Turbine Broadband Noise Predictions Using Linearised Frequency Domain Navier-Stokes Solvers †
Abstract
1. Introduction
2. Methodology
2.1. Turbulence Modelling
2.2. Response Computation
2.3. Post-Processing
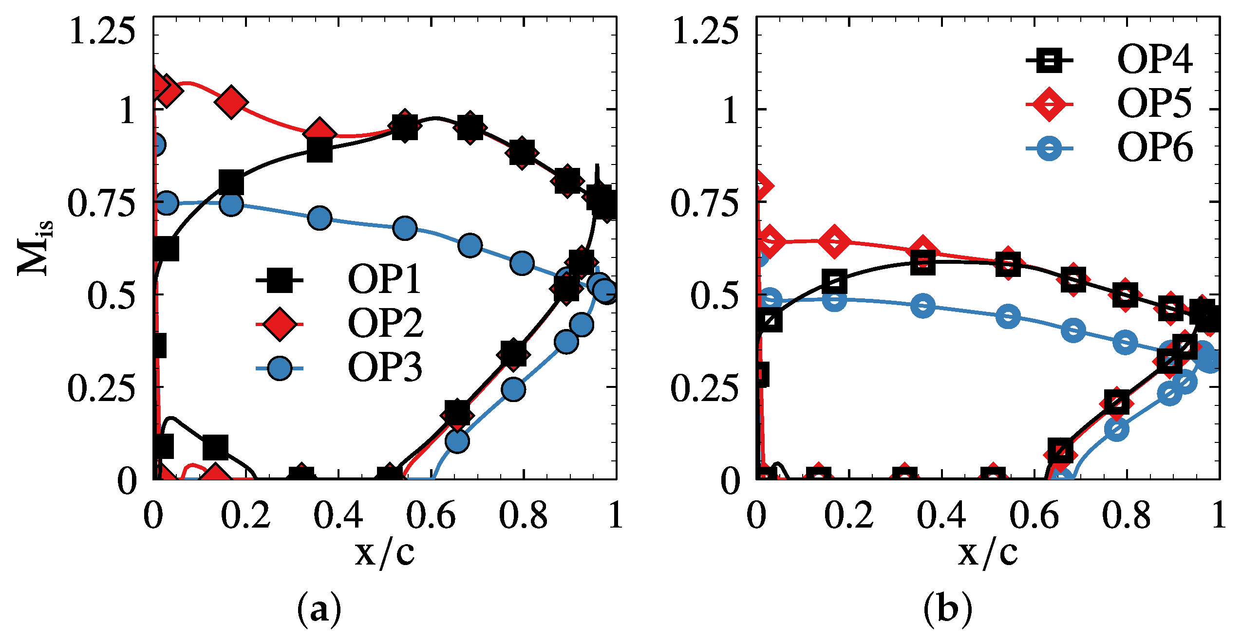
3. Results
3.1. Comparison with Flat Plate Based Methods
3.2. Separation of Geometrical Features
3.3. Effect of the Operating Conditions
4. Conclusions
Author Contributions
Funding
Institutional Review Board Statement
Informed Consent Statement
Data Availability Statement
Acknowledgments
Conflicts of Interest
Abbreviations
| a | Speed of sound |
| c | Blade chord |
| Reduced Frequency | |
| Wave vector | |
| i | Incidence Angle | imaginary unit |
| m | Azimuthal Mode Index |
| M | Mach number |
| r | Stator Tyler and Sofrin scatter index |
| R | Radius |
| p, | Pressure, total pressure |
| s | Blade spacing |
| Pressure Power Spectral Density | |
| t | Airfoil thickness |
| V | Number of stator vanes |
| Streamwise Base flow velocity | |
| Base flow primitive variables | |
| Velocity root mean square value | |
| w | Upwash velocity |
| Primitive perturbed variables | |
| Acoustic azimuthal wavenumber | |
| Acoustic spanwise wavenumber | |
| Velocity power spectral density | |
| Fourier Transform Operator | |
| Turbulence length scale | |
| Linearised Navier-Stokes Operator | |
| Density | |
| Mean flow angle | |
| Angular frequency | |
| Rotor angular speed | |
| NSPL | Normalised Sound Pressure Level |
| OANSPL | Overall Normalised Sound Pressure Level |
| PSD | Power Spectral Density |
| 0 | Flow average variable |
| Dimensionless Variable | |
| Fourier Transform | |
| 1, 2 | Inlet and Outlet Axial Stations |
References
- Nesbitt, E. Towards a quieter low pressure turbine: Design characteristics and prediction needs. Int. J. Aeroacoustics 2010, 10, 1–15. [Google Scholar] [CrossRef]
- Serrano, A.; Aparicio, J.; Vázquez, R. On the estimation and relevance of internally generated turbine broadband noise. Int. J. Aeroacoustics 2010, 10, 51–74. [Google Scholar] [CrossRef]
- Gershfeld, J. Leading edge noise from thick foils in turbulent flows. J. Acoust. Soc. Am. 2004, 116, 1416–1426. [Google Scholar] [CrossRef]
- Evers, I.; Peake, N. On sound generation by the interaction between turbulence and a cascade of airfoils with non-uniform mean flow. J. Fluid Mech. 2002, 463, 25–52. [Google Scholar] [CrossRef]
- Gill, J.; Zhang, X.; Joseph, P. Symmetric airfoil geometry effects on leading edge noise. J. Acoust. Soc. Am. 2013, 134, 2669–2680. [Google Scholar] [CrossRef]
- Gea-Aguilera, F.; Gill, J.; Zhang, X. On the effects of fan wake modelling and vane design on cascade noise. J. Sound Vib. 2019, 459, 114859. [Google Scholar] [CrossRef]
- Devenport, W.J.; Staubs, J.K.; Glegg, S.A. Sound radiation from real airfoils in turbulence. J. Sound Vib. 2010, 329, 3470–3483. [Google Scholar] [CrossRef]
- Myers, M.R.; Kerschen, E.J. Influence of camber on sound generation by airfoils interacting with high-frequency gusts. J. Fluid Mech. 1997, 353, 221–259. [Google Scholar] [CrossRef]
- Paruchuri, C.C.; Coupland, J.; Joseph, P. Airfoil geometry effects on turbulence interaction noise in cascades. In Proceedings of the 22nd AIAA/CEAS Aeroacoustics Conference, Lyon, France, 30 May–1 June 2016; p. 2738. [Google Scholar] [CrossRef]
- Corral, R.; Escribano, A.; Gisbert, F.; Serrano, A.; Vasco, C. Validation of a linear multigrid accelerated unstructured Navier-Stokes solver for the computation of turbine blades on hybrid grids. In Proceedings of the 9 th AIAA/CEAS Aeroacoustics Conference, Hilton Head, SC, USA, 12–14 May 2003; p. 3326. [Google Scholar] [CrossRef]
- Corral, R.; Gisbert, F.; Pueblas, J. Execution of a parallel edge-based Navier–Stokes solver on commodity graphics processor units. Int. J. Comput. Fluid. Dyn. 2017, 31, 93–108. [Google Scholar] [CrossRef]
- Guérin, S.; Kissner, C.; Seeler, P.; Blázquez, R.; Carrasco, P.; de Laborderie, H.; Lewis, D.; Chaitanya, P.; Polacsek, C.; Thisse, J. ACAT1 Benchmark of RANS-informed Analytical Methods for Fan Broadband Noise Prediction: Part II—Influence of the Acoustic Models. Acoustics 2020, 2, 617–649. [Google Scholar] [CrossRef]
- Blázquez-Navarro, R.; Corral, R. Prediction of fan acoustic blockage on fan/outlet guide vane broadband interaction noise using frequency domain linearised Navier–Stokes solvers. J. Sound Vib. 2021, 500, 116033. [Google Scholar] [CrossRef]
- Bechara, W.; Bailly, C.; Lafon, P.; Candel, S.M. Stochastic approach to noise modeling for free turbulent flows. AIAA J. 1994, 32, 455–463. [Google Scholar] [CrossRef]
- Batchelor, G.; Proudman, I. The effect of rapid distortion of a fluid in turbulent motion. Q. J. Mech. Appl. Math. 1954, 7, 83–103. [Google Scholar] [CrossRef]
- Liepmann, H. Extension of the statistical approach to buffeting and gust response of wings of finite span. J. Aeronaut. Sci. 1955, 22, 197–200. [Google Scholar] [CrossRef]
- Goldstein, M.E. Aeroacoustics; McGraw-Hill International Book Co.: New York, NY, USA, 1976; p. 130. [Google Scholar]
- Jaron, R.; Herthum, H.; Franke, M.; Moreau, A.; Guérin, S. Impact of Turbulence Models on RANS-Informed Prediction of Fan Broadband Interaction Noise. In Proceedings of the 12th European Turbomachinery Conference (ETC), Stockholm, Sweden, 3–7 April 2017; pp. 3–7. [Google Scholar] [CrossRef]
- Ju, H.; Mani, R.; Vysohlid, M.; Sharma, A. Investigation of fan-wake/outlet-guide-vane interaction broadband noise. AIAA J. 2015, 53, 3534–3550. [Google Scholar] [CrossRef][Green Version]
- Burgos, M.A.; Contreras, J.; Corral, R. Efficient edge-based rotor/stator interaction method. AIAA J. 2011, 49, 19–31. [Google Scholar] [CrossRef]
- Corral, R.; Vega, A. Physics of vibrating turbine airfoils at low reduced frequency. J. Propuls. Power 2016, 32, 325–336. [Google Scholar] [CrossRef]
- Corral, R.; Beloki, J.; Calza, P.; Elliott, R. Flutter generation and control using mistuning in a turbine rotating rig. AIAA J. 2019, 57, 782–795. [Google Scholar] [CrossRef]
- Paruchuri, C.; Gill, J.R.; Subramanian, N.; Joseph, P.; Vanderwel, C.; Zhang, X.; Ganapathisubramani, B. Aerofoil geometry effects on turbulence interaction noise. In Proceedings of the 21st AIAA/CEAS Aeroacoustics Conference, Dallas, TX, USA, 22–26 June 2015; p. 2830. [Google Scholar]
- Cooper, A.; Peake, N. Trapped acoustic modes in aeroengine intakes with swirling flow. J. Fluid Mech. 2000, 419, 151–175. [Google Scholar] [CrossRef]
- Curle, N. The influence of solid boundaries upon aerodynamic sound. Proc. R. Soc. Lond. Ser. A Math. Phys. Sci. 1955, 231, 505–514. [Google Scholar]
- Marble, F.; Candel, S. Acoustic disturbance from gas non-uniformities convected through a nozzle. J. Sound Vib. 1977, 55, 225–243. [Google Scholar] [CrossRef]














| OP | i | |||
|---|---|---|---|---|
| OP1 | 0.68 | 0 | 0.43 | 0.75 |
| OP2 | 0.68 | 10 | 0.56 | 0.75 |
| OP3 | 0.83 | 10 | 0.43 | 0.51 |
| OP4 | 0.86 | 0 | 0.30 | 0.44 |
| OP5 | 0.86 | 10 | 0.38 | 0.44 |
| OP6 | 0.919 | 10 | 0.30 | 0.34 |
| OP | s/c | |||||
|---|---|---|---|---|---|---|
| Airfoil | 0.43 | 0.75 | 0.855 | 44 | −59 | 0.075 |
| Flat Plate A | 0.43 | 0.43 | 0.855 | 44 | 44 | 0.075 |
| Flat Plate B | 0.75 | 0.75 | 0.855 | −59 | −59 | 0.075 |
Publisher’s Note: MDPI stays neutral with regard to jurisdictional claims in published maps and institutional affiliations. |
© 2021 by the authors. Licensee MDPI, Basel, Switzerland. This article is an open access article distributed under the terms and conditions of the Creative Commons Attribution (CC BY-NC-ND) license (https://creativecommons.org/licenses/by-nc-nd/4.0/).
Share and Cite
Blázquez-Navarro, R.; Corral, R. Turbine Broadband Noise Predictions Using Linearised Frequency Domain Navier-Stokes Solvers. Int. J. Turbomach. Propuls. Power 2021, 6, 42. https://doi.org/10.3390/ijtpp6040042
Blázquez-Navarro R, Corral R. Turbine Broadband Noise Predictions Using Linearised Frequency Domain Navier-Stokes Solvers. International Journal of Turbomachinery, Propulsion and Power. 2021; 6(4):42. https://doi.org/10.3390/ijtpp6040042
Chicago/Turabian StyleBlázquez-Navarro, Ricardo, and Roque Corral. 2021. "Turbine Broadband Noise Predictions Using Linearised Frequency Domain Navier-Stokes Solvers" International Journal of Turbomachinery, Propulsion and Power 6, no. 4: 42. https://doi.org/10.3390/ijtpp6040042
APA StyleBlázquez-Navarro, R., & Corral, R. (2021). Turbine Broadband Noise Predictions Using Linearised Frequency Domain Navier-Stokes Solvers. International Journal of Turbomachinery, Propulsion and Power, 6(4), 42. https://doi.org/10.3390/ijtpp6040042

