Discovery and Functional Evaluation of Heat Tolerance Genes in the Nonconventional Yeast Yarrowia lipolytica
Abstract
1. Introduction
2. Materials and Methods
2.1. Yeast Strains, Medium, and Culture Conditions
2.2. Experimental Evolution
2.3. Cell Growth Profiling
2.4. Estimation of Tolerance to Temperature Stress
2.5. Transcriptome Analysis
2.6. RNA Isolation and Transcript-Level Quantification
2.7. Overexpression of Selected Genes to Verify Their Thermoresistance in Y. lipolytica CGMCC7326
3. Results
3.1. Thermotolerance Improvement after Adaptive Evolution
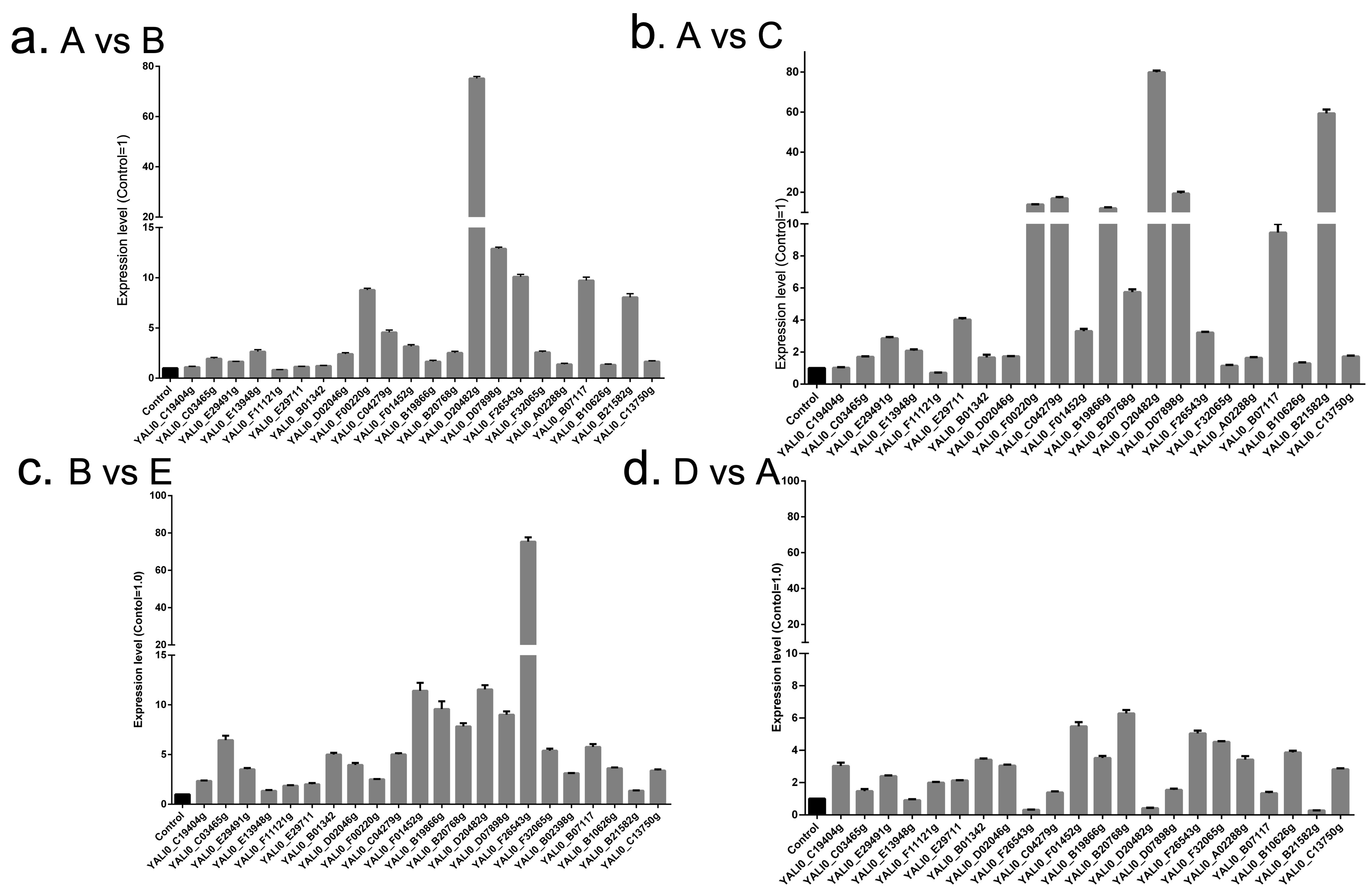
3.2. Differential Expression Analysis through Comparative Transcriptome Gene Quantification
3.3. Improving the Thermotolerance of Wild-Type Y. lipolytica CGMCC7326
3.4. Polyols Synthesis Analysis of Y. lipolytica CGMCC7326 and HRC
4. Discussion
5. Conclusions
Supplementary Materials
Author Contributions
Funding
Institutional Review Board Statement
Informed Consent Statement
Data Availability Statement
Acknowledgments
Conflicts of Interest
References
- Shields-Menard, S.A.; Amirsadeghi, M.; French, W.T.; Boopathy, R. A review on microbial lipids as a potential biofuel. Bioresour. Technol. 2018, 259, 451–460. [Google Scholar] [CrossRef] [PubMed]
- Ekas, H.; Deaner, M.; Alper, H.S. Recent advancements in fungal-derived fuel and chemical production and commercialization. Curr. Opin. Biotechnol. 2019, 57, 1–9. [Google Scholar] [CrossRef] [PubMed]
- Liu, L.Q.; Redden, H.; Alper, H.S. Frontiers of yeast metabolic engineering: Diversifying beyond ethanol and Saccharomyces. Curr. Opin. Biotech. 2013, 24, 1023–1030. [Google Scholar] [CrossRef]
- Lian, J.; Mishra, S.; Zhao, H. Recent advances in metabolic engineering of Saccharomyces cerevisiae: New tools and their applications. Metab. Eng. 2018, 50, 85–108. [Google Scholar] [CrossRef] [PubMed]
- Wagner, J.M.; Alper, H.S. Synthetic biology and molecular genetics in non-conventional yeasts: Current tools and future advances. Fungal Genet. Biol. 2016, 89, 126–136. [Google Scholar] [CrossRef]
- Abdel-Mawgoud, A.M.; Markham, K.A.; Palmer, C.M.; Liu, N.; Stephanopoulos, G.; Alper, H.S. Metabolic engineering in the host Yarrowia lipolytica. Metab. Eng. 2018, 50, 192–208. [Google Scholar] [CrossRef] [PubMed]
- Sheng, J.; Feng, X. Metabolic engineering of yeast to produce fatty acid-derived biofuels: Bottlenecks and solutions. Front. Microbiol. 2015, 6, 554. [Google Scholar] [CrossRef]
- Ledesma-Amaro, R.; Nicaud, J.M. Yarrowia lipolytica as a biotechnological chassis to produce usual and unusual fatty acids. Prog. Lipid Res. 2016, 61, 40–50. [Google Scholar] [CrossRef]
- Adrio, J.L. Oleaginous yeasts: Promising platforms for the production of oleochemicals and biofuels. Biotechnol. Bioeng. 2017, 114, 1915–1920. [Google Scholar] [CrossRef]
- Yan, J.; Han, B.; Gui, X.; Wang, G.; Xu, L.; Yan, Y.; Madzak, C.; Pan, D.; Wang, Y.; Zha, G.; et al. Engineering Yarrowia lipolytica to Simultaneously Produce Lipase and Single Cell Protein from Agro-industrial Wastes for Feed. Sci. Rep. 2018, 8, 758. [Google Scholar] [CrossRef]
- Lazar, Z.; Liu, N.; Stephanopoulos, G. Holistic Approaches in Lipid Production by Yarrowia lipolytica. Trends Biotechnol. 2018, 36, 1157–1170. [Google Scholar] [CrossRef]
- Yuzbashev, T.V.; Yuzbasheva, E.Y.; Sobolevskaya, T.I.; Laptev, I.A.; Vybornaya, T.V.; Larina, A.S.; Matsui, K.; Fukui, K.; Sineoky, S.P. Production of succinic acid at low pH by a recombinant strain of the aerobic yeast Yarrowia lipolytica. Biotechnol. Bioeng. 2010, 107, 673–682. [Google Scholar] [CrossRef] [PubMed]
- Kamzolova, S.V.; Morgunov, I.G. alpha-Ketoglutaric acid production from rapeseed oil by Yarrowia lipolytica yeast. Appl. Microbiol. Biotechnol. 2013, 97, 5517–5525. [Google Scholar] [CrossRef] [PubMed]
- Blazeck, J.; Hill, A.; Jamoussi, M.; Pan, A.; Miller, J.; Alper, H.S. Metabolic engineering of Yarrowia lipolytica for itaconic acid production. Metab. Eng. 2015, 32, 66–73. [Google Scholar] [CrossRef] [PubMed]
- Chukwuma, C.I.; Mopuri, R.; Nagiah, S.; Chuturgoon, A.A.; Islam, M.S. Erythritol reduces small intestinal glucose absorption, increases muscle glucose uptake, improves glucose metabolic enzymes activities and increases expression of Glut-4 and IRS-1 in type 2 diabetic rats. Eur. J. Nutr. 2018, 57, 2431–2444. [Google Scholar] [CrossRef]
- Lange, F.T.; Scheurer, M.; Brauch, H.J. Artificial sweeteners—A recently recognized class of emerging environmental contaminants: A review. Anal. Bioanal. Chem. 2012, 403, 2503–2518. [Google Scholar] [CrossRef]
- Fickers, P.; Cheng, H.; Sze Ki Lin, C. Sugar Alcohols and Organic Acids Synthesis in Yarrowia lipolytica: Where Are We? Microorganisms 2020, 8, 574. [Google Scholar] [CrossRef]
- Kosaka, T.; Tsuzuno, T.; Nishida, S.; Pattanakittivorakul, S.; Murata, M.; Miyakawa, I.; Lertwattanasakul, N.; Limtong, S.; Yamada, M. Distinct Metabolic Flow in Response to Temperature in Thermotolerant Kluyveromyces marxianus. Appl. Environ. Microbiol. 2022, 88, e0200621. [Google Scholar] [CrossRef]
- Schenk, C.; Schulz, V. Energy-optimal control of temperature for wine fermentation based on a novel model including the yeast dying phase. IFAC Pap. 2015, 48, 452–457. [Google Scholar] [CrossRef]
- Garcia-Rios, E.; Lairon-Peris, M.; Muniz-Calvo, S.; Heras, J.M.; Ortiz-Julien, A.; Poirot, P.; Rozes, N.; Querol, A.; Guillamon, J.M. Thermo-adaptive evolution to generate improved Saccharomyces cerevisiae strains for cocoa pulp fermentations. Int. J. Food Microbiol. 2021, 342, 109077. [Google Scholar] [CrossRef]
- Caspeta, L.; Chen, Y.; Ghiaci, P.; Feizi, A.; Buskov, S.; Hallstrom, B.M.; Petranovic, D.; Nielsen, J. Biofuels. Altered sterol composition renders yeast thermotolerant. Science 2014, 346, 75–78. [Google Scholar] [CrossRef] [PubMed]
- Foster, B.; Tyrawa, C.; Ozsahin, E.; Lubberts, M.; Krogerus, K.; Preiss, R.; van der Merwe, G. Kveik Brewing Yeasts Demonstrate Wide Flexibility in Beer Fermentation Temperature Tolerance and Exhibit Enhanced Trehalose Accumulation. Front. Microbiol. 2022, 13, 747546. [Google Scholar] [CrossRef] [PubMed]
- Richter, K.; Haslbeck, M.; Buchner, J. The heat shock response: Life on the verge of death. Mol. Cell. 2010, 40, 253–266. [Google Scholar] [CrossRef] [PubMed]
- Gao, L.; Liu, Y.; Sun, H.; Li, C.; Zhao, Z.; Liu, G. Advances in mechanisms and modifications for rendering yeast thermotolerance. J. Biosci. Bioeng. 2016, 121, 599–606. [Google Scholar] [CrossRef]
- Morano, K.A.; Grant, C.M.; Moye-Rowley, W.S. The response to heat shock and oxidative stress in Saccharomyces cerevisiae. Genetics 2012, 190, 1157–1195. [Google Scholar] [CrossRef] [PubMed]
- Mahmud, S.A.; Hirasawa, T.; Shimizu, H. Differential importance of trehalose accumulation in Saccharomyces cerevisiae in response to various environmental stresses. J. Biosci. Bioeng. 2010, 109, 262–266. [Google Scholar] [CrossRef]
- Mahmud, S.A.; Nagahisa, K.; Hirasawa, T.; Yoshikawa, K.; Ashitani, K.; Shimizu, H. Effect of trehalose accumulation on response to saline stress in Saccharomyces cerevisiae. Yeast 2009, 26, 17–30. [Google Scholar] [CrossRef]
- Mahmud, S.A.; Hirasawa, T.; Furusawa, C.; Yoshikawa, K.; Shimizu, H. Understanding the mechanism of heat stress tolerance caused by high trehalose accumulation in Saccharomyces cerevisiae using DNA microarray. J. Biosci. Bioeng. 2012, 113, 526–528. [Google Scholar] [CrossRef]
- Li, H.; Wang, H.-L.; Du, J.; Du, G.; Zhan, J.-C.; Huang, W.-D. Trehalose protects wine yeast against oxidation under thermal stress. World J. Microbiol. Biotechnol. 2010, 26, 969–976. [Google Scholar] [CrossRef]
- Moon, M.H.; Ryu, J.; Choeng, Y.-H.; Hong, S.-K.; Kang, H.A.; Chang, Y.K. Enhancement of stress tolerance and ethanol production in Saccharomyces cerevisiae by heterologous expression of a trehalose biosynthetic gene from Streptomyces albus. Biotechnol. Bioprocess. Eng. 2012, 17, 986–996. [Google Scholar] [CrossRef]
- Mason, A.B.; Allen, K.E.; Slayman, C.W. C-terminal truncations of the Saccharomyces cerevisiae PMA1 H+-ATPase have major impacts on protein conformation, trafficking, quality control, and function. Eukaryot. Cell. 2014, 13, 43–52. [Google Scholar] [CrossRef] [PubMed]
- Theodoraki, M.A.; Nillegoda, N.B.; Saini, J.; Caplan, A.J. A Network of Ubiquitin Ligases Is Important for the Dynamics of Misfolded Protein Aggregates in Yeast. J. Biol. Chem. 2012, 287, 23911–23922. [Google Scholar] [CrossRef] [PubMed]
- Shahsavarani, H.; Sugiyama, M.; Kaneko, Y.; Chuenchit, B.; Harashima, S. Superior thermotolerance of Saccharomyces cerevisiae for efficient bioethanol fermentation can be achieved by overexpression of RSP5 ubiquitin ligase. Biotechnol. Adv. 2012, 30, 1289–1300. [Google Scholar] [CrossRef] [PubMed]
- Sommer, T.; Weber, A.; Jarosch, E. Rsp5/Nedd4 clears cells of heat-damaged proteins. Nat. Cell. Biol. 2014, 16, 1130–1132. [Google Scholar] [CrossRef]
- Liang, P.; Li, J.; Wang, Q.; Dai, Z. Enhancing the thermotolerance and erythritol production of Yarrowia lipolytica by introducing heat-resistant devices. Front. Bioeng. Biotechnol. 2023, 11, 1108653. [Google Scholar] [CrossRef]
- Wang, N.; Chi, P.; Zou, Y.; Xu, Y.; Xu, S.; Bilal, M.; Fickers, P.; Cheng, H. Correction to: Metabolic engineering of Yarrowia lipolytica for thermoresistance and enhanced erythritol productivity. Biotechnol. Biofuels 2020, 13, 189. [Google Scholar] [CrossRef]
- Cheng, H.; Wang, S.; Bilal, M.; Ge, X.; Zhang, C.; Fickers, P.; Cheng, H. Identification, characterization of two NADPH-dependent erythrose reductases in the yeast Yarrowia lipolytica and improvement of erythritol productivity using metabolic engineering. Microb. Cell. Fact. 2018, 17, 133. [Google Scholar] [CrossRef]
- Qiu, X.; Gu, Y.; Du, G.; Zhang, J.; Xu, P.; Li, J. Conferring thermotolerant phenotype to wild-type Yarrowia lipolytica improves cell growth and erythritol production. Biotechnol. Bioeng. 2021, 118, 3117–3127. [Google Scholar] [CrossRef]
- Dunayevich, P.; Baltanas, R.; Clemente, J.A.; Couto, A.; Sapochnik, D.; Vasen, G.; Colman-Lerner, A. Heat-stress triggers MAPK crosstalk to turn on the hyperosmotic response pathway. Sci. Rep. 2018, 8, 15168. [Google Scholar] [CrossRef]
- Hurtado, C.A.R.; Rachubinski, R.A. MHY1 encodes a C2H2-type zinc finger protein that promotes dimorphic transition in the yeast Yarrowia lipolytica. J. Bacteriol. 1999, 181, 3051–3057. [Google Scholar] [CrossRef]
- Liu, Y.; Zhang, G.; Sun, H.; Sun, X.; Jiang, N.; Rasool, A.; Lin, Z.; Li, C. Enhanced pathway efficiency of Saccharomyces cerevisiae by introducing thermo-tolerant devices. Bioresour. Technol. 2014, 170, 38–44. [Google Scholar] [CrossRef] [PubMed]
- Fang, N.N.; Chan, G.T.; Zhu, M.; Comyn, S.A.; Persaud, A.; Deshaies, R.J.; Rotin, D.; Gsponer, J.; Mayor, T. Rsp5/Nedd4 is the main ubiquitin ligase that targets cytosolic misfolded proteins following heat stress. Nat. Cell. Biol. 2014, 16, 1227–1237. [Google Scholar] [CrossRef] [PubMed]
- Brewster, J.L.; de Valoir, T.; Dwyer, N.D.; Winter, E.; Gustin, M.C. An osmosensing signal transduction pathway in yeast. Science 1993, 259, 1760–1763. [Google Scholar] [CrossRef] [PubMed]
- Roman, E.; Correia, I.; Prieto, D.; Alonso, R.; Pla, J. The HOG MAPK pathway in Candida albicans: More than an osmosensing pathway. Int. Microbiol. 2020, 23, 23–29. [Google Scholar] [CrossRef] [PubMed]
- Widmann, C.; Gibson, S.; Jarpe, M.B.; Johnson, G.L. Mitogen-activated protein kinase: Conservation of a three-kinase module from yeast to human. Physiol. Rev. 1999, 79, 143–180. [Google Scholar] [CrossRef]
- Winkler, A.; Arkind, C.; Mattison, C.P.; Burkholder, A.; Knoche, K.; Ota, I. Heat stress activates the yeast high-osmolarity glycerol mitogen-activated protein kinase pathway, and protein tyrosine phosphatases are essential under heat stress. Eukaryot. Cell. 2002, 1, 163–173. [Google Scholar] [CrossRef]
- Pincus, D. Size doesn’t matter in the heat shock response. Curr. Genet. 2017, 63, 175–178. [Google Scholar] [CrossRef]
- Johnson, B.C.; Zibordi, G.; Brown, S.W.; Feinholz, M.E.; Sorokin, M.G.; Slutsker, I.; Woodward, J.T.; Yoon, H.W. Characterization and absolute calibration of an AERONET-OC radiometer. Appl. Opt. 2021, 60, 3380–3392. [Google Scholar] [CrossRef]
- Stewart-Ornstein, J.; Nelson, C.; DeRisi, J.; Weissman, J.S.; El-Samad, H. Msn2 coordinates a stoichiometric gene expression program. Curr. Biol. 2013, 23, 2336–2345. [Google Scholar] [CrossRef]
- Zahringer, H.; Thevelein, J.M.; Nwaka, S. Induction of neutral trehalase Nth1 by heat and osmotic stress is controlled by STRE elements and Msn2/Msn4 transcription factors: Variations of PKA effect during stress and growth. Mol. Microbiol. 2000, 35, 397–406. [Google Scholar] [CrossRef]
- Li, P.S.; Fu, X.F.; Zhang, L.; Zhang, Z.Y.; Li, J.H.; Li, S.Z. The transcription factors Hsf1 and Msn2 of thermotolerant Kluyveromyces marxianus promote cell growth and ethanol fermentation of Saccharomyces cerevisiae at high temperatures. Biotechnol. Biofuels 2017, 10, 289. [Google Scholar] [CrossRef]
- Sadeh, A.; Baran, D.; Volokh, M.; Aharoni, A. Conserved motifs in the Msn2-activating domain are important for Msn2-mediated yeast stress response. J. Cell. Sci. 2012, 125, 3333–3342. [Google Scholar] [CrossRef] [PubMed]
- DeRisi, J.L.; Iyer, V.R.; Brown, P.O. Exploring the metabolic and genetic control of gene expression on a genomic scale. Science 1997, 278, 680–686. [Google Scholar] [CrossRef] [PubMed]
- Gorner, W.; Durchschlag, E.; Martinez-Pastor, M.T.; Estruch, F.; Ammerer, G.; Hamilton, B.; Ruis, H.; Schuller, C. Nuclear localization of the C2H2 zinc finger protein Msn2p is regulated by stress and protein kinase A activity. Gene Dev. 1998, 12, 586–597. [Google Scholar] [CrossRef] [PubMed]
- Xiao, W.; Zhang, J.; Huang, J.; Xin, C.; Li, M.J.; Song, Z. Response and regulatory mechanisms of heat resistance in pathogenic fungi. Appl. Microbiol. Biotechnol. 2022, 106, 5415–5431. [Google Scholar] [CrossRef] [PubMed]





Disclaimer/Publisher’s Note: The statements, opinions and data contained in all publications are solely those of the individual author(s) and contributor(s) and not of MDPI and/or the editor(s). MDPI and/or the editor(s) disclaim responsibility for any injury to people or property resulting from any ideas, methods, instructions or products referred to in the content. |
© 2023 by the authors. Licensee MDPI, Basel, Switzerland. This article is an open access article distributed under the terms and conditions of the Creative Commons Attribution (CC BY) license (https://creativecommons.org/licenses/by/4.0/).
Share and Cite
Liu, M.; Cheng, H. Discovery and Functional Evaluation of Heat Tolerance Genes in the Nonconventional Yeast Yarrowia lipolytica. Fermentation 2023, 9, 509. https://doi.org/10.3390/fermentation9060509
Liu M, Cheng H. Discovery and Functional Evaluation of Heat Tolerance Genes in the Nonconventional Yeast Yarrowia lipolytica. Fermentation. 2023; 9(6):509. https://doi.org/10.3390/fermentation9060509
Chicago/Turabian StyleLiu, Mengchan, and Hairong Cheng. 2023. "Discovery and Functional Evaluation of Heat Tolerance Genes in the Nonconventional Yeast Yarrowia lipolytica" Fermentation 9, no. 6: 509. https://doi.org/10.3390/fermentation9060509
APA StyleLiu, M., & Cheng, H. (2023). Discovery and Functional Evaluation of Heat Tolerance Genes in the Nonconventional Yeast Yarrowia lipolytica. Fermentation, 9(6), 509. https://doi.org/10.3390/fermentation9060509

