Comparative Analysis of Donnan Steric Partitioning Pore Model and Dielectric Exclusion Applied to the Fractionation of Aqueous Saline Solutions through Nanofiltration
Abstract
1. Introduction
1.1. Separation Mechanisms in NF Membranes
1.2. Modeling of Mass Transport in NF
Incorporation of Dielectric Exclusion: DSPM-DE
2. Materials and Methods
2.1. Simulations of the DSPM and DSPM-DE Models
2.2. Experiments with Monovalent and Divalent Saline Aqueous Solutions
- (1)
- Case 1: The permeability of pure water
- (2)
- Case 2: Variations in permeate flux and ionic rejection as functions of pressure and salt concentration.
- (3)
- Case 3: Behaviors of permeate flux and salt rejection as functions of feed water temperature.
- (4)
- Case 4: Variations in permeate flux and ionic rejection at different feed pH levels.
3. Results and Discussions
3.1. Simulations of Rejection for Each Ionic Species
3.2. Model Sensitization: Permeate Rate and Membrane Pore Size
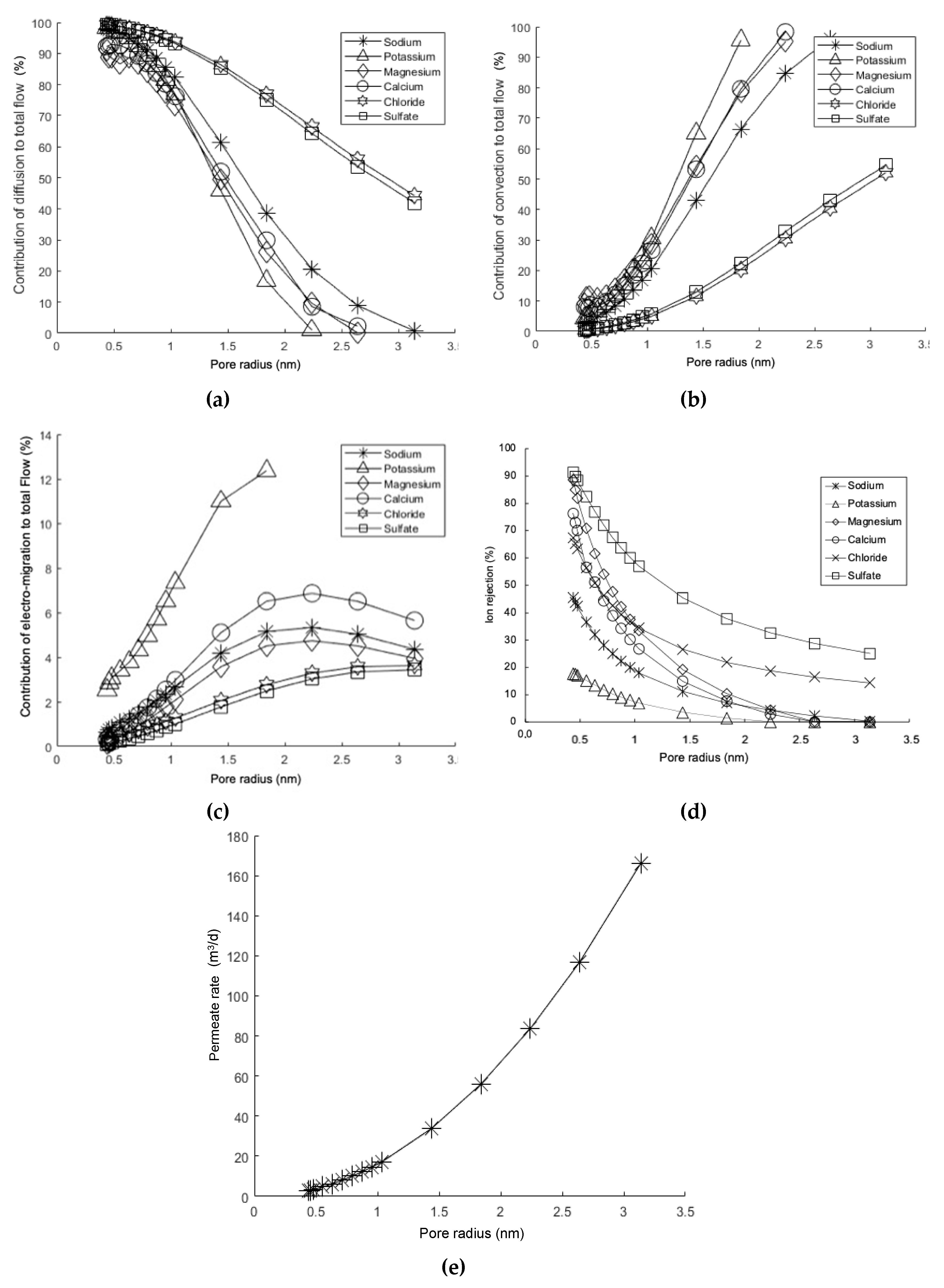
- Diffusive, convective, and electro-migrative transports as a function of the membrane pore size. Figure 9a shows that when the pore size is less than, approximately, 1.0 nm, the contribution of the diffusive mechanism increases significantly. This is why a dense polymer with a small pore size will behave like a reverse osmosis membrane. Under such conditions, the transport of matter will be regulated by the solute-solvent solution–diffusion mechanism through the active layer of the membrane. In contrast, as the pore size increases, the behavior becomes closer to that of an ultrafiltration membrane. On the other hand, Figure 9b shows an opposite trend in terms of the percentage of convective contribution. This is because, as the pore size increases, the amount of fluid passing through the membrane increases, resulting in a greater contribution from transport due to the observable fluid velocity. Regarding the electro-migrative mechanism, it was observed that for most ionic species, its contribution was less than 7% of the total, except for the potassium ion, which reached 12% (see Figure 9c). This is because potassium is the ionic species with the highest convective contribution, resulting in greater rejection to maintain the electroneutrality of the solution.
- Membrane pore size and ionic rejection. The phenomenon of ionic rejection increases as the pore size decreases (see Figure 9d). This is due to the steric effect, meaning that size exclusion becomes more significant as the pores become smaller. Additionally, as evidenced in Figure 9a, the reduction in pore size determines that the contribution of the diffusive mechanism becomes more predominant, which in turn slows down the transport, resulting in an increase in rejection for each ionic species. It is also noteworthy that the sulfate ion experiences much higher rejection, which is attributed to its size.
- Variation in permeate flux as a function of the membrane pore radius. The permeate rate increases as the membrane pore size increases (see Figure 9e). This result is expected [59,103,104], as it is a behavior observed in various membrane processes driven by a total pressure difference, such as microfiltration and ultrafiltration, whereas as the pore size decreases, the permeate rate also decreases, and vice versa. This is because the permeate rate is directly proportional to the space available for circulation.
3.3. Case 1—Experimental: Permeability of Pure Water
3.4. Case 2—Experimental: Variations in Permeate Flux and Ionic Rejection as Functions of Pressure and Salt Concentration
3.5. Case 3—Experimental: Behavior of Permeate Flux and Salt Rejection as a Function of Feed Water Temperature
3.6. Case 4—Experimental: Variations in Permeate Flux and Ionic Rejection at Different Feed pH Levels
4. Conclusions
Author Contributions
Funding
Institutional Review Board Statement
Informed Consent Statement
Data Availability Statement
Acknowledgments
Conflicts of Interest
References
- Verma, B.; Balomajumder, C.; Sabapathy, M.; Gumfekar, S.P. Pressure-driven membrane process: A review of advanced technique for heavy metals remediation. Processes 2021, 9, 752. [Google Scholar] [CrossRef]
- Hidalgo, A.M.; León, G.; Murcia, M.D.; Gómez, M.; Gómez, E.; Gómez, J.L. Using pressure-driven membrane processes to remove emerging pollutants from aqueous solutions. Int. J. Environ. Res. Public Health 2021, 18, 4036. [Google Scholar] [CrossRef] [PubMed]
- Kamiloglu, S.; Ozdal, T.; Catalkaya, G.; Capanoglu, E. Separation of Polyphenols and Carotenoids using Nanofiltration. In Membrane Separation of Food Bioactive Ingredients; Springer: Cham, Switzerland, 2022; pp. 205–238. [Google Scholar] [CrossRef]
- Mkilima, T.; Bazarbayeva, T.; Assel, K.; Nurmukhanbetova, N.N.; Ostretsova, I.B.; Khamitova, A.S.; Makhanova, S.; Sergazina, S. Pore Size in the Removal of Phosphorus and Nitrogen from Poultry Slaughterhouse Wastewater Using Polymeric Nanofiltration Membranes. Water 2022, 14, 2929. [Google Scholar] [CrossRef]
- Lan, Q.; Feng, C.; Ou, K.; Wang, Z.; Wang, Y.; Liu, T. Phenolic membranes with tunable sub-10-nm pores for nanofiltration and tight-ultrafiltration. J. Membr. Sci. 2021, 640, 119858. [Google Scholar] [CrossRef]
- Saavedra, A.; Valdés, H.; Mahn, A.; Acosta, O. Comparative Analysis of Conventional and Emerging Technologies for Seawater Desalination: Northern Chile as A Case Study. Membranes 2021, 11, 180. [Google Scholar] [CrossRef] [PubMed]
- Abdel-Fatah, M.A. Nanofiltration systems and applications in wastewater treatment: Review article. Ain Shams Eng. J. 2018, 9, 3077–3092. [Google Scholar] [CrossRef]
- Yang, Z.; Zhou, Y.; Feng, Z.; Rui, X.; Zhang, T.; Zhang, Z. A Review on Reverse Osmosis and Nanofiltration Membranes for Water Purification. Polymers 2019, 11, 1252. [Google Scholar] [CrossRef] [PubMed]
- Zhao, Y.; Tong, T.; Wang, X.; Lin, S.; Reid, E.M.; Chen, Y. Differentiating solutes with precise nanofiltration for next generation environmental separations: A review. Environ. Sci. Technol. 2021, 55, 1359–1376. [Google Scholar] [CrossRef] [PubMed]
- Teow, Y.H.; Sum, J.Y.; Ho, K.C.; Mohammad, A.W. Principles of nanofiltration membrane processes. In Osmosis Engineering; Elsevier: Amsterdam, The Netherlands, 2021; pp. 53–95. [Google Scholar] [CrossRef]
- Rosentreter, H.; Walther, M.; Lerch, A. Partial Desalination of Saline Groundwater: Comparison of Nanofiltration, Reverse Osmosis and Membrane Capacitive Deionisation. Membranes 2021, 11, 126. [Google Scholar] [CrossRef]
- Hilal, N.; Al-Zoubi, H.; Darwish, N.A.; Mohamma, A.W.; Arabi, M.A. A comprehensive review of nanofiltration membranes: Treatment, pretreatment, modelling, and atomic force microscopy. Desalination 2004, 170, 281–308. [Google Scholar] [CrossRef]
- Elsaid, K.; Sayed, E.T.; Abdelkareem, M.A.; Baroutaji, A.; Olabi, Y.A. Environmental impact of desalination processes: Mitigation and control strategies. Sci. Total Environ. 2020, 740, 140125. [Google Scholar] [CrossRef] [PubMed]
- Pontié, M.; Dach, H.; Leparc, J.; Hafsi, M.; Lhassani, A. Novel approach combining physico-chemical characterizations and mass transfer modelling of nanofiltration and low pressure reverse osmosis membranes for brackish water desalination intensification. Desalination 2008, 221, 174–191. [Google Scholar] [CrossRef]
- Schäfer, A.I.; Fane, A.G. (Eds.) Nanofiltration: Principles, Applications, and New Materials; John Wiley & Sons: Hoboken, NJ, USA, 2021. [Google Scholar]
- Aouni, A.; Fersi, C.; Cuartas-Uribe, B.; Bes-Pía, A.; Alcaina-Miranda, M.I.; Dhahbi, M. Reactive dyes rejection and textile effluent treatment study using ultrafiltration and nanofiltration processes. Desalination 2012, 297, 87–96. [Google Scholar] [CrossRef]
- Siddique, T.; Dutta, N.K.; Roy Choudhury, N. Nanofiltration for Arsenic Removal: Challenges, Recent Developments, and Perspectives. Nanomaterials 2020, 10, 1323. [Google Scholar] [CrossRef] [PubMed]
- Worou, C.N.; Chen, Z.L.; Bacharou, T. Arsenic removal from water by nanofiltration membrane: Potentials and limitations. Water Pract. Technol. 2021, 16, 291–319. [Google Scholar] [CrossRef]
- Zaviska, F.; Drogui, P.; Grasmick, A.; Azais, A.; Héran, M. Nanofiltration membrane bioreactor for removing pharma-ceutical compounds. J. Membr. Sci. 2013, 429, 121–129. [Google Scholar] [CrossRef]
- Lin, Y.L.; Chiou, J.H.; Lee, C.H. Effect of silica fouling on the removal of pharmaceuticals and personal care products by nanofiltration and reverse osmosis membranes. J. Hazard. Mater. 2014, 277, 102–109. [Google Scholar] [CrossRef] [PubMed]
- Saavedra, A.; Valdes, H.; Zuñiga, C. Manual Técnico de Desalación y Purificación de Aguas Mediante Membranas. Informativo INIA 462, Instituto de Investigaciones Agropecuarias, Centro Regional de investigación La Cruz, Chile. 2022. Available online: https://hdl.handle.net/20.500.14001/68743 (accessed on 23 January 2023). (In Spanish).
- Zhou, D.; Zhu, L.; Fu, Y.; Zhu, M.; Xue, L. Development of lower cost seawater desalination processes using nanofiltration technologies—A review. Desalination 2015, 376, 109–116. [Google Scholar] [CrossRef]
- Hofmann, K.; Hamel, C. Screening and Scale-up of Nanofiltration Membranes for Concentration of Lactose and Real Whey Permeate. Membranes 2023, 13, 173. [Google Scholar] [CrossRef]
- Simonič, M.; Pintarič, Z.N. Study of Acid Whey Fouling after Protein Isolation Using Nanofiltration. Membranes 2021, 11, 492. [Google Scholar] [CrossRef]
- Timmer, J.M.K.; Van der Horst, H.C. Whey processing and separation technology: State of the art and new developments. Whey Bull. 1998, 9804, 40–65. [Google Scholar]
- Yadav, D.; Karki, S.; Ingole, P.G. Nanofiltration (NF) membrane processing in the food industry. Food Eng. Rev. 2022, 14, 579–595. [Google Scholar] [CrossRef]
- Belleville, M.P.; Sanchez-Marcano, J.; Bargeman, G.; Timmer, M. Nanofiltration in the food industry. In Nanofiltration: Principles, Applications, and New Materials; Wiley: Hoboken, NJ, USA, 2021; Volume 2, pp. 499–542. [Google Scholar] [CrossRef]
- Sontakke, A.D.; Das, P.P.; Mondal, P.; Purkait, M.K. Thin-film composite nanofiltration hollow fiber membranes toward textile industry effluent treatment and environmental remediation applications. Emergent Mater. 2021, 5, 1409–1427. [Google Scholar] [CrossRef]
- Li, Y.; Xiong, S.; Tang, X.; Wu, H.; Han, C.; Yi, M.; Wang, Y. Loose nanofiltration membrane with highly-branched SPEI/PEI assembly for dye/salt textile wastewater treatment. J. Environ. Chem. Eng. 2021, 9, 106371. [Google Scholar] [CrossRef]
- Yang, L.; Xia, C.; Jiang, J.; Chen, X.; Zhou, Y.; Yuan, C.; Bai, L.; Meng, S.; Cao, G. Removal of antibiotics and estrogens by nanofiltration and reverse osmosis membranes. J. Hazard. Mater. 2024, 461, 132628. [Google Scholar] [CrossRef] [PubMed]
- Nasrollahi, N.; Vatanpour, V.; Khataee, A. Removal of antibiotics from wastewaters by membrane technology: Limitations, successes, and future improvements. Sci. Total Environ. 2022, 838, 156010. [Google Scholar] [CrossRef] [PubMed]
- Aziz, M.; Ojumu, T. Exclusion of Estrogenic and Androgenic Steroid Hormones from Municipal Membrane Bioreactor Wastewater Using UF/NF/RO Membranes for Water Reuse Application. Membranes 2020, 10, 37. [Google Scholar] [CrossRef] [PubMed]
- Alarifi, I.M. Nanofiltration for blood products. In Nanotechnology for Hematology, Blood Transfusion, and Artificial Blood; Micro and Nano Technologies: Rajasthan, India, 2022; pp. 371–395. [Google Scholar] [CrossRef]
- Ideno, S.; Takahashi, K.; Yusa, K.; Sakai, K. Quantitative PCR evaluation of parvovirus B19 removal via nanofiltration. J. Virol. Methods 2020, 275, 113755. [Google Scholar] [CrossRef] [PubMed]
- Barro, L.; Nebie, O.; Chen, M.S.; Wu, Y.W.; Koh, M.B.; Knutson, F.; Watanabe, N.; Takahara, M.; Burnouf, T. Nanofiltration of growth media supplemented with human platelet lysates for pathogen-safe xeno-free expansion of mesenchymal stromal cells. Cytotherapy 2020, 22, 458–472. [Google Scholar] [CrossRef]
- Domingos, J.M.; Martinez, G.A.; Morselli, E.; Bandini, S.; Bertin, L. Reverse osmosis and nanofiltration opportunities to concentrate multicomponent mixtures of volatile fatty acids. Sep. Purif. Technol. 2022, 290, 120840. [Google Scholar] [CrossRef]
- Zhu, Y.; Galier, S.; Roux-de Balmann, H. Description of the variation of retention versus pH in nanofiltration of organic acids. J. Membr. Sci. 2021, 637, 119588. [Google Scholar] [CrossRef]
- Cooper, J.; Ye, Y.; Razmjou, A.; Chen, V. High-value organic acid recovery from first-generation bioethanol dunder using nanofiltration. Ind. Eng. Chem. Res. 2020, 59, 11940–11952. [Google Scholar] [CrossRef]
- Esser, T.; Huber, M.; Voß, D.; Albert, J. Development of an efficient downstream process for product separation and catalyst recycling of a homogeneous polyoxometalate catalyst by means of nanofiltration membranes and design of experiments. Chem. Eng. Res. Des. 2022, 185, 37–50. [Google Scholar] [CrossRef]
- Schnoor, J.-K.; Bettmer, J.; Kamp, J.; Wessling, M.; Liauw, M.A. Recycling and Separation of Homogeneous Catalyst from Aqueous Multicomponent Mixture by Organic Solvent Nanofiltration. Membranes 2021, 11, 423. [Google Scholar] [CrossRef]
- Schnoor, J.K.; Fuchs, M.; Böcking, A.; Wessling, M.; Liauw, M.A. Homogeneous catalyst recycling and separation of a multicomponent mixture using organic solvent nanofiltration. Chem. Eng. Technol. 2019, 42, 2187–2194. [Google Scholar] [CrossRef]
- Gagnon, R.D.; Langevin, M.È.; Lutin, F.; Bazinet, L. Impact of nanofiltration pre-concentration prior to a combination of electrodialytic processes on the extraction of proteins from tofu whey. Future Foods 2023, 8, 100258. [Google Scholar] [CrossRef]
- Ghalamara, S.; Coscueta, E.R.; Silva, S.; Brazinha, C.; Pereira, C.D.; Pintado, M.E. Integrated ultrafiltration, nanofiltration, and reverse osmosis pilot process to produce bioactive protein/peptide fractions from sardine cooking effluent. J. Environ. Manag. 2022, 317, 115344. [Google Scholar] [CrossRef]
- Roth, N.J.; Dichtelmüller, H.O.; Fabbrizzi, F.; Flechsig, E.; Gröner, A.; Gustafson, M.; Jorquera, J.; Kreil, T.; Misztela, D.; Moretti, E.; et al. Nanofiltration as a robust method contributing to viral safety of plasma-derived therapeutics: 20 yearsʼ experience of the plasma protein manufacturers. Transfusion 2020, 60, 2661–2674. [Google Scholar] [CrossRef]
- Pal, P.; Chakrabortty, S.; Linnanen, L. A nanofiltration–coagulation integrated system for separation and stabilization of arsenic from groundwater. Sci. Total Environ. 2014, 476, 601–610. [Google Scholar] [CrossRef]
- Saitua, H.; Gil, R.; Padilla, A.P. Experimental investigation on arsenic removal with a nanofiltration pilot plant from naturally contaminated groundwater. Desalination 2011, 274, 1–6. [Google Scholar] [CrossRef]
- Wang, S.; Li, L.; Yu, S.; Dong, B.; Gao, N.; Wang, X. A review of advances in EDCs and PhACs removal by nanofiltration: Mechanisms, impact factors and the influence of organic matter. Chem. Eng. J. 2021, 406, 126722. [Google Scholar] [CrossRef]
- Nguyen, L.D.; Gassara, S.; Bui, M.Q.; Zaviska, F.; Sistat, P.; Deratani, A. Desalination and removal of pesticides from surface water in Mekong Delta by coupling electrodialysis and nanofiltration. Environ. Sci. Pollut. Res. 2019, 26, 32687–32697. [Google Scholar] [CrossRef] [PubMed]
- Madsen, H.T.; Søgaard, E.G. Applicability and modelling of nanofiltration and reverse osmosis for remediation of groundwater polluted with pesticides and pesticide transformation products. Sep. Purif. Technol. 2014, 125, 111–119. [Google Scholar] [CrossRef]
- Lee, J.; Shin, Y.; Boo, C.; Hong, S. Performance, limitation, and opportunities of acid-resistant nanofiltration membranes for industrial wastewater treatment. J. Membr. Sci. 2023, 666, 121142. [Google Scholar] [CrossRef]
- Sharma, M.; Meena, N.; Chauhan, P.; Nehra, S.; Pachwarya, R.B.; Sharma, R.; Kumar, D. Desalination Through Nanofiltration Technique. In Nanofiltration Membrane for Water Purification; Springer Nature Singapore: Singapore, 2023; pp. 141–156. [Google Scholar] [CrossRef]
- Vuong, D.X. Two Stage Nanofiltration Seawater Desalination System. U.S. Patent No. 7,144,511, 5 December 2006. [Google Scholar]
- Harrison, C.J.; Le Gouellec, Y.A.; Cheng, R.C.; Childress, A.E. Benchscale testing of nanofiltration for seawater desalination. J. Environ. Eng. 2007, 133, 1004–1014. [Google Scholar] [CrossRef]
- Elmenshawy, M.R.; Shalaby, S.M.; Elshinnawy, A.I.; Gado, T.A. Groundwater desalination for agricultural purposes using reverse osmosis and nanofiltration technologies: Case study wadi El-natrun, Egypt. Process Saf. Environ. Prot. 2023, 180, 669–685. [Google Scholar] [CrossRef]
- Khawaji, A.D.; Kutubkhanah, I.K.; Wie, J.M. Advances in seawater desalination technologies. Desalination 2008, 221, 47–69. [Google Scholar] [CrossRef]
- Choi, Y.H.; Kweon, J.H.; Kim, D.I.; Lee, S. Evaluation of various pretreatment for particle and inorganic fouling control on performance of SWRO. Desalination 2009, 247, 137–147. [Google Scholar] [CrossRef]
- Vacassy, R.; Guizard, C.; Thoraval, V.; Cot, L. Synthesis and characterization of microporous zirconia powders: Application in nanofilters and nanofiltration characteristics. J. Membr. Sci. 1997, 132, 109–118. [Google Scholar] [CrossRef]
- Stawikowska, J.; Livingston, A. New developments in the physio-chemical characterization of OSN membranes. In Proceedings of the Third International Conference on Organic Solvent Nanofiltration, London, UK, 13–15 September 2010. [Google Scholar]
- Bowen, W.R.; Welfoot, J.S. Modelling of membrane nanofiltration—Pore size distribution effects. Chem. Eng. Sci. 2002, 57, 1393–1407. [Google Scholar] [CrossRef]
- Glater, J. The early history of reverse osmosis membrane development. Desalination 1998, 117, 297–309. [Google Scholar] [CrossRef]
- Childress, A.E.; Elimelech, M. Effect of solution chemistry on the surface charge of polymeric reverse osmosis and nano-filtration membranes. J. Membr. Sci. 1996, 119, 253–268. [Google Scholar] [CrossRef]
- Domenech, N.G.; Purcell-Milton, F.; Gun’ko, Y.K. Recent progress and future prospects in development of advanced materials for nanofiltration. Mater. Today Commun. 2020, 23, 100888. [Google Scholar] [CrossRef]
- Jamil, T.S.; Nasr, R.A.; Abbas, H.A.; Ragab, T.I.; Xabela, S.; Moutloali, R. Low-Cost High Performance Polyamide Thin Film Composite (Cellulose Triacetate/Graphene Oxide) Membranes for Forward Osmosis Desalination from Palm Fronds. Membranes 2022, 12, 6. [Google Scholar] [CrossRef]
- Merlet, R.B.; Pizzoccaro-Zilamy, M.A.; Nijmeijer, A.; Winnubst, L. Hybrid ceramic membranes for organic solvent nanofiltration: State-of-the-art and challenges. J. Membr. Sci. 2020, 599, 117839. [Google Scholar] [CrossRef]
- Van Gestel, T.; Kruidhof, H.; Blank, D.H.; Bouwmeester, H.J. ZrO2 and TiO2 membranes for nanofiltration and per-vaporation: Part 1. Preparation and characterization of a corrosion-resistant ZrO2 nanofiltration membrane with a MWCO < 300. J. Membr. Sci. 2006, 284, 128–136. [Google Scholar] [CrossRef]
- Verweij, H. Inorganic membranes. Curr. Opin. Chem. Eng. 2012, 1, 156–162. [Google Scholar] [CrossRef]
- Lu, G.Q.; Da Costa, J.D.; Duke, M.; Giessler, S.; Socolow, R.; Williams, R.H.; Kreutz, T. Inorganic membranes for hydrogen production and purification: A critical review and perspective. J. Colloid. Interface Sci. 2007, 314, 589–603. [Google Scholar] [CrossRef]
- Lau, W.J.; Gray, S.; Matsuura, T.; Emadzadeh, D.; Chen, J.P.; Ismail, A.F. A review on polyamide thin film nanocomposite (TFN) membranes: History, applications, challenges and approaches. Water Res. 2015, 80, 306–324. [Google Scholar] [CrossRef]
- Khulbe, K.C.; Matsuura, T. Synthetic membrane characterization—A review: Part I. Membr. Technol. 2017, 2017, 7–12. [Google Scholar] [CrossRef]
- Mohammad, A.W.; Teow, Y.H.; Ang, W.L.; Chung, Y.T.; Oatley-Radcliffe, D.L.; Hilal, N. Nanofiltration membranes review: Recent advances and future prospects. Desalination 2015, 356, 226–254. [Google Scholar] [CrossRef]
- Wang, R.; Lin, S. Pore model for nanofiltration: History, theoretical framework, key predictions, limitations, and prospects. J. Membr. Sci. 2021, 620, 118809. [Google Scholar] [CrossRef]
- Donnan, F.G. Theory of membrane equilibria and membrane potentials in the presence of non-dialysing electrolytes. A contribution to physical-chemical physiology. J. Membr. Sci. 1995, 100, 45–55. [Google Scholar] [CrossRef]
- Suhalim, N.S.; Kasim, N.; Mahmoudi, E.; Shamsudin, I.J.; Mohammad, A.W.; Mohamed Zuki, F.; Jamari, N.L.A. Rejection Mechanism of Ionic Solute Removal by Nanofiltration Membranes: An Overview. Nanomaterials 2022, 12, 437. [Google Scholar] [CrossRef] [PubMed]
- Oatley-Radcliffe, D.L.; Walters, M.; Ainscough, T.J.; Williams, P.M.; Mohammad, A.W.; Hilal, N. Nanofiltration membranes and processes: A review of research trends over the past decade. J. Water Process Eng. 2017, 19, 164–171. [Google Scholar] [CrossRef]
- Fernández, I. Estudio del Comportamiento de una Membrana de Nanofiltración de Bajo Ensuciamiento Frente a Disoluciones Iónicas. Desarrollo de Metodologías de Ajuste de los Parámetros del Modelo DSPM con Efectos Dieléctricos. Ph.D. Thesis, Universitat Politècnica de València, Valencia, Spain, 2017. [Google Scholar] [CrossRef]
- Ortiz-Albo, P.; Ibañez, R.; Urtiaga, A.; Ortiz, I. Phenomenological prediction of desalination brines nanofiltration through the indirect determination of zeta potential. Sep. Purif. Technol. 2019, 210, 746–753. [Google Scholar] [CrossRef]
- Fernández de Labastida, M.; Yaroshchuk, A. Nanofiltration of multi-ion solutions: Quantitative control of concentration polarization and interpretation by solution-diffusion-electro-migration model. Membranes 2021, 11, 272. [Google Scholar] [CrossRef] [PubMed]
- Israelachvili, J.N. Intermolecular and Surface Forces, 3rd ed.; Elsevier Inc.: Amsterdam, The Netherlands; Academic Press: Cambridge, MA, USA, 2011. [Google Scholar]
- Bandini, S.; Bruni, L. Transport phenomena in nanofiltration membranes. In Comprehensive Membrane Science and Engineering, Volume 2: Membrane Operations in Molecular Separations; Drioli, E., Giorno, L., Eds.; Elsevier: Oxford, UK, 2010; pp. 67–89. [Google Scholar]
- Lyklema, J.; Van Leeuwen, H.P.; Minor, M. DLVO-theory, a dynamic reinterpretation. Adv. Colloid. Interface Sci. 1999, 83, 33–69. [Google Scholar] [CrossRef]
- Oatley, D.L.; Llenas, L.; Pérez, R.; Williams, P.M.; Martínez-Lladó, X.; Rovira, M. Review of the dielectric properties of nanofiltration membranes and verification of the single oriented layer approximation. Adv. Colloid. Interface Sci. 2012, 173, 1–11. [Google Scholar] [CrossRef]
- Vatsa, S.; Kumar, M.; Ghanghas, N.; Prabhakar, P.K.; Meghwal, M. Nanofiltration: Principles, Process Modeling, and Applications. In Food Processing; CRC Press: Boca Raton, FL, USA, 2021; pp. 195–222. [Google Scholar]
- Zhang, Y.; Zhang, L.; Hou, L.; Kuang, S.; Yu, A. Modeling of the variations of permeate flux, concentration polarization, and solute rejection in nanofiltration system. AIChE J. 2019, 65, 1076–1087. [Google Scholar] [CrossRef]
- Jye, L.W.; Ismail, A.F. Nanofiltration Membranes: Synthesis, Characterization, and Applications; CRC Press: Boca Raton, FL, USA, 2016. [Google Scholar] [CrossRef]
- Ghorbani, A.; Bayati, B.; Drioli, E.; Macedonio, F.; Kikhavani, T.; Frappa, M. Modeling of nanofiltration process using dspm-de model for purification of amine solution. Membranes 2021, 11, 230. [Google Scholar] [CrossRef] [PubMed]
- Abderrezak, B.; Mehdi, M.; Drouiche, N.; Wenten, I.G.; Hakim, L. Progress of fitting models describing transport phenomena within nanofiltration membranes: A review. Desalin Water Treat. 2020, 184, 94–129. [Google Scholar] [CrossRef]
- Dresner, L. Some remarks on the integration of the extended Nernst-Planck equations in the hyperfiltration of multicomponent solutions. Desalination 1972, 10, 27–46. [Google Scholar] [CrossRef]
- Bandini, S.; Vezzani, D. Nanofiltration modeling: The role of dielectric exclusion in membrane characterization. Chem. Eng. Sci. 2003, 58, 3303–3326. [Google Scholar] [CrossRef]
- Bowen, W.R.; Mohammad, A.W. Characterization and prediction of nanofiltration membrane performance-A general assessment. Chem. Eng. Res. Des. 1998, 76, 885–893. [Google Scholar] [CrossRef]
- Mohammad, A.W.; Hilal, N.; Al-Zoubi, H.; Darwish, N.A. Prediction of permeate fluxes and rejections of highly concentrated salts in nanofiltration membranes. J. Membr. Sci. 2007, 289, 40–50. [Google Scholar] [CrossRef]
- Schaep, J.; Vandecasteele, C.; Mohammad, A.W.; Bowen, W.R. Analysis of the salt retention of nanofiltration membranes using the Donnan-steric partitioning pore model. Sep. Sci. Technol. 1999, 34, 3009–3030. [Google Scholar] [CrossRef]
- Schaep, J.; Van der Bruggen, B.; Vandecasteele, C.; Wilms, D. Influence of ion size and charge in nanofiltration. Sep. Sci. Technol. 1998, 14, 155–162. [Google Scholar] [CrossRef]
- Mulder, M.; Mulder, J. Basic Principles of Membrane Technology; Springer Science & Business Media: Berlin/Heidelberg, Germany, 1996. [Google Scholar]
- Couto, P.C.D.; Chipman, D.M. How does dielectric solvation affect the size of an ion? J. Phys. Chem. A 2010, 114, 12788–12793. [Google Scholar] [CrossRef]
- Pintauro, P.N.; Tandon, R.; Chao, L.; Xu, W.; Evilia, R. Equilibrium partitioning of monovalent/divalent cation-salt mixtures in Nafion cation-exchange membranes. J. Phys. Chem. 1995, 99, 12915–12924. [Google Scholar] [CrossRef]
- Guzmán-Garcia, A.G.; Pintauro, P.N.; Verbrugge, M.W.; Hill, R.F. Development of a space-charge transport model for ion-exchange membranes. AIChE J. 1990, 36, 1061–1074. [Google Scholar] [CrossRef]
- Senapati, S.; Chandra, A. Dielectric constant of water confined in a nanocavity. J. Phys. Chem. B 2001, 105, 5106–5109. [Google Scholar] [CrossRef]
- Santafé-Moros, A.; Gozálvez-Zafrilla, J.M.; Lora-García, J. Applicability of the DSPM with dielectric exclusion to a high rejection nanofiltration membrane in the separation of nitrate solutions. Desalination 2008, 221, 268–276. [Google Scholar] [CrossRef]
- Kamada, T.; Ohara, T.; Shintani, T.; Tsuru, T. Controlled surface morphology of polyamide membranes via the addition of co-solvent for improved permeate flux. J. Membr. Sci. 2014, 467, 303–312. [Google Scholar] [CrossRef]
- Lenntech. FILMTEC NF90-2540 Nanofiltration Elements for Commercial Systems. FILMTEC Membranes, Lenntech Water Treatment Solutions, Delft, Netherland. 2022. Available online: https://www.lenntech.com/Data-sheets/Dow-Filmtec-NF90-2540.pdf (accessed on 19 October 2023).
- Grundfos. Specifications: CRIE 1-27 A-FGJ-A-E-HQQE. Bombas Grundfos España S.A, Madrid, España. 2020. Available online: https://product-selection.grundfos.com/es/products/cr-cre-cri-crie-crn-crne-crt-crte/crie/ (accessed on 6 October 2023).
- Pure Aqua. DOW FILMTEC NF90-2540 Membrane. Pure Aqua Inc., Reverse Osmosis & Water Treatment, Santa Ana, CA 92704, United States. 2017. Available online: https://pureaqua.com/content/pdf/dow-filmtec-nf90-2540-membrane.pdf (accessed on 6 October 2023).
- Wang, L. Molecular Dynamics Simulations of Liquid Transport through Nanofiltration Membranes. Ph.D. Thesis, McMaster University, Hamilton, ON, Canada, 2012. Available online: http://hdl.handle.net/11375/12488 (accessed on 7 January 2024).
- Zhang, T.; Fu, R.Y.; Wang, K.P.; Gao, Y.W.; Li, H.R.; Wang, X.M.; Xie, Y.F. Effect of synthesis conditions on the non-uniformity of nanofiltration membrane pore size distribution. J. Membr. Sci. 2022, 647, 120304. [Google Scholar] [CrossRef]
- de Guzman, J. Relación entre la fluidez y el calor de fusión. An. Soc. Española Fis. Química 1913, 11, 353. [Google Scholar]
- Krieg, H.M.; Modise, S.J.; Keizer, K.; Neomagus, H.W.J.P. Salt rejection in nanofiltration for single and binary salt mixtures in view of sulphate removal. Desalination 2005, 171, 205–215. [Google Scholar] [CrossRef]
- Adham, S.; Cheng, R.C.; Vuong, D.X.; Wattier, K.L. Long Beach’s Dual-Stage NF Beats Single-Stage SWRO. Inter. Desalin Water Reuse Quart. 2003, 13, 18–21. Available online: http://www.safedrinkingwater.com/community/2004/LBDesalTech.pdf (accessed on 6 December 2023).
- Hernández, S.; Porter, C.; Zhang, X.; Wei, Y.; Bhattacharyya, D. Layer-by-layer assembled membranes with immobilized porins. RSC Adv. 2017, 7, 56123–56136. [Google Scholar] [CrossRef]














| Industrial Sector | Application | References |
|---|---|---|
| Food | Whey concentration | [23,24,25] |
| Whey demineralization | [15,26,27] | |
| Sugar reduction in nectars | [15,26,27] | |
| Desalination of soy sauce | [15,26,27] | |
| Juice concentration | [15,26,27] | |
| Peptide fractionation | [15,26,27] | |
| Textile | The removal of dyes and salts from wastewater | [16,28,29] |
| Pharmaceuticals and biotechnology | The separation, concentration, and production of hormones and antibiotics | [30,31,32] |
| The capture of fibrinogen and coagulation compounds | [33,34,35] | |
| The production of organic acids | [36,37,38] | |
| Catalyst recovery | [39,40,41] | |
| Protein separation | [42,43,44] | |
| Water treatment | Arsenic removal from groundwater | [17,45,46] |
| The removal of pesticides from groundwater | [47,48,49] | |
| Wastewater treatment | [19,20,50] | |
| Desalination | NF double pass | [51,52,53] |
| Combination of NF and RO | [54,55,56] |
| Parameter | Method of Acquisition |
|---|---|
| Pore radius | [98] |
| Effective thickness | [90] |
| Volumetric charge density | where |
| Ratio between the solute radius and the membrane pore radius | Equation (3) |
| Hindrance factors | Equation (4) Equation (5) |
| Steric partition coefficient | Equation (6) |
| Solute diffusivity in the pore | Equation (2) |
| Dielectric constant in the pore | Equation (21) |
| Ionic Specie | Concentration (mg/L) |
|---|---|
| Sodium | 6430 |
| Potassium | 203 |
| Magnesium | 477 |
| Calcium | 1440 |
| Chloride | 8550 |
| Sulphate | 6525 |
| Characteristics | NF Membrane |
|---|---|
| Brand | Dow-Filmtec |
| Model | NF90 |
| Type | Tight NF membrane/Polyamide Thin Film Composite (TFC) |
| Active surface (m2) | 2.6 |
| Permeate flow (m3/d) | 2.6 (1) |
| Feed flow (m3/h) | <1.4 |
| Operating pressure (bar) | <41 |
| Operating temperature (°C) | <45 |
| pH range, continuous (CIP) | 2–11 |
| Stabilized salt rejection (%) | >97.0 (1) |
Disclaimer/Publisher’s Note: The statements, opinions and data contained in all publications are solely those of the individual author(s) and contributor(s) and not of MDPI and/or the editor(s). MDPI and/or the editor(s) disclaim responsibility for any injury to people or property resulting from any ideas, methods, instructions or products referred to in the content. |
© 2024 by the authors. Licensee MDPI, Basel, Switzerland. This article is an open access article distributed under the terms and conditions of the Creative Commons Attribution (CC BY) license (https://creativecommons.org/licenses/by/4.0/).
Share and Cite
Saavedra, A.; Valdés, H.; Velásquez, J.; Hernández, S. Comparative Analysis of Donnan Steric Partitioning Pore Model and Dielectric Exclusion Applied to the Fractionation of Aqueous Saline Solutions through Nanofiltration. ChemEngineering 2024, 8, 39. https://doi.org/10.3390/chemengineering8020039
Saavedra A, Valdés H, Velásquez J, Hernández S. Comparative Analysis of Donnan Steric Partitioning Pore Model and Dielectric Exclusion Applied to the Fractionation of Aqueous Saline Solutions through Nanofiltration. ChemEngineering. 2024; 8(2):39. https://doi.org/10.3390/chemengineering8020039
Chicago/Turabian StyleSaavedra, Aldo, Hugo Valdés, Juan Velásquez, and Sebastián Hernández. 2024. "Comparative Analysis of Donnan Steric Partitioning Pore Model and Dielectric Exclusion Applied to the Fractionation of Aqueous Saline Solutions through Nanofiltration" ChemEngineering 8, no. 2: 39. https://doi.org/10.3390/chemengineering8020039
APA StyleSaavedra, A., Valdés, H., Velásquez, J., & Hernández, S. (2024). Comparative Analysis of Donnan Steric Partitioning Pore Model and Dielectric Exclusion Applied to the Fractionation of Aqueous Saline Solutions through Nanofiltration. ChemEngineering, 8(2), 39. https://doi.org/10.3390/chemengineering8020039

