Random Field Ising Model Criticality in a Complex Binary Liquid System
Abstract
1. Introduction
2. Theory
3. Materials and Experiments
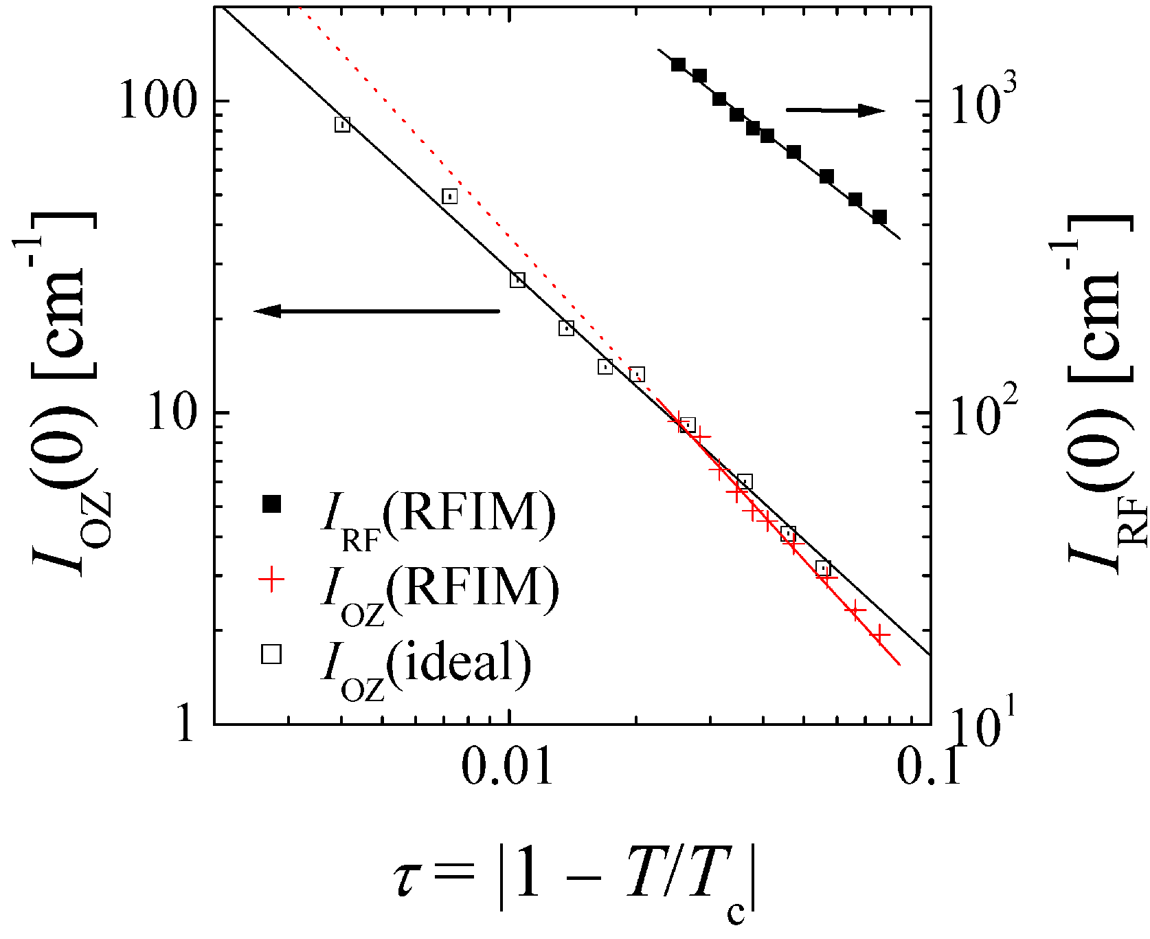
4. Analysis of the Experimental Data
5. Summary
Author Contributions
Funding
Data Availability Statement
Conflicts of Interest
Appendix A. Scaling of the Amplitudes IOZ(0) and IRF(0)

| Parameter in Aerogel | Value | Equation | Figure |
|---|---|---|---|
| 2.44 ± 0.03 | (2) | Figure 1 | |
| 9.8 ± 0.2 nm | (2) | Figure 1 | |
| 0.7 ± 0.1 | (1) | Figure 1 | |
| 0.69 ± 0.01 | cst. | Figure 2 | |
| 1.48 ± 0.15 | (3) | Figure 4 | |
| 1.24 ± 0.05 | (4) | Figure 3 | |
| 1.06 ± 0.05 | (5) | Figure 4 | |
| 0.040 ± 0.009 cm−1 | (3) | Figure 4 | |
| 0.071 ± 0.013 nm | (4) | Figure 3 | |
| 18.3 ± 2.8 cm−1 | (5) | Figure 4 | |
| 44 ± 1 °C | – | – | |
| in bulk | reference | ||
| 0.04 ± 0.04 | – | [32] | |
| 1.239 fixed | (3) | [29] | |
| 0.629 fixed | (4) | [29] | |
| 0.088 ± 0.003 cm−1 | (Figure 4) | [29] | |
| 1.15 ± 0.03 nm | (Figure 3) | [29] | |
| 36.8 ± 0.3 °C | – | [29] |
References
- Ganguli, A.K.; Ganguly, A.; Vaidya, S. Microemulsion-based synthesis of nanocrystalline materials. Chem. Soc. Rev. 2010, 39, 474–485. [Google Scholar] [CrossRef] [PubMed]
- Niyom, Y.; Flood, A.E.; Crespy, D. Review of Crystallization in Nanoconfinement Created by Emulsions and Microemulsions for Pharmaceutical Applications. ACS Appl. Nano Mater. 2023, 6, 21451–21461. [Google Scholar] [CrossRef]
- Massarweh, O.; Abushaikha, A.S. The use of surfactants in enhanced oil recovery: A review of recent advances. Energy Rep. 2020, 6, 3150–3178. [Google Scholar] [CrossRef]
- Fan, X.; Wang, C. High-voltage liquid electrolytes for Li batteries: Progress and perspectives. Chem. Soc. Rev. 2021, 50, 10486–10566. [Google Scholar] [CrossRef] [PubMed]
- Ogungbemi, E.; Ijaodola, O.; Khatib, F.N.; Wilberforce, T.; El Hassan, Z.; Thompson, J.; Ramadan, M.; Olabi, A.G. Fuel cell membranes—Pros and cons. Energy 2019, 172, 155–172. [Google Scholar] [CrossRef]
- Oswald, U.; Belkoura, L.; Jungk, M.; Woermann, D. Static light scattering experiments with a critical isobutyric acid (COOD)/deuterium oxide mixture above its critical solution temperature. Berichte Bunsenges. Phys. Chem. 1984, 88, 635–642. [Google Scholar] [CrossRef]
- Schneider, R.; Belkoura, L.; Schelten, J.; Woermann, D.; Chu, B. Determination of the critical exponent η by neutron and light scattering from a binary liquid mixture. Phys. Rev. B 1980, 22, 5507. [Google Scholar] [CrossRef]
- Gulari, E.; Chu, B.; Woermann, D. Critical exponents of a fluid mixture in the presence of isotope exchange: Isobutyric acid/D2O. J. Chem. Phys. 1980, 73, 2480–2488. [Google Scholar] [CrossRef]
- Schmitz, J.; Belkoura, L.; Woermann, D. Light scattering and small angle neutron scattering experiments with an aggregating binary liquid mixture of critical composition. Ann. Phys. 1994, 506, 1–12. [Google Scholar] [CrossRef]
- Pelissetto, A.; Vicari, E. Critical phenomena and renormalization-group theory. Phys. Rep. 2002, 368, 549–727. [Google Scholar] [CrossRef]
- Sengers, J.V.; Shanks, J.G. Experimental critical-exponent values for fluids. J. Stat. Phys. 2009, 137, 857–877. [Google Scholar] [CrossRef]
- Dierker, S.B.; Wiltzius, P. Small Angle Neutron Scattering Study of Critical Binary Fluids in Porous Glasses. MRS Online Proc. Libr. (OPL) 1989, 166, 427. [Google Scholar] [CrossRef]
- Dierker, S.B.; Wiltzius, P. Statics and dynamics of a critical binary fluid in a porous medium. Phys. Rev. Lett. 1991, 66, 1185. [Google Scholar] [CrossRef] [PubMed]
- Dierker, S.B.; Wiltzius, P. Random-field transition of a binary liquid in a porous medium. Phys. Rev. Lett. 1987, 58, 1865. [Google Scholar] [CrossRef] [PubMed]
- Melnichenko, Y.B.; Wignall, G.D.; Cole, D.R.; Frielinghaus, H. Density fluctuations near the liquid-gas critical point of a confined fluid. Phys. Rev. E 2004, 69, 057102. [Google Scholar] [CrossRef] [PubMed]
- Frisken, B.J.; Cannell, D.S.; Lin, M.Y.; Sinha, S.K. Neutron-scattering studies of binary mixtures in silica gels. Phys. Rev. E 1995, 51, 5866. [Google Scholar] [CrossRef]
- Sinha, S.K. 6. Small-Angle Scattering from Porous Materials. In Experimental Methods in the Physical Sciences; Elsevier: Amsterdam, The Netherlands, 1999; Volume 35, pp. 223–262. [Google Scholar]
- Melnichenko, Y.B. Small-Angle Scattering from Confined and Interfacial Fluids; Springer: Berlin/Heidelberg, Germany, 2016. [Google Scholar]
- Belanger, D.P.; Young, A.P. The random field Ising model. J. Magn. Magn. Mater. 1991, 100, 272–291. [Google Scholar] [CrossRef]
- Fytas, N.G.; Theodorakis, P.E.; Georgiou, I.; Lelidis, I. Critical aspects of the random-field Ising model. Eur. Phys. J. 2013, 86, 1–9. [Google Scholar] [CrossRef]
- Wu, Y.; Machta, J. Numerical study of the three-dimensional random-field Ising model at zero and positive temperature. Phys. Rev. B 2006, 74, 064418. [Google Scholar] [CrossRef]
- Fytas, N.G.; Martín-Mayor, V. Universality in the three-dimensional random-field Ising model. Phys. Rev. Lett. 2013, 110, 227201. [Google Scholar] [CrossRef]
- Hartmann, A.K.; Young, A.P. Specific-heat exponent of random-field systems via ground-state calculations. Phys. Rev. B 2001, 64, 214419. [Google Scholar] [CrossRef]
- Gofman, M.; Adler, J.; Aharony, A.; Harris, A.B.; Schwartz, M. Critical behavior of the random-field Ising model. Phys. Rev. B 1996, 53, 6362. [Google Scholar] [CrossRef] [PubMed]
- Belanger, D.P. Experiments on the random field Ising model. In Spin Glasses and Random Fields; World Scientific: Singapore, 1998; pp. 251–275. [Google Scholar]
- Wong, A.P.Y.; Kim, S.B.; Goldburg, W.I.; Chan, M.H.W. Phase separation, density fluctuation, and critical dynamics of N2 in aerogel. Phys. Rev. Lett. 1993, 70, 954. [Google Scholar] [CrossRef]
- Sadakane, K.; Iguchi, N.; Nagao, M.; Endo, H.; Melnichenko, Y.B.; Seto, H. 2D-Ising-like critical behavior in mixtures of water and 3-methylpyridine including antagonistic salt or ionic surfactant. Soft Matter 2011, 7, 1334–1340. [Google Scholar] [CrossRef]
- Sadakane, K.; Nagao, M.; Endo, H.; Seto, H. Membrane formation by preferential solvation of ions in mixture of water, 3-methylpyridine, and sodium tetraphenylborate. J. Chem. Phys. 2013, 139, 234905. [Google Scholar] [CrossRef] [PubMed]
- Frielinghaus, H.; Dubey, P.S.; Wu, B.; Odom, M.; Zheng, F.; Shin, E.; Zolnierczuk, P.; Holderer, O.; Förster, S.; Heiden-Hecht, T. Experimental critical dynamics of 3-methyl pyridine/D2O mixtures without and with antagonistic salt. Phys. Rev. Res. 2023, 5, 023053. [Google Scholar] [CrossRef]
- Fisher, M.E. Correlation functions and the critical region of simple fluids. J. Math. Phys. 1964, 5, 944–962. [Google Scholar] [CrossRef]
- Frielinghaus, H.; Schwahn, D.; Dudowicz, J.; Freed, K.F.; Foreman, K.W. Small-angle neutron scattering studies of polybutadiene/polystyrene blends as a function of pressure and microstructure: Comparison of experiment and theory. J. Chem. Phys. 2001, 114, 5016–5025. [Google Scholar] [CrossRef][Green Version]
- Frielinghaus, H.; Dubey, P.S.; Shin, E.; Odom, M.; Zolnierczuk, P.; Wu, B.; Holderer, O.; Heiden-Hecht, T.; Sengers, J.V.; Förster, S. The high-Q static scattering of 3-methyl pyridine/D2O mixtures without and with antagonistic salt. In Proceedings of the EPJ Web of Conferences, Garching, Germany, 20–23 March 2023; Volume 286, p. 04006. [Google Scholar]
- Janke, W.; Katoot, M.; Villanova, R. Ising model universality for two-dimensional lattices. Phys. Lett. B 1993, 315, 412–416. [Google Scholar] [CrossRef]
- Vink, R.L.C.; Fischer, T.; Binder, K. Finite-size scaling in Ising-like systems with quenched random fields: Evidence of hyperscaling violation. Phys. Rev. E 2010, 82, 051134. [Google Scholar] [CrossRef]
- Narayanan, T.; Kumar, A. Reentrant phase transitions in multicomponent liquid mixtures. Phys. Rep. 1994, 249, 135–218. [Google Scholar] [CrossRef]




| Ideal | Theory | Experiment | This | |
|---|---|---|---|---|
| Exponent | Ising | RFIM | RFIM | Study |
| 1.238 ± 0.012 | 1.5–2.0 | 1.75 (±0.25) | 1.48 ± 0.15 | |
| 0.629 ± 0.003 | 1.0–1.4 | 1.1 (±0.2) | 1.24 ± 0.05 | |
| 0.032 ± 0.013 | 0.25–0.52 | 0.16–0.5 (–) | 0.69 ± 0.01 |
Disclaimer/Publisher’s Note: The statements, opinions and data contained in all publications are solely those of the individual author(s) and contributor(s) and not of MDPI and/or the editor(s). MDPI and/or the editor(s) disclaim responsibility for any injury to people or property resulting from any ideas, methods, instructions or products referred to in the content. |
© 2024 by the authors. Licensee MDPI, Basel, Switzerland. This article is an open access article distributed under the terms and conditions of the Creative Commons Attribution (CC BY) license (https://creativecommons.org/licenses/by/4.0/).
Share and Cite
Frielinghaus, H.; Dubey, P.S.; Saha, D.; Shin, E.; Holderer, O.; Sengers, J.V.; Förster, S. Random Field Ising Model Criticality in a Complex Binary Liquid System. Nanomaterials 2024, 14, 1125. https://doi.org/10.3390/nano14131125
Frielinghaus H, Dubey PS, Saha D, Shin E, Holderer O, Sengers JV, Förster S. Random Field Ising Model Criticality in a Complex Binary Liquid System. Nanomaterials. 2024; 14(13):1125. https://doi.org/10.3390/nano14131125
Chicago/Turabian StyleFrielinghaus, Henrich, Purushottam S. Dubey, Debasish Saha, Eunjoo Shin, Olaf Holderer, Jan V. Sengers, and Stephan Förster. 2024. "Random Field Ising Model Criticality in a Complex Binary Liquid System" Nanomaterials 14, no. 13: 1125. https://doi.org/10.3390/nano14131125
APA StyleFrielinghaus, H., Dubey, P. S., Saha, D., Shin, E., Holderer, O., Sengers, J. V., & Förster, S. (2024). Random Field Ising Model Criticality in a Complex Binary Liquid System. Nanomaterials, 14(13), 1125. https://doi.org/10.3390/nano14131125

