Minor Soil Elements in Contrasting Profiles in an Area Frequently Affected by Fire, NE Iberian Peninsula
Abstract
1. Introduction
2. Materials and Methods
2.1. Study Area
2.2. Methods
3. Results
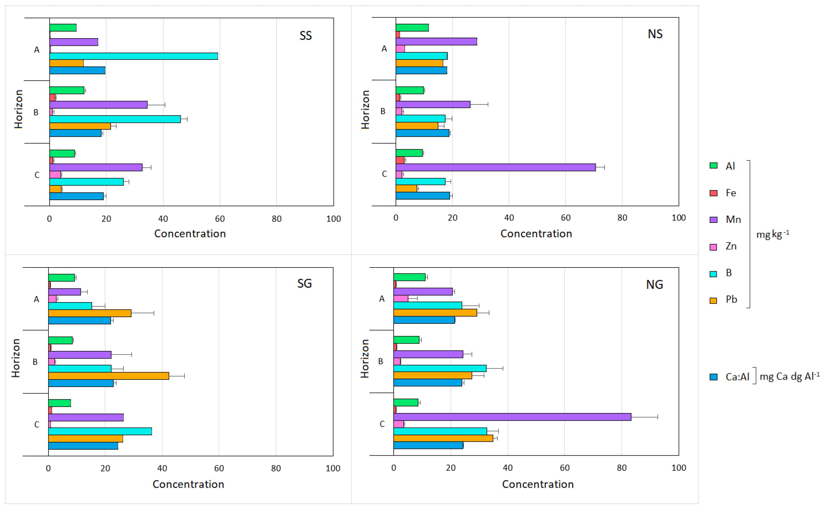
3.1. Analysis of Minor Elements by Profile and Horizon
3.2. Correlation Analysis of Minor Elements by Profile
3.3. Correlation Analysis of Minor Elements by Horizon
3.4. Multivariate Analysis
4. Discussion
5. Conclusions/Final Remarks
Author Contributions
Funding
Data Availability Statement
Acknowledgments
Conflicts of Interest
References
- Jenny, H. The Soil Resource: Origin and Dynamic; Springer Science and Business Media: Berlin/Heidelberg, Germany, 2012; p. 376. [Google Scholar]
- Van der Knijff, J.M.; Jones, R.J.A.; Montanarella, L. Soil Erosion Risk Assessment in Europe; European Soil Bureau: Brussels, Luxembourg, 2000. [Google Scholar]
- Przepióra, P.; Król, G.; Fraczek, M.; Kalicki, T.; Klusakiewic, E. Location and interpretation of post-forest-fire sediments—Case studies. Folia Geogr. Phys. 2017, 16, 43–49. [Google Scholar]
- Sánchez-García, C.; Schulte, L.; Carvalho, F.; Peña, J.C. A 500-year flood history of the arid environments of southeastern Spain. The case of the Almanzora River. Glob. Planet. Change 2019, 181, 102987. [Google Scholar] [CrossRef]
- Fernández-García, V.; Beltrán-Marcos, D.; Fernández-Guisuraga, J.M.; Marcos, E.; Calvo, L. Predicting potential wildfire severity across Southern Europe with global data sources. Sci. Total Environ. 2022, 829, 154729. [Google Scholar] [CrossRef]
- Úbeda, X.; Mataix-Solera, J.; Francos, M.; Farguell, J. Grandes incendios forestales en España y alteraciones de su régimen en las últimas décadas. In Geografia, Riscos e Proteção Civil. Homenagem ao Professor doutor Luciano Lourenço; Nunes, A., Amaro, A., Vieira, A., Velez de Castro, F., Felix, Eds.; F. RISCOS—Associação Portuguesa de Riscos, Prevenção e Segurança: Coimbra, Portugal, 2021; Volume 2. [Google Scholar]
- Certini, G. Fire as a Soil-Forming Factor. Ambio 2013, 43, 191–195. [Google Scholar] [CrossRef]
- Francos, M.; Sánchez-García, C.; Girona-García, A.; Fernández-García, V. Influence of topography on sediment dynamics and soil chemical properties in a Mediterranean forest historically affected by wildfires: NE Iberian Peninsula. Environ. Earth Sci. 2021, 80, 436. [Google Scholar] [CrossRef]
- Armstrong, A.; Quinton, J.; Francis, B.; Heng, B.; Sander, G. Controls over nutrient dynamics in overland flows on slopes representative of agricultural land in North West Europe. Geoderma 2011, 164, 2–10. [Google Scholar] [CrossRef]
- Parente, J.; Girona-García, A.; Lopes, A.R.; Keizer, J.J.; Vieira, D.C.S. Prediction, validation, and uncertainties of a nation-wide post-fire soil erosion risk assessment in Portugal. Sci. Rep. 2022, 12, 2945. [Google Scholar] [CrossRef]
- Osborne, B.B.; Nasto, M.K.; Asner, G.P.; Balzotti, C.S.; Cleveland, C.C.; Sullivan, B.W.; Taylor, P.G.; Townsend, A.R.; Porder, S. Climate, Topography, and Canopy Chemistry Exert Hierarchical Control Over Soil N Cycling in a Neotropical Lowland Forest. Ecosystems 2017, 20, 1089–1103. [Google Scholar] [CrossRef]
- Jendoubi, D.; Liniger, H.; Speranza, C.I. Impacts of land use and topography on soil organic carbon in a Mediterranean landscape (north-western Tunisia). Soil 2019, 5, 239–251. [Google Scholar] [CrossRef]
- Certini, G. Effects of fire on properties of forest soils: A review. Oecologia 2005, 143, 1–10. [Google Scholar] [CrossRef]
- Santín, C.; Doerr, S.H. Fire effects on soils: The human dimension. Philos. Trans. R. Soc. B Biol. Sci. 2016, 371, 20150171. [Google Scholar] [CrossRef]
- Fernández-García, V.; Marcos, E.; Fernández-Guisuraga, J.M.; Taboada, A.; Suárez-Seoane, S.; Calvo, L. Impact of burn severity on soil properties in a Pinus pinaster ecosystem immediately after fire. Int. J. Wildland Fire 2019, 28, 354–364. [Google Scholar] [CrossRef]
- Fernández-García, V.; Miesel, J.; Baeza, M.J.; Marcos, E.; Calvo, L. Wildfire effects on soil properties in fire-prone pine ecosystems: Indicators of burn severity legacy over the medium term after fire. Appl. Soil Ecol. 2018, 135, 147–156. [Google Scholar] [CrossRef]
- Francos, M.; Úbeda, X.; Pereira, P. Impact of torrential rainfall and salvage logging on post-wildfire soil properties in NE Iberian Peninsula. Catena 2019, 177, 210–218. [Google Scholar] [CrossRef]
- Garciamarco, S.; Gonzalez-Prieto, S. Short- and medium-term effects of fire and fire-fighting chemicals on soil micronutrient availability. Sci. Total Environ. 2008, 407, 297–303. [Google Scholar] [CrossRef]
- Quigley, K.M.; Wildt, R.E.; Sturtevant, B.R.; Kolka, R.K.; Dickinson, M.B.; Kern, C.C.; Donner, D.M.; Miesel, J.R. Fuels, vegetation, and prescribed fire dynamics influence ash production and characteristics in a diverse landscape under active pine barrens restoration. Fire Ecol. 2019, 15, 5. [Google Scholar] [CrossRef]
- Jovanovic, V.P.S.; Ilic, M.D.; Markovic, M.S.; Mitic, V.D.; Nikolic Mandic, S.D.; Stojanovic, G.S. Wild fire impact on copper, zinc, lead and cadmium distribution in soil and relation with abundance in selected plants of Lamiaceae family from Vidlic Mountain (Serbia). Chemosphere 2011, 84, 1584–1591. [Google Scholar] [CrossRef]
- Francos, M.; Úbeda, X.; Pereira, P. Long-term forest management after wildfire (Catalonia, NE Iberian Peninsula). J. For. Res. 2020, 31, 269–278. [Google Scholar] [CrossRef]
- Johnson, D.W.; Walker, R.F.; McNulty, M.; Rau, B.M.; Miller, W.W. The Long-Term Effects of Wildfire and Post-Fire Vegetation on Sierra Nevada Forest Soils. Forests 2012, 3, 398–416. [Google Scholar] [CrossRef]
- Francos, M.; Úbeda, X.; Pereira, P. Impact of bonfires on soil properties in an urban park in Vilnius (Lithuania). Environ. Res. 2020, 181, 108895. [Google Scholar] [CrossRef]
- Pereira, P.; Cerda, A.; Martin, D.; Úbeda, X.; Depellegrin, D.; Novara, A.; Martínez-Murillo, J.F.; Brevik, E.C.; Menshov, O.; Comino, J.R.; et al. Short-term low-severity spring grassland fire impacts on soil extractable elements and soil ratios in Lithuania. Sci. Total Environ. 2017, 578, 469–475. [Google Scholar] [CrossRef]
- Francos, M.; Úbeda, X.; Pereira, P.; Alcañiz, M. Long-term impact of wildfire on soils exposed to different fire severities. A case study in Cadiretes Massif (NE Iberian Peninsula). Sci. Total Environ. 2018, 615, 664–671. [Google Scholar] [CrossRef]
- Campo, J.; Lorenzo, M.; Cammeraat, E.L.; Picó, Y.; Andreu, V. Emerging contaminants related to the occurrence of forest fires in the Spanish Mediterranean. Sci. Total Environ. 2017, 603, 330–339. [Google Scholar] [CrossRef]
- Walker, X.J.; Baltzer, J.L.; Cumming, S.G.; Day, N.J.; Ebert, C.; Goetz, S.; Johnstone, J.F.; Potter, S.; Rogers, B.M.; Schuur, E.A.G.; et al. Increasing wildfires threaten historic carbon sink of boreal forest soils. Nature 2019, 572, 520–523. [Google Scholar] [CrossRef]
- Panareda-Clopés, J.M.; Nuet-Badia, J. Tipología y cartografía corológica de las plantas vasculares de Montserrat (Cordillera Prelitoral Catalana). Rev. Geogr. 1993, 27, 33–58. [Google Scholar]
- Soil Survey Staff. Keys to Soil Taxonomy; USDA-Natural Resources Conservation Service: Washington, DC, USA, 2014.
- Úbeda, X.; Sala, M. Guia Pràctica per a L’estudi Dels Sols; Publicaciones Universitat de Barcelona: Barcelona, Spain, 1995. [Google Scholar]
- Conedera, M.; Tinner, W.; Neff, C.; Meurer, M.; Dickens, A.; Krebs, P. Reconstructing past fire regimes: Methods, applications, and relevance to fire management and conservation. Quat. Sci. Rev. 2009, 28, 555–576. [Google Scholar] [CrossRef]
- Yulianto, E.; Hirakawa, K.; Tsuji, H. Charcoal and organic geochemical properties as an evidence of Holocene fires in tropical peatland, Central Kalimantan, Indonesia. Tropics 2004, 14, 55–63. [Google Scholar] [CrossRef]
- Blake, W.H.; Kelly, C.; Wynants, M.; Patrick, A.; Lewin, S.; Lawson, J.; Nasolwa, E.; Page, A.; Nasseri, M.; Marks, C.; et al. Integrating land-water-people connectivity concepts across disciplines for co-design of soil erosion solutions. Land Degrad. Dev. 2020, 32, 3415–3430. [Google Scholar] [CrossRef]
- Armas-Herrera, C.M.; Pérez-Lambán, F.; Badía-Villas, D.; Peña-Monné, J.L.; González-Pérez, J.A.; Millán, J.V.P.; Jiménez-Morillo, N.T.; Sampietro-Vattuone, M.M.; Gracia, M.A. Pyrogenic organic matter from palaeo-fires during the Holocene: A case study in a sequence of buried soils at the Central Ebro Basin (NE Spain). J. Environ. Manag. 2018, 241, 558–566. [Google Scholar] [CrossRef]
- Knudsen, D.; Peterson, G.A.; Pratt, P.F. Lithium, sodium, and potassium. In Methods of Soil Analysis: Part 2 Chemical and Microbiological Properties; Page, A.L., Ed.; Agronomy Monographs: Madison, WI, USA, 1983; pp. 225–246. [Google Scholar]
- R Core Team. R: A Language and Environment for Statistical Computing. Available online: https://www.R-project.org/ (accessed on 20 July 2022).
- Taiyun, W.; Viliam, S. R Package “Corrplot”: Visualization of a Correlation Matrix. Version 0.84. 2017. Available online: https://github.com/taiyun/corrplot (accessed on 20 July 2022).
- Hempfling, R.; Schulten, H.-R. Chemical characterization of the organic matter in forest soils by Curie point pyrolysis-GC/MS and pyrolysis-field ionization mass spectrometry. Org. Geochem. 1990, 15, 131–145. [Google Scholar] [CrossRef]
- Whitley, A.; Moir, J.; Almond, P.; Moot, D. Soil pH and exchangeable aluminium in contrasting New Zealand high and hill country soils. NZGA Res. Pr. Ser. 2016, 16, 169–172. [Google Scholar] [CrossRef]
- Watham, L.; Sarangthem, I.; Sharla, L.D.; Athokpam, H.S. Distribution of different forms of iron (Fe) and aluminium (Al) under different land use system in acid soil. Pharma Innov. J. 2019, 8, 1–4. [Google Scholar]
- Jones, J.B. Agronomic Handbook: Management of Crops, Soils and Their Fertility; CRC Press: Boca Raton, FL, USA, 2003. [Google Scholar]
- Behera, S.K.; Shukla, A.K. Total and Extractable Manganese and Iron in Some Cultivated Acid Soils of India: Status, Distribution and Relationship with Some Soil Properties. Pedosphere 2014, 24, 196–208. [Google Scholar] [CrossRef]
- Millaleo, R.; Diaz, M.R.; Ivanov, A.; Mora, M.; Alberdi, M. Manganese as Essential and Toxic Element for Plants: Transport, Accumulation and Resistance Mechanisms. J. Soil Sci. Plant Nutr. 2010, 10, 470–481. [Google Scholar] [CrossRef]
- Marañón-Jiménez, S.; Castro, J.; Fernández-Ondoño, E.; Zamora, R. Charred wood remaining after a wildfire as a reservoir of macro- and micronutrients in a Mediterranean pine forest. Int. J. Wildland Fire 2013, 22, 681–695. [Google Scholar] [CrossRef]
- Zhang, X.; Li, M.-J.; Zhan, L.-Q.; Wu, W.; Liu, H.-B. Boron availability in top- and sub-soils as affected by topography and climate. Nutr. Cycl. Agroecosystems 2020, 118, 91–101. [Google Scholar] [CrossRef]
- Francos, N.; Gholizadeh, A.; Ben Dor, E. Spatial distribution of lead (Pb) in soil: A case study in a contaminated area of the Czech Republic. Geomatics, Nat. Hazards Risk 2022, 13, 610–620. [Google Scholar] [CrossRef]
- Sverdrup, H.; Warfvinge, P.; Rosen, K.A.J. A model for the impact of soil solution Ca: Al ratio, soil moisture and temperature on tree base cation uptake. Water Air Soil Pollut. 1992, 61, 365–383. [Google Scholar] [CrossRef]
- Cornelissen, G.; Nurida, N.L.; Hale, S.E.; Martinsen, V.; Silvani, L.; Mulder, J. Fading positive effect of biochar on crop yield and soil acidity during five growth seasons in an Indonesian Ultisol. Sci. Total Environ. 2018, 634, 561–568. [Google Scholar] [CrossRef]
- Xiang, L.; Zhu, H.; Zhou, R. Effect of Ca/Al Ratio on Stabilization/Solidification of Lead-Contaminated Soil by Ettringite. Adv. Civ. Eng. 2018, 2018, 3612962. [Google Scholar] [CrossRef]
- Levia, D.F.; Shiklomanov, A.N.; Van Stan, J.T.; Scheick, C.E.; Inamdar, S.P.; Mitchell, M.J.; McHale, P.J. Calcium and aluminum cycling in a temperate broadleaved deciduous forest of the eastern USA: Relative impacts of tree species, canopy state, and flux type. Environ. Monit. Assess. 2015, 187, 458. [Google Scholar] [CrossRef] [PubMed]
- Schulte, L. Evolución Cuaternaria de la Depresión de Vera y de Sorbas Oriental. SE Península Ibérica: Reconstrucción de las Fluctuaciones Paleoclimáticas a Partir de Estudios Morfológicos y Edafológicos; Publicaciones de la Universidad de Barcelona: Barcelona, Spain, 2002; p. 252. [Google Scholar]
- Arora, S.; Chahal, D.S. Effect of Soil Properties on Boron Adsorption and Release in Arid and Semi-Arid Benchmark Soils. Commun. Soil Sci. Plant Anal. 2010, 41, 2532–2544. [Google Scholar] [CrossRef]
- Kratzert, F.; Klotz, D.; Brenner, C.; Schulz, K.; Herrnegger, M. Rainfall–runoff modelling using Long Short-Term Memory (LSTM) networks. Hydrol. Earth Syst. Sci. 2018, 22, 6005–6022. [Google Scholar] [CrossRef]
- Ochoa, P.; Fries, A.; Mejía, D.; Burneo, J.; Ruíz-Sinoga, J.; Cerdà, A. Effects of climate, land cover and topography on soil erosion risk in a semiarid basin of the Andes. Catena 2016, 140, 31–42. [Google Scholar] [CrossRef]
- Stefanuto, E.B.; Lupinacci, C.M.; Carvalho, F.; Francos, M.; Úbeda, X. An evaluation of erosion in cuesta relief: São Paulo State, Brazil. Geomorphology 2022, 398, 108049. [Google Scholar] [CrossRef]
- Lal, R. Climate Change and Soil Degradation Mitigation by Sustainable Management of Soils and Other Natural Resources. Agric. Res. 2012, 1, 199–212. [Google Scholar] [CrossRef]
- Baraja, A.; Olivares, D.L.; Cerón-González, A. El estudio de los suelos. Un camino recorrido desde lo agronómico a lo ambiental. In Historia Ambiental de América Latina. Enfoques, Procedimientos y Cotidianidades; Urquijo, P.S., Lazos, A.E., Lefebvre, K., Eds.; Universidad Nacional Autónoma de México: Mexico City, Mexico, 2022; pp. 417–434. [Google Scholar]
- Ruiz-Peinado, R.; Bravo-Oviedo, A.; López-Senespleda, E.; Bravo, F.; del Rio, M. Forest management and carbon sequestration in the Mediterranean region: A review. For. Syst. 2017, 26, eR04S. [Google Scholar] [CrossRef]
- Kome, G.K.; Enang, R.K.; Tabi, F.O.; Yerima, B.P.K. Influence of Clay Minerals on Some Soil Fertility Attributes: A Review. Open J. Soil Sci. 2019, 9, 155–188. [Google Scholar] [CrossRef]
- Badía-Villas, D.; Esteban-Piñeiro, J.; Girona-García, A.; Ortiz-Perpiñá, O.; Poch, R. Topsoil microstructure changes after a shrubland prescribed burn (Central Pyrenees, NE Spain). Sci. Total Environ. 2020, 748, 141253. [Google Scholar] [CrossRef]
- Fairman, T.A.; Nitschke, C.R.; Bennett, L.T. Carbon stocks and stability are diminished by short-interval wildfires in fire-tolerant eucalypt forests. For. Ecol. Manag. 2021, 505, 119919. [Google Scholar] [CrossRef]
- Pereira, P.; Ignacio, M.; Bogunivic, I.; Francos, M.; Barceló, D.; Zhao, W. Ecosystem services in mountain environments: Benefits and threats. Pirin. Rev. Ecol. Montaña 2022, 177, e068. [Google Scholar] [CrossRef]





| Horizon | Al | Fe | Mn | Zn | B | Pb | Ca:Al | |
|---|---|---|---|---|---|---|---|---|
| SS | A | 9.43 | 0.22 | 17.04 | 0.38 | 59.27 | 11.91 | 19.59 |
| Bt | 10.70 | 0.52 | 37.78 | 0.88 | 44.41 | 23.34 | 19.70 | |
| 2B | 15.09 | 5.15 | 27.69 | 1.16 | 49.45 | 17.73 | 15.38 | |
| C | 8.83 | 1.14 | 32.57 | 3.91 | 25.99 | 4.09 | 18.95 | |
| NS | A | 11.53 | 1.32 | 28.64 | 3.16 | 18.11 | 16.62 | 18.08 |
| Bt | 9.75 | 1.41 | 26.20 | 2.21 | 17.45 | 14.95 | 18.70 | |
| C | 9.33 | 2.98 | 70.61 | 2.19 | 17.35 | 7.48 | 18.99 | |
| SG | A | 9.23 | 0.55 | 11.43 | 2.72 | 15.34 | 29.06 | 21.97 |
| B | 8.93 | 0.52 | 11.20 | 2.05 | 19.49 | 34.01 | 22.01 | |
| 2B | 7.79 | 0.97 | 22.33 | 2.28 | 29.62 | 56.49 | 23.73 | |
| C | 7.94 | 1.23 | 26.40 | 0.75 | 36.31 | 26.27 | 24.50 | |
| 3B | 7.64 | 1.86 | 65.82 | 2.65 | 17.72 | 47.67 | 24.88 | |
| NG | A | 11.04 | 0.82 | 20.55 | 5.05 | 23.85 | 29.09 | 21.30 |
| B | 8.87 | 0.64 | 30.02 | 2.43 | 27.89 | 26.33 | 23.53 | |
| C | 8.61 | 0.63 | 80.00 | 2.90 | 33.69 | 32.96 | 24.46 | |
| 2B | 7.92 | 1.90 | 31.98 | 2.31 | 48.13 | 38.60 | 25.93 | |
| 2C | 8.51 | 1.03 | 90.10 | 4.61 | 30.78 | 38.45 | 24.05 |
Publisher’s Note: MDPI stays neutral with regard to jurisdictional claims in published maps and institutional affiliations. |
© 2022 by the authors. Licensee MDPI, Basel, Switzerland. This article is an open access article distributed under the terms and conditions of the Creative Commons Attribution (CC BY) license (https://creativecommons.org/licenses/by/4.0/).
Share and Cite
Francos, M.; Sánchez-García, C.; Corvacho-Ganahín, O.; Fernández-García, V. Minor Soil Elements in Contrasting Profiles in an Area Frequently Affected by Fire, NE Iberian Peninsula. Fire 2022, 5, 189. https://doi.org/10.3390/fire5060189
Francos M, Sánchez-García C, Corvacho-Ganahín O, Fernández-García V. Minor Soil Elements in Contrasting Profiles in an Area Frequently Affected by Fire, NE Iberian Peninsula. Fire. 2022; 5(6):189. https://doi.org/10.3390/fire5060189
Chicago/Turabian StyleFrancos, Marcos, Carlos Sánchez-García, Oscar Corvacho-Ganahín, and Víctor Fernández-García. 2022. "Minor Soil Elements in Contrasting Profiles in an Area Frequently Affected by Fire, NE Iberian Peninsula" Fire 5, no. 6: 189. https://doi.org/10.3390/fire5060189
APA StyleFrancos, M., Sánchez-García, C., Corvacho-Ganahín, O., & Fernández-García, V. (2022). Minor Soil Elements in Contrasting Profiles in an Area Frequently Affected by Fire, NE Iberian Peninsula. Fire, 5(6), 189. https://doi.org/10.3390/fire5060189

