Self-Cleaning and Charge Transport Properties of Foils Coated with Acrylic Paint Containing TiO2 Nanoparticles
Abstract
1. Introduction
2. Results and Discussion
2.1. Material Characteristics: SEM, Raman Analysis, and Contact Angle
2.2. Nyquist Plot
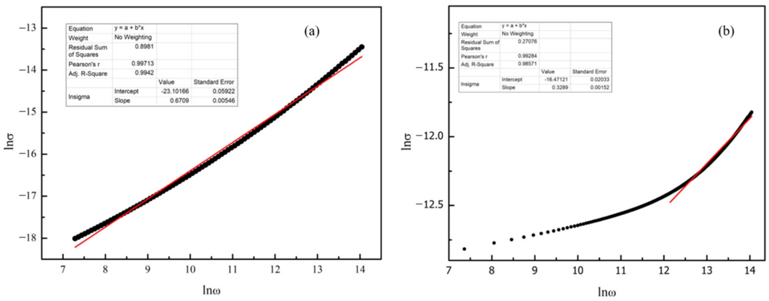
2.3. Frequency-Dependent Behavior
2.4. Electrical Conductivity
2.5. Self-Cleaning Properties of Prepared Tiles
2.6. Computational Analysis
3. Materials and Methods
3.1. Chemicals and Solutions
3.2. Materials for Synthesis
3.3. Characterization Methods
3.4. Plasma Treatment
3.5. Photodegradation Experiments
3.6. Computational Details
4. Conclusions
Author Contributions
Funding
Data Availability Statement
Acknowledgments
Conflicts of Interest
References
- Sarkar, S.; Ponce, N.T.; Banerjee, A.; Bandopadhyay, R.; Rajendran, S.; Lichtfouse, E. Green Polymeric Nanomaterials for the Photocatalytic Degradation of Dyes: A Review. Environ. Chem. Lett. 2020, 18, 1569–1580. [Google Scholar] [CrossRef]
- Banerjee, S.; Dionysiou, D.D.; Pillai, S.C. Self-Cleaning Applications of TiO2 by Photo-Induced Hydrophilicity and Photocatalysis. Appl. Catal. B Environ. 2015, 176–177, 396–428. [Google Scholar] [CrossRef]
- Al-Tohamy, R.; Ali, S.S.; Li, F.; Okasha, K.M.; Mahmoud, Y.A.-G.; Elsamahy, T.; Jiao, H.; Fu, Y.; Sun, J. A Critical Review on the Treatment of Dye-Containing Wastewater: Ecotoxicological and Health Concerns of Textile Dyes and Possible Remediation Approaches for Environmental Safety. Ecotoxicol. Environ. Saf. 2022, 231, 113160. [Google Scholar] [CrossRef] [PubMed]
- Lu, Y.; Song, S.; Wang, R.; Liu, Z.; Meng, J.; Sweetman, A.J.; Jenkins, A.; Ferrier, R.C.; Li, H.; Luo, W.; et al. Impacts of Soil and Water Pollution on Food Safety and Health Risks in China. Environ. Int. 2015, 77, 5–15. [Google Scholar] [CrossRef] [PubMed]
- Yaseen, D.A.; Scholz, M. Textile Dye Wastewater Characteristics and Constituents of Synthetic Effluents: A Critical Review. Int. J. Environ. Sci. Technol. 2019, 16, 1193–1226. [Google Scholar] [CrossRef]
- Calia, A.; Lettieri, M.; Masieri, M. Durability Assessment of Nanostructured TiO2 Coatings Applied on Limestones to Enhance Building Surface with Self-Cleaning Ability. Build. Environ. 2016, 110, 1–10. [Google Scholar] [CrossRef]
- Liang, F.; Dong, H.; Ji, Z.; Zhang, W.; Zhang, H.; Cao, C.; Li, H.; Liu, H.; Zhang, K.-Q.; Lai, Y.; et al. Temperature-Dependent Synthesis of SnO2 or Sn Embedded in Hollow Porous Carbon Nanofibers toward Customized Lithium-Ion Batteries. Sci. China Mater. 2023, 66, 1736–1746. [Google Scholar] [CrossRef]
- Armaković, S.J.; Savanović, M.M.; Armaković, S. Titanium Dioxide as the Most Used Photocatalyst for Water Purification: An Overview. Catalysts 2023, 13, 26. [Google Scholar] [CrossRef]
- Ge, M.; Tang, Y.; Malyi, O.I.; Zhang, Y.; Zhu, Z.; Lv, Z.; Ge, X.; Xia, H.; Huang, J.; Lai, Y.; et al. Mechanically Reinforced Localized Structure Design to Stabilize Solid–Electrolyte Interface of the Composited Electrode of Si Nanoparticles and TiO2 Nanotubes. Small 2020, 16, 2002094. [Google Scholar] [CrossRef]
- Ruot, B.; Plassais, A.; Olive, F.; Guillot, L.; Bonafous, L. TiO2-Containing Cement Pastes and Mortars: Measurements of the Photocatalytic Efficiency Using a Rhodamine B-Based Colourimetric Test. Sol. Energy 2009, 83, 1794–1801. [Google Scholar] [CrossRef]
- Demeestere, K.; Dewulf, J.; De Witte, B.; Beeldens, A.; Van Langenhove, H. Heterogeneous Photocatalytic Removal of Toluene from Air on Building Materials Enriched with TiO2. Build. Environ. 2008, 43, 406–414. [Google Scholar] [CrossRef]
- Vučetić, S.B.; Rudić, O.L.J.; Markov, S.L.; Bera, O.J.; Vidaković, A.M.; Skapin, A.S.S.; Ranogajec, J.G. Antifungal Efficiency Assessment of the TiO2 Coating on Façade Paints. Environ. Sci. Pollut. Res. 2014, 21, 11228–11237. [Google Scholar] [CrossRef] [PubMed]
- Stambolova, I.; Shipochka, M.; Blaskov, V.; Loukanov, A.; Vassilev, S. Sprayed Nanostructured TiO2 Films for Efficient Photocatalytic Degradation of Textile Azo Dye. J. Photochem. Photobiol. B Biol. 2012, 117, 19–26. [Google Scholar] [CrossRef] [PubMed]
- Yerli Soylu, N.; Soylu, A.; Dikmetas, D.N.; Karbancioglu-Guler, F.; Kucukbayrak, S.; Erol Taygun, M. Photocatalytic and Antimicrobial Properties of Electrospun TiO2–SiO2–Al2O3–ZrO2–CaO–CeO2 Ceramic Membranes. ACS Omega 2023, 8, 10836–10850. [Google Scholar] [CrossRef] [PubMed]
- Goetz, V.; Dezani, C.; Ribeiro, E.; Caliot, C.; Plantard, G. Continuous Flow Photocatalytic Reactor Using TiO2-coated Foams, Modeling and Experimental Operating Mode. AIChE J. 2023, 69, e17972. [Google Scholar] [CrossRef]
- Belkessa, N.; Serhane, Y.; Bouzaza, A.; Khezami, L.; Assadi, A.A. Gaseous Ethylbenzene Removal by Photocatalytic TiO2 Nanoparticles Immobilized on Glass Fiber Tissue under Real Conditions: Evaluation of Reactive Oxygen Species Contribution to the Photocatalytic Process. Environ. Sci. Pollut. Res. 2022, 30, 35745–35756. [Google Scholar] [CrossRef]
- Vulic, T.; Hadnadjev-Kostic, M.; Rudic, O.; Radeka, M.; Marinkovic-Neducin, R.; Ranogajec, J. Improvement of Cement-Based Mortars by Application of Photocatalytic Active Ti–Zn–Al Nanocomposites. Cem. Concr. Compos. 2013, 36, 121–127. [Google Scholar] [CrossRef]
- Lara, R.C.; De Castro Xavier, G.; Canela, M.C.; Carvalho, J.A.; Alexandre, J.; De Azevedo, A.R.G. Characterization and Photocatalytic Performance of Cement Mortars with Incorporation of TiO2 and Mineral Admixtures. Environ. Sci. Pollut. Res. 2023, 30, 95537–95549. [Google Scholar] [CrossRef]
- Růžek, V.; Novosád, J.; Buczkowska, K.E. Geopolymer Antimicrobial and Hydrophobic Modifications: A Review. Ceramics 2023, 6, 1749–1764. [Google Scholar] [CrossRef]
- Zailan, S.N.; Mahmed, N.; Abdullah, M.M.A.B.; Rahim, S.Z.A.; Halin, D.S.C.; Sandu, A.V.; Vizureanu, P.; Yahya, Z. Potential Applications of Geopolymer Cement-Based Composite as Self-Cleaning Coating: A Review. Coatings 2022, 12, 133. [Google Scholar] [CrossRef]
- Song, Z.; Fathizadeh, M.; Huang, Y.; Chu, K.H.; Yoon, Y.; Wang, L.; Xu, W.L.; Yu, M. TiO2 Nanofiltration Membranes Prepared by Molecular Layer Deposition for Water Purification. J. Membr. Sci. 2016, 510, 72–78. [Google Scholar] [CrossRef]
- Arun, J.; Nachiappan, S.; Rangarajan, G.; Alagappan, R.P.; Gopinath, K.P.; Lichtfouse, E. Synthesis and Application of Titanium Dioxide Photocatalysis for Energy, Decontamination and Viral Disinfection: A Review. Environ. Chem. Lett. 2023, 21, 339–362. [Google Scholar] [CrossRef]
- Navidpour, A.H.; Hosseinzadeh, A.; Zhou, J.L.; Huang, Z. Progress in the Application of Surface Engineering Methods in Immobilizing TiO 2 and ZnO Coatings for Environmental Photocatalysis. Catal. Rev. 2023, 65, 822–873. [Google Scholar] [CrossRef]
- Ramirez, A.M.; Demeestere, K.; De Belie, N.; Mäntylä, T.; Levänen, E. Titanium Dioxide Coated Cementitious Materials for Air Purifying Purposes: Preparation, Characterization and Toluene Removal Potential. Build. Environ. 2010, 45, 832–838. [Google Scholar] [CrossRef]
- Hüsken, G.; Hunger, M.; Brouwers, H.J.H. Experimental Study of Photocatalytic Concrete Products for Air Purification. Build. Environ. 2009, 44, 2463–2474. [Google Scholar] [CrossRef]
- Heredia Deba, S.A.; Wols, B.A.; Yntema, D.R.; Lammertink, R.G.H. Advanced Ceramics in Radical Filtration: TiO2 Layer Thickness Effect on the Photocatalytic Membrane Performance. J. Membr. Sci. 2023, 672, 121423. [Google Scholar] [CrossRef]
- Munafò, P.; Quagliarini, E.; Goffredo, G.B.; Bondioli, F.; Licciulli, A. Durability of Nano-Engineered TiO2 Self-Cleaning Treatments on Limestone. Constr. Build. Mater. 2014, 65, 218–231. [Google Scholar] [CrossRef]
- Poulios, I.; Spathis, P.; Grigoriadou, A.; Delidou, K.; Tsoumparis, P. Protection of Marbles against Corrosion and Microbial Corrosion with TiO 2 Coatings. J. Environ. Sci. Health Part A 1999, 34, 1455–1471. [Google Scholar] [CrossRef]
- Huang, X.; Tepylo, N.; Pommier-Budinger, V.; Budinger, M.; Bonaccurso, E.; Villedieu, P.; Bennani, L. A Survey of Icephobic Coatings and Their Potential Use in a Hybrid Coating/Active Ice Protection System for Aerospace Applications. Prog. Aerosp. Sci. 2019, 105, 74–97. [Google Scholar] [CrossRef]
- Weicheng, K.; Chengwen, S.; Dejun, K. Laser Cladded TiO2–Cu Composite Coatings with High TiO2 Content: Tribological Properties by First-Principle Calculation. Wear 2023, 530–531, 204999. [Google Scholar] [CrossRef]
- Kumar, A.; Singh, H.; Kant, R. Influence of Substrate Roughness and Ceramic Content on Deposition Characteristics of Cold-Sprayed Ti/TiO2 Deposits. Met. Mater. Int. 2023, 29, 1669–1683. [Google Scholar] [CrossRef]
- Gopalan, A.-I.; Lee, J.-C.; Saianand, G.; Lee, K.-P.; Sonar, P.; Dharmarajan, R.; Hou, Y.; Ann, K.-Y.; Kannan, V.; Kim, W.-J. Recent Progress in the Abatement of Hazardous Pollutants Using Photocatalytic TiO2-Based Building Materials. Nanomaterials 2020, 10, 1854. [Google Scholar] [CrossRef] [PubMed]
- Midtdal, K.; Jelle, B.P. Self-Cleaning Glazing Products: A State-of-the-Art Review and Future Research Pathways. Sol. Energy Mater. Sol. Cells 2013, 109, 126–141. [Google Scholar] [CrossRef]
- Carneiro, J.O.; Teixeira, V.; Portinha, A.; Magalhães, A.; Coutinho, P.; Tavares, C.J.; Newton, R. Iron-Doped Photocatalytic TiO2 Sputtered Coatings on Plastics for Self-Cleaning Applications. Mater. Sci. Eng. B 2007, 138, 144–150. [Google Scholar] [CrossRef]
- Qin, J.; Lu, H. A Review of Self-Cleaning Coatings for Solar Photovoltaic Systems: Theory, Materials, Preparation, and Applications. Environ. Sci. Pollut. Res. 2023, 30, 91591–91616. [Google Scholar] [CrossRef] [PubMed]
- Lalia, B.S.; Ahmed, F.E.; Shah, T.; Hilal, N.; Hashaikeh, R. Electrically Conductive Membranes Based on Carbon Nanostructures for Self-Cleaning of Biofouling. Desalination 2015, 360, 8–12. [Google Scholar] [CrossRef]
- Sumithra, M.; Sundaraganesan, N.; Rajesh, R.; Vetrivelan, V.; Ilangovan, V.; Javed, S.; Muthu, S. Electron Acceptor, Excitation Energies, Oscillatory Strength, Spectroscopic and Solvent Effects on 5-Amino-4,6-Dichloro-2-(Propylthio) Pyrimidine—Anticancer Agent. Chem. Phys. Impact. 2023, 6, 100145. [Google Scholar] [CrossRef]
- Sumithra, M.; Sundaraganesan, N.; Venkata Prasad, K.; Rajesh, R.; Vetrivelan, V.; Ilangovan, V.; Irfan, A.; Muthu, S. Effect of Green Solvents Physical, Chemical, Biological and Bonding Nature on 5-Acetyl-Thiophene-2-Carboxylic Acid by DFT and TD-DFT Approach—An Antiviral Agent. J. Indian Chem. Soc. 2023, 100, 100867. [Google Scholar] [CrossRef]
- Al-Otaibi, J.S.; Mary, Y.S.; Mary, Y.S.; Thomas, R. Evidence of Cluster Formation of Pyrrole with Mixed Silver Metal Clusters, Agx-My (x = 4,5, y = 2/1 and M = Au/Ni/Cu) Using DFT/SERS Analysis. Comput. Theor. Chem. 2022, 1208, 113569. [Google Scholar] [CrossRef]
- Haruna, K.; Kumar, V.S.; Armaković, S.J.; Armaković, S.; Mary, Y.S.; Thomas, R.; Popoola, S.A.; Almohammedi, A.R.; Roxy, M.S.; Al-Saadi, A.A. Spectral Characterization, Thermochemical Studies, Periodic SAPT Calculations and Detailed Quantum Mechanical Profiling Various Physico-Chemical Properties of 3, 4-Dichlorodiuron. Spectrochim. Acta Part A Mol. Biomol. Spectrosc. 2020, 228, 117580. [Google Scholar] [CrossRef]
- Bielenica, A.; Beegum, S.; Mary, Y.S.; Mary, Y.S.; Thomas, R.; Armaković, S.; Armaković, S.J.; Madeddu, S.; Struga, M.; Van Alsenoy, C. Experimental and Computational Analysis of 1-(4-Chloro-3-Nitrophenyl)-3-(3, 4-Dichlorophenyl) Thiourea. J. Mol. Struct. 2020, 1205, 127587. [Google Scholar] [CrossRef]
- Pooventhiran, T.; Thomas, R.; Bhattacharyya, U.; Sowrirajan, S.; Irfan, A.; Rao, D.J. Structural Aspects, Reactivity Analysis, Wavefunction Based Properties, Cluster Formation with Helicene and Subsequent Detection from Surface Enhancement in Raman Spectra of Triclabendazole Studies Using First Principle Simulations. Vietnam J. Chem. 2021, 59, 887–901. [Google Scholar] [CrossRef]
- Apaolaza, A.; Richard, D.; Tejerina, M.R. Experimental and Ab Initio Study of the Structural and Optical Properties of ZnO Coatings: Performance of the DFT+ U Approach. Process. Appl. Ceram. 2020, 14, 362–371. [Google Scholar] [CrossRef]
- Janani, S.; Rajagopal, H.; Sakthivel, S.; Aayisha, S.; Raja, M.; Irfan, A.; Javed, S.; Muthu, S. Molecular Structure, Electronic Properties, ESP Map (Polar Aprotic and Polar Protic Solvents), and Topology Investigations on 1-(tert-Butoxycarbonyl)-3-Piperidinecarboxylic Acid- Anticancer Therapeutic Agent. J. Mol. Struct. 2022, 1268, 133696. [Google Scholar] [CrossRef]
- Muthu, S.; Uma Maheswari, J. Quantum Mechanical Study and Spectroscopic (FT-IR, FT-Raman, 13C, 1H, UV) Study, First Order Hyperpolarizability, NBO Analysis, HOMO and LUMO Analysis of 4-[(4-Aminobenzene) Sulfonyl] Aniline by Ab Initio HF and Density Functional Method. Spectrochim. Acta Part A Mol. Biomol. Spectrosc. 2012, 92, 154–163. [Google Scholar] [CrossRef]
- Tonel, M.Z.; González-Durruthy, M.; Zanella, I.; Fagan, S.B. Interactions of Graphene Derivatives with Glutamate-Neurotransmitter: A Parallel First Principles—Docking Investigation. J. Mol. Graph. Model. 2019, 88, 121–127. [Google Scholar] [CrossRef]
- de Oliveira, P.V.; Zanella, I.; Bulhões, L.O.S.; Fagan, S.B. Adsorption of 17 β- Estradiol in Graphene Oxide through the Competing Methanol Co-Solvent: Experimental and Computational Analysis. J. Mol. Liq. 2021, 321, 114738. [Google Scholar] [CrossRef]
- Bruckmann, F.d.S.; Zuchetto, T.; Ledur, C.M.; dos Santos, C.L.; da Silva, W.L.; Binotto Fagan, S.; Zanella da Silva, I.; Bohn Rhoden, C.R. Methylphenidate Adsorption onto Graphene Derivatives: Theory and Experiment. New J. Chem. 2022, 46, 4283–4291. [Google Scholar] [CrossRef]
- Murthy, P.K.; Valverde, C.; Suneetha, V.; Armaković, S.; Armaković, S.J.; Rani, N.U.; Naidu, N.V. An Analysis of Structural and Spectroscopic Signatures, the Reactivity Study of Synthetized 4,6-Dichloro-2-(Methylsulfonyl)Pyrimidine: A Potential Third-Order Nonlinear Optical Material. J. Mol. Struct. 2019, 1186, 263–275. [Google Scholar] [CrossRef]
- Murthy, P.K.; Sheena Mary, Y.; Shyma Mary, Y.; Panicker, C.Y.; Suneetha, V.; Armaković, S.; Armaković, S.J.; Van Alsenoy, C.; Suchetan, P.A. Synthesis, Crystal Structure Analysis, Spectral Investigations, DFT Computations and Molecular Dynamics and Docking Study of 4-Benzyl-5-Oxomorpholine-3-Carbamide, a Potential Bioactive Agent. J. Mol. Struct. 2017, 1134, 25–39. [Google Scholar] [CrossRef]
- Sacco, A.; Mandrile, L.; Tay, L.-L.; Itoh, N.; Raj, A.; Moure, A.; Del Campo, A.; Fernandez, J.F.; Paton, K.R.; Wood, S.; et al. Quantification of Titanium Dioxide (TiO2) Anatase and Rutile Polymorphs in Binary Mixtures by Raman Spectroscopy: An Interlaboratory Comparison. Metrologia 2023, 60, 055011. [Google Scholar] [CrossRef]
- Donnelly, F.C.; Purcell-Milton, F.; Framont, V.; Cleary, O.; Dunne, P.W.; Gun’ko, Y.K. Synthesis of CaCO 3 Nano- and Micro-Particles by Dry Ice Carbonation. Chem. Commun. 2017, 53, 6657–6660. [Google Scholar] [CrossRef]
- Stewart, S.P.; Bell, S.E.J.; Armstrong, W.J.; Kee, G.; Speers, S.J. Forensic Examination of Multilayer White Paint by Lateral Scanning Raman Spectroscopy. J. Raman Spectrosc. 2012, 43, 131–137. [Google Scholar] [CrossRef]
- Bell, S.E.J.; Fido, L.A.; Speers, S.J.; Armstrong, W.J.; Spratt, S. Forensic Analysis of Architectural Finishes Using Fourier Transform Infrared and Raman Spectroscopy, Part II: White Paint. Appl. Spectrosc. 2005, 59, 1340–1346. [Google Scholar] [CrossRef]
- Cui, L.; Zhang, D.; Yang, K.; Zhang, X.; Zhu, Y.-G. Perspective on Surface-Enhanced Raman Spectroscopic Investigation of Microbial World. Anal. Chem. 2019, 91, 15345–15354. [Google Scholar] [CrossRef]
- Trabelsi, I.; Jebali, A.; Kanzari, M. Electrical Characterization of SnSb4S7 Thin Films by Impedance Spectroscopy. J. Mater. Sci. Mater. Electron. 2016, 27, 4326–4335. [Google Scholar] [CrossRef]
- Parker, R.A.; Wasilik, J.H. Dielectric Constant and Dielectric Loss of TiO2 (Rutile) at Low Frequencies. Phys. Rev. 1960, 120, 1631–1637. [Google Scholar] [CrossRef]
- Jonscher, A. The ‘Universal’ Dielectric Response. Nature 1977, 267, 673–679. Available online: https://www.nature.com/articles/267673a0 (accessed on 27 October 2023). [CrossRef]
- Giuntini, J.C.; Zanchetta, J.V.; Jullien, D.; Eholie, R.; Houenou, P. Temperature Dependence of Dielectric Losses in Chalcogenide Glasses. J. Non-Cryst. Solids 1981, 45, 57–62. [Google Scholar] [CrossRef]
- Elliott, S.R. A Theory of a.c. Conduction in Chalcogenide Glasses. Philos. Mag. A J. Theor. Exp. Appl. Phys. 1977, 36, 1291–1304. [Google Scholar] [CrossRef]
- Politzer, P.; Truhlar, D.G. Chemical Applications of Atomic and Molecular Electrostatic Potentials: Reactivity, Structure, Scattering, and Energetics of Organic, Inorganic, and Biological Systems; Springer Science & Business Media: Berlin/Heidelberg, Germany, 2013; ISBN 1-4757-9634-X. [Google Scholar]
- Politzer, P.; Laurence, P.R.; Jayasuriya, K. Molecular Electrostatic Potentials: An Effective Tool for the Elucidation of Biochemical Phenomena. Environ. Health Perspect. 1985, 61, 191–202. [Google Scholar] [CrossRef]
- Murray, J.S.; Politzer, P. The Electrostatic Potential: An Overview. Wiley Interdiscip. Rev. Comput. Mol. Sci. 2011, 1, 153–163. [Google Scholar] [CrossRef]
- Politzer, P.; Murray, J.S. The Fundamental Nature and Role of the Electrostatic Potential in Atoms and Molecules. Theor. Chem. Acc. 2002, 108, 134–142. [Google Scholar] [CrossRef]
- Costa, A.L.; Ortelli, S.; Blosi, M.; Albonetti, S.; Vaccari, A.; Dondi, M. TiO2 Based Photocatalytic Coatings: From Nanostructure to Functional Properties. Chem. Eng. J. 2013, 225, 880–886. [Google Scholar] [CrossRef]
- Neumann, A.W.; Good, R.J. Techniques of Measuring Contact Angles. In Surface and Colloid Science; Good, R.J., Stromberg, R.R., Eds.; Springer: Boston, MA, USA, 1979; pp. 31–91. ISBN 978-1-4615-7971-7. [Google Scholar]
- Nikolić, D.; Djurović, S.; Mijatović, Z.; Kobilarov, R.; Vujičić, B.; Ćirišan, M. Determination of Ion-Broadening Parameter for Some Ar I Spectral Lines. J. Quant. Spectrosc. Radiat. Transf. 2004, 86, 285–298. [Google Scholar] [CrossRef]
- Djurović, S.; Mijatović, Z.; Kobilarov, R.; Konjević, N. Stark Width and Shift Temperature Dependence of the Ar I 425.9 Nm Line. J. Quant. Spectrosc. Radiat. Transf. 1997, 57, 695–701. [Google Scholar] [CrossRef]
- Djurović, S.; Nikolić, D.; Mijatović, Z.; Kobilarov, R.; Konjević, N. Line Shape Study of Neutral Argon Lines in Plasma of an Atmospheric Pressure Wall Stabilized Argon Arc. Plasma Sources Sci. Technol. 2002, 11, A95. [Google Scholar] [CrossRef]
- Grimme, S.; Bannwarth, C.; Shushkov, P. A Robust and Accurate Tight-Binding Quantum Chemical Method for Structures, Vibrational Frequencies, and Noncovalent Interactions of Large Molecular Systems Parametrized for All Spd-Block Elements (Z = 1–86). J. Chem. Theory Comput. 2017, 13, 1989–2009. [Google Scholar] [CrossRef]
- Pracht, P.; Caldeweyher, E.; Ehlert, S.; Grimme, S. A Robust Non-Self-Consistent Tight-Binding Quantum Chemistry Method for Large Molecules. In Theoretical and Computational Chemistry; ChemRxiv®: Beijing, China, 2019. [Google Scholar] [CrossRef]
- Bannwarth, C.; Caldeweyher, E.; Ehlert, S.; Hansen, A.; Pracht, P.; Seibert, J.; Spicher, S.; Grimme, S. Extended Tight-Binding Quantum Chemistry Methods. WIREs Comput. Mol. Sci. 2021, 11, e1493. [Google Scholar] [CrossRef]
- Bannwarth, C.; Ehlert, S.; Grimme, S. GFN2-xTB—An Accurate and Broadly Parametrized Self-Consistent Tight-Binding Quantum Chemical Method with Multipole Electrostatics and Density-Dependent Dispersion Contributions. J. Chem. Theory Comput. 2019, 15, 1652–1671. [Google Scholar] [CrossRef]
- Ehlert, S.; Stahn, M.; Spicher, S.; Grimme, S. Robust and Efficient Implicit Solvation Model for Fast Semiempirical Methods. J. Chem. Theory Comput. 2021, 17, 4250–4261. [Google Scholar] [CrossRef]
- Stephens, P.J.; Devlin, F.J.; Chabalowski, C.F.; Frisch, M.J. Ab Initio Calculation of Vibrational Absorption and Circular Dichroism Spectra Using Density Functional Force Fields. J. Phys. Chem. 1994, 98, 11623–11627. [Google Scholar] [CrossRef]
- Vosko, S.H.; Wilk, L.; Nusair, M. Accurate Spin-Dependent Electron Liquid Correlation Energies for Local Spin Density Calculations: A Critical Analysis. Can. J. Phys. 1980, 58, 1200–1211. [Google Scholar] [CrossRef]
- Becke, A.D. Density-functional Thermochemistry. III. The Role of Exact Exchange. J. Chem. Phys. 1993, 98, 5648–5652. [Google Scholar] [CrossRef]
- Lee, C.; Yang, W.; Parr, R.G. Development of the Colle-Salvetti Correlation-Energy Formula into a Functional of the Electron Density. Phys. Rev. B 1988, 37, 785. [Google Scholar] [CrossRef]
- Neese, F. The ORCA Program System. WIREs Comput. Mol. Sci. 2012, 2, 73–78. [Google Scholar] [CrossRef]
- Neese, F.; Wennmohs, F.; Becker, U.; Riplinger, C. The ORCA Quantum Chemistry Program Package. J. Chem. Phys. 2020, 152, 224108. [Google Scholar] [CrossRef]
- Neese, F. The SHARK Integral Generation and Digestion System. J. Comput. Chem. 2022, 44, 381–396. [Google Scholar] [CrossRef]
- Neese, F. Software Update: The ORCA Program System, Version 4.0. WIREs Comput. Mol. Sci. 2018, 8, e1327. [Google Scholar] [CrossRef]
- Neese, F. Software Update: The ORCA Program System—Version 5.0. WIREs Comput. Mol. Sci. 2022, 12, e1606. [Google Scholar] [CrossRef]
- Jacobson, L.D.; Bochevarov, A.D.; Watson, M.A.; Hughes, T.F.; Rinaldo, D.; Ehrlich, S.; Steinbrecher, T.B.; Vaitheeswaran, S.; Philipp, D.M.; Halls, M.D. Automated Transition State Search and Its Application to Diverse Types of Organic Reactions. J. Chem. Theory Comput. 2017, 13, 5780–5797. [Google Scholar] [CrossRef]
- Cao, Y.; Hughes, T.; Giesen, D.; Halls, M.D.; Goldberg, A.; Vadicherla, T.R.; Sastry, M.; Patel, B.; Sherman, W.; Weisman, A.L.; et al. Highly Efficient Implementation of Pseudospectral Time-Dependent Density-Functional Theory for the Calculation of Excitation Energies of Large Molecules. J. Comput. Chem. 2016, 37, 1425–1441. [Google Scholar] [CrossRef] [PubMed]
- Bochevarov, A.D.; Harder, E.; Hughes, T.F.; Greenwood, J.R.; Braden, D.A.; Philipp, D.M.; Rinaldo, D.; Halls, M.D.; Zhang, J.; Friesner, R.A. Jaguar: A High-Performance Quantum Chemistry Software Program with Strengths in Life and Materials Sciences. Int. J. Quantum Chem. 2013, 113, 2110–2142. [Google Scholar] [CrossRef]
- Cao, Y.; Halls, M.D.; Vadicherla, T.R.; Friesner, R.A. Pseudospectral Implementations of Long-Range Corrected Density Functional Theory. J. Comput. Chem. 2021, 42, 2089–2102. [Google Scholar] [CrossRef] [PubMed]
- Maestro Schrödinger Release 2023-3: Maestro; Schrödinger, LLC: New York, NY, USA, 2023.

















| Sample | TiO2 (mg/cm3) | EDS Results | ||||
|---|---|---|---|---|---|---|
| C (wt.%) | O (wt.%) | Ca (wt.%) | Ti (wt.%) | Total (wt.%) | ||
| Control | 0 | 30.46 | 49.75 | 16.45 | 3.34 | 100.00 |
| TiO2 | 0.5 | 26.70 | 43.53 | 24.71 | 4.29 | 100.00 |
| 1.0 | 25.92 | 43.14 | 26.27 | 4.68 | 100.00 | |
| Sample | R (kΩ) | A (nF) | n | C (pF) | τ = (R·A)1/n (μs) | τ = 1/2πfmax (μs) |
|---|---|---|---|---|---|---|
| acrylic paint | 2.13 | 3.02 | 0.51 | 1.53 | - | - |
| 1.0TiO2 | 60.28 | 0.54 | 0.88 | - | 8.28 | 8.69 |
| Duy | ||||||
|---|---|---|---|---|---|---|
| MB | −6.23 | −2.96 | 1.64 | 0.61 | 11.91 | 6.45 |
| MO | −6.59 | −1.47 | 2.56 | 0.39 | 8.61 | 3.17 |
| RB | −6.15 | −2.46 | 1.84 | 0.54 | 9.68 | 5.02 |
Disclaimer/Publisher’s Note: The statements, opinions and data contained in all publications are solely those of the individual author(s) and contributor(s) and not of MDPI and/or the editor(s). MDPI and/or the editor(s) disclaim responsibility for any injury to people or property resulting from any ideas, methods, instructions or products referred to in the content. |
© 2024 by the authors. Licensee MDPI, Basel, Switzerland. This article is an open access article distributed under the terms and conditions of the Creative Commons Attribution (CC BY) license (https://creativecommons.org/licenses/by/4.0/).
Share and Cite
Armaković, S.J.; Savanović, M.M.; Šiljegović, M.V.; Kisić, M.; Šćepanović, M.; Grujić-Brojčin, M.; Simić, N.; Gavanski, L.; Armaković, S. Self-Cleaning and Charge Transport Properties of Foils Coated with Acrylic Paint Containing TiO2 Nanoparticles. Inorganics 2024, 12, 35. https://doi.org/10.3390/inorganics12010035
Armaković SJ, Savanović MM, Šiljegović MV, Kisić M, Šćepanović M, Grujić-Brojčin M, Simić N, Gavanski L, Armaković S. Self-Cleaning and Charge Transport Properties of Foils Coated with Acrylic Paint Containing TiO2 Nanoparticles. Inorganics. 2024; 12(1):35. https://doi.org/10.3390/inorganics12010035
Chicago/Turabian StyleArmaković, Sanja J., Maria M. Savanović, Mirjana V. Šiljegović, Milica Kisić, Maja Šćepanović, Mirjana Grujić-Brojčin, Nataša Simić, Lazar Gavanski, and Stevan Armaković. 2024. "Self-Cleaning and Charge Transport Properties of Foils Coated with Acrylic Paint Containing TiO2 Nanoparticles" Inorganics 12, no. 1: 35. https://doi.org/10.3390/inorganics12010035
APA StyleArmaković, S. J., Savanović, M. M., Šiljegović, M. V., Kisić, M., Šćepanović, M., Grujić-Brojčin, M., Simić, N., Gavanski, L., & Armaković, S. (2024). Self-Cleaning and Charge Transport Properties of Foils Coated with Acrylic Paint Containing TiO2 Nanoparticles. Inorganics, 12(1), 35. https://doi.org/10.3390/inorganics12010035

