Effect of Solidity on the Leakage Flow and Related Noise in Axial-Flow Fans with Rotating Shroud Operating at Fixed Performance †
Abstract
1. Introduction
2. Experimental Facility and Measuring Techniques
2.1. Investigated Rotor and Experimental Setup for the Aerodynamic Measurements
2.2. Aerodynamic Measurement Procedures and Data Processing Techniques
2.3. Acoustic Measurement Procedure and Data Processing Technique
3. Effects of Solidity on the Leakage Flow
3.1. Two-Dimensional Time-Averaged PIV Measurements of the Leakage Flow in the Meridional Plane Upstream of the Rotor
3.2. LDV Measurements in the Rotor Gap
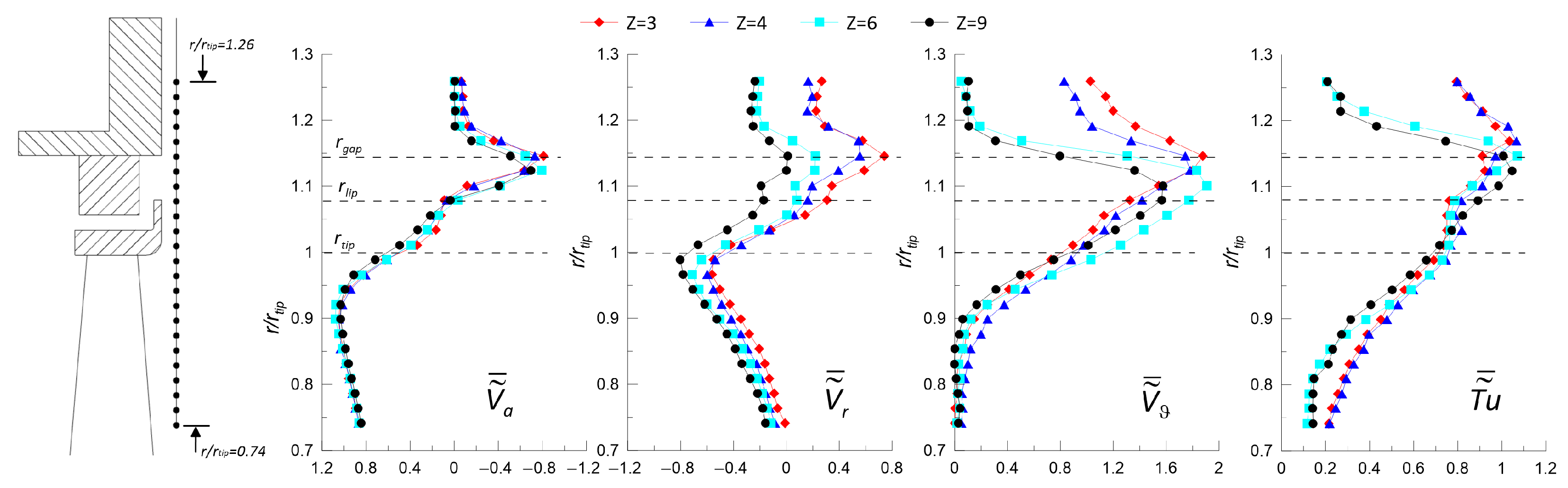
3.3. LDV Measurements in Front of the Rotor
4. Effects of Solidity on the Radiated Noise
5. Conclusions
Author Contributions
Funding
Data Availability Statement
Conflicts of Interest
Nomenclature
| rotational speed | |
| z | number of blades |
| Strouhal number scaled with z | |
| SPL | sound pressure level |
| pressure rise across the rotor | |
| time-mean velocity component | |
| flow coefficient | |
| turbulence intensity | |
| rotor solidity | |
| Strouhal number | |
| BPF | blade passing frequency |
| Q | volume flow rate |
| fluctuating velocity component | |
| periodic velocity component | |
| loading coefficient | |
| subsets used for FFT | |
| Subscripts | |
| a | axial velocity component |
| tangential velocity component | |
| r | radial velocity component |
References
- Longhouse, R. Control of tip-vortex noise of axial flow fans by rotating shrouds. J. Sound Vib. 1978, 58, 201–214. [Google Scholar] [CrossRef]
- Canepa, E.; Cattanei, A.; Zecchin, F.M.; Milanese, G.; Parodi, D. An experimental investigation on the tip leakage noise in axial-flow fans with rotating shroud. J. Sound Vib. 2016, 375, 115–131. [Google Scholar] [CrossRef]
- Canepa, E.; Cattanei, A.; Mazzocut Zecchin, F. Leakage noise and related flow pattern in a low-speed axial fan with rotating shroud. Int. J. Turbomach. Propuls. Power 2019, 4, 17. [Google Scholar] [CrossRef]
- Canepa, E.; Cattanei, A.; Moradi, M.; Nilberto, A. Experimental Study of the Leakage Flow in an Axial-Flow Fan at Variable Loading. Int. J. Turbomach. Propuls. Power 2021, 6, 40. [Google Scholar] [CrossRef]
- Sharland, I.J. Sources of noise in axial flow fans. J. Sound Vib. 1964, 1, 302–322. [Google Scholar] [CrossRef]
- Ottersten, M.; Yao, H.; Davidson, L. Inlet gap effect on aerodynamics and tonal noise generation of a voluteless centrifugal fan. J. Sound Vib. 2022, 540, 117304. [Google Scholar] [CrossRef]
- Masi, M.; Danieli, P.; Lazzaretto, A. Effect of Solidity and Aspect Ratio on the Aerodynamic Performance of Axial-Flow Fans with 0.2 Hub-to-Tip Ratio. J. Turbomach. 2023, 145, 081008. [Google Scholar] [CrossRef]
- Neshat, M.A.; Canepa, E.; Cattanei, A. CFD study of the leakage flow in low-speed axial-fan with rotating shroud. In Proceedings of the 15 th European Conference on Turbomachinery Fluid Dynamics & Thermodynamics, Budapest, Hungary, 24–28 April 2023. [Google Scholar]
- Fukano, T.; Takamatsu, Y.; Kodama, Y. The effects of tip clearance on the noise of low pressure axial and mixed flow fans. J. Sound Vib. 1986, 105, 291–308. [Google Scholar] [CrossRef]
- Fukano, T.; Jang, C.M. Tip clearance noise of axial flow fans operating at design and off-design condition. J. Sound Vib. 2004, 275, 1027–1050. [Google Scholar] [CrossRef]
- Piellard, M.; Coutty, B.B.; Le Goff, V.; Vidal, V.; Perot, F. Direct aeroacoustics simulation of automotive engine cooling fan system: Effect of upstream geometry on broadband noise. In Proceedings of the 20th AIAA/CEAS Aeroacoustics Conference, Atlanta, GA, USA, 16–20 June 2014; p. 2455. [Google Scholar]
- Magne, S.; Moreau, S.; Berry, A. Subharmonic tonal noise from backflow vortices radiated by a low-speed ring fan in uniform inlet flow. J. Acoust. Soc. Am. 2015, 137, 228–237. [Google Scholar] [CrossRef]
- Moreau, S.; Sanjose, M. Sub-harmonic broadband humps and tip noise in low-speed ring fans. J. Acoust. Soc. Am. 2016, 139, 118–127. [Google Scholar] [CrossRef] [PubMed]
- Zenger, F.J.; Renz, A.; Becher, M.; Becker, S. Experimental investigation of the noise emission of axial fans under distorted inflow conditions. J. Sound Vib. 2016, 383, 124–145. [Google Scholar] [CrossRef]
- Na, G.D.; Kameier, F.; Springer, N.; Mauß, M.; Paschereit, C. URANS simulations and experimental investigations on unsteady aerodynamic effects in the blade tip region of a shrouded fan configuration. In Proceedings of the Turbo Expo: Power for Land, Sea, and Air, Charlotte, NC, USA, 26–30 June 2017; Volume 50770, p. V001T09A003. [Google Scholar]
- Mo, J.O.; Choi, J.H. Numerical investigation of unsteady flow and aerodynamic noise characteristics of an automotive axial cooling fan. Appl. Sci. 2020, 10, 5432. [Google Scholar] [CrossRef]
- Zhu, T.; Lallier-Daniels, D.; Sanjosé, M.; Moreau, S.; Carolus, T. Rotating coherent flow structures as a source for narrowband tip clearance noise from axial fans. J. Sound Vib. 2018, 417, 198–215. [Google Scholar] [CrossRef]
- Lewis, D.; Moreau, S.; Jacob, M.C.; Sanjosé, M. Large Eddy Simulation of the ACAT1 fan stage for broadband noise prediction. J. Sound Vib. 2023, 565, 117888. [Google Scholar] [CrossRef]
- Moreau, S.; Roger, M. Turbomachinery Noise Review. Int. J. Turbomach. Propuls. Power 2024, 9, 11. [Google Scholar] [CrossRef]
- Canepa, E.; Cattanei, A.; Jafelice, F.; Zecchin, F.M.; Parodi, D. Effect of rotor deformation and blade loading on the leakage noise in low-speed axial fans. J. Sound Vib. 2018, 433, 99–123. [Google Scholar] [CrossRef]
- Canepa, E.; Cattanei, A.; Zecchin, F.M.; Parodi, D. Large-scale unsteady flow structures in the leakage flow of a low-speed axial fan with rotating shroud. Exp. Therm. Fluid Sci. 2019, 102, 1–19. [Google Scholar] [CrossRef]
- Dellacasagrande, M.; Canepa, E.; Cattanei, A.; Moradi, M. Characterization of Unsteady Leakage Flow in an Axial Fan. Int. J. Turbomach. Propuls. Power 2023, 8, 34. [Google Scholar] [CrossRef]
- Akhtar, T.; Canepa, E.; Cattanei, A.; Dellacasagrande, M.; Nilberto, A. Effect of Solidity on the Leakage Flow and Related Noise in Axial-Flow Fans with Rotating Shroud Operating at Fixed Performance. In Proceedings of the 16th European Turbomachinery Confeerence, paper n. ETC16-227, Hannover, Germany, 24–28 March 2025; Available online: https://www.euroturbo.eu/publications/conference-proceedings-repository (accessed on 27 June 2025).
- ISO 5801:2017; Industrial Fans—Performance Testing Using Standardized Airways. International Standard Organization (ISO): Geneva, Switzerland, 2017.
- Hussain, A.K.M.F.; Reynolds, W.C. The mechanics of an organized wave in turbulent shear flow. J. Fluid Mech. 1970, 41, 241–258. [Google Scholar] [CrossRef]
- Boutier, A. Accuracy of Laser Velocimetry, Lecture Series 1991–05 January 1991. VKI Laser Velocimetry, Vol. 1. Available online: https://ui.adsabs.harvard.edu/abs/1991VKILV...1T....B (accessed on 27 June 2025).
- Strazisar, A.J.; Powell, J.A. Laser anemometer measurements in a transonic axial flow compressor rotor. J. Eng. Power 1981, 103, 430–437. [Google Scholar] [CrossRef]
- Modarress, D.; Tan, H.; Nakayama, A. Evaluation of signal processing techniques in laser anemometry. In Proceedings of the Fourth International Symposium on Application of Laser Anemometry to Fluid Dynamics, Lisbon, Lisbon, Portugal, 11–14 July 1988. [Google Scholar]
- Lyn, D.A.; Einav, S.; Rodi, W.; Park, J.H. A laser-Doppler velocimetry study of ensemble-averaged characteristics of the turbulent near wake of a square cylinder. J. Fluid Mech. 1995, 304, 285–319. [Google Scholar] [CrossRef]
- Grant, I. Particle image velocimetry: A review. Proc. Inst. Mech. Eng. Part C J. Mech. Eng. Sci. 1997, 211, 55–76. [Google Scholar] [CrossRef]
- Prasad, A.; Adrian, R.; Landreth, C.; Offutt, P. Effect of resolution on the speed and accuracy of particle image velocimetry interrogation. Exp. Fluids 1992, 13, 105–116. [Google Scholar] [CrossRef]
- Canepa, E.; Cattanei, A.; Zecchin, F.M. Effect of the rotor–stator gap variation on the tonal noise generated by axial-flow fans. Appl. Acoust. 2015, 94, 29–38. [Google Scholar] [CrossRef]
- Canepa, E.; Cattanei, A.; Zecchin, F.M. Scaling properties of the aerodynamic noise generated by low-speed fans. J. Sound Vib. 2017, 408, 291–313. [Google Scholar] [CrossRef]
- Lee, J.; Francis, J.M.; Wang, L.M. How tonality and loudness of noise relate to annoyance and task performance. Noise Control. Eng. J. 2017, 65, 71–82. [Google Scholar] [CrossRef]












| z | [Pa] | Q [m3/s] | Ω [rpm] | ||
|---|---|---|---|---|---|
| 3 | 75 | 0.79 | 2500 | 0.088 | 0.036 |
| 4 | 75 | 0.79 | 2270 | 0.097 | 0.044 |
| 6 | 75 | 0.79 | 1975 | 0.109 | 0.056 |
| 9 | 75 | 0.79 | 1766 | 0.120 | 0.068 |
Disclaimer/Publisher’s Note: The statements, opinions and data contained in all publications are solely those of the individual author(s) and contributor(s) and not of MDPI and/or the editor(s). MDPI and/or the editor(s) disclaim responsibility for any injury to people or property resulting from any ideas, methods, instructions or products referred to in the content. |
© 2025 by the authors. Published by MDPI on behalf of the EUROTURBO. Licensee MDPI, Basel, Switzerland. This article is an open access article distributed under the terms and conditions of the Creative Commons Attribution (CC BY-NC-ND) license (https://creativecommons.org/licenses/by-nc-nd/4.0/).
Share and Cite
Akhtar, T.; Canepa, E.; Cattanei, A.; Dellacasagrande, M.; Nilberto, A. Effect of Solidity on the Leakage Flow and Related Noise in Axial-Flow Fans with Rotating Shroud Operating at Fixed Performance. Int. J. Turbomach. Propuls. Power 2025, 10, 27. https://doi.org/10.3390/ijtpp10030027
Akhtar T, Canepa E, Cattanei A, Dellacasagrande M, Nilberto A. Effect of Solidity on the Leakage Flow and Related Noise in Axial-Flow Fans with Rotating Shroud Operating at Fixed Performance. International Journal of Turbomachinery, Propulsion and Power. 2025; 10(3):27. https://doi.org/10.3390/ijtpp10030027
Chicago/Turabian StyleAkhtar, Tayyab, Edward Canepa, Andrea Cattanei, Matteo Dellacasagrande, and Alessandro Nilberto. 2025. "Effect of Solidity on the Leakage Flow and Related Noise in Axial-Flow Fans with Rotating Shroud Operating at Fixed Performance" International Journal of Turbomachinery, Propulsion and Power 10, no. 3: 27. https://doi.org/10.3390/ijtpp10030027
APA StyleAkhtar, T., Canepa, E., Cattanei, A., Dellacasagrande, M., & Nilberto, A. (2025). Effect of Solidity on the Leakage Flow and Related Noise in Axial-Flow Fans with Rotating Shroud Operating at Fixed Performance. International Journal of Turbomachinery, Propulsion and Power, 10(3), 27. https://doi.org/10.3390/ijtpp10030027

