Development and Validation of a Compressible Reacting Gas-Dynamic Flow Solver for Supersonic Combustion
Abstract
1. Introduction
2. Materials and Methods
2.1. Governing Equations
2.2. Subgrid Flow Equations
2.3. Closure of Combustion Model
2.4. Numerical Methods
3. Results
3.1. Solver Validation
3.1.1. Shock Tube Problem
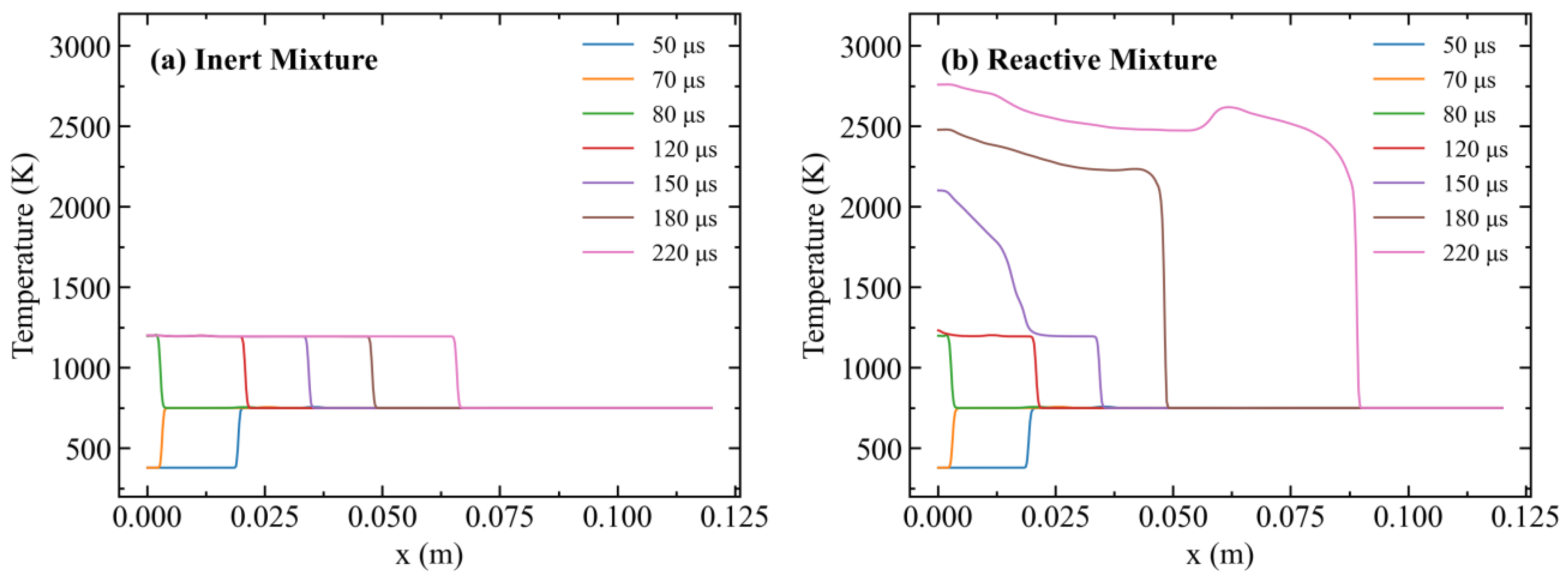
- Inert Multicomponent Shock Tube
- Reactive Multicomponent Shock Tube
3.1.2. Simulation of Ladenburg Jet Problem
3.1.3. Simulation of DLR Scramjet Combustor
- Simulation of Cold Flow DLR Combustor
- Simulation of Reacting Flow DLR Combustor
3.2. Influence of Turbulence Models on Scramjet Combustion
3.3. Analysis of Turbulence–Combustion Interaction in Scramjet Combustor
4. Conclusions
Author Contributions
Funding
Data Availability Statement
Conflicts of Interest
References
- Urzay, J. Supersonic Combustion in Air-Breathing Propulsion Systems for Hypersonic Flight. Annu. Rev. Fluid Mech. 2018, 50, 593–627. [Google Scholar] [CrossRef]
- Fureby, C. Large eddy simulation modelling of combustion for propulsion applications. Philos. Trans. R. Soc. A Math. Phys. Eng. Sci. 2009, 367, 2957–2969. [Google Scholar] [CrossRef]
- Abdulrahman, G.A.Q.; Qasem, N.A.A.; Imteyaz, B.; Abdallah, A.M.; Habib, M.A. A review of aircraft subsonic and supersonic combustors. Aerosp. Sci. Technol. 2023, 132, 108067. [Google Scholar] [CrossRef]
- O’Byrne, S.; Doolan, M.; Olsen, S.R.; Houwing, A.F.P. Measurement and imaging of supersonic combustion in a model scramjet engine. Shock Waves 1999, 9, 221–226. [Google Scholar] [CrossRef]
- Menon, S.; Sankaran, V.; Stone, C. Subgrid Combustion Modeling for the Next Generation National Combustion Code. CCL-02–003, April 2003. Available online: https://ntrs.nasa.gov/citations/20030038812 (accessed on 30 November 2023).
- Menon, S.; Fureby, C. Computational Combustion. In Encyclopedia of Aerospace Engineering; John Wiley & Sons, Ltd.: Hoboken, NJ, USA, 2010; ISBN 978-0-470-68665-2. [Google Scholar]
- Sagaut, P. Large Eddy Simulation for Incompressible Flows; Scientific Computation; Springer: Berlin/Heidelberg, Germany, 2006; ISBN 978-3-540-26344-9. [Google Scholar]
- Echekki, T.; Mastorakos, E. (Eds.) Turbulent Combustion Modeling: Advances, New Trends and Perspectives; Fluid Mechanics and Its Applications; Springer: Dordrecht, The Netherlands, 2011; Volume 95. [Google Scholar] [CrossRef]
- Hawkes, E.R.; Sankaran, R.; Sutherland, J.C.; Chen, J.H. Direct numerical simulation of turbulent combustion: Fundamental insights towards predictive models. J. Phys. Conf. Ser. 2005, 16, 65. [Google Scholar] [CrossRef]
- Gutiérrez, L.F.; Universidad Nacional de Córdoba-IDIT(CONICET); Tamagno, J.; Univeridad Nacional de Córdoba; Elaskar, S.A. Univeridad Nacional de Córdoba-CONICET RANS Simulation of Turbulent Diffusive Combustion using Open Foam. JAFM 2016, 9, 669–682. [Google Scholar] [CrossRef]
- Ingenito, A.; Bruno, C. Physics and Regimes of Supersonic Combustion. AIAA J. 2010, 48, 515–525. [Google Scholar] [CrossRef]
- Génin, F.; Menon, S. Simulation of Turbulent Mixing Behind a Strut Injector in Supersonic Flow. AIAA J. 2010, 48, 526–539. [Google Scholar] [CrossRef]
- Fureby, C.; Nordin-Bates, K.; Petterson, K.; Bresson, A.; Sabelnikov, V. A computational study of supersonic combustion in strut injector and hypermixer flow fields. Proc. Combust. Inst. 2015, 35, 2127–2135. [Google Scholar] [CrossRef]
- Fureby, C.; Sahut, G.; Ercole, A.; Nilsson, T. Large Eddy Simulation of Combustion for High-Speed Airbreathing Engines. Aerospace 2022, 9, 785. [Google Scholar] [CrossRef]
- Gokulakrishnan, P.; Foli, K.; Klassen, M.; Roby, R.; Soteriou, M.; Kiel, B.; Sekar, B. LES-PDF Modeling of Flame Instability and Blow-out in Bluff-Body Stabilized Flames. In Proceedings of the 45th AIAA/ASME/SAE/ASEE Joint Propulsion Conference & Exhibit, Denver, CO, USA, 2–5 August 2009; American Institute of Aeronautics and Astronautics: Reston, VA, USA, 2009. [Google Scholar]
- Gokulakrishnan, P.; Bikkani, R.; Klassen, M.; Roby, R.; Kiel, B. Influence of Turbulence-Chemistry Interaction in Blow-out Predictions of Bluff-Body Stabilized Flames. In Proceedings of the 47th AIAA Aerospace Sciences Meeting Including the New Horizons Forum and Aerospace Exposition, Orlando, FL, USA, 5–8 January 2009; American Institute of Aeronautics and Astronautics: Reston, VA, USA, 2009. [Google Scholar]
- Dasgupta, A.; Gonzalez-Juez, E.; Haworth, D.C. Flame simulations with an open-source code. Comput. Phys. Commun. 2019, 237, 219–229. [Google Scholar] [CrossRef]
- Gonzalez-Juez, E.D.; Dasgupta, A.; Arshad, S.; Oevermann, M.; Lignell, D. Effect of the turbulence modeling in large-eddy simulations of nonpremixed flames undergoing extinction and reignition. In Proceedings of the AIAA SciTech Forum—55th AIAA Aerospace Sciences Meeting, Grapevine, TX, USA, 9–13 January 2017. [Google Scholar]
- Gonzalez-Juez, E.D.; Kerstein, A.R.; Ranjan, R.; Menon, S. Advances and challenges in modeling high-speed turbulent combustion in propulsion systems. Prog. Energy Combust. Sci. 2017, 60, 26–67. [Google Scholar] [CrossRef]
- Peters, N. Turbulent Combustion, 1st ed.; Cambridge University Press: Cambridge, UK, 2000; ISBN 978-0-521-66082-2. [Google Scholar]
- Pope, S.B. Small scales, many species and the manifold challenges of turbulent combustion. Proc. Combust. Inst. 2013, 34, 1–31. [Google Scholar] [CrossRef]
- Huang, S.; Chen, Q.; Cheng, Y.; Xian, J.; Tai, Z. Supersonic Combustion Modeling and Simulation on General Platforms. Aerospace 2022, 9, 366. [Google Scholar] [CrossRef]
- Piasecka, M.; Piasecki, A.; Dadas, N. Experimental Study and CFD Modeling of Fluid Flow and Heat Transfer Characteristics in a Mini-Channel Heat Sink Using Simcenter STAR-CCM+ Software. Energies 2022, 15, 536. [Google Scholar] [CrossRef]
- Edwards, J.R.; Fulton, J.A. Development of a RANS and LES/RANS Flow Solver for High-Speed Engine Flowpath Simulations. In Proceedings of the 20th AIAA International Space Planes and Hypersonic Systems and Technologies Conference, Glasgow, UK, 6–9 July 2015; American Institute of Aeronautics and Astronautics: Reston, VA, USA, 2015. [Google Scholar]
- Nelson, C. An Overview of the NPARC Alliance’s Wind-US Flow Solver. In Proceedings of the 48th AIAA Aerospace Sciences Meeting Including the New Horizons Forum and Aerospace Exposition, Orlando, Fl, USA, 4–7 January 2010; American Institute of Aeronautics and Astronautics: Reston, VA, USA, 2010. [Google Scholar]
- Steelant, J.; Mack, A.; Hannemann, K.; Gardner, A. Comparison of Supersonic Combustion Tests with Shock Tunnels, Flight and CFD. In Proceedings of the 42nd AIAA/ASME/SAE/ASEE Joint Propulsion Conference & Exhibit, Sacramento, CA, USA, 9–12 July 2006; American Institute of Aeronautics and Astronautics: Reston, VA, USA, 2006. [Google Scholar]
- Drummond, J.P.; Danehy, P.M.; Gaffney, R.L.; Tedder, S.A.; Cutler, A.D.; Bivolaru, D. Supersonic Combustion Research at NASA. In Proceedings of the 2007 Fall Technical Meeting—Eastern States Section of the Combustion Institute, Charlottesville, VA, USA, 21–24 October 2007; Available online: https://ntrs.nasa.gov/citations/20080013391 (accessed on 30 November 2023).
- Palacios, F.; Economon, T.; Aranake, A.; Copeland, S.; Lonkar, A.K.; Lukaczyk, T.; Manosalvas, D.E.; Naik, K.R.; Padr, A.S.; Tracey, B.D.; et al. Stanford University Unstructured (SU 2): Open-source Analysis and Design Technology for Turbulent Flows. 2014. Available online: https://www.semanticscholar.org/paper/Stanford-University-Unstructured-(SU-2-)%3A-Analysis-Palacios-Economon/3b6dd8951b4d1e30fca73c8e737585ec920d81b0.
- Weller, H.G.; Tabor, G.; Jasak, H.; Fureby, C. A tensorial approach to computational continuum mechanics using object-oriented techniques. Comput. Phys. 1998, 12, 620–631. [Google Scholar] [CrossRef]
- Zhang, H.; Zhao, M.; Huang, Z. Large eddy simulation of turbulent supersonic hydrogen flames with OpenFOAM. Fuel 2020, 282, 118812. [Google Scholar] [CrossRef]
- Chapuis, M.; Fedina, E.; Fureby, C.; Hannemann, K.; Karl, S.; Martinez Schramm, J. A computational study of the HyShot II combustor performance. Proc. Combust. Inst. 2013, 34, 2101–2109. [Google Scholar] [CrossRef]
- Droeske, N.; Makowka, K.; Nizenkov, P.; Vellaramkalayil, J.J.; Sattelmayer, T.; von Wolfersdorf, J. Validation of a Novel OpenFOAM Solver using a Supersonic, Non-reacting Channel Flow. In Proceedings of the 19th AIAA International Space Planes and Hypersonic Systems and Technologies Conference, Atlanta, GA, USA, 16–20 June 2014; AIAA Aviation Forum. American Institute of Aeronautics and Astronautics: Reston, VA, USA, 2014. [Google Scholar]
- Makowka, K.; Droeske, N.; Vellaramkalayil, J.J.; Sattelmayer, T.; von Wolfersdorf, J. Unsteady RANS Investigation of a Hydrogen-Fueled Staged Supersonic Combustor with Lobed Injectors. In Proceedings of the 19th AIAA International Space Planes and Hypersonic Systems and Technologies Conference, Atlanta, GA, USA, 16–20 June 2014; AIAA Aviation Forum. American Institute of Aeronautics and Astronautics: Reston, VA, USA, 2014. [Google Scholar]
- Martínez-Ferrer, P.J.; Buttay, R.; Lehnasch, G.; Mura, A. A detailed verification procedure for compressible reactive multicomponent Navier–Stokes solvers. Comput. Fluids 2014, 89, 88–110. [Google Scholar] [CrossRef]
- Huang, Z.; He, G.; Qin, F.; Wei, X. Large eddy simulation of flame structure and combustion mode in a hydrogen fueled supersonic combustor. Int. J. Hydrogen Energy 2015, 40, 9815–9824. [Google Scholar] [CrossRef]
- Arisman, C.J.; Johansen, C.T. Nitric Oxide Chemistry Effects in Hypersonic Boundary Layers. AIAA J. 2015, 53, 3652–3660. [Google Scholar] [CrossRef]
- Zhou, D.; Zou, S.; Yang, S. An OpenFOAM-based fully compressible reacting flow solver with detailed transport and chemistry for high-speed combustion simulations. In Proceedings of the AIAA SciTech 2020 Forum, Orlando, FL, USA, 6–10 January 2020; American Institute of Aeronautics and Astronautics: Reston, VA, USA, 2020. [Google Scholar]
- Hoste, J.-J.O.; Casseau, V.; Fossati, M.; Taylor, I.J.; Gollan, R. Numerical Modeling and Simulation of Supersonic Flows in Propulsion Systems by Open-Source Solvers. In Proceedings of the 21st AIAA International Space Planes and Hypersonics Technologies Conference, Xiamen, China, 6–9 March 2017; American Institute of Aeronautics and Astronautics: Reston, VA, USA, 2017. [Google Scholar]
- Kurganov, A.; Tadmor, E. New High-Resolution Central Schemes for Nonlinear Conservation Laws and Convection–Diffusion Equations. J. Comput. Phys. 2000, 160, 241–282. [Google Scholar] [CrossRef]
- Kurganov, A.; Noelle, S.; Petrova, G. Semidiscrete Central-Upwind Schemes for Hyperbolic Conservation Laws and Hamilton--Jacobi Equations. SIAM J. Sci. Comput. 2001, 23, 707–740. [Google Scholar] [CrossRef]
- Greenshields, C.J.; Weller, H.G.; Gasparini, L.; Reese, J.M. Implementation of semi-discrete, non-staggered central schemes in a colocated, polyhedral, finite volume framework, for high-speed viscous flows. Int. J. Numer. Methods Fluids 2010, 63, 1–21. [Google Scholar] [CrossRef]
- OpenFOAM v2306. Available online: https://www.openfoam.com/news/main-news/openfoam-v2306 (accessed on 30 November 2023).
- Smagorinsky, J. General Circulation Experiments with the Primitive Equations. Mon. Weather Rev. 1963, 91, 99. [Google Scholar] [CrossRef]
- Erlebacher, G.; Hussaini, M.Y.; Speziale, C.G.; Zang, T.A. Toward the large-eddy simulation of compressible turbulent flows. J. Fluid Mech. 1992, 238, 155–185. [Google Scholar] [CrossRef]
- Kim, W.-W.; Menon, S. A new dynamic one-equation subgrid-scale model for large eddy simulations. In Proceedings of the 33rd Aerospace Sciences Meeting and Exhibit, Reno, NV, USA, 9–12 January 1995; American Institute of Aeronautics and Astronautics: Reston, VA, USA, 1995. [Google Scholar]
- Huang, S.; Li, Q.S. A new dynamic one-equation subgrid-scale model for large eddy simulations. Int. J. Numer. Methods Eng. 2010, 81, 835–865. [Google Scholar] [CrossRef]
- Nicoud, F.; Ducros, F. Subgrid-Scale Stress Modelling Based on the Square of the Velocity Gradient Tensor. Flow Turbul. Combust. 1999, 62, 183–200. [Google Scholar] [CrossRef]
- Berglund, M.; Fedina, E.; Fureby, C.; Tegnér, J.; Sabel’nikov, V. Finite Rate Chemistry Large-Eddy Simulation of Self-Ignition in Supersonic Combustion Ramjet. AIAA J. 2010, 48, 540–550. [Google Scholar] [CrossRef]
- Mcbride, B.J.; Gordon, S.; Reno, M.A. Coefficients for Calculating Thermodynamic and Transport Properties of Individual Species. NASA-TM-4513, October 1993. Available online: https://ntrs.nasa.gov/citations/19940013151 (accessed on 3 January 2024).
- Sabelnikov, V.; Fureby, C. Extended LES-PaSR model for simulation of turbulent combustion. Prog. Propuls. Phys. 2013, 4, 539–568. [Google Scholar]
- Baudoin, E.; Yu, R.; Bai; Nogenmur, K.J.; Bai, X.-S.; Fureby, C. Comparison of LES Models Applied to a Bluff Body Stabilized Flame. In Proceedings of the 47th AIAA Aerospace Sciences Meeting including The New Horizons Forum and Aerospace Exposition, Orlando, FL, USA, 5–8 January 2009; American Institute of Aeronautics and Astronautics: Reston, VA, USA, 2009. [Google Scholar]
- Magnussen, B. On the structure of turbulence and a generalized eddy dissipation concept for chemical reaction in turbulent flow. In Proceedings of the 19th Aerospace Sciences Meeting, St. Louis, MO, USA, 12–15 January 1981; American Institute of Aeronautics and Astronautics: Reston, VA, USA, 1981. [Google Scholar]
- Behrens, T. OpenFOAM’s Basic Solvers for Linear Systems of Equations; Chalmers University of Technology: Göteborg, Sweden, 2009. [Google Scholar]
- Mitchell, A.R.; Griffiths, D.F. The Finite Difference Method in Partial Differential Equations, 1st ed.; Wiley: Chichester, UK; New York, NY, USA, 1980; ISBN 978-0-471-27641-8. [Google Scholar]
- Sod, G.A. A survey of several finite difference methods for systems of nonlinear hyperbolic conservation laws. J. Comput. Phys. 1978, 27, 1–31. [Google Scholar] [CrossRef]
- Huang, Z.; Zhao, M.; Xu, Y.; Li, G.; Zhang, H. Eulerian-Lagrangian modelling of detonative combustion in two-phase gas-droplet mixtures with OpenFOAM: Validations and verifications. Fuel 2021, 286, 119402. [Google Scholar] [CrossRef]
- Ó Conaire, M.; Curran, H.J.; Simmie, J.M.; Pitz, W.J.; Westbrook, C.K. A comprehensive modeling study of hydrogen oxidation. Int. J. Chem. Kinet. 2004, 36, 603–622. [Google Scholar] [CrossRef]
- Ladenburg, R.; Van Voorhis, C.C.; Winckler, J. Interferometric Studies of Faster than Sound Phenomena. Part II. Analysis of Supersonic Air Jets. Phys. Rev. 1949, 76, 662–677. [Google Scholar] [CrossRef]
- Talukdar, M. Numerical Simulation of Underexpanded Air Jet Using OpenFOAM. Master’s Thesis, University of Stavanger, Stavanger, Norway, 2015. Available online: https://uis.brage.unit.no/uis-xmlui/handle/11250/302085 (accessed on 30 November 2023).
- Waidmann, W.; Alff, F.; Böhm, M.; Brummund, U.; Clauss, W.; Oschwald, M. Supersonic Combustion of Hydrogen/Air in a Scramjet Combustion Chamber. Space Technol. 1994, 6, 421–429. Available online: https://www.semanticscholar.org/paper/Supersonic-Combustion-of-Hydrogen-Air-in-a-Scramjet-Waidmann-Alff/a110e9db66cdc1d568a023ab14bada917d2d5113 (accessed on 22 January 2024).
- Oevermann, M. Numerical investigation of turbulent hydrogen combustion in a SCRAMJET using flamelet modeling. Aerosp. Sci. Technol. 2000, 4, 463–480. [Google Scholar] [CrossRef]
- Maas, U.; Warnatz, J. Ignition processes in hydrogen oxygen mixtures. Combust. Flame 1988, 74, 53–69. [Google Scholar] [CrossRef]
- Berglund, M.; Fureby, C. LES of supersonic combustion in a scramjet engine model. Proc. Combust. Inst. 2007, 31, 2497–2504. [Google Scholar] [CrossRef]
- Yamashita, H.; Shimada, M.; Takeno, T. A numerical study on flame stability at the transition point of jet diffusion flames. Symp. (Int.) Combust. 1996, 26, 27–34. [Google Scholar] [CrossRef]
- Bilger, R.W. Some Aspects of Scalar Dissipation. Flow Turbul. Combust. 2004, 72, 93–114. [Google Scholar] [CrossRef]
- Warnatz, J.; Maas, U.; Dibble, R.W. Combustion; Springer: Berlin/Heidelberg, Germany, 2006; ISBN 978-3-540-25992-3. [Google Scholar]
- Poinsot, T.; Veynante, D. Theoretical and Numerical Combustion, 2nd ed.; R T Edwards Inc.: Philadelphia, PA, USA, 2005; ISBN 978-1-930217-10-2. [Google Scholar]
- Borghi, R. On the Structure and Morphology of Turbulent Premixed Flames. In Recent Advances in the Aerospace Sciences: In Honor of Luigi Crocco on His Seventy-Fifth Birthday; Casci, C., Bruno, C., Eds.; Springer: Boston, MA, USA, 1985; pp. 117–138. ISBN 978-1-4684-4298-4. [Google Scholar]





















Disclaimer/Publisher’s Note: The statements, opinions and data contained in all publications are solely those of the individual author(s) and contributor(s) and not of MDPI and/or the editor(s). MDPI and/or the editor(s) disclaim responsibility for any injury to people or property resulting from any ideas, methods, instructions or products referred to in the content. |
© 2024 by the authors. Licensee MDPI, Basel, Switzerland. This article is an open access article distributed under the terms and conditions of the Creative Commons Attribution (CC BY) license (https://creativecommons.org/licenses/by/4.0/).
Share and Cite
Gilmanov, A.; Gokulakrishnan, P.; Klassen, M.S. Development and Validation of a Compressible Reacting Gas-Dynamic Flow Solver for Supersonic Combustion. Dynamics 2024, 4, 135-156. https://doi.org/10.3390/dynamics4010008
Gilmanov A, Gokulakrishnan P, Klassen MS. Development and Validation of a Compressible Reacting Gas-Dynamic Flow Solver for Supersonic Combustion. Dynamics. 2024; 4(1):135-156. https://doi.org/10.3390/dynamics4010008
Chicago/Turabian StyleGilmanov, Anvar, Ponnuthurai Gokulakrishnan, and Michael S. Klassen. 2024. "Development and Validation of a Compressible Reacting Gas-Dynamic Flow Solver for Supersonic Combustion" Dynamics 4, no. 1: 135-156. https://doi.org/10.3390/dynamics4010008
APA StyleGilmanov, A., Gokulakrishnan, P., & Klassen, M. S. (2024). Development and Validation of a Compressible Reacting Gas-Dynamic Flow Solver for Supersonic Combustion. Dynamics, 4(1), 135-156. https://doi.org/10.3390/dynamics4010008

