Springer: Berlin/Heidelberg, Germany, 2003; pp. 530–565. [Google Scholar]
- Kazarian, S.G.; Chan, K.L. ATR-FTIR spectroscopic imaging: Recent advances and applications to biological systems. Analyst 2013, 138, 1940–1951. [Google Scholar] [CrossRef] [PubMed]
- Fujimoto, J.G. Optical coherence tomography for ultrahigh resolution in vivo imaging. Nat. Biotechnol. 2003, 21, 1361–1367. [Google Scholar] [CrossRef] [PubMed]
- López-Lorente, Á.I.; Mizaikoff, B. Mid-infrared spectroscopy for protein analysis: Potential and challenges. Anal. Bioanal. Chem. 2016, 408, 2875–2889. [Google Scholar] [CrossRef] [PubMed]
- Sabbah, S.; Harig, R.; Rusch, P.; Eichmann, J.; Keens, A.; Gerhard, J.H. Remote sensing of gases by hyperspectral imaging: System performance and measurements. Opt. Eng. 2012, 51, 111717. [Google Scholar] [CrossRef]
- Hodgkinson, J.; Tatam, R.P. Optical gas sensing: A review. Meas. Sci. Technol. 2013, 24, 012004. [Google Scholar] [CrossRef]
- Du, Z.; Zhang, S.; Li, J.; Gao, N.; Tong, K. Mid-Infrared tunable laser-based broadband fingerprint absorption spectroscopy for trace gas sensing: A review. Appl. Sci. 2019, 9, 338. [Google Scholar] [CrossRef]
- Li, J.; Yu, Z.; Du, Z.; Ji, Y.; Liu, C. Standoff chemical detection using laser absorption spectroscopy: A review. Remote Sens. 2020, 12, 2771. [Google Scholar] [CrossRef]
- Casadio, F.; Toniolo, L. The analysis of polychrome works of art: 40 years of infrared spectroscopic investigations. J. Cult. Herit. 2001, 2, 71–78. [Google Scholar] [CrossRef]
- Mazzeo, R. (Ed.) Analytical Chemistry for Cultural Heritage; Springer: Berlin/Heidelberg, Germany, 2016; Volume 374, 370p. [Google Scholar]
- Tinti, A.; Tugnoli, V.; Bonora, S.; Francioso, O. Recent applications of vibrational mid-Infrared (IR) spectroscopy for studying soil components: A review. J. Cent. Eur. Agric. 2015, 16, 1–22. [Google Scholar] [CrossRef]
- Petrov, V. Parametric down-conversion devices: The coverage of the mid-infrared spectral range by solid-state laser sources. Optic. Mater. 2012, 34, 536–554. [Google Scholar] [CrossRef]
- Petrov, V. Frequency down-conversion of solid-state laser sources to the mid-infrared spectral range using non-oxide nonlinear crystals. Prog. Quantum Electron. 2015, 42, 1–106. [Google Scholar] [CrossRef]
- Ebrahim-Zadeh, M.; Chaitanya Kumar, S.; Esteban-Martin, A.; Samanta, G.K. Breakthroughs in photonics 2012: Breakthroughs in optical parametric oscillators. IEEE Photon. J. 2013, 5, 0700105. [Google Scholar] [CrossRef]
- Schunemann, P.G. Improved NLO crystals for mid-IR laser applications. Proc. SPIE 2007, 6455, 64550R. [Google Scholar] [CrossRef]
- Schunemann, P.G.; Zawilski, K.T.; Pomeranz, L.A.; Creeden, D.J.; Budni, P.A. Advances in nonlinear optical crystals for mid-infrared coherent sources. J. Opt. Soc. Am. B 2016, 33, D36–D43. [Google Scholar] [CrossRef]
- Goryunova, N.A. Chemistry of Diamond-Like Semiconductors; Anderson, J.C., Ed.; The MIT Press: Cambridge, MA, USA, 1965; 242p. [Google Scholar]
- Boyd, G.D.; Buehler, E.; Storz, F.G. Linear and nonlinear optical properties of ZnGeP2 and CdSe. Appl. Phys. Lett. 1971, 18, 301–304. [Google Scholar] [CrossRef]
- Nikogosyan, D.N. Nonlinear Optical Crystals; Springer: Berlin/Heidelberg, Germany, 2005; 427p. [Google Scholar] [CrossRef]
- Available online: http://fc.gpi.ru (accessed on 5 March 2024).
- Hobgood, H.M.; Henningsen, T.; Thomas, R.N.; Hopkins, R.H.; Ohmer, M.C.; Mitchel, W.C.; Hopkins, F.K. ZnGeP2 grown by the liquid encapsulated Czochralski method. J. Appl. Phys. 1993, 73, 4030–4036. [Google Scholar] [CrossRef]
- Mason, P.D.; Jackson, D.J.; Gorton, E.K. CO2 laser frequency doubling in ZnGeP2. Opt. Commun. 1994, 110, 163–166. [Google Scholar] [CrossRef]
- Alford, W.J.; Smith, A.V. Wavelength variation of the second-order nonlinear coefficients of KNbO3, KTiOPO4, KTiOAsO4, LiNbO3, LiIO3, β-BaB2O4, KH2PO4, and LiB3O5 crystals: A test of Miller wavelength scaling. J. Opt. Soc. Am. B 2001, 18, 524–533. [Google Scholar] [CrossRef]
- Verozubova, G.A.; Okunev, A.O.; Gribenyukov, A.I.; Trofimiv, A.Y.; Trukhanov, E.M.; Kolesnikov, A.V. Growth and defect structure of ZnGeP2 crystals. J. Cryst. Growth 2010, 312, 1122–1126. [Google Scholar] [CrossRef]
- Andreev, Y.M.; Butuzov, V.V.; Verozubova, G.A.; Gribenyukov, A.I.; Davydov, S.V.; Zakharov, V.P. Generation of the second harmonic of pulsed CO2-laser radiation in AgGaSe2 and ZnGeP2 single crystals. Laser Phys. 1995, 5, 1014–1019. [Google Scholar]
- Ketteridge, P.A.; Budni, P.A.; Schunemann, P.G.; Lemons, M.; Pollack, T.M.; Chicklis, E.P. Tunable all solid state average power ZGP OPO at 2.7 and 8.5 microns. Advanced Solid-State Lasers. OSA Trends Opt. Photonics Ser. 1998, 19, 233–235. [Google Scholar] [CrossRef]
- Medvedkin, G.A.; Voevodin, V.G. Magnetic and optical phenomena in nonlinear optical crystals ZnGeP2 and CdGeP2. J. Opt. Soc. Am. B 2005, 22, 1884–1898. [Google Scholar] [CrossRef]
- Yudin, N.; Antipov, O.; Eranov, I.; Gribenyukov, A.; Verozubova, G.; Lei, Z.; Yang, C. Laser-induced damage threshold of single crystal ZnGeP2 at 2.1 µm: The effect of crystal lattice quality at various pulse widths and repetition rates. Crystals 2022, 12, 652. [Google Scholar] [CrossRef]
- Yudin, N.; Dyomin, V.; Gribenyukov, A.; Antipov, O.; Khudoley, A.; Kinyaevskiy, I.O.; Baalbaki, H. Physical and Technological Aspects of Laser-Induced Damage of ZGP Single Crystals under Periodically Pulsed Laser Irradiation at 2.1 µm. Photonics 2023, 10, 1364. [Google Scholar] [CrossRef]
- Bhar, G.C. Refractive index interpolation in phase-matching. Appl. Opt. 1976, 15, 305–307. [Google Scholar] [CrossRef] [PubMed]
- Bhar, G.C.; Ghosh, G. Temperature-dependent Sellmeier coefficients and coherence lengths for some chalcopyrite crystals. J. Opt. Soc. Am. 1979, 69, 730–733. [Google Scholar] [CrossRef]
- Bhar, G.C.; Ghosh, G. Temperature dependent phase-matched nonlinear optical devices using CdSe and ZnGeP2. IEEE J. Quantum Electron. 1980, 16, 838–843. [Google Scholar] [CrossRef]
- Kato, K. Second-harmonic and sum-frequency generation in ZnGeP2. Appl. Opt. 1997, 36, 2506–2510. [Google Scholar] [CrossRef]
- Ghosh, G. Sellmeier coefficients for the birefringence and refractive indices of ZnGeP2 nonlinear crystal at different temperatures. Appl. Opt. 1998, 37, 1205–1212. [Google Scholar] [CrossRef]
- Barnes, N.P.; Murray, K.E.; Jani, M.G.; Schunemann, P.G.; Pollak, T.M. ZnGeP2 parametric amplifier. J. Opt. Soc. Am. B 1998, 15, 232–238. [Google Scholar] [CrossRef]
- Zakharov, S.V.; Negin, A.E.; Filippov, P.G.; Zhilis, E.F. Sellmeier equation and conversion of the radiation of a repetitively pulsed tunable TEA CO2 laser into the second harmonic in a ZnGeP2 crystal. Quantum Electron. 1999, 29, 806–810. [Google Scholar] [CrossRef]
- Madarasz, F.L.; Dimmock, J.O.; Deitz, N.; Bachmann, K.J. Sellmeier parameters for ZnGeP2 and GaP. J. Appl. Phys. 2000, 87, 1564–1565, Erratum in J. Appl. Phys. 2000, 87, 7597. [Google Scholar] [CrossRef]
- Zelmon, D.E.; Hanning, E.A.; Schunemann, P.G. Refractive-index measurements and Sellmeier coefficients for zinc germanium phosphide from 2 to 9 µm with implications for phase matching in optical frequency-conversion devices. J. Opt. Soc. Am. B 2001, 18, 1307–1310. [Google Scholar] [CrossRef]
- Kato, K.; Takaoka, E.; Umemura, N. New Sellmeier and thermo-optic dispersion formulas for ZnGeP2. In Proceedings of the Conference on Lasers and Electro-Optics/Quantum Electronics and Laser Science Conference, Baltimore, MD, USA, 1–6 June 2003; p. NCTuM17. [Google Scholar]
- Das, S.; Bhar, G.C.; Gangopadhyay, S.; Ghosh, C. Linear and nonlinear optical properties of ZnGeP2 crystal for infrared laser device applications: Revisited. Appl. Opt. 2003, 42, 4335–4340. [Google Scholar] [CrossRef] [PubMed]
- Kumbhakar, P.; Kobayashi, T.; Bhar, G.C. Sellmeier dispersion for phase-matched terahertz generation in ZnGeP2. Appl. Opt. 2004, 43, 3324–3328. [Google Scholar] [CrossRef]
- Kato, K.; Umemura, N.; Okamoto, T.; Mikami, T. Modified Sellmeier equations for ZnGeP2 in the 0.97–1640 µm range. Proc. SPIE 2011, 7917, 79171V. [Google Scholar] [CrossRef]
- Guha, S. Updated temperature dependent Sellmeier equations for ZnGeP2 crystals. Proc. SPIE 2019, 10902, 1090210. [Google Scholar] [CrossRef]
- Ionin, A.A.; Kinyaevskiy, I.O.; Klimachev, Y.M.; Kozlov, A.Y.; Sagitova, A.M.; Seleznev, L.V.; Andreev, Y.M. Temperature phase-matching tuning of nonlinear ZnGeP2 crystal for frequency conversion under noncritical spectral phase-matching. Infrared Phys. Technol. 2019, 102, 103009. [Google Scholar] [CrossRef]
- Wang, H.; Tian, J.; Zhao, L.; Li, Z.; Tan, R. ZnGeP2 optical parametric oscillator with wide temperature tuning. Opt. Commun. 2023, 542, 129584. [Google Scholar] [CrossRef]
- Bhar, G.C.; Samanta, L.K.; Ghosh, D.K. Tunable parametric ZnGeP2 crystal oscillator. Sov. J. Quantum Electron. 1987, 17, 860–862. [Google Scholar] [CrossRef]
- Andreev, Y.M.; Voevodin, V.G.; Gribenyukov, A.I.; Zyryanov, O.Y.; Ippolitov, I.I.; Morozov, A.N.; Khmel’nitskiĭ, G.S. Efficient generation of the second harmonic of tunable CO2 laser radiation in ZnGeP2. Sov. J. Quantum Electron. 1984, 14, 1021–1022. [Google Scholar] [CrossRef]
- Boyd, G.D.; Buehler, E.; Storz, F.G.; Wernick, J. Linear and nonlinear optical properties of ternary AIIBIVC2V chalcopyrite semiconductors. IEEE J. Quant. Electron. 1972, 8, 419–426. [Google Scholar] [CrossRef]
- Eichhorn, M.; Stцppler, G.; Schellhorn, M.; Zawilski, K.T.; Schunemann, P.G. Gaussian- versus flat-top-pumping of a mid-IR ZGP RISTRA OPO. Appl. Phys. B 2012, 108, 109–115. [Google Scholar] [CrossRef]
- Ray, B.; Payne, A.J.; Burrell, G.J. Preparation and some physical properties of ZnGeP2. Phys. Stat. Solidi (b) 1969, 35, 197–204. [Google Scholar] [CrossRef]
- Fischer, D.W.; Ohmer, M.C. Temperature dependence of ZnGeP2 birefringence using polarized light interference. J. Appl. Phys. 1997, 81, 425–431. [Google Scholar] [CrossRef]
- Grigoreva, V.S.; Prochukhan, V.D.; Rud, Y.V.; Yakovenko, A.A. Some electrical properties of high-resistance ZnGeP2 single crystals. Phys. Stat. Solidi (a) 2006, 17, K69–K74. [Google Scholar] [CrossRef]
- Medvedkin, G.A. Optical dichroism in ZnGeP2 crystals at deep levels. J. Opt. Soc. Am. B 2022, 39, 851–858. [Google Scholar] [CrossRef]
- Wang, Z.; Mao, M.; Wu, H.; Ni, Y.; Huang, C.; Cheng, X. Study on annealing of infrared nonlinear optical crystal ZnGeP2. J. Cryst. Growth 2012, 359, 11–14. [Google Scholar] [CrossRef]
- Cordell, J.J.; Pucurimay, L.; Schnepf, R.R.; Levy-Wendt, B.L.; Toney, M.F.; Tucker, G.J.; Tamboli, A.C. Simulation and characterization of cation disorder in ZnGeP2. J. Mater. Res. 2022, 37, 1986–1996. [Google Scholar] [CrossRef]
- Voevodin, V.I.; Brudnyi, V.N.; Sarkisov, Y.S.; Su, X.; Sarkisov, S.Y. Electrical relaxation and transport properties of ZnGeP2 and 4H-SiC crystals measured with terahertz spectroscopy. Photonics 2023, 10, 827. [Google Scholar] [CrossRef]
- Sooriyagoda, R.; Piyathilaka, H.P.; Zawilski, K.T.; Schunemann, P.G.; Bristow, A.D. Carrier transport and electron–lattice interactions of nonlinear optical crystals CdGeP2, ZnGeP2, and CdSiP2. J. Opt. Soc. Am. B 2021, 38, 769–775. [Google Scholar] [CrossRef]
- Andreev, Y.M.; Arapov, Y.D.; Grechin, S.G.; Kasyanov, I.V.; Nikolaev, P.P. Functional possibilities of nonlinear crystals for frequency conversion: Uniaxial crystals. Quantum Electron. 2016, 46, 33–38. [Google Scholar] [CrossRef]
- Bhar, G.C.; Ghosh, G.C. Dispersion of thermooptic coefficients in nonlinear crystals. Appl. Opt. 1980, 19, 1029–1031. [Google Scholar] [CrossRef] [PubMed]
- Fischer, D.W.; Ohmer, M.C.; Schunemann, P.G.; Pollak, T.M. Direct measurement of ZnGeP2 birefringence from 0.66 to 12.2 μm using polarized light interference. J. Appl. Phys. 1995, 77, 5942. [Google Scholar] [CrossRef]
- Bhar, G.C.; Das, S.; Chatterjee, U.; Vodopyanov, K.L. Temperature-tunable second-harmonic generation in zinc germanium phosphide. Appl. Phys. Lett. 1989, 54, 313–314. [Google Scholar] [CrossRef]
- Grechin, S.G.; Dmitriev, V.G.; Dyakov, V.A.; Pryalkin, V.I. Dispersion of the temperature-noncritical frequency conversion and birefringence in biaxial optical crystals. Quantum Electron. 2004, 34, 461–466. [Google Scholar] [CrossRef]















| T, K | no = nx | ne = nz | nz – nx | λe,x, μm | λe,z, μm | λp,x, μm | λp,z, μm | Ref. |
|---|---|---|---|---|---|---|---|---|
| 293 | 3.07899 | 3.11816 | 0.03918 | 0.3665 | 0.3782 | 27.39 | 27.38 | [34] |
| 293 | 3.07914 | 3.11831 | 0.03916 | 0.3658 | 0.3776 | 25.74 | 25.74 | [35] |
| 373 | 3.08019 | 3.11927 | 0.03908 | 0.3709 | 0.3821 | 25.74 | 25.74 | [36] |
| 293 | 3.07914 | 3.1183 | 0.03916 | 0.3658 | 0.3776 | 25.74 | 25.74 | [50] |
| 293 | 3.07857 | 3.11995 | 0.04138 | 0.3419 | 0.3913 | [37] | ||
| 293 | 3.07878 | 3.11821 | 0.03943 | 0.3691 | 0.3787 | 30 | 30 | [38] |
| 293 | 3.07851 | 3.11819 | 0.03968 | 0.3659 | 0.3793 | 40.67 | 31.64 | [39] |
| 293 | 3.07938 | 3.11963 | 0.04025 | 0.3419 | 0.3913 | [40] | ||
| 293 | 3.07889 | 3.11234 | 0.03345 | 0.3655 | 0.3773 | [41] | ||
| 293 | 3.07929 | 3.11878 | 0.03949 | 0.6389 | 0.6439 | 24.72 | 21.26 | [42] |
| 293 | 3.07957 | 3.11912 | 0.03955 | 0.4687 | 0.4681 | 28.86 | 30.84 | [43] |
| 293 | 3.08582 | 3.12278 | 0.03696 | 0.3992 | 0.3537 | 30 | 30 | [44] |
| 293 | 3.07957 | 3.11912 | 0.03954 | 0.4289 | 0.4681 | 28.86 | 30.84 | [46] |
| 293 | 3.07901 | 3.11778 | 0.03876 | 0.3605 | 0.3742 | 25.74 | 25.74 | [48] |
| 293 | 3.079 | 3.11739 | 0.03839 | 0.3937 | 0.3673 | 26.58 | 24.57 | [47] |
| 293 | 3.07727 | 3.1166 | 0.03933 | 0.3685 | 0.3813 | 30 | 30 | [49] |
| max-min | 0.00855 | 0.01045 | 0.00794 | 0.297 | 0.2902 | 15.95 | 9.58 |
| Left | Right | |
|---|---|---|
| λ1, μm | 5.4 | 12.0 |
| λ2, μm | 5.4 | 3.45 |
| λ3, μm | 2.7 | 2.7 |
| FOM, pm2/V2 | 198.7 | 154.2 |
| θ, °λ | 46.7 | 51.0 |
| φ,° | 0 | 0 |
Disclaimer/Publisher’s Note: The statements, opinions and data contained in all publications are solely those of the individual author(s) and contributor(s) and not of MDPI and/or the editor(s). MDPI and/or the editor(s) disclaim responsibility for any injury to people or property resulting from any ideas, methods, instructions or products referred to in the content. |
© 2024 by the authors. Licensee MDPI, Basel, Switzerland. This article is an open access article distributed under the terms and conditions of the Creative Commons Attribution (CC BY) license (https://creativecommons.org/licenses/by/4.0/).
Share and Cite
Grechin, S.G.; Muravev, I.A. Crystal ZnGeP2 for Nonlinear Frequency Conversion: Physical Parameters, Phase-Matching and Nonlinear Properties: Revision. Photonics 2024, 11, 450. https://doi.org/10.3390/photonics11050450
Grechin SG, Muravev IA. Crystal ZnGeP2 for Nonlinear Frequency Conversion: Physical Parameters, Phase-Matching and Nonlinear Properties: Revision. Photonics. 2024; 11(5):450. https://doi.org/10.3390/photonics11050450
Chicago/Turabian StyleGrechin, Sergey G., and Ilyia A. Muravev. 2024. "Crystal ZnGeP2 for Nonlinear Frequency Conversion: Physical Parameters, Phase-Matching and Nonlinear Properties: Revision" Photonics 11, no. 5: 450. https://doi.org/10.3390/photonics11050450
APA StyleGrechin, S. G., & Muravev, I. A. (2024). Crystal ZnGeP2 for Nonlinear Frequency Conversion: Physical Parameters, Phase-Matching and Nonlinear Properties: Revision. Photonics, 11(5), 450. https://doi.org/10.3390/photonics11050450
