Subjective Straylight Index: A Visual Test for Retinal Contrast Assessment as a Function of Veiling Glare
Abstract
1. Introduction
2. Materials and Methods
2.1. Computational Straylight Generator: The Glare Spread Function
2.2. Computational Straylight Detector: Straylight Index
2.3. Straylight Index as a Measure of the Glare Spread Function
2.4. Subjective Straylight Function
2.5. Subjects
2.6. Wavefront Aberrometry
2.7. Time Recovery from Total Disability Glare
2.8. Image Processing, Data Analysis and Statistics
3. Results
3.1. Subjective Straylight Index in Young Healthy Subjects
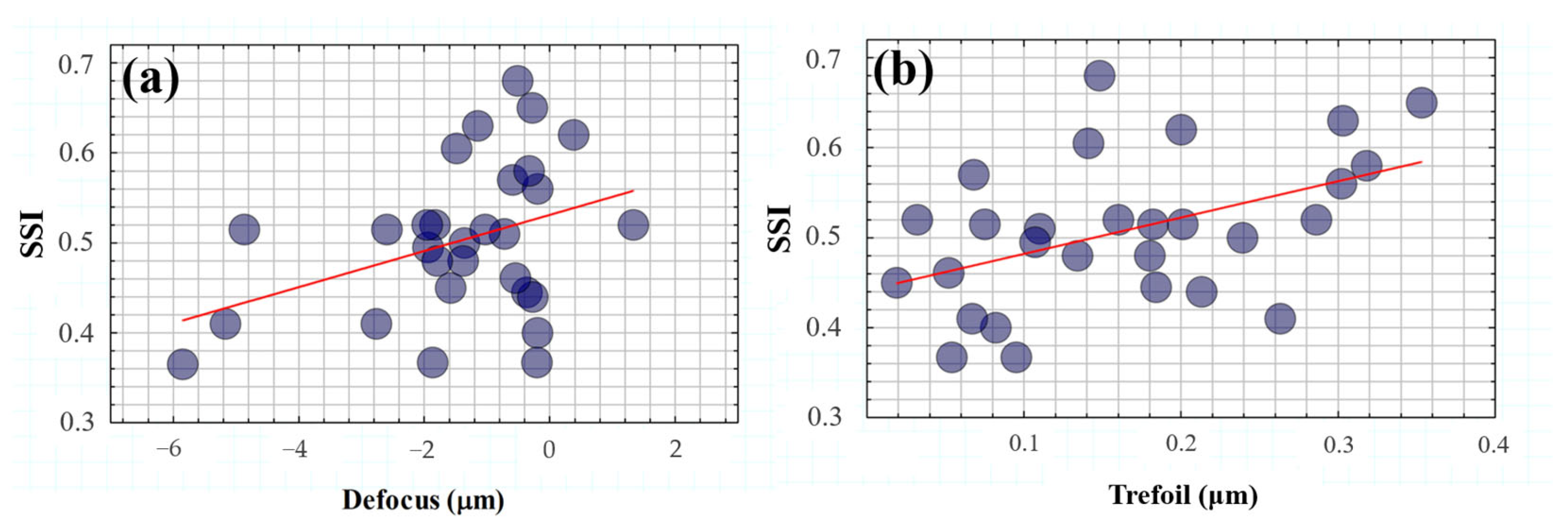
3.2. Effect of SSI on the Spatial Resolution of the Eye: Ocular Wavefront
3.3. Effect of SSI on Visual Contrast Sensitivity Recovery Time
4. Discussion and Conclusions
Supplementary Materials
Author Contributions
Funding
Institutional Review Board Statement
Informed Consent Statement
Data Availability Statement
Acknowledgments
Conflicts of Interest
References
- Xiao, N.; Xu, S.; Li, Z.-K.; Tang, M.; Mao, R.; Yang, T.; Ma, S.-X.; Wang, P.-H.; Li, M.-T.; Sunilkumar, A.; et al. A single photoreceptor splits perception and entrainment by cotransmission. Nature 2023, 623, 562–570. [Google Scholar] [CrossRef] [PubMed]
- Liu, L.; Wang, Y.; Liu, J.; Liu, W. Retinal-image quality and contrast sensitivity function in eyes with epiretinal membrane: A cross-sectional observational clinical study. BMC Ophthalmol. 2018, 18, 290. [Google Scholar] [CrossRef] [PubMed]
- Maurer, D.; Mondloch, C.J.; Lewis, T. L Effects of early visual deprivation on perceptual and cognitive development. Prog. Brain Res. 2007, 164, 87–104. [Google Scholar] [PubMed]
- Tran, N.; Chiu, S.; Tian, Y.; Wildsoet, C.F. The significance of retinal image contrast and spatial frequency composition for eye growth modulation in young chicks. Vis. Res. 2008, 48, 1655–1662. [Google Scholar] [CrossRef] [PubMed]
- Jindra, L.F.; Zemon, V. Contrast sensitivity testing: A more complete assessment of vision. J. Cataract. Refract. Surg. 1989, 15, 141–148. [Google Scholar] [CrossRef] [PubMed]
- Dorr, M.; Lesmes, L.A.; Elze, T.; Wang, H.; Lu, Z.L.; Bex, P.J. Evaluation of the precision of contrast sensitivity function assessment on a tablet device. Sci. Rep. 2017, 7, 46706. [Google Scholar] [CrossRef] [PubMed]
- Ming, W.; Palidis, D.J.; Spering, M.; McKeown, M.J. Visual Contrast Sensitivity in Early-Stage Parkinson’s Disease. Investig. Ophthalmol. Vis. Sci. 2016, 57, 5696–5704. [Google Scholar] [CrossRef] [PubMed]
- Cormack, F.K.; Tovee, M.; Ballard, C. Contrast sensitivity and visual acuity in patients with Alzheimer’s disease. Int. J. Geriatr. Psychiatry 2000, 15, 614–620. [Google Scholar] [CrossRef] [PubMed]
- Mahayana, I.T.; Sakti, D.H.; Gani, T.T. Automated grating contrast-sensitivity: The easy test for hidden visual loss in recovered optic neuritis patient. Taiwan. J. Ophthalmol. 2021, 11, 301–304. [Google Scholar] [CrossRef] [PubMed]
- Kara, S.; Gencer, B.; Ersan, I.; Arikan, S.; Kocabiyik, O.; Tufan, H.A.; Comez, A. Repeatability of contrast sensitivity testing in patients with age-related macular degeneration, glaucoma, and cataract. Arq. Bras. Oftalmol. 2016, 79, 323–327. [Google Scholar] [CrossRef] [PubMed][Green Version]
- Savini, G.; Calossi, A.; Schiano-Lomoriello, D.; Barboni, P. Precision and Normative Values of a New Computerized Chart for Contrast Sensitivity Testing. Sci. Rep. 2019, 9, 16537. [Google Scholar] [CrossRef] [PubMed]
- Rosenkranz, S.C.; Kaulen, B.; Zimmermann, H.G.; Bittner, A.K.; Dorr, M.; Stellmann, J.P. Validation of Computer-Adaptive Contrast Sensitivity as a Tool to Assess Visual Impairment in Multiple Sclerosis Patients. Front. Neurosci. 2021, 23, 591302. [Google Scholar] [CrossRef]
- Martínez-Roda, J.A.; Vilaseca, M.; Ondategui, J.C.; Giner, A.; Burgos, F.J.; Cardona, G.; Pujol, J. Optical quality and intraocular scattering in a healthy young population. Clin. Exp. Optom. 2011, 94, 223–229. [Google Scholar] [CrossRef] [PubMed]
- Liao, X.; Lin, J.; Tian, J.; Wen, B.; Tan, Q.; Lan, C. Evaluation of optical quality: Ocular scattering and aberrations in eyes implanted with diffractive multifocal or Monofocal intraocular lenses. Curr. Eye Res. 2018, 43, 696–701. [Google Scholar] [CrossRef] [PubMed]
- Donald, R.B. Veiling glare reduction methods compared for ophthalmic applications. Appl. Opt. 1981, 20, 3787–3791. [Google Scholar]
- Van den Berg, T.J.T.P.; Franssen, L.; Kruijt, B.; Coppens, J.E. History of ocular straylight measurement: A review. Med. Phys. 2013, 23, 6–20. [Google Scholar] [CrossRef] [PubMed]
- Van den Berg, T.J.T.P.; IJspeert, J.K.; De Waard, P.W. Dependence of intraocular straylight on pigmentation and light transmission through the ocular wall. Vis. Res. 1991, 31, 1361–1367. [Google Scholar] [CrossRef] [PubMed]
- Mueller-Schotte, S.; Van der Schouw, Y.T.; Schuurmans, M.J. Ocular Straylight: A Determinant of Quality of Life in the Elderly? Gerontol. Geriatr. Med. 2015, 9, 2333721415610193. [Google Scholar] [CrossRef] [PubMed]
- Ayama, M.; Yamazaki, R.; Nakanoya, S.I.; Tashiro, T.; Ishikawa, T.; Ohnuma, K.; Shinoda, H.; Araki, K. Estimation of straylight in the eye and its relation to visual function. Opt. Rev. 2015, 22, 185–196. [Google Scholar] [CrossRef]
- Mainster, M.A.; Turner, P.L. Glare’s causes, consequences, and clinical challenges after a century of ophthalmic study. Am. J. Ophthalmol. 2012, 153, 587–593. [Google Scholar] [CrossRef] [PubMed]
- Commission Internationale de l’Éclairage. CIE e-ILV Term 17-333 Discomfort Glare; CIE: Vienna, Austria, 2019; Available online: http://eilv.cie.co.at/term/333 (accessed on 16 October 2019).
- Commission Internationale de l’Éclairage. CIE e-ILV Term 17-492 Glare; CIE: Vienna, Austria, 2019; Available online: http://eilv.cie.co.at/term/492 (accessed on 16 October 2019).
- Galliot, F.; Patel, S.R.; Cochener, B. Objective Scatter Index: Working Toward a New Quantification of Cataract? J. Refract. Surg. 2016, 32, 96–102. [Google Scholar] [CrossRef] [PubMed]
- Ginis, H.; Pérez, G.M.; Bueno, J.M.; Artal, P. The wide-angle point spread function of the human eye reconstructed by a new optical method. J. Vis. 2012, 12, 20. [Google Scholar] [CrossRef] [PubMed]
- Miller, D.; Jernigan, M.E.; Molnar, S.; Wolf, E.; Newman, J. Laboratory evaluation of a clinical glare tester. Arch. Opthalmol 1972, 87, 324–332. [Google Scholar] [CrossRef]
- Bailey, I.L.; Bullimore, M.A. A new test for the evaluation of disability glare. Optom. Vis. Sci. 1991, 68, 911–917. [Google Scholar] [CrossRef]
- Holladay, J.T.; Prager, T.C.; Trujillo, J.; Ruiz, R.S. Brightness acuity test and outdoor visual acuity in cataract patients. J. Cataract. Refract. Surg. 1987, 13, 67–69. [Google Scholar] [CrossRef] [PubMed]
- Elliott, D.B.; Bullimore, M.A. Assessing the reliability, discriminative ability, and validity of disability glare tests. Investig. Ophthalmol. Vis. Sci. 1993, 34, 108–119. [Google Scholar]
- Franssen, L.; Coppens, J.E.; Van den Berg, T.J. Compensation comparison method for assessment of retinal straylight. Investig. Ophthalmol. Vis. Sci. 2006, 47, 768–776. [Google Scholar] [CrossRef] [PubMed]
- Vos, J.J.; Van den Berg, T.J.T.P. On the course of the disability glare function and its attribution to components of ocular scatter. CIE Collect. 1997, 124, 11–29. [Google Scholar]
- Vos, J.J.; Van den Berg, T.J.T.P. Report on disability glare. CIE Collect. 1999, 135, 1–9. [Google Scholar]
- Van den Berg, T.J.T.P. Analysis of intraocular straylight, especially in relation to age. Optom. Vis. Sci. 1995, 72, 52–59. [Google Scholar] [CrossRef] [PubMed]
- Van Den Berg, T.J.; Van Rijn, L.R.; Michael, R.; Heine, C.; Coeckelbergh, T.; Nischler, C.; Wilhelm, H.; Grabner, G.; Emesz, M.; Barraquer, R.I.; et al. Straylight effects with aging and lens extraction. Am. J. Ophthalmol. 2007, 144, 358–363. [Google Scholar] [CrossRef] [PubMed]
- Ávila, F.J.; Ares, J.; Marcellán, M.C.; Collados, M.V.; Remón, L. Iterative-Trained Semi-Blind Deconvolution Algorithm to Compensate Straylight in Retinal Images. J. Imaging 2021, 16, 73. [Google Scholar] [CrossRef] [PubMed]
- Ávila, F.; Collados, M.V.; Ares, J.; Remón, L. Wide-field direct ocular straylight meter. Opt. Express 2020, 28, 11237–11242. [Google Scholar] [CrossRef] [PubMed]
- SergioBonaqueGonzalez/Sloan-Visual-Acuity-Eye-Chart-Optotype. Available online: https://github.com/SergioBonaqueGonzalez/Sloan-Visual-Acuity-Eye-Chart-Optotype (accessed on 1 December 2022).
- Ávila, F.J.; Casado, P. Optical instrument for the study of time recovery from total disability glare vision. Appl. Opt. 2022, 61, 2438–2443. [Google Scholar] [CrossRef] [PubMed]
- Ungewiss, J.; Schiefer, U.; Eichinger, P.; Wörner, M.; Crabb, D.P.; Jones, P.R. Does intraocular straylight predict night driving visual performance? Correlations between straylight levels and contrast sensitivity, halo size, and hazard recognition distance with and without glare. Front. Hum. Neurosci. 2022, 16, 910620. [Google Scholar] [CrossRef] [PubMed]
- Van Bree, M.C.J.; Pierrache, L.; Zijlmans, B.L.M.; Reus, N.J.; Van den Born, L.I.; Van den Berg, T.J.T.P. Straylight as an Indicator for Cataract Extraction in Patients with Retinal Dystrophy. Ophthalmol. Retin. 2017, 1, 531–544. [Google Scholar] [CrossRef] [PubMed]
- Jansonius, N.M.; Kooijman, A.C. The effect of defocus on edge contrast sensitivity. Ophthalmic Physiol. Opt. 1997, 17, 128–132. [Google Scholar] [CrossRef] [PubMed]
- Fernández-Sánchez, V.; Ponce, M.E.; Lara, F.; Montés-Micó, R.; Castejón-Mochón, J.F.; López-Gil, N. Effect of 3rd-order aberrations on human vision. J. Cataract. Refract. Surg. 2008, 34, 1339–1344. [Google Scholar] [CrossRef] [PubMed]
- Ávila, F.J.; Casado, P.; Ares, J. Photostress Recovery Time after Flash-Lighting Is Increased in Myopic Eyes. Photonics 2023, 10, 86. [Google Scholar] [CrossRef]












| RMS LOA | RMS HOA | Defocus * | Coma | Spherical Ab. | Trefoil * |
|---|---|---|---|---|---|
| 1.82 ± 1.50 | 0.44 ± 0.59 | −1.29 ± 1.73 | 0.25 ± 0.40 | 0.01 ± 0.33 | 0.18 ± 0.14 |
Disclaimer/Publisher’s Note: The statements, opinions and data contained in all publications are solely those of the individual author(s) and contributor(s) and not of MDPI and/or the editor(s). MDPI and/or the editor(s) disclaim responsibility for any injury to people or property resulting from any ideas, methods, instructions or products referred to in the content. |
© 2024 by the authors. Licensee MDPI, Basel, Switzerland. This article is an open access article distributed under the terms and conditions of the Creative Commons Attribution (CC BY) license (https://creativecommons.org/licenses/by/4.0/).
Share and Cite
Ávila, F.J.; Casado, P.; Marcellán, M.C.; Remón, L.; Ares, J.; Collados, M.V.; Otín, S. Subjective Straylight Index: A Visual Test for Retinal Contrast Assessment as a Function of Veiling Glare. J. Imaging 2024, 10, 89. https://doi.org/10.3390/jimaging10040089
Ávila FJ, Casado P, Marcellán MC, Remón L, Ares J, Collados MV, Otín S. Subjective Straylight Index: A Visual Test for Retinal Contrast Assessment as a Function of Veiling Glare. Journal of Imaging. 2024; 10(4):89. https://doi.org/10.3390/jimaging10040089
Chicago/Turabian StyleÁvila, Francisco J., Pilar Casado, Mª Concepción Marcellán, Laura Remón, Jorge Ares, Mª Victoria Collados, and Sofía Otín. 2024. "Subjective Straylight Index: A Visual Test for Retinal Contrast Assessment as a Function of Veiling Glare" Journal of Imaging 10, no. 4: 89. https://doi.org/10.3390/jimaging10040089
APA StyleÁvila, F. J., Casado, P., Marcellán, M. C., Remón, L., Ares, J., Collados, M. V., & Otín, S. (2024). Subjective Straylight Index: A Visual Test for Retinal Contrast Assessment as a Function of Veiling Glare. Journal of Imaging, 10(4), 89. https://doi.org/10.3390/jimaging10040089

