Trends, Projections, and Regional Disparities of Maternal Mortality in Africa (1990–2030): An ARIMA Forecasting Approach
Abstract
:1. Introduction
2. Materials and Methods
2.1. Joinpoint Regression
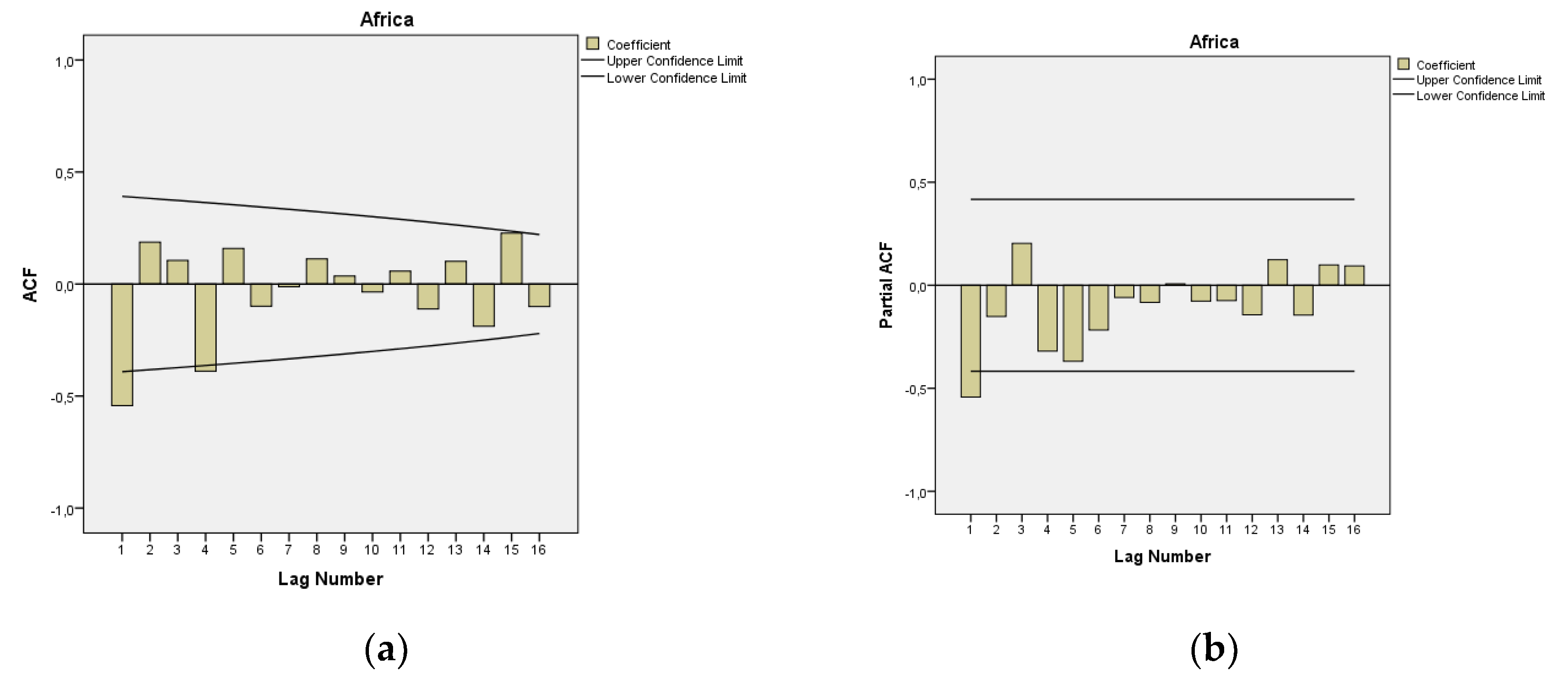
2.2. Arima Models
2.3. Holt Exponential Smoothing
2.4. Machine Learning Forecasting
2.5. Software
3. Results
3.1. North Africa
3.2. East Africa
3.3. Central Africa
3.4. South Africa
3.5. West Africa
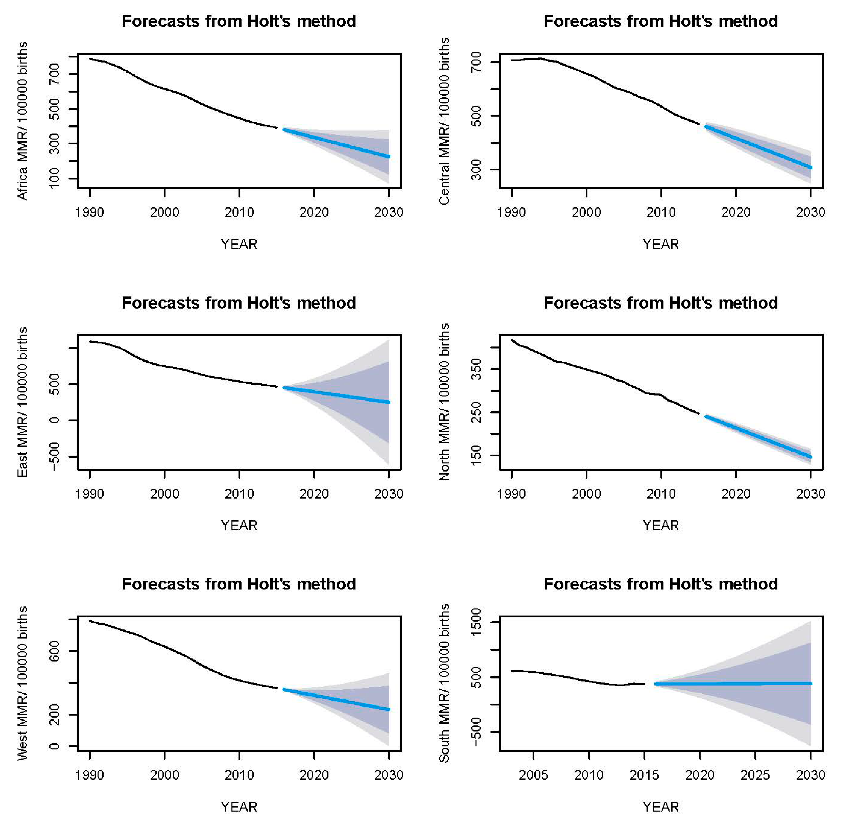
3.6. Holt Forecasting
3.7. Machine Learning Forecasting
4. Discussion
5. Policy Implications
6. Conclusions
Author Contributions
Funding
Institutional Review Board Statement
Data Availability Statement
Conflicts of Interest
References
- Bagade, T.; Chojenta, C.; Harris, M.; Oldmeadow, C.; Loxton, D. The Human Right to Safely Give Birth: Data from 193 Countries Show That Gender Equality Does Affect Maternal Mortality. BMC Pregnancy Childbirth 2022, 22, 1–12. [Google Scholar] [CrossRef] [PubMed]
- Bueno de Mesquita, J.; Kismödi, E. Maternal Mortality and Human Rights: Landmark Decision by United Nations Human Rights Body. Bull. World Health Organ 2012, 90, 79A. [Google Scholar] [CrossRef] [PubMed]
- World Health Organization. Trends in Maternal Mortality 2000 to 2020: Estimates by WHO, UNICEF, UNFPA, World Bank Group and UNDESA/Population Division; World Health Organization: Geneva, Switzerland, 2023. [Google Scholar]
- ICD-11 Reference Guide. Available online: https://icdcdn.who.int/icd11referenceguide/en/html/index.html (accessed on 30 December 2022).
- Fleszar, L.G.; Bryant, A.S.; Johnson, C.O.; Blacker, B.F.; Aravkin, A.; Baumann, M.; Dwyer-Lindgren, L.; Kelly, Y.O.; Maass, K.; Zheng, P.; et al. Trends in State-Level Maternal Mortality by Racial and Ethnic Group in the United States. JAMA 2023, 330, 52. [Google Scholar] [CrossRef]
- Abbasi, J. US Maternal Mortality Is Unacceptably High, Unequal, and Getting Worse—What Can Be Done About It? JAMA 2023, 330, 302. [Google Scholar] [CrossRef] [PubMed]
- Say, L.; Chou, D.; Gemmill, A.; Tunçalp, Ö.; Moller, A.-B.; Daniels, J.; Gülmezoglu, A.M.; Temmerman, M.; Alkema, L. Global Causes of Maternal Death: A WHO Systematic Analysis. Lancet Glob Health 2014, 2, e323–e333. [Google Scholar] [CrossRef] [PubMed]
- WHO. Trends in Maternal Mortality 2000 to 2017: Estimates by WHO, UNICEF, UNFPA, World Bank Group and the United Nations Population Division; World Health Organization: Geneva, Switzerland, 2019. [Google Scholar]
- Khan, K.S.; Wojdyla, D.; Say, L.; Gülmezoglu, A.M.; Van Look, P.F. WHO Analysis of Causes of Maternal Death: A Systematic Review. Lancet 2006, 367, 1066–1074. [Google Scholar] [CrossRef]
- Bhutta, Z.A.; Das, J.K.; Bahl, R.; Lawn, J.E.; Salam, R.A.; Paul, V.K.; Sankar, M.J.; Blencowe, H.; Rizvi, A.; Chou, V.B.; et al. Lancet Newborn Interventions Review Group; Lancet Every Newborn Study Group. Can Available Interventions End Preventable Deaths in Mothers, Newborn Babies, and Stillbirths, and at What Cost? Lancet 2014, 384, 347–370. [Google Scholar] [CrossRef]
- Gabrysch, S.; Campbell, O.M. Still Too Far to Walk: Literature Review of the Determinants of Delivery Service Use. BMC Pregnancy Childbirth 2009, 9, 34. [Google Scholar] [CrossRef]
- United Nations General Assembly. Transforming Our World: The 2030 Agenda for Sustainable Development United Nations.(A/RES/70/1); United Nations: New York, NY, USA, 2015. [Google Scholar]
- Kruk, M.E.; Gage, A.D.; Arsenault, C.; Jordan, K.; Leslie, H.H.; Roder-DeWan, S.; Adeyi, O.; Barker, P.; Daelmans, B.; Doubova, S.V.; et al. High-Quality Health Systems in the Sustainable Development Goals Era: Time for a Revolution. Lancet Glob Health 2018, 6, e1196–e1252. [Google Scholar] [CrossRef]
- Van den Broek, N.R.; Falconer, A.D. Maternal Mortality and Millennium Development Goal 5. Br. Med. Bull. 2011, 99, 25–38. [Google Scholar] [CrossRef]
- United Nations Millennium Development Goals. Available online: https://www.un.org/millenniumgoals/ (accessed on 28 June 2023).
- WHO; UNICEF; UNFPA; W.B.G.; U.N.P.D. Trends in Maternal Mortality: 1990 to 2015 Estimates; World Health Organization: Geneva, Switzerland, 2015. [Google Scholar]
- Temmerman, M.; Khosla, R.; Bhutta, Z.A.; Bustreo, F. Towards a New Global Strategy for Women’s, Children’s and Adolescents’ Health. BMJ 2015, h4414. [Google Scholar] [CrossRef] [PubMed]
- African Union; WHO. First Meeting of African Ministers of Health Jointly Convened by the AUC and WHO; WHO: Luanda, Angola, 2014. [Google Scholar]
- World Bank. Data Bank Africa Development Indicators. Available online: http://data.worldbank.org/data-catalog/africa-development-indicators (accessed on 28 July 2018).
- GBD 2015 Maternal Mortality Collaborators. Global, Regional, and National Levels of Maternal Mortality, 1990–2015: A Systematic Analysis for the Global Burden of Disease Study 2015. Lancet 2016, 388, 1775–1812. [Google Scholar] [CrossRef]
- WHO. Monitoring Emergency Obstetric Care: A Handbook; World Health Organization: Geneva, Switzerland, 2009. [Google Scholar]
- Gabrysch, S.; Simushi, V.; Campbell, O.M.R. Availability and Distribution of, and Geographic Access to Emergency Obstetric Care in Zambia. Int. J. Gynecol. Obstet. 2011, 114, 174–179. [Google Scholar] [CrossRef]
- Admasu, K.; Haile-Mariam, A.; Bailey, P. Indicators for Availability, Utilization, and Quality of Emergency Obstetric Care in Ethiopia, 2008. Int. J. Gynaecol. Obstet. 2011, 115, 101–105. [Google Scholar] [CrossRef] [PubMed]
- Gabrysch, S.; Zanger, P.; Campbell, O.M.R. Emergency Obstetric Care Availability: A Critical Assessment of the Current Indicator. Trop. Med. Int. Health 2012, 17, 2–8. [Google Scholar] [CrossRef] [PubMed]
- Banke-Thomas, A.; Wright, K.; Sonoiki, O.; Banke-Thomas, O.; Ajayi, B.; Ilozumba, O.; Akinola, O. Assessing Emergency Obstetric Care Provision in Low- and Middle-Income Countries: A Systematic Review of the Application of Global Guidelines. Glob. Health Action 2016, 9, 31880. [Google Scholar] [CrossRef] [PubMed]
- Roy, L.; Biswas, T.K.; Chowdhury, M.E. Emergency Obstetric and Newborn Care Signal Functions in Public and Private Facilities in Bangladesh. PLoS ONE 2017, 12, e0187238. [Google Scholar] [CrossRef]
- Onambele, L.; Ortega-Leon, W.; Guillen-Aguinaga, S.; Forjaz, M.J.; Yoseph, A.; Guillen-Aguinaga, L.; Alas-Brun, R.; Arnedo-Pena, A.; Aguinaga-Ontoso, I.; Guillen-Grima, F. Maternal Mortality in Africa: Regional Trends (2000–2017). Int. J. Environ. Res. Public Health 2022, 19, 13146. [Google Scholar] [CrossRef]
- Aliyu, L.D.; Kadas, A.S.; Mohammed, A.; Abdulllahi, H.M.; Farouk, Z.; Usman, F.; Attah, R.A.; Yusuf, M.; Magashi, M.K.; Miko, M. Impediments to Maternal Mortality Reduction in Africa: A Systemic and Socioeconomic Overview. J. Perinat. Med. 2023, 51, 202–207. [Google Scholar] [CrossRef]
- United Nations. Africa’s Advances in Maternal, Infant Mortality Face Setbacks: WHO. Available online: https://news.un.org/en/story/2022/12/1131242 (accessed on 17 July 2023).
- Nwagbara, U.I.; Osuala, E.C.; Chireshe, R.; Babatunde, G.B.; Okeke, N.O.; Opara, N.; Hlongwana, K.W. Mapping Evidence on Factors Contributing to Maternal and Child Mortality in Sub-Saharan Africa: A Scoping Review Protocol. PLoS ONE 2022, 17, e0272335. [Google Scholar] [CrossRef]
- Kikuchi, K.; Yasuoka, J.; Nanishi, K.; Ahmed, A.; Nohara, Y.; Nishikitani, M.; Yokota, F.; Mizutani, T.; Nakashima, N. Postnatal Care Could Be the Key to Improving the Continuum of Care in Maternal and Child Health in Ratanakiri, Cambodia. PLoS ONE 2018, 13, e0198829. [Google Scholar] [CrossRef] [PubMed]
- World Bank. World Bank Open Data. Available online: https://data.worldbank.org/ (accessed on 28 June 2023).
- Hyndman, R.J.; Athanasopoulos, G. Forecasting: Principles and Practice; OTexts: Melbourne, Australia, 2018. [Google Scholar]
- Astolfi, R.; Lorenzoni, L.; Oderkirk, J. Informing Policy Makers about Future Health Spending: A Comparative Analysis of Forecasting Methods in OECD Countries. Health Policy 2012, 107, 1–10. [Google Scholar] [CrossRef]
- Alegado, R.T.; Tumibay, G.M. Forecasting Measles Immunization Coverage Using ARIMA Model. J. Comput. Communicat. 2019, 7, 157–168. [Google Scholar] [CrossRef]
- Chumachenko, D.; Meniailov, I.; Hrimov, A.; Lopatka, V.; Moroz, O.; Tolstoluzka, O. Simulation and Forecasting of the Influenza Epidemic Process Using Seasonal Autoregressive Integrated Moving Average Model. Radioelectron. Comput. Syst. 2021, 4, 22–35. [Google Scholar] [CrossRef]
- Lumbreras-Marquez, M.I.; Fields, K.G.; Campos-Zamora, M.; Rodriguez-Bosch, M.R.; Rodriguez-Sibaja, M.J.; Copado-Mendoza, D.Y.; Acevedo-Gallegos, S.; Farber, M.K. A Forecast of Maternal Deaths with and without Vaccination of Pregnant Women against COVID-19 in Mexico. Int. J. Gynecol. Obstet. 2021, 154, 566–567. [Google Scholar] [CrossRef] [PubMed]
- World Bank. Health Nutrition and Population Statistics: Population Estimates and Projections. Available online: https://databank.worldbank.org/source/population-estimates-and-projections# (accessed on 14 April 2022).
- World Health Organization; World Bank; United Nations Population Fund; U.N.C.F. (UNICEF). Trends in Maternal Mortality: 1990–2015: Estimates from WHO, UNICEF, UNFPA, World Bank Group and the United Nations Population Division; WHO Press: Geneva, Switzerland, 2015. [Google Scholar]
- African Union. Protocol on the Amendments to the Constitutive Act of the African Union; African Union: Addis Ababa, Ethiopia, 2003. [Google Scholar]
- African Union. Report of the Meeting of Experts from Member States on the Definition of the African Diaspora; African Union: Addis Ababa, Ethiopia, 2005. [Google Scholar]
- Esmaeilzadeh, N.; Shakeri, M.; Esmaeilzadeh, M.; Rahmanian, V. ARIMA Models Forecasting the SARS-COV-2 in the Islamic Republic of Iran. Asian Pac. J. Trop. Med. 2020, 13, 521. [Google Scholar] [CrossRef]
- Becketti, S. Introduction to Time Series Using Stata; Stata Press: College Station, TX, USA, 2013. [Google Scholar]
- Gelper, S.; Fried, R.; Croux, C. Robust Forecasting with Exponential and Holt-Winters Smoothing. J. Forecast 2009. [Google Scholar] [CrossRef]
- Taylor, S.J.; Letham, B. Forecasting at Scale. Am. Stat. 2018, 72, 37–45. [Google Scholar] [CrossRef]
- Hyndman, R.; Athanasopoulos, G.; Bergmeir, C.; CaceRes, G.; Chhay, L.; O’Hara-Wild, M.; Petropoulos, F.; Razbash, S.; Wang, E.Y.F. Forecasting Functions for Time Series and Linear Models; R Package Version 8.21. 2023. Available online: https://cran.r-project.org/web/packages/forecast/forecast.pdf (accessed on 28 June 2023).
- Hyndman, R.J.; Khandakar, Y. Automatic Time Series Forecasting: The Forecast Package for R. J. Stat. Softw. 2008, 27, 1–22. [Google Scholar] [CrossRef]
- WHO. Atlas of African Health Statistics 2022: Health Situation Analysis of the WHO African Region—Country Profiles; WHO Regional Office for Africa: Brazzaville, Republic of the Congo, 2022. [Google Scholar]
- Musarandega, R.; Machekano, R.; Munjanja, S.P.; Pattinson, R. Methods Used to Measure Maternal Mortality in Sub-Saharan Africa from 1980 to 2020: A Systematic Literature Review. Int. J. Gynecol. Obstet. 2022, 156, 206–215. [Google Scholar] [CrossRef]
- Arba, M.A.; Darebo, T.D.; Koyira, M.M. Institutional Delivery Service Utilization among Women from Rural Districts of Wolaita and Dawro Zones, Southern Ethiopia; a Community Based Cross-Sectional Study. PLoS ONE 2016, 11, e0151082. [Google Scholar] [CrossRef] [PubMed]
- Kolleh, E.M.; Bestman, P.L.; Bajinka, O.; Weamie, S.J.; Luo, J. Maternal Mortality and Its Risk Factors in Africa: A Systematic Review and Meta-Analysis. Arch. Clin. Obstet. Gynecol. Res. 2022, 2, 1–12. [Google Scholar] [CrossRef]
- Ye, Z. Air Pollutants Prediction in Shenzhen Based on ARIMA and Prophet Method. E3S Web Conf. 2019, 136, 05001. [Google Scholar] [CrossRef]
- Geurts, M.; Box, G.E.P.; Jenkins, G.M. Time Series Analysis: Forecasting and Control, 3rd ed.; Prentice Hall: Englewood Clifs, NJ, USA, 1977; Volume 14. [Google Scholar] [CrossRef]
- Chatfield, C. The Analysis of Time Series, 5th ed.; Chapman & Hall: New York, NY, USA, 1996. [Google Scholar]
- NIST/SEMATECH. e-Handbook of Statistical Methods. Available online: https://www.itl.nist.gov/div898/handbook/index.html (accessed on 28 June 2023). [CrossRef]
- Stellwagen, E.; Tashman, L. ARIMA: The Models of Box and Jenkins. Foresight: Int. J. Appl. Forecast. 2013, 9, 28–33. [Google Scholar]
- Tsala Dimbuene, Z.; Amo-Adjei, J.; Amugsi, D.; Mumah, J.; Izugbara, C.O.; Beguy, D. Women’s education and utilization of maternal health services in africa: A multi-country and socioeconomic status analysis. J. Biosoc. Sci. 2018, 50, 725–748. [Google Scholar] [CrossRef] [PubMed]
- Gnimassou, T.O.R.T.; Filiz, E. Evaluation of Caesarean ExpendituRes. of Households in Benin. Health Soc. Care Commun. 2023, 2023, 1–12. [Google Scholar] [CrossRef]
- Idowu, A.; Israel, O.K.; Akande, R.O. Access, Perceived Quality and Uptake of Antenatal Services in Urban Communities of Osun State, Southwest Nigeria. Afr. J. Reprod. Health 2022, 26, 78–89. [Google Scholar] [PubMed]
- De Groot, A.; Van de Munt, L.; Boateng, D.; Savitri, A.I.; Antwi, E.; Bolten, N.; Klipstein-Grobusch, K.; Uiterwaal, C.S.P.M.; Browne, J.L. Equity in Maternal Health Outcomes in a Middle-Income Urban Setting: A Cohort Study. Reprod. Health 2019, 16, 84. [Google Scholar] [CrossRef]
- Adu, J.; Tenkorang, E.; Banchani, E.; Allison, J.; Mulay, S. The Effects of Individual and Community-Level Factors on Maternal Health Outcomes in Ghana. PLoS ONE 2018, 13, e0207942. [Google Scholar] [CrossRef]
- Hernandez, J.C.; Moser, C.M. Community Level Risk Factors for Maternal Mortality in Madagascar. Afr. J. Reprod. Health 2013, 17, 118–129. [Google Scholar]
- Baral, Y.R.; Lyons, K.; Skinner, J.; van Teijlingen, E.R. Maternal Health Services Utilisation in Nepal: Progress in the New Millennium? Health Sci. J. 2012, 6, 618–633. [Google Scholar]
- Ononokpono, D.N.; Odimegwu, C.O. Determinants of Maternal Health Care Utilization in Nigeria: A Multilevel Approach. Pan Afr. Med J. 2014, 17, 2. [Google Scholar] [CrossRef] [PubMed]
- Lan, C.-W.; Tavrow, P. Composite MeasuRes. of Women’s Empowerment and Their Association with Maternal Mortality in Low-Income Countries. BMC Pregnancy Childbirth 2017, 17, 337. [Google Scholar] [CrossRef] [PubMed]
- Alvarez, J.L.; Gil, R.; Hernández, V.; Gil, A. Factors Associated with Maternal Mortality in Sub-Saharan Africa: An Ecological Study. BMC Public Health 2009, 9, 462. [Google Scholar] [CrossRef] [PubMed]
- Hamal, M.; Dieleman, M.; De Brouwere, V.; de Cock Buning, T. Social Determinants of Maternal Health: A Scoping Review of Factors Influencing Maternal Mortality and Maternal Health Service Use in India. Public Health Rev 2020, 41, 13. [Google Scholar] [CrossRef] [PubMed]
- Cameron, L.; Contreras Suarez, D.; Cornwell, K. Understanding the Determinants of Maternal Mortality: An Observational Study Using the Indonesian Population Census. PLoS ONE 2019, 14, e0217386. [Google Scholar] [CrossRef] [PubMed]
- Olonade, O.; Olawande, T.I.; Alabi, O.J.; Imhonopi, D. Maternal Mortality and Maternal Health Care in Nigeria: Implications for Socio-Economic Development. Open Access Maced. J. Med. Sci. 2019, 7, 849–855. [Google Scholar] [CrossRef]
- Ganle, J.K.; Parker, M.; Fitzpatrick, R.; Otupiri, E. A Qualitative Study of Health System Barriers to Accessibility and Utilization of Maternal and Newborn Healthcare Services in Ghana after User-Fee Abolition. BMC Pregnancy Childbirth 2014, 14, 425. [Google Scholar] [CrossRef]
- Kamal, T. Policy Analysis to Assess the Impact of Inadequate Emergency Obstetric Care (EmOC) Services on Maternal Mortality in Balochistan Pakistan. Populat. Med. 2023, 5, A1075. [Google Scholar] [CrossRef]
- Liang, J.; Dai, L.; Zhu, J.; Li, X.; Zeng, W.; Wang, H.; Li, Q.; Li, M.; Zhou, R.; Wang, Y. Preventable Maternal Mortality: Geographic/Rural-Urban Differences and Associated Factors from the Population-Based Maternal Mortality Surveillance System in China. BMC Public Health 2011, 11, 243. [Google Scholar] [CrossRef]
- Mbizvo, M.T.; Say, L. Global Progress and Potentially Effective Policy Responses to Reduce Maternal Mortality. Int. J. Gynecol. Obstet. 2012, 119, S9–S12. [Google Scholar] [CrossRef]
- Hanif, M.; Khalid, S.; Rasul, A.; Mahmood, K. Maternal Mortality in Rural Areas of Pakistan: Challenges and Prospects. In Rural Health; IntechOpen: London, UK, 2022. [Google Scholar] [CrossRef]
- Chinn, J.J.; Eisenberg, E.; Artis Dickerson, S.; King, R.B.; Chakhtoura, N.; Lim, I.A.L.; Grantz, K.L.; Lamar, C.; Bianchi, D.W. Maternal Mortality in the United States: Research Gaps, Opportunities, and Priorities. Am. J. Obstet. Gynecol. 2020, 223, 486–492.e6. [Google Scholar] [CrossRef] [PubMed]
- Anwar, J.; Torvaldsen, S.; Morrell, S.; Taylor, R. Maternal Mortality in a Rural District of Pakistan and Contributing Factors. Matern. Child Health J. 2023, 27, 902–915. [Google Scholar] [CrossRef] [PubMed]
- Cham, M.; Sundby, J.; Vangen, S. Maternal Mortality in the Rural Gambia, a Qualitative Study on Access to Emergency Obstetric Care. Reprod. Health 2005, 2, 3. [Google Scholar] [CrossRef] [PubMed]
- Abouchadi, S.; Godin, I.; Zhang, W.-H.; De Brouwere, V. Eight-Year Experience of Maternal Death Surveillance in Morocco: Qualitative Study of Stakeholders’ Views at a Subnational Level. BMC Public Health 2022, 22, 2111. [Google Scholar] [CrossRef] [PubMed]
- Metwally, A.M.; Abdel-Latif, G.A.; Mohsen, A.; El Etreby, L.; Elmosalami, D.M.; Saleh, R.M.; El-Sonbaty, M.M.; Amer, H.A.; El Deeb, S.E.; Fathy, A.M.; et al. Strengths of Community and Health Facilities Based Interventions in Improving Women and Adolescents’ Care Seeking Behaviors as Approaches for Reducing Maternal Mortality and Improving Birth Outcome among Low Income Communities of Egypt. BMC Health Serv. Res. 2020, 20, 592. [Google Scholar] [CrossRef] [PubMed]
- Metwally, A.M.; Saleh, R.M.; El-Etreby, L.A.; Salama, S.I.; Aboulghate, A.; Amer, H.A.; Fathy, A.M.; Yousry, R.; El-Deeb, S.E.; Abdel-Latif, G.A.; et al. Enhancing the Value of Women’s Reproductive Rights through Community Based Interventions in Upper Egypt Governorates: A Randomized Interventional Study. Int. J. Equity Health 2019, 18, 146. [Google Scholar] [CrossRef]
- Limam, M.; Hachani, F.; El Ghardallou, M.; Bachraoui, M.; Mellouli, M.; Mtiraoui, A.; Khairi, H.; Ajmi, T.; Zedini, C. Availability, Utilization and Quality of Emergency Obstetric Care Services in Sousse, Tunisia. Pan Afr. Med. J. 2021, 38. [Google Scholar] [CrossRef]
- Afifi, M.; El-Adawy, M.; Hajjeh, R. Women’s Health in the Eastern Mediterranean Region: Time for a Paradigm Shift. East. Medit. Health J. 2022, 28, 635–637. [Google Scholar] [CrossRef]
- Bjegovic-Mikanovic, V.; Abousbie, Z.A.S.; Breckenkamp, J.; Wenzel, H.; Broniatowski, R.; Nelson, C.; Vukovic, D.; Laaser, U. A Gap Analysis of SDG 3 and MDG 4/5mortality Health Targets in the Six Arabic Countries of North Africa: Egypt, Libya, Tunisia, Algeria, Morocco, and Mauritania. Libyan J. Med. 2019, 14, 1607698. [Google Scholar] [CrossRef]
- Njah, M.; Mahjoub, M.; Atif, M.-L.; Belouali, R. Maternal Mortality in Maghreb: Problems and Challenges of Public Health. Tunis Med. 2018, 96, 620–627. [Google Scholar] [PubMed]
- Chol, C.; Negin, J.; Garcia-Basteiro, A.; Gebrehiwot, T.G.; Debru, B.; Chimpolo, M.; Agho, K.; Cumming, R.G.; Abimbola, S. Health System Reforms in Five Sub-Saharan African Countries That Experienced Major Armed Conflicts (Wars) during 1990–2015: A Literature Review. Glob. Health Act. 2018, 11, 1517931. [Google Scholar] [CrossRef] [PubMed]
- Sheikh, N.S.; Gele, A. Factors Influencing the Motivation of Maternal Health Workers in Conflict Setting of Mogadishu, Somalia. PLoS Glob. Public Health 2023, 3, e0001673. [Google Scholar] [CrossRef] [PubMed]
- Schmeer, K.K.; Echave, P.A.; Nyseth Nzitatira, H. Exposure to Armed Conflict and HIV Risk Among Rwandan Women. Demography 2023, 60, 1181–1205. [Google Scholar] [CrossRef] [PubMed]
- Melberg, A.; Mirkuzie, A.H.; Sisay, T.A.; Sisay, M.M.; Moland, K.M. ‘Maternal Deaths Should Simply Be 0’: Politicization of Maternal Death Reporting and Review Processes in Ethiopia. Health Policy Plan 2019, 34, 492–498. [Google Scholar] [CrossRef] [PubMed]
- Awoke, S.M.; Tesfaw, L.M.; Derebe, M.A.; Fenta, H.M. Spatiotemporal Distribution and Bivariate Binary Analysis of Antenatal and Delivery Care Utilizations in Ethiopia: EDHS 2000–2016. BMC Public Health 2023, 23, 499. [Google Scholar] [CrossRef] [PubMed]
- Han, D.; Clarke-Deelder, E.; Miller, N.; Opondo, K.; Burke, T.; Oguttu, M.; McConnell, M.; Cohen, J. Health Care Provider Decision-Making and the Quality of Maternity Care: An Analysis of Postpartum Care in Kenyan Hospitals. Soc. Sci. Med. 2023, 331, 116071. [Google Scholar] [CrossRef]
- Ersdal, H.; Mdoe, P.; Mduma, E.; Moshiro, R.; Guga, G.; Kvaløy, J.T.; Bundala, F.; Marwa, B.; Kamala, B. “Safer Births Bundle of Care” Implementation and Perinatal Impact at 30 Hospitals in Tanzania—Halfway Evaluation. Children 2023, 10, 255. [Google Scholar] [CrossRef]
- Nabulo, H.; Gottfredsdottir, H.; Joseph, N.; Kaye, D.K. Experiences of Referral with an Obstetric Emergency: Voices of Women Admitted at Mbarara Regional Referral Hospital, South Western Uganda. BMC Pregnancy Childbirth 2023, 23, 498. [Google Scholar] [CrossRef]
- Poppens, M.; Oke, R.; Carvalho, M.; Ledesma, Y.; Okullu, S.; Ariokot, M.G.; Agwang, E.; Ekuchu, P.; Wange, H.; Boeck, M.; et al. In-Hospital Obstetric Delays in Rural Uganda: A Cross-Sectional Analysis of a Hospital Cohort. World J. Surg. 2023, 47, 1426–1435. [Google Scholar] [CrossRef]
- Oluoch-Aridi, J.; Wafula, F.; Kokwaro, G.; Mcalhaney, M.; Adam, M.B. Understanding Women’s Choices: How Women’s Perceptions of Quality of Care Influences Place of Delivery in a Rural Sub-County in Kenya. A Qualitative Study. Matern. Child Health J. 2021, 25, 1787–1797. [Google Scholar] [CrossRef]
- Alaleit, O.D.; Kajjimu, J.; Joseph, K.; Namirembe, M.S.; Agaba, P.K.; Kintu, A. Description and Analysis of the Emergency Obstetric Interfacility Ambulance Transfers (IFTs) to Kawempe National Referral Hospital in Uganda. Afr. J. Emerg. Med. 2023, 13, 183–190. [Google Scholar] [CrossRef] [PubMed]
- Berihun, A.; Abebo, T.A.; Aseffa, B.M.; Simachew, Y.; Jisso, M.; Shiferaw, Y. Third Delay and Associated Factors among Women Who Gave Birth at Public Health Facilities of Gurage Zone, Southern Ethiopia. BMC Women’s Health 2023, 23, 369. [Google Scholar] [CrossRef] [PubMed]
- Masaba, B.B.; Mmusi-Phetoe, R. A Strategy for Reducing Maternal Mortality in Rural Kenya. Int. J. Women’s Health 2023, 15, 487–498. [Google Scholar] [CrossRef] [PubMed]
- Shimpuku, Y.; Mwilike, B.; Mwakawanga, D.; Ito, K.; Hirose, N.; Kubota, K. Development and Pilot Test of a Smartphone App for Midwifery Care in Tanzania: A Comparative Cross-Sectional Study. PLoS ONE 2023, 18, e0283808. [Google Scholar] [CrossRef]
- McLaughlin, E.; Nagy, M.; Magorwa, J.-B.; Kibinakanwa, G.; McLaughlin, R. Decreasing Urgent Repeat Cesarean Sections by Offering Complimentary Ultrasounds and Consultation in Rural Burundi: The Zigama Mama Project. Front. Glob. Women’s Health 2023, 4, 1053541. [Google Scholar] [CrossRef]
- Ouédraogo, O.M.A.A.; Ouédraogo, C.M.R.; Kouanda, S. Discontinuation of the Maternal Death Surveillance and Response System in the Post-conflict Context of the Central African Republic. Int. J. Gynecol. Obstet. 2022, 158, 74–75. [Google Scholar] [CrossRef]
- Congo, B.; Yaméogo, W.M.E.; Millogo, T.; Compaoré, R.; Tougri, H.; Ouédraogo, C.M.R.; Kouanda, S. Barriers to the Implementation of Quality Maternal Death Reviews in Health Districts in Burkina Faso. Int. J. Gynecol. Obstet. 2022, 158, 29–36. [Google Scholar] [CrossRef]
- Ntambue, A.M.; Malonga, F.K.; Cowgill, K.D.; Dramaix-Wilmet, M.; Donnen, P. Emergency Obstetric and Neonatal Care Availability, Use, and Quality: A Cross-Sectional Study in the City of Lubumbashi, Democratic Republic of the Congo, 2011. BMC Pregnancy Childbirth 2017, 17, 40. [Google Scholar] [CrossRef]
- Ameyaw, E.K.; Dickson, K.S.; Adde, K.S.; Ezezika, O. Do Women Empowerment Indicators Predict Receipt of Quality Antenatal Care in Cameroon? Evidence from a Nationwide Survey. BMC Women’s Health 2021, 21, 343. [Google Scholar] [CrossRef]
- Nyabadza, F.; Mukandavire, Z.; Hove-Musekwa, S.D. Modelling the HIV/AIDS Epidemic Trends in South Africa: Insights from a Simple Mathematical Model. Nonlinear Anal. Real World Appl. 2011, 12, 2091–2104. [Google Scholar] [CrossRef]
- Marks, S. An Epidemic Waiting to Happen? The Spread of HIV/AIDS in South Africa in Social and Historical Perspective. Afr. Stud. 2002, 61, 13–26. [Google Scholar] [CrossRef]
- Adegoke, Y.O.; Mbonigaba, J.; George, G. Macro-Economic Determinants, Maternal and Infant SDG Targets in Nigeria: Correlation and Predictive Modeling. Front. Public Health 2022, 10. [Google Scholar] [CrossRef] [PubMed]
- Adu, J.; Owusu, M.F. How Do We Improve Maternal and Child Health Outcomes in Ghana? Int. J. Health Plan. Manag. 2023, 38, 898–903. [Google Scholar] [CrossRef] [PubMed]
- Bershteyn, A.; Resar, D.; Kim, H.-Y.; Platais, I.; Mullick, S. Optimizing the Pipeline of Multipurpose Prevention Technologies: Opportunities across Women’s Reproductive Lifespans. Front. Reprod. Health 2023, 5. [Google Scholar] [CrossRef] [PubMed]
- Tegegne, K.T.; Wudu, T.K.; Abdisa, B.G.; Tegegne, E.T.; Tessema, M.K. Institutional Delivery Knowledge, Attitude, and Practice among Mothers of Childbearing Age with One or More Children, Ethiopia. J. Prev. Med. Hyg. 2023, 64, E67–E77. [Google Scholar] [CrossRef] [PubMed]
- Siphiwe Bridget Pearl Thwala. Health Systems Factors Influencing the Delivery of Emergency Obstetric Care in a South African District; University of the Witwatersrand: Johannesburg, South Africa, 2020. [Google Scholar]
- Thwala, S.B.P.; Blaauw, D.; Ssengooba, F. Measuring the Preparedness of Health Facilities to Deliver Emergency Obstetric Care in a South African District. PLoS ONE 2018, 13, e0194576. [Google Scholar] [CrossRef] [PubMed]
- Jejaw, M.; Debie, A.; Yazachew, L.; Teshale, G. Comprehensive Emergency Management of Obstetric and Newborn Care Program Implementation at University of Gondar Comprehensive Specialized Hospital, Northwest Ethiopia, 2021: An Evaluation Study. Reprod. Health 2023, 20, 76. [Google Scholar] [CrossRef]
- Gazeley, U.; Reniers, G.; Romero-Prieto, J.E.; Calvert, C.; Jasseh, M.; Herbst, K.; Khagayi, S.; Obor, D.; Kwaro, D.; Dube, A.; et al. Pregnancy-related Mortality up to 1 Year Postpartum in Sub-Saharan Africa: An Analysis of Verbal Autopsy Data from Six Countries. BJOG 2023, 1–12. [Google Scholar] [CrossRef]
- Zelka, M.A.; Yalew, A.W.; Debelew, G.T. Effectiveness of a Continuum of Care in Maternal Health Services on the Reduction of Maternal and Neonatal Mortality: Systematic Review and Meta-Analysis. Heliyon 2023, 9, e17559. [Google Scholar] [CrossRef]
- Africa Leadership Meeting: Investing in Health | African Union. Available online: https://au.int/en/newsevents/20190209/africa-leadership-meeting-investing-health (accessed on 29 January 2023).
- WHO. Global Spending on Health: Rising to the Pandemic’s Challenges; WHO: Geneva, Switzerland, 2022. [Google Scholar]
- WHO. Global Health Expenditure Database. Available online: https://apps.who.int/nha/database/ (accessed on 28 June 2023).
- Alabi, Q.K.; Oyedeji, A.S.; Kayode, O.O.; Kajewole-Alabi, D.I. Impact of COVID-19 Pandemic on Mother and Child Health in Sub-Saharan Africa—A Review. Pediatr. Res. 2023. [Google Scholar] [CrossRef]
- Kotlar, B.; Gerson, E.; Petrillo, S.; Langer, A.; Tiemeier, H. The Impact of the COVID-19 Pandemic on Maternal and Perinatal Health: A Scoping Review. Reprod. Health 2021, 18, 10. [Google Scholar] [CrossRef]
- Roberton, T.; Carter, E.D.; Chou, V.B.; Stegmuller, A.R.; Jackson, B.D.; Tam, Y.; Sawadogo-Lewis, T.; Walker, N. Early Estimates of the Indirect Effects of the COVID-19 Pandemic on Maternal and Child Mortality in Low-Income and Middle-Income Countries: A Modelling Study. Lancet Glob. Health 2020, 8, e901–e908. [Google Scholar] [CrossRef]
- Banke-Thomas, A.; Semaan, A.; Amongin, D.; Babah, O.; Dioubate, N.; Kikula, A.; Nakubulwa, S.; Ogein, O.; Adroma, M.; Anzo Adiga, W.; et al. A Mixed-Methods Study of Maternal Health Care Utilisation in Six Referral Hospitals in Four Sub-Saharan African Countries before and during the COVID-19 Pandemic. BMJ Glob Health 2022, 7, e008064. [Google Scholar] [CrossRef]



























| Periods | Years | APC (95% CI) | p |
|---|---|---|---|
| Total Period | 1990–2015 | −2.6 (−2.7; −2.5) | <0.001 |
| Period 1 | 1990–1996 | −1.4 (−1.6; −1.2) | <0.001 |
| Period 2 | 1996–2001 | −2.0 (−2.4; −1.7) | <0.001 |
| Period 3 | 2001–2007 | −3.5 (−3.8; −3.3) | <0.001 |
| Period 4 | 2007–2015 | −2.7 (−2.8; −2.6) | <0.001 |
| Region | Models | Stationary R-Squared | BIC |
|---|---|---|---|
| Africa | ARIMA (1,1,1). | 0.277 | 3.662 |
| North | ARIMA (1,2,0). | 0.289 | 3.037 |
| East | ARIMA (1,3,0) | 0.148 | 4.696 |
| Central * | ARIMA (1,2,0). | 0.145 | 2.925 |
| South | ARIMA (0,1,1). | 0.525 | 6.015. |
| West | ARIMA (1,2,3). | 0.226 | 2.952 |
| Periods | Years | APC (95% CI) | p |
|---|---|---|---|
| North | |||
| Total Period | 1990–2015 | −1.9 (−2.0; −1.8) | <0.001 |
| Period 1 | 1990–1996 | −2.0 (−2.1; −1.8) | <0.001 |
| Period 2 | 1996–2003 | −1.4 (−1.5; −1.3) | <0.001 |
| Period 3 | 2003–2007 | −2.5 (−2.8; −2.1) | <0.001 |
| Period 4 | 2007–2010 | −1.7 (−2.6; −0.8) | 0.001 |
| Period 5 | 2010–2015 | −3.0 (−3.2; −2.9) | <0.001 |
| East | |||
| Total Period | 1990–2015 | −3.6 (−3.8; −3.4) | <0.001 |
| Period 1 | 1990–1993 | −1.3 (−1.5; −1.1) | <0.001 |
| Period 2 | 1993–2001 | −2.6 (−2.7; −2.6) | <0.001 |
| Period 3 | 2001–2004 | −3.2 (−3.7; −2.8) | <0.001 |
| Period 4 | 2004–2009 | −5.0 (−5.1; −4.9) | <0.001 |
| Period 5 | 2009–2015 | −4.5 (−4.6; −4.4) | <0.001 |
| Central | |||
| Total Period | 1990–2015 | −1.3 (−1.5; −1.1) | <0.001 |
| Period 1 | 1990–1995 | 0.4 (0.1; 0.6) | 0.005 |
| Period 2 | 1995–1999 | −0.8 (−1.3; −0.2) | 0.009 |
| Period 3 | 1999–2004 | −2.3 (−2.6; −1.9) | <0.001 |
| Period 4 | 2004–2010 | −1.0 (−1.2; −0.7) | <0.001 |
| Period 5 | 2010–2015 | −2.6 (−2.9; −2.4) | <0.001 |
| South | |||
| Total Period | 1990–2015 | −2.6 (−2.8; −2.4) | <0.001 |
| Period 1 | 1990–1994 | −1.4 (−1.8.; −0.9) | <0.001 |
| Period 2 | 1994–2003 | −1.9 (−2.0; −1.7) | <0.001 |
| Period 3 | 2003–2012 | −3.6 (−3.7; −3.5) | <0.001 |
| Period 4 | 2013–2015 | −2.0 (−3.2; −0.8) | 0.004 |
| West | |||
| Total Period | 1990–2015 | −3.3 (−3.5; −3.2) | <0.001 |
| Period 1 | 1990–1996 | −1.8 (−1.9.; −1.6) | <0.001 |
| Period 2 | 1996–2002 | −3.1 (−3.3; −2.9) | <0.001 |
| Period 3 | 2002–2008 | −4.7 (−4.9; −4.5) | <0.001 |
| Period 4 | 2008–2011 | −3.1 (−4.0; −2.2) | <0.001 |
| Period 5 | 2011–2015 | −2.4 (−2.7; −2.1) | <0.001 |
| Region | ARIMA | Prophet Model | Holt |
|---|---|---|---|
| Africa | 182 (95% CI 93–271) | 213 (95% UI 110–314) | 225 (95% CI 72–377) |
| North | 161 (95% CI 88–273) | 138 (95% UI 124–151) | 146 (95% CI 129–164) |
| East | 270 (95% CI 96–623) | 204 (95% UI 147–270) | 248 (95% CI 0–1110) * |
| Central | 302 (95% CI 214–414) | 267 (95% UI 218–320) | 308 (95% CI 248–367) |
| South ** | 156 (95% CI 48–310) | 95 (95% UI 41–153) | 382 (95% CI 0–1518) * |
| West | 243 (95% CI 197–297) | 262 (95% UI 116–325) | 231 (95% CI 3–458) |
| Region | MAPE | RMSE | MAE |
|---|---|---|---|
| Africa | 3.9128 | 8.9247 | 15.8442 |
| North | 0.9653 | 3.6545 | 2.6770 |
| East | 5.7883 | 31.6667 | 28.2150 |
| Central | 2.3891 | 12.3689 | 11.8040 |
| South * | 28.5623 | 108.6146 | 107.2973 |
| West | 9.1557 | 39.1982 | 34.8333 |
Disclaimer/Publisher’s Note: The statements, opinions and data contained in all publications are solely those of the individual author(s) and contributor(s) and not of MDPI and/or the editor(s). MDPI and/or the editor(s) disclaim responsibility for any injury to people or property resulting from any ideas, methods, instructions or products referred to in the content. |
© 2023 by the authors. Licensee MDPI, Basel, Switzerland. This article is an open access article distributed under the terms and conditions of the Creative Commons Attribution (CC BY) license (https://creativecommons.org/licenses/by/4.0/).
Share and Cite
Onambele, L.; Guillen-Aguinaga, S.; Guillen-Aguinaga, L.; Ortega-Leon, W.; Montejo, R.; Alas-Brun, R.; Aguinaga-Ontoso, E.; Aguinaga-Ontoso, I.; Guillen-Grima, F. Trends, Projections, and Regional Disparities of Maternal Mortality in Africa (1990–2030): An ARIMA Forecasting Approach. Epidemiologia 2023, 4, 322-351. https://doi.org/10.3390/epidemiologia4030032
Onambele L, Guillen-Aguinaga S, Guillen-Aguinaga L, Ortega-Leon W, Montejo R, Alas-Brun R, Aguinaga-Ontoso E, Aguinaga-Ontoso I, Guillen-Grima F. Trends, Projections, and Regional Disparities of Maternal Mortality in Africa (1990–2030): An ARIMA Forecasting Approach. Epidemiologia. 2023; 4(3):322-351. https://doi.org/10.3390/epidemiologia4030032
Chicago/Turabian StyleOnambele, Luc, Sara Guillen-Aguinaga, Laura Guillen-Aguinaga, Wilfrido Ortega-Leon, Rocio Montejo, Rosa Alas-Brun, Enrique Aguinaga-Ontoso, Ines Aguinaga-Ontoso, and Francisco Guillen-Grima. 2023. "Trends, Projections, and Regional Disparities of Maternal Mortality in Africa (1990–2030): An ARIMA Forecasting Approach" Epidemiologia 4, no. 3: 322-351. https://doi.org/10.3390/epidemiologia4030032
APA StyleOnambele, L., Guillen-Aguinaga, S., Guillen-Aguinaga, L., Ortega-Leon, W., Montejo, R., Alas-Brun, R., Aguinaga-Ontoso, E., Aguinaga-Ontoso, I., & Guillen-Grima, F. (2023). Trends, Projections, and Regional Disparities of Maternal Mortality in Africa (1990–2030): An ARIMA Forecasting Approach. Epidemiologia, 4(3), 322-351. https://doi.org/10.3390/epidemiologia4030032

