Testing Higher Derivative Gravity through Tunnelling
Abstract
1. Brief Overview of Seeded Vacuum Decay
1.1. Tunnelling à la Coleman
1.2. Seeded Tunnelling
2. Seeded Decay in Einstein Gauss–Bonnet Gravity: Bubble Nucleation
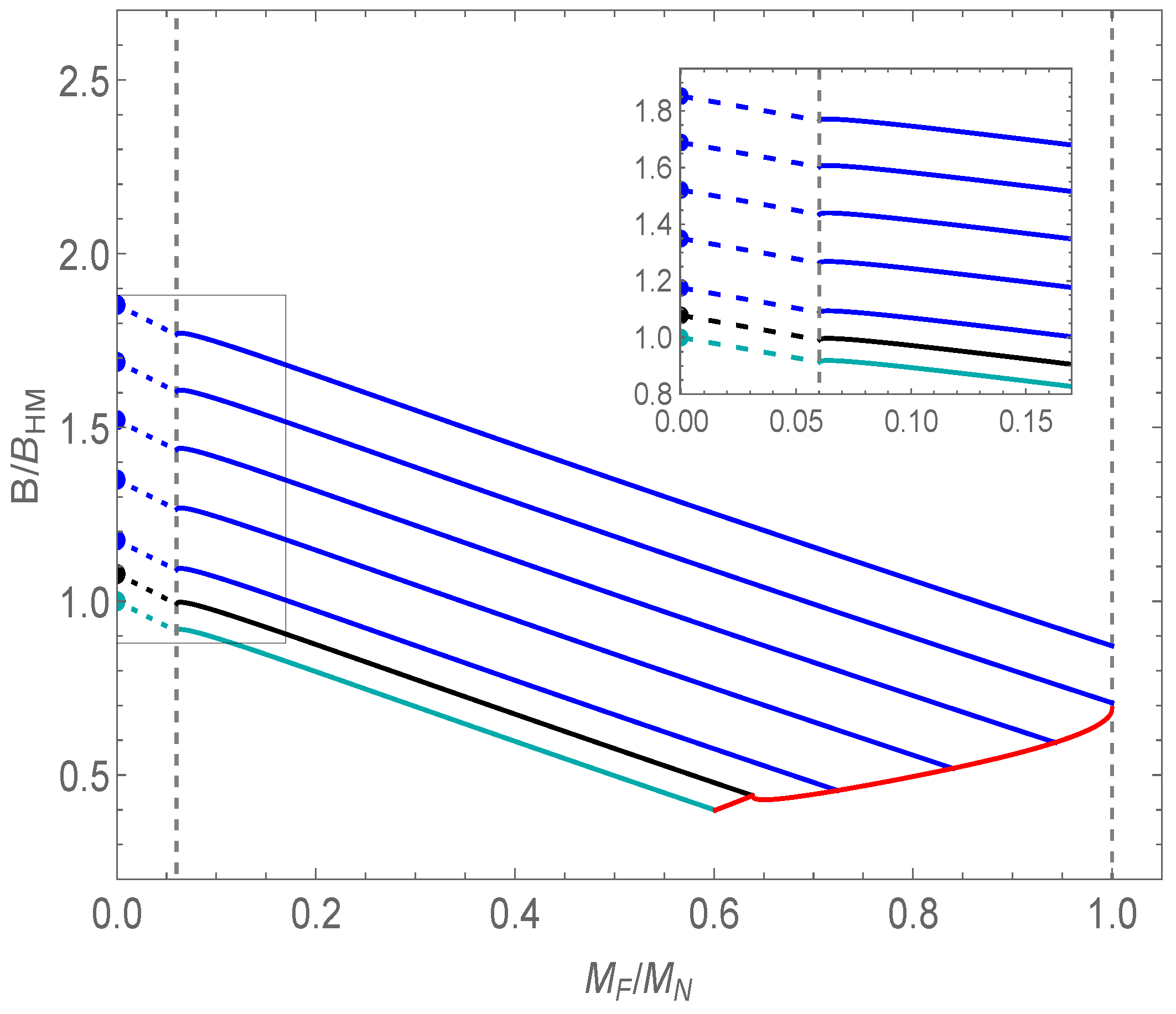
2.1. Seeded Bubbles in Einstein-Gauss–Bonnet
2.2. Bubble Actions
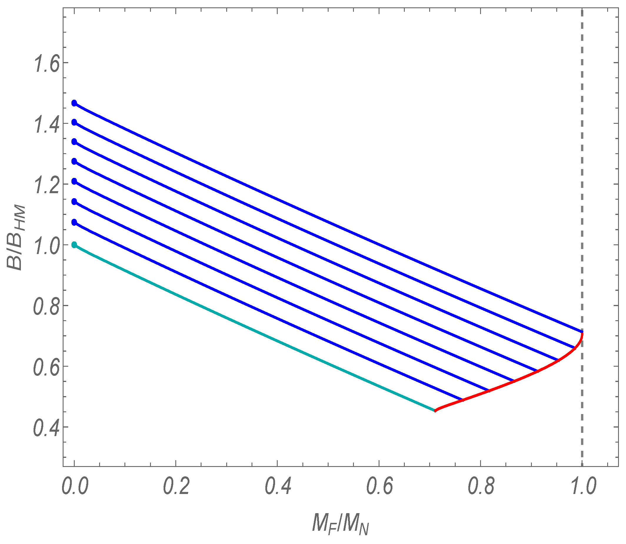
3. Seeded Decay in Einstein Gauss–Bonnet Gravity: Hawking–Moss
4. Conclusions
Author Contributions
Funding
Data Availability Statement
Acknowledgments
Conflicts of Interest
Abbreviations
| GR | General Relativity |
| GB | Gauss–Bonnet |
| SM | Standard Model |
| HM | Hawking–Moss |
| dS | de-Sitter |
| CDL | Coleman–De Luccia |
| BHHM | black hole Hawking–Moss |
| EGB | Einstein-Gauss–Bonnet |
| ADM | Arnowitt–Deser–Misner |
| SdS | Schwarzschild–de-Sitter |
References
- Clifton, T.; Ferreira, P.G.; Padilla, A.; Skordis, C. Modified Gravity and Cosmology. Phys. Rept. 2012, 513, 1–189. [Google Scholar] [CrossRef]
- Lanczos, C. A Remarkable property of the Riemann-Christoffel tensor in four dimensions. Ann. Math. 1938, 39, 842–850. [Google Scholar] [CrossRef]
- Zumino, B. Gravity Theories in More Than Four-Dimensions. Phys. Rept. 1986, 137, 109. [Google Scholar] [CrossRef]
- Zwiebach, B. Curvature Squared Terms and String Theories. Phys. Lett. B 1985, 156, 315–317. [Google Scholar] [CrossRef]
- Lovelock, D. The Einstein tensor and its generalizations. J. Math. Phys. 1971, 12, 498–501. [Google Scholar] [CrossRef]
- Charmousis, C.; Dufaux, J.F. General Gauss–Bonnet brane cosmology. Class. Quant. Grav. 2002, 19, 4671–4682. [Google Scholar] [CrossRef]
- Aad, G.; Abajyan, T.; Abbott, B.; Abdallah, J.; Khalek, S.A.; Abdelalim, A.A.; Aben, R.; Abi, B.; Abolins, M.; Abouzeid, O.S.; et al. Observation of a new particle in the search for the Standard Model Higgs boson with the ATLAS detector at the LHC. Phys. Lett. B 2012, 716, 1–29. [Google Scholar] [CrossRef]
- Chatrchyan, S.; Khachatryan, V.; Sirunyan, A.M.; Tumasyan, A.; Adam, W.; Aguilo, E.; Bergauer, T.; Dragicevic, M.; Erö, J.; Fabjan, C.; et al. Observation of a New Boson at a Mass of 125 GeV with the CMS Experiment at the LHC. Phys. Lett. B 2012, 716, 30–61. [Google Scholar] [CrossRef]
- Aad, G.; Abajyan, T.; Abbott, B.; Abdallah, J.; Khalek, S.A.; Aben, R.; Abi, B.; Abolins, M.; AbouZeid, O.S.; Abramowicz, H.; et al. Measurements of Higgs boson production and couplings in diboson final states with the ATLAS detector at the LHC. Phys. Lett. B 2013, 726, 88–119. [Google Scholar] [CrossRef]
- Chatrchyan, S.; Khachatryan, V.; Sirunyan, A.M.; Tumasyan, A.; Adam, W.; Bergauer, T.; Dragicevic, M.; Erö, J.; Fabjan, C.; Friedl, M.; et al. Measurement of the Properties of a Higgs Boson in the Four-Lepton Final State. Phys. Rev. D 2014, 89, 092007. [Google Scholar] [CrossRef]
- Aad, G.; Abbott, B.; Abdallah, J.; Aben, R.; Abolins, M.; AbouZeid, O.S.; Abramowicz, H.; Abreu, H.; Abreu, R.; Abulaiti, Y.; et al. Combined Measurement of the Higgs Boson Mass in pp Collisions at = 7 and 8 TeV with the ATLAS and CMS Experiments. Phys. Rev. Lett. 2015, 114, 191803. [Google Scholar] [CrossRef]
- Khachatryan, V.; Sirunyan, A.M.; Tumasyan, A.; Adam, W.; Asilar, E.; Bergauer, T.; Brstetter, J.; Brondolin, E.; Dragicevic, M.; Erö, J.; et al. Measurement of the top quark mass using proton-proton data at = 7 and 8 TeV. Phys. Rev. D 2016, 93, 072004. [Google Scholar] [CrossRef]
- Coleman, S.R. The Fate of the False Vacuum. 1. Semiclassical Theory. Phys. Rev. D 1977, 15, 2929–2936. [Google Scholar] [CrossRef]
- Callan, C.G., Jr.; Coleman, S.R. The Fate of the False Vacuum. 2. First Quantum Corrections. Phys. Rev. D 1977, 16, 1762–1768. [Google Scholar] [CrossRef]
- Coleman, S.R.; Luccia, F.D. Gravitational Effects on and of Vacuum Decay. Phys. Rev. D 1980, 21, 3305. [Google Scholar] [CrossRef]
- Gibbons, G.W.; Hawking, S.W. Action Integrals and Partition Functions in Quantum Gravity. Phys. Rev. D 1977, 15, 2752–2756. [Google Scholar] [CrossRef]
- Israel, W. Singular hypersurfaces and thin shells in general relativity. Nuovo Cim. B 1966, 44, 1–14. [Google Scholar] [CrossRef]
- Hawking, S.W.; Moss, I.G. Supercooled Phase Transitions in the Very Early Universe. Phys. Lett. B 1982, 110, 35–38. [Google Scholar] [CrossRef]
- Brown, A.R.; Weinberg, E.J. Thermal derivation of the Coleman-De Luccia tunneling prescription. Phys. Rev. D 2007, 76, 064003. [Google Scholar] [CrossRef]
- Burda, P.; Gregory, R.; Moss, I. The fate of the Higgs vacuum. J. High Energy Phys. 2016, 6, 25. [Google Scholar] [CrossRef]
- Gregory, R.; Moss, I.G.; Withers, B. Black holes as bubble nucleation sites. J. High Energy Phys. 2014, 3, 81. [Google Scholar] [CrossRef]
- Burda, P.; Gregory, R.; Moss, I. Vacuum metastability with black holes. J. High Energy Phys. 2015, 8, 114. [Google Scholar] [CrossRef]
- Burda, P.; Gregory, R.; Moss, I. Gravity and the stability of the Higgs vacuum. Phys. Rev. Lett. 2015, 115, 071303. [Google Scholar] [CrossRef] [PubMed]
- Braden, J.; Johnson, M.C.; Peiris, H.V.; Pontzen, A.; Weinfurtner, S. New Semiclassical Picture of Vacuum Decay. Phys. Rev. Lett. 2019, 123, 031601. [Google Scholar] [CrossRef] [PubMed]
- Gregory, R. Primordial Black Holes and Higgs Vacuum Decay. Lect. Notes Phys. 2023, 1022, 289–311. [Google Scholar]
- Bowcock, P.; Charmousis, C.; Gregory, R. General brane cosmologies and their global space-time structure. Class. Quant. Grav. 2000, 17, 4745–4764. [Google Scholar] [CrossRef]
- Gregory, R.; Padilla, A. Nested brane worlds and strong brane gravity. Phys. Rev. D 2002, 65, 084013. [Google Scholar] [CrossRef]
- Page, D.N. Particle Emission Rates from a Black Hole: Massless Particles from an Uncharged, Nonrotating Hole. Phys. Rev. D 1976, 13, 198–206. [Google Scholar] [CrossRef]
- Gregory, R.; Moss, I.G.; Oshita, N. Black Holes, Oscillating Instantons, and the Hawking–Moss transition. J. High Energy Phys. 2020, 7, 24. [Google Scholar] [CrossRef]
- Gregory, R.; Moss, I.G.; Oshita, N.; Patrick, S. Hawking–Moss transition with a black hole seed. J. High Energy Phys. 2020, 9, 135. [Google Scholar] [CrossRef]
- Cuspinera, L.; Gregory, R.; Marshall, K.; Moss, I.G. Higgs Vacuum Decay from Particle Collisions? Phys. Rev. D 2019, 99, 024046. [Google Scholar] [CrossRef]
- Cuspinera, L.; Gregory, R.; Marshall, K.M.; Moss, I.G. Higgs Vacuum Decay in a Braneworld. Int. J. Mod. Phys. D 2020, 29, 2050005. [Google Scholar] [CrossRef]
- Gregory, R.; Hu, S.Q. Seeded vacuum decay with Gauss–Bonnet. J. High Energy Phys. 2023, 11, 72. [Google Scholar] [CrossRef]
- Wiltshire, D.L. Spherically Symmetric Solutions of Einstein-maxwell Theory With a Gauss–Bonnet Term. Phys. Lett. B 1986, 169, 36–40. [Google Scholar] [CrossRef]
- Bogdanos, C. Extensions of Birkhoff’s theorem in 6D Gauss–Bonnet gravity. AIP Conf. Proc. 2010, 1241, 521–527. [Google Scholar]
- Davis, S.C. Generalized Israel junction conditions for a Gauss–Bonnet brane world. Phys. Rev. D 2003, 67, 024030. [Google Scholar] [CrossRef]
- Wheeler, J.T. Symmetric Solutions to the Maximally Gauss–Bonnet Extended Einstein Equations. Nucl. Phys. B 1986, 273, 732–748. [Google Scholar] [CrossRef]
- Boulware, D.G.; Deser, S. String Generated Gravity Models. Phys. Rev. Lett. 1985, 55, 2656. [Google Scholar] [CrossRef]
- Wheeler, J.T. Symmetric Solutions to the Gauss–Bonnet Extended Einstein Equations. Nucl. Phys. B 1986, 268, 737–746. [Google Scholar] [CrossRef]
- Myers, R.C.; Perry, M.J. Black Holes in Higher Dimensional Space-Times. Ann. Phys. 1986, 172, 304. [Google Scholar] [CrossRef]
- Brihaye, Y.; Radu, E. Einstein-Gauss–Bonnet black holes in de-Sitter spacetime and the quasilocal formalism. Phys. Lett. B 2009, 678, 204–212. [Google Scholar] [CrossRef]
- Clunan, T.; Ross, S.F.; Smith, D.J. On Gauss–Bonnet black hole entropy. Class. Quant. Grav. 2004, 21, 3447–3458. [Google Scholar] [CrossRef]
- Deppe, N.; Kolly, A.; Frey, A.; Kunstatter, G. Stability of AdS in Einstein Gauss Bonnet Gravity. Phys. Rev. Lett. 2015, 114, 071102. [Google Scholar] [CrossRef]
- Deppe, N.; Leonard, C.D.; Taves, T.; Kunstatter, G.; Mann, R.B. Critical Collapse in Einstein-Gauss–Bonnet Gravity in Five and Six Dimensions. Phys. Rev. D 2012, 86, 104011. [Google Scholar] [CrossRef]
- Frolov, V.P. Mass-gap for black hole formation in higher derivative and ghost free gravity. Phys. Rev. Lett. 2015, 115, 051102. [Google Scholar] [CrossRef]
- Oliva, J.; Ray, S. Birkhoff’s Theorem in Higher Derivative Theories of Gravity. Class. Quant. Grav. 2011, 28, 175007. [Google Scholar] [CrossRef][Green Version]
- Kehagias, A.; Kounnas, C.; Lüst, D.; Riotto, A. Black hole solutions in R2 gravity. J. High Energy Phys. 2015, 5, 143. [Google Scholar] [CrossRef]
- Kohri, K.; Matsui, H. Electroweak Vacuum Collapse induced by Vacuum Fluctuations of the Higgs Field around Evaporating Black Holes. Phys. Rev. D 2018, 98, 123509. [Google Scholar] [CrossRef]
- Hayashi, T.; Kamada, K.; Oshita, N.; Yokoyama, J. On catalyzed vacuum decay around a radiating black hole and the crisis of the electroweak vacuum. J. High Energy Phys. 2020, 8, 88. [Google Scholar] [CrossRef]
- Shkerin, A.; Sibiryakov, S. Black hole induced false vacuum decay from first principles. J. High Energy Phys. 2021, 11, 197. [Google Scholar] [CrossRef]
- Shkerin, A.; Sibiryakov, S. Black hole induced false vacuum decay: The role of greybody factors. J. High Energy Phys. 2022, 8, 161. [Google Scholar] [CrossRef]
- Strumia, A. Black holes don’t source fast Higgs vacuum decay. J. High Energy Phys. 2023, 3, 39. [Google Scholar] [CrossRef]
- Briaud, V.; Shkerin, A.; Sibiryakov, S. Thermal false vacuum decay around black holes. Phys. Rev. D 2022, 106, 125001. [Google Scholar] [CrossRef]
- Hamaide, L.; Heurtier, L.; Hu, S.Q.; Cheek, A. Primordial Black Holes Are True Vacuum Nurseries. arXiv 2023, arXiv:2311.01869. [Google Scholar]
- Rajantie, A.; Stopyra, S. Standard Model vacuum decay with gravity. Phys. Rev. D 2017, 95, 025008. [Google Scholar] [CrossRef]




Disclaimer/Publisher’s Note: The statements, opinions and data contained in all publications are solely those of the individual author(s) and contributor(s) and not of MDPI and/or the editor(s). MDPI and/or the editor(s) disclaim responsibility for any injury to people or property resulting from any ideas, methods, instructions or products referred to in the content. |
© 2024 by the authors. Licensee MDPI, Basel, Switzerland. This article is an open access article distributed under the terms and conditions of the Creative Commons Attribution (CC BY) license (https://creativecommons.org/licenses/by/4.0/).
Share and Cite
Gregory, R.; Hu, S.-Q. Testing Higher Derivative Gravity through Tunnelling. Particles 2024, 7, 144-160. https://doi.org/10.3390/particles7010008
Gregory R, Hu S-Q. Testing Higher Derivative Gravity through Tunnelling. Particles. 2024; 7(1):144-160. https://doi.org/10.3390/particles7010008
Chicago/Turabian StyleGregory, Ruth, and Shi-Qian Hu. 2024. "Testing Higher Derivative Gravity through Tunnelling" Particles 7, no. 1: 144-160. https://doi.org/10.3390/particles7010008
APA StyleGregory, R., & Hu, S.-Q. (2024). Testing Higher Derivative Gravity through Tunnelling. Particles, 7(1), 144-160. https://doi.org/10.3390/particles7010008

