Evaporation Modeling of Water Droplets in a Transonic Compressor Cascade under Fogging Conditions †
Abstract
1. Introduction
1.1. Motivation
1.2. Aim of the Work
2. Methods and Results
2.1. Experimental Setup
2.2. Experimental Results
2.3. Numerical Method and Setup
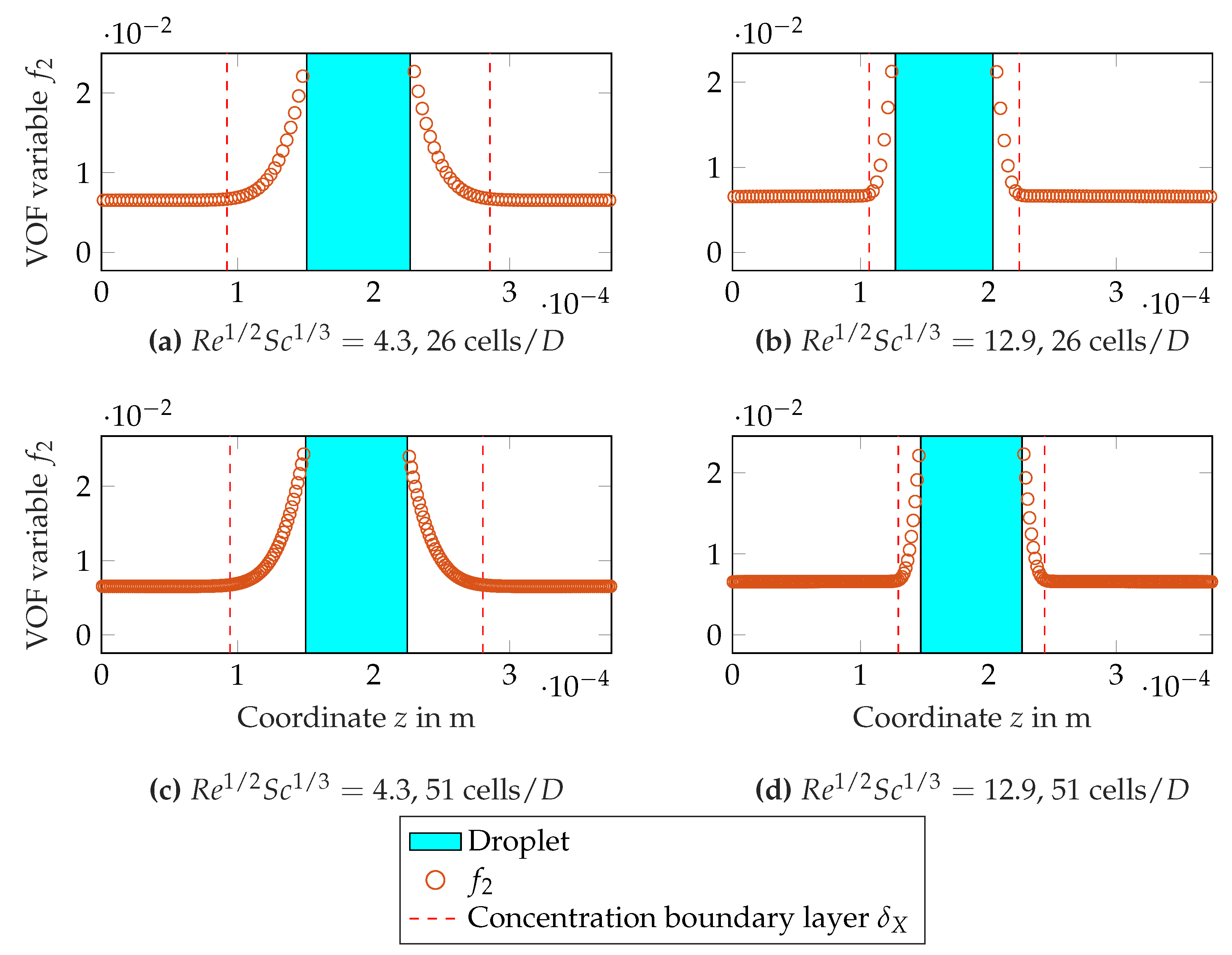
2.4. Numerical Results
3. Discussion
4. Conclusions
Author Contributions
Funding
Conflicts of Interest
Abbreviations
| Angle of incidence, ° | |
| Evaporation rate, m2/s | |
| Concentration boundary layer thickness, m | |
| Binary diffusion coefficient, m2/s | |
| Relative humidity, - | |
| Droplet mass fraction, - | |
| Constants, - | |
| c | Blade chord length, |
| Mean diameter, m | |
| Sauter mean diameter, m | |
| Initial diameter, m | |
| D | Diameter, m |
| VOF variable for liquid and vapor, - | |
| Convective mass transfer coefficient, m/s | |
| Inlet Mach number, - | |
| Relative back pressure, Pa | |
| Reynolds number, - | |
| S | Slip ratio, - |
| Schmidt number, - | |
| Sherwood number, - | |
| Gas temperature, K | |
| Droplet temperature, K | |
| t | Blade spacing, m |
| t | Time, s |
| Turbulence level, - | |
| Inlet velocity, m/s | |
| Slip velocity, m/s | |
| Weber number, - | |
| Cartesian coordinates, m | |
| DNS | Direct numerical simulation |
| FS3D | Free Surface 3D |
| ITLR | Institute of Aerospace Thermodynamics |
| LSM | Laboratory of Turbomachinery |
| VOF | Volume of fluid |
References
- Gomaa, H. Modeling of Liquid Dynamics in Spray Laden Compressor Flows. Ph.D. Thesis, University of Stuttgart, Stuttgart, Germany, 2014. [Google Scholar]
- Neupert, N.; Harbeck, J.; Joos, F. An experimentally derived model to predict the water film in a compressor cascade with droplet laden flow. In Proceedings of the ASME Turbo Expo 2017: Turbomachinery Technical Conference and Exposition, Charlotte, NC, USA, 26–30 June 2017. [Google Scholar]
- Seck, A.; Gomaa, H.; Weigand, B. Improved modeling approach for the interaction between droplets and blades in a compressor cascade. In Proceedings of the ISROMAC-17, Maui, HI, USA, 16–21 December 2017. [Google Scholar]
- Kolaitis, D.; Founti, M. A comparative study of numerical models for Euler-Lagrangian simulations of turbulent evaporating sprays. Int. J. Heat Fluid Flow 2006, 27, 424–435. [Google Scholar] [CrossRef]
- Frössling, N. Über die Verdunstung fallender Tropfen. Gerlands Beiträge Geophysik 1938, 52, 170–216. [Google Scholar]
- Kulmala, M.; Vesala, T.; Schwarz, J.; Smolik, J. Mass transfer from a drop-II. Theoretical analysis of temperature dependent mass flux correlation. Int. J. Heat Mass Transf. 1995, 38, 1705–1708. [Google Scholar] [CrossRef]
- Ranz, W.; Marshall, W. Evaporation from drops—Part 2. Chem. Eng. Prog. 1952, 48, 173–180. [Google Scholar]
- Ober, B. Experimental Investigation on the Aerodynamic Performance of a Compressor Cascade in Droplet Laden Flow. Ph.D. Thesis, Helmut-Schmidt-Universität, Hamburg, Germany, 2013. [Google Scholar]
- Geist, S.; Harbeck, J.; Joos, F. A 3D-LDA study of the relation between coincident and time stepped non-coincident stress measurements in a linear compressor cascade. In Proceedings of the ASME Turbo Expo 2018: Turbine Technical Conference and Exposition, Oslo, Norway, 11–15 June 2018. [Google Scholar]
- Putnam, A. Integratable form of droplet drag coefficient. ARS J. 1961, 31, 1467–1468. [Google Scholar]
- Pilch, M.; Erdman, C. Use of breakup time data and velocity history data to predict the maximum size of stable fragments for acceleration-induced breakup of liquid drop. Int. J. Multiph. Flow 1987, 13, 741–757. [Google Scholar] [CrossRef]
- Neupert, N.; Ober, B.; Joos, F. Experimental investigation on droplet behavior in a transonic compressor cascade. J. Turbomach. 2015, 137, 031009:1–031009:8. [Google Scholar] [CrossRef]
- Hirt, C.; Nichols, B. Volume of fluid (VOF) method for the dynamics of free boundaries. J. Comput. Phys. 1981, 39, 201–225. [Google Scholar] [CrossRef]
- Eisenschmidt, K.; Ertl, M.; Gomaa, H.; Kieffer-Roth, C.; Meister, C.; Rauschenberger, P.; Reitzle, M.; Schlottke, K.; Weigand, B. Direct numerical simulations for multiphase flows. Appl. Math. Comput. 2016, 272, 508–517. [Google Scholar]
- Rider, W.; Kothe, D. Reconstructing volume tracking. J. Comput. Phys. 1998, 141, 112–152. [Google Scholar] [CrossRef]
- Hase, M. Numerische Berechnung dreidimensionaler Transportvorgänge an angeströmten, sich verformenden Tropfen. Ph.D. Thesis, University of Stuttgart, Stuttgart, Germany, 2005. [Google Scholar]
- Schlottke, J. Direkte Numerische Simulation von Mehrphasenströmungen mit Phasenübergang. Ph.D. Thesis, University of Stuttgart, Stuttgart, Germany, 2008. [Google Scholar]
- Schlottke, J.; Weigand, B. Direct numerical simulation of evaporating droplets. J. Comput. Phys. 2008, 227, 5215–5237. [Google Scholar] [CrossRef]
- Ruberto, S.; Reutzsch, J.; Roth, N.; Weigand, B. A systematic experimental study on the evaporation rate of supercooled water droplets at subzero temperatures and varying relative humidity. Exp. Fluids 2017, 58, 55. [Google Scholar] [CrossRef]
- Ranz, W.; Marshall, W. Evaporation from drops—Part 1. Chem. Eng. Prog. 1952, 48, 141–146. [Google Scholar]
- Schwarz, J.; Smolik, J. Mass transfer from a drop-I. Experimental study and comparison with existing correlations. Int. J. Heat Mass Transf. 1994, 37, 2139–2143. [Google Scholar] [CrossRef]













| α [°] | c [m] | t [m] | Ma1 [-] | Tliquid [K] | Tgas [K] | φ [%] | Tu [-] |
|---|---|---|---|---|---|---|---|
| 4 | 0.05 | 0.05 | 0.89 | 303.15 | 310.15 | 36.9 | 0.02 |
| Diameter D [µm] | Velocity u∞ [m / s] | Temperature [K] | Relative Humidity φ [-] | |
|---|---|---|---|---|
| 15/45/75 | 4.91–58.6 | 300/310 | 295/300 | 0/0.25/0.5/0.75 |
© 2020 by the authors. Licensee MDPI, Basel, Switzerland. This article is an open access article distributed under the terms and conditions of the Creative Commons Attribution (CC BY) license (http://creativecommons.org/licenses/by/4.0/).
Share and Cite
Seck, A.; Geist, S.; Harbeck, J.; Weigand, B.; Joos, F. Evaporation Modeling of Water Droplets in a Transonic Compressor Cascade under Fogging Conditions. Int. J. Turbomach. Propuls. Power 2020, 5, 5. https://doi.org/10.3390/ijtpp5010005
Seck A, Geist S, Harbeck J, Weigand B, Joos F. Evaporation Modeling of Water Droplets in a Transonic Compressor Cascade under Fogging Conditions. International Journal of Turbomachinery, Propulsion and Power. 2020; 5(1):5. https://doi.org/10.3390/ijtpp5010005
Chicago/Turabian StyleSeck, Adrian, Silvio Geist, Janneck Harbeck, Bernhard Weigand, and Franz Joos. 2020. "Evaporation Modeling of Water Droplets in a Transonic Compressor Cascade under Fogging Conditions" International Journal of Turbomachinery, Propulsion and Power 5, no. 1: 5. https://doi.org/10.3390/ijtpp5010005
APA StyleSeck, A., Geist, S., Harbeck, J., Weigand, B., & Joos, F. (2020). Evaporation Modeling of Water Droplets in a Transonic Compressor Cascade under Fogging Conditions. International Journal of Turbomachinery, Propulsion and Power, 5(1), 5. https://doi.org/10.3390/ijtpp5010005

