Abstract
Maritime cognitive radio networks (MCRNs) have recently been proposed for opportunistic utilization of the licensed band. Spectrum sensing is one of the key issues for the successful deployment of the MCRNs. The maritime environment is unique in terms of radio wave propagation over water, surface reflection and wave occlusions. In order to deal with the challenging maritime environment, we proposed an optimal entropy-based cooperative spectrum sensing. As the results of spectrum sensing are sensitive to the number of samples in an entropy-based local detection scheme, we first calculated the optimal number of samples. Next, a cooperative spectrum sensing scheme considering the conditions of the sea environment is proposed. Finally, the throughput optimization of the m-out-of-n rule is considered. Results revealed that although the existing schemes work well for the lower sea states, they fail to perform at higher sea states. Moreover, simulation results also indicated the robustness of the entropy-based scheme and the proposed cooperative spectrum sensing scheme at higher sea states in comparison with the traditional energy detector.
1. Introduction
Wireless broadband has become an integral part of work, as well as daily life, because of the challenge of dealing with large amounts of Internet data. Although broadband access is very common on the land, maritime networks still need attention in this area. Due to their heterogeneous, low bandwidth and dynamic connectivity, maritime networks are difficult to manage [1]. Nowadays, communication systems based on narrow ultra-high frequency band (UHF, 300MHz–3GHz) and very high frequency band (VHF, 30–300MHz) are used for close water ports’ ship-to-shore communication. On the other hand, satellite communication is used for long range ship-to-shore and ship-to-ship communication [2]. Satellite links are very expensive for voice calls and Internet access, to and from the ship, when compared to land communication. Improvements in existing techniques, as well as new research, are required in order to reduce the cost of communication and provide high speed data rates at sea.
Using a dedicated spectrum in maritime networks is difficult, due to congested bandwidth allocation [3]. The network devices on the shore may need to coexist with other radio devices installed on the land. Moreover, it is also necessary to synchronize the frequency bands around the world, as ships may travel between different countries and continents. Zhou et al. showed that spectrum issues in maritime networks can be alleviated by incorporating cognitive radio (CR) technology [3]. In this regard, they have also found that much of the spectrum is underutilized at sea. CR is a key technology that can help to mitigate the scarcity of the spectrum by using licensed spectrum bands opportunistically for unlicensed users. CR’s advantages associated with the opportunistic access of unused the licensed band are the alleviation of spectrum scarcity, the large bandwidth, long-range communication using TV band and reduced cost for communication.
The most essential task for CR is the detection of the licensed/primary user (PU), which is achieved by sensing the radio environment. This process is called spectrum sensing. If the PU is absent, its spectrum is available for a cognitive radio/secondary user (SU) and is called the spectrum hole/white space. The spectrum sensing requirements for maritime cognitive radio networks (MCRN) have to face unique challenges in the sea environment because of the following reasons: (1) radio wave propagation over water; (2) surface reflection; and (3) wave occlusions. Therefore, to achieve a higher detection probability, CR may need a longer sensing time or some advances in the existing spectrum sensing schemes. In cooperative spectrum sensing, the local decision of multiple SUs is fused to get the final decision. Cooperative spectrum sensing seems to be an effective method to improve detection performance and to mitigate the impact of the unique challenges mentioned earlier.
Researchers have been focused on improving the sensing accuracy with minimum sensing time to avoid interference. The most renowned local spectrum sensing schemes are energy detection, entropy detector, matched filter and cyclostationary feature detection [4]. There are many improved local sensing schemes [5,6] and advanced cooperative spectrum sensing schemes [7,8] proposed in the literature. However, none of them has been effective at overcoming the unique challenges associated with MCRN, which includes radio wave propagation over water, surface reflection and wave occlusions.
Entropy is the measure of uncertainty in random variables [9]. Under a fixed-dimension probability space, the entropy of a signal is independent of noise power. Therefore, entropy-based detection can be used to cancel out the effect of noise uncertainty in MCRN. Entropy-based spectrum sensing can be used to counteract the unique challenges associated with the MCRN.
In this paper, we investigated entropy-based detection to counteract sea state effects. The path loss model for maritime communication during shadowing is considered, and the model is close to the real channel model. The optimal number of samples are found and used to calculate the entropy of the sensed signal as the measure of information of the received PU signal for the test statistic. We proposed a cooperative spectrum sensing scheme for MCRN, which considers the conditions of the sea environment and uses the entropy-based detector with the optimal number of samples as a local detector. The throughput optimization of the m-out-of-n rule is also considered with respect to the sea conditions. The optimal m and n are derived for the throughput optimization setup.
The rest of the paper is organized as follows. Related work is discussed in Section 2, while Section 3 gives a brief overview of maritime cognitive radio network and channel modeling. A system model, the optimization problem of a number of samples in the entropy-based detection scheme and centralized cooperative spectrum sensing are discussed in Section 4 Section 5 demonstrates the simulation results, and finally, conclusions are drawn in Section 6.
2. Related Work
The MCRN was first proposed by Zhou et al. [3]. The authors analyzed and presented the design requirements of the MCRN to enable cognitive operations and be suitable for the sea environment. Moreover, they investigated the possible available spectrum in the sea, the requirements that follow and the standards available. The challenges associated with MCRN, including movement on the sea surface and channel characterization, were addressed. A medium access control (MAC) protocol and a routing protocol were also presented to meet the challenges associated with MCRN.
In [10], we presented performance analysis for spectrum sensing in MCRN. In which existing fusion rules for cooperative spectrum sensing were compared to highlight the need for a unique cooperative spectrum sensing scheme for MCRN. We investigated entropy-based spectrum sensing for local spectrum sensing in MCRN in [11]. However, a cooperative spectrum sensing scheme that is unique to MCRN is not discussed in [10,11].
Recently, some new communication systems, particularly for maritime networks, have been proposed. In Singapore, WISE-PORT (Wireless-broadband-access for Seaport) provides IEEE802.16e-based wireless broadband access up to 5 Mbps, with a coverage distance of 15 km [12]. However, it still requires improvements. The first digital VHF network with a data rate of 21 and 133 kbps with a coverage range of 130 km was developed in Norway [13]. This system operates in the licensed VHF channel, which results in a narrow bandwidth and slow communication speed. To provide high speed and low cost ship-to-shore and ship-to-ship communication, the mesh/ad hoc network based on IEEE 802.16d mesh technology was proposed in a project called TRITON [14]. The authors developed a prototype that operates at 2.3 and 5.8 GHz.
Each ship is required to be capable of sensing the spectrum for MCRN. Moreover, the maritime environment has challenges, like the channel model, link quality, due to the sea movement, and so on. Television spectrum, cellular band and maritime spectrum holes are available at sea, which may range between tens of MHz to several GHz. Each ship in the MCRN needs to sense the spectrum according to its capability and change its operational frequency to achieve the best communication quality.
Currently, the main focus of research in spectrum sensing for cognitive radio is divided into two main streams: (i) improving local sensing; and (ii) enhancing cooperative spectrum sensing for better data fusion results. The major local sensing techniques considered for cognitive radios are energy detection, matched filter detection and cyclostationary detection. Energy detection is the simplest technique, which has a short sensing time, but its performance is comparatively poor under low signal-to-noise ratio (SNR) conditions. Matched filter detection is another simple technique, but it requires prior knowledge about the waveform of the PU. Cyclostationary detection provides reliable spectrum sensing, but it is computationally complex and requires a long sensing time [4]. In cooperative spectrum sensing, all the local sensing observations made by SUs are reported to a fusion center, and a final decision about the presence or absence of the PU is conducted at the fusion center [7]. Based on the final decision received by the fusion center, each SU reconfigures its operating parameters. Spectrum sensing must produce a high probability of detection and a low probability of false alarms to achieve better network performance.
The sea environment is divided into 10 different sea states, depending on the wave height, the average period of waves and the average wavelength of waves [15]. The higher probability of detection can be achieved by a longer sensing time [3]. Moreover, for relatively calm sea (e.g., sea state 3), the usual spectrum sensing schemes may be used. However, relatively advanced spectrum sensing schemes and cooperative fusion rules are required for higher sea states.
The idea of entropy-based spectrum sensing was proposed by Nagraj [16], in which the information entropy is estimated from the output of a matched filter. The entropy of the received signal is reduced if it contains a modulated PU signal. However, it requires perfect knowledge of the PU waveform and synchronization.
The received signal is transformed in the frequency domain, and the spectrum magnitude is regarded as a random variable [17]. The probability space is partitioned into fixed dimensions, and the Shannon entropy is calculated as an information measure of the received PU signal for test statistics. It is demonstrated that under a fixed-dimension probability space, the entropy is independent of noise power. The authors concluded that their proposed scheme has better performance and is more robust against noise uncertainty in comparison with energy detectors and cyclostationary detectors [17].
Sabat et al. proposed a spectrum sensing scheme based on the entropy estimation of the cyclostationary features of the received PU [18]. To improve the spectrum sensing performance, the proposed scheme was extended to centralized spectrum sensing using soft and hard decision fusion rules. The results revealed that the proposed scheme outperforms the cyclostationary detection based on the spectral coherence function (SCF) and energy detection.
A spectral entropy-based PU detection scheme performs better than energy detection without any prior knowledge of the PU waveform [19]. It is highlighted that the optimal threshold and the optimal number of samples should be studied for entropy-based spectrum sensing.
Zhang et al. [20] proposed a frequency-domain entropy-based spectrum sensing scheme for CR, which proved to be independently robust against noise uncertainty, as the entropy of noise is constant. It is concluded that the sensing time is reduced to about 75% in comparison with the energy detector under the same detection performance. Moreover, the results proved that the frequency-domain entropy-based detector outperforms the time-domain entropy-based detector.
All the existing entropy-based detectors do well under low SNR conditions, but none of them has considered sea state distribution. MCRNs should be intelligent enough to switch their operating parameters to suit the sea state, geographic location/region and communication range in order to achieve better throughput and quality of service (QoS). UHF is used in the USA for maritime navigation services, and therefore, it is important to protect the primary band. To achieve this, a high probability of detection and a low probability of false alarms are required for precise detection of PU and for efficient utilization of bandwidth, respectively.
3. Maritime Cognitive Radio Network and Channel Modeling
MCRN can be classified into two categories: (i) ship-to-ship/ship-to-shore networks (close to shore); and (ii) ship-to-ship ad hoc networks in deep sea with the support of a satellite communication link (as shown in Figure 1). Each ship is equipped with devices that are capable of performing cognitive radio functions. They regularly sense the radio environment to access the spectrum, which is not used by the PU. In networks in which ships are far from the land, it becomes impossible to access the fusion center by using the industrial, scientific and medical (ISM) band on the land. Therefore, satellite links can be used as an alternate access means to the fusion center. In addition to the terrestrial CR network’s spectrum usage, a ship can switch its operating parameters according to the sea state, geographic location and the density of nodes.
Figure 1.
Architecture of a maritime cognitive radio network.
Figure 1.
Architecture of a maritime cognitive radio network.

Recently, spectrum measurements in white spaces have been carried out for CR networks on the land. The most common of those are on the television (TV) and cellular bands. On the contrary, investigations are required for the spectrum allocated for maritime communications, because of the environmental differences. Environmental differences include the obvious maritime radio atmosphere, i.e., sea motion and antenna model. There is almost no obstacle in the sea, and the sea surface is also flat. These factors actually cause a huge path loss, due to negative interference between the line of sight (LoS) path and the reflected path [2].
3.1. Sea Motion
A fundamental of propagation analysis for MCRNs is the generation of a random sea surface. The general condition of the sea surface over a large area is called the sea state. The sea state is divided into 10 levels, as defined by Pierson-Moskowitz [15]. The levels of the sea state are defined by considering the wave height, wave period and power spectrum. Sea states 0–3 are generally considered calm sea conditions. Moderate sea conditions are in sea states 4–5. Sea states 6 and above are the worst sea conditions, having high waves, which cause severe degradation of communication by affecting the movement of the antenna.
3.2. Channel Model
Unusual challenges arise for maritime wireless networks, due to variable channel statistics. The sea surface works as a reflector for the radio propagation, and as a result, the signal degrades completely along the path. In a terrestrial environment, there are obstacles of different sizes, which result in reflection, refraction and scattering of the signal in the communication channel. The path loss in the terrestrial environment is higher than in free space, and it was defined by Elliott [21] as:
where is the distance of a reference location from the transmitter with measured path loss , d is the physical distance between the transmitter and receiver and α is the path loss exponent for the radio environment and the Gaussian random contributor, , with zero mean and standard deviation, σ, which represents fast fading effects. The accurate estimation of the path loss exponent is the major characterization of the communication channel. Usually, values of the path loss exponent range from one to four, depending on the physical terrain features.
The path loss in the maritime environment increases with the sea state, and it increases rapidly in sea state 5 and above. According to Timmins et al. [22], the path loss in the maritime communication channel during shadowing is as follows:
where f is the frequency in GHz, the observable sea height is h in meters, d is the physical distance between the transmitter and receiver in meters and is the path loss simulated at 1 m and the random variable, , with zero mean and standard deviation, , which is also represented as a function of wave height:
4. Spectrum Sensing in Maritime Cognitive Radio Networks
4.1. System Model
Here, we assumed the UHF band to be the PU’s band. It is broad and can offer a bandwidth of more than 100 MHz opportunistically in maritime networks [3]. The communication range for these frequencies is up to 10 km. Ships satisfy all the requirements for acting as the SU, which includes spectrum sensing capability and the reconfiguration of operating parameters. The base station at the shore acts as the fusion center. The system model for the performance analysis is shown in Figure 1 in which the maritime wireless network with n SUs is considered. Let be the transmitted signal of the PU:
where is a complex base band signal with bandwidth B, is the carrier frequency and φ is the initial phase. It is assumed for simplicity that is real for propagation model analysis.
The received signal, , can be written as:
where is the base band channel model.
The received signal after experiencing path loss channel model given in Equation (2) can be written as:
where G is the antenna gain.
The ultimate goal of spectrum sensing is to determine the presence of a PU using a binary hypothesis model, i.e., the basic model for spectrum sensing by the SU, which is defined as:
where is the signal received by the SU, is the additive white Gaussian noise (AWGN), indicates only noise and the presence of a PU is .
4.2. Entropy-Based Spectrum Sensing
Entropy is dependent on the signal power and is highly susceptible to noise uncertainty in the time domain. Therefore, the entropy is calculated in the frequency domain. For this reason, discrete Fourier transform (DFT) is applied on the received signal, , and we obtain:
where and K is the size of the DFT. and denote the complex spectrum of and , respectively. The spectrum magnitude, of the measured signal can be represented by the random variable, Y, for which estimation of the probability density function (PDF) is required. Therefore, the detection strategy of the entropy-based frequency model can be expressed as:
where and denote the entropy with the number of states, L, in hypotheses H0 and H1, respectively.
For simplicity, the histogram method is used to estimate the probability of each state. The number of states of a random variable, Y, is equal to the number of bins, L. Let be the total number of occurrences of the bin; then , where N is the number of samples. The frequency of occurrences of the bin is represented as probability , i.e., . The bin width , where denotes the maximum spectrum amplitude of the signal [17].
Then, the entropy can be written as:
After the entropy is calculated for the received signal, we employ the threshold decision rule:
where is the threshold. When the calculated entropy exceeds the threshold value, it implies the absence of PU and vice versa.
4.3. Cooperative Spectrum Sensing
Cooperative spectrum sensing helps to improve the sensing performance with the increase in cooperative SUs. In order to get a cooperative decision, linear fusion rules are applied; the most commonly used fusion rules are AND, OR and majority rules. Upon applying a fusion rule, the fusion center forwards the cooperative decision to all individual SUs [7]. However, the reporting time increases with the increase in cooperative SUs, which results in lower network throughput. Therefore, the optimal number of cooperative SUs and the fusion rule are required to satisfy the detection performance constraints.
Let the local decision of the SU be , which can be one or zero with respect to the presence or absence of PU, respectively. In the AND rule, the cooperative decision at the fusion center is made by performing the logical AND on all the local decisions reported by SUs. The cooperative decision about the presence of PU is made only when all SUs report the presence of PU, while the cooperative decision about the absence of PU is made when any one of the SUs report absence. In the OR rule, the logic OR is performed at the fusion center on all the local decisions made by SUs. The cooperative decision about the absence of PU is made only when all the SUs report the absence of PU, and the cooperative decision about PU presence is made when one of the SUs reports the PU presence. The majority rule requires at least half of the SUs to report the presence of PU to confirm the presence and vice versa. The generalized form of these simple rules uses m-out-of-n rules in which the fusion center declares a cooperative decision about PUs presence, if more than m SUs among n SUs report the PU presence. The global probability of false alarm and detection is the one which is calculated at the central entity by fusing the results of cooperative SUs. The global probability of detection, , and the global probability of false alarms, , for the m-out-of-n rule are given by Zhang et al. [23]:
where and are the probability of detection and the probability of a false alarm determined by each SU. The total number of SUs participating in cooperation is n, and m determines the rule among AND, OR and majority.
Figure 2.
Proposed cooperative spectrum sensing for the maritime cognitive radio network.
Figure 2.
Proposed cooperative spectrum sensing for the maritime cognitive radio network.

The flow of the proposed cooperative spectrum sensing algorithm for MCRN is shown in Figure 2. There are n SUs participating in the proposed cooperative spectrum sensing for MCRN. The central entity is capable of measuring the sea state and determining if the sea state is good enough to rely on the spectrum sensing results of the individual SUs. If the sea state is greater than the threshold, ζ, beyond which the spectrum sensing results are not reliable, the central entity will decide that the channel is not available without considering the spectrum sensing results of individual SUs. However, if the sea state is less than the threshold, ζ, the optimized m-out-of-n will be applied in order to determine the presence or absence of PU.
The entropy detector is targeted to find the number of cooperative SUs, n and m, under the constraint of the global probability of detection, , the constraint of the global probability of a false alarm, , and the sea state to maximize throughput in MCRN. Let be the throughput of an SU operating in the absence of the PU. The practical throughput of an SU without cooperation is calculated [24]. Let denote the practical throughput in the case of cooperative spectrum sensing. This can be obtained by considering the reporting time in the non-cooperative case and can be written as:
where is the sensing slot duration during which each SU participating in cooperation performs local spectrum sensing and makes a local final decision, is the reporting slot duration during which each cooperating SU transmits a one-bit decision to the fusion center, T is the time length of the periodic frame for sensing and transmission and is the probability distribution function of the OFF period.
The throughput of MCRN depends on the specific choice of the m-out-of-n rule. In the next section, we consider a setup in which the throughput of the network is maximized subject to the constraints on the probability of detection and the probability of false alarms to find the system parameters, including the number of cooperative users, n, and the optimal m-out-of-n rule.
4.4. Optimization of the Number of Samples and the m-out-of-n Rule
It is obvious that the detection probability is increased with the increase in the number of samples in both entropy and energy detector-based local sensing. However, it has been shown that the entropy detector needs samples, while the energy detector needs 18,000 samples to achieve the same detection probability [17]. It is important to find the optimal number of samples for the sea environment to achieve a better detection probability. Therefore, one of the optimization problems can be formulated as follows:
where N is the number of samples for entropy-based detection, and are the corresponding local target probability of detection and a false alarm, respectively.
A time division multiple access (TDMA) approach is considered for reporting local decisions to the central entity/fusion center in the proposed cooperative spectrum sensing. Let be the reporting time for each SU to report its local decision to the central entity/fusion center. The total reporting time is for a network of n SUs. The throughput of the MCRN is increased by reducing the reporting time. Moreover, nearby ships have to face spatially correlated channel conditions, because the sea state remains the same for them. Therefore, n is one of the arguments for optimization. The global probability of a false alarm, , calculated using the local probability of a false alarm in Equation (13) is also a part of the optimization. Moreover, the global probability of detection should be greater than a given value, .
is the achievable practical throughput given in Equation (14); and are the corresponding global targeted probabilities of detection and false alarms for cooperative spectrum sensing in MCRN.
The optimization problems given in Equations (15) and (16) are not convex optimization problems. Therefore, the penalty method and numerical enumeration is used to find optimal values. A penalty function technique [25] is useful for solving constrained optimization problems. The penalty function is formulated for the constrained optimization problem given in Equation (15), and then, a simplex search method, which is an unconstrained algorithm, is applied. Using the penalty function in Equation (15), we found the augmented objective function as:
where is the penalty parameter and should be greater than zero.
Similar to the solution of Equation (15), the penalty function technique is used to solve the constrained optimization problem given in Equation(16). The constrained problem in Equation (16) can be transformed into an unconstrained one by penalizing constraints and making a single objective function. Later, by using the unconstrained optimization algorithm, the unconstrained problem can be solved. Using the penalty function in Equation (16), we found the augmented function as follows:
where the penalty parameter, , should be greater than zero. The simplex search method is also applied to find optimal and for the unconstrained problem formulated in Equation (18).
5. Simulation Results
The simulation has been carried out to investigate the performance of spectrum sensing in the MCRN. The simulation consists of the sea wave movement model and the path loss model as discussed in Section 3.1 and Section 3.2. We assumed that there are fifteen SUs, and all of them experience additive white Gaussian noise (AWGN) with the same variance; the path loss depends on the radio environment during communication. Each SU uses the entropy-based detection scheme with the optimal number, N, and the energy detector for its local observation having an average SNR . We also assumed that SUs are unaware of relevant PU information, such as the position, moving direction and velocity.
Figure 3.
A simulation model of the MCRN in a narrow navigation channel.
Figure 3.
A simulation model of the MCRN in a narrow navigation channel.

The network model considered for the simulations is a general maritime wireless network, as shown in Figure 3. It covers a narrow navigation channel with the traffic separation scheme defined by the International Maritime Organization (IMO). The network consists of one westbound and one eastbound shipping lane in parallel, each with a width of , and it has a land station, which acts as a central entity in cooperative spectrum sensing. A similar type of network model was also considered earlier for simulations [3]. The sea states simulated in this paper are 4, 6 and 7, and Table 1 shows the parameters that these three sea states have.
Table 1.
Parameters of sea states 4, 6 and 7.
| 4 | 6 | 7 | |
|---|---|---|---|
| 18 | 27 | 37 | |
| 5 | 10 |
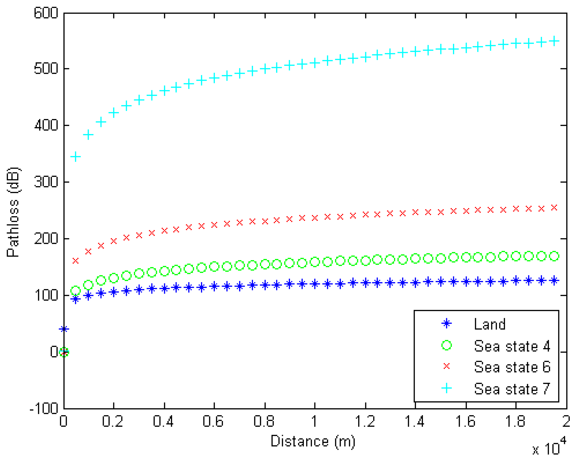
Figure 4 shows the path loss for GHz for different radio environments, including land and sea environments. The sea states considered for measuring the path loss are 4, 6 and 7, for which wind speed, significant wave height, average wavelength and average wave period are given in Table 1. The physical distance between the transmitter and the receiver varies from zero to 20 km, and its reference distance is 1 m. Results show that path loss in the maritime environment is comparable to one in the land environment up to sea state 4 (Figure 4). Severe path loss is observed at sea states higher than 4. Path loss almost gets doubled at sea state 6 in comparison with sea state 4. For sea state 7, path loss is almost five-times as compared to either sea state 4 or the land environment. It becomes worse at higher sea states.
Figure 4.
Comparison of the path loss model on land and different sea states.
Figure 4.
Comparison of the path loss model on land and different sea states.

Figure 5.
The impact of the signal-to-noise ratio (SNR) on the probability of detecting: (a) the land network; (b) sea state 4; (c) sea state 6; and (d) sea state 7.
Figure 5.
The impact of the signal-to-noise ratio (SNR) on the probability of detecting: (a) the land network; (b) sea state 4; (c) sea state 6; and (d) sea state 7.

Figure 6.
Probability of detection vs. the probability of a false alarm at (a) the land network; (b) sea state 4; (c) sea state 6; and (d) sea state 7.
Figure 6.
Probability of detection vs. the probability of a false alarm at (a) the land network; (b) sea state 4; (c) sea state 6; and (d) sea state 7.

The probability of detection using energy detection and optimal entropy-based detection with the same number of samples was investigated to determine its sensitivity for detecting a PU’s presence for a range of SNR from –10 dB to 20 dB. According to the draft IEEE 802.22 standard [26], the probability of a false alarm should be less than or equal to . Therefore, the decision threshold, , was set to maintain . Figure 5 (a) and (b) shows that the probabilities of detection at the land and sea state 4 are similar to each other, because both of them suffer almost the same path loss. In Figure 5 (c), when the sea state is 6, the probability of detection in the case of the entropy-based detector is a little higher than the energy detection, even under low SNR conditions. However, for sea state 7, the probability of detection in the case of the energy detector is near zero over the entire range of SNR, because of severe path loss. However, the entropy-based detector can still detect the PU signal under good SNR conditions, as shown in Figure 5 (d).
The practical interest of MCRN is to determine the relationship between or and . Complementary receiver operation characteristic (ROC) curves can be obtained from the plot of against for a given average SNR and the time bandwidth product, , with varying thresholds [27]. The complementary ROC curves at the land, sea state 4, sea state 6 and sea state 7, when using the energy detector and entropy-based detector with the optimal number of samples, , as local detectors, are shown in Figure 6. Here, we assumed that the average SNR of SU is dB. The result shows that the complementary ROC performance of the entropy-based detector with optimal N is better than that of the energy detector in the above-mentioned four cases. However, for sea state 6 and higher, it cannot detect the primary user with a high probability under low . Therefore, the cooperative spectrum sensing proposed in Section 4.3 helps to achieve better detection performance for higher sea states.
Figure 7.
Normalized throughput versus n and m.
Figure 7.
Normalized throughput versus n and m.

Figure 8.
Optimal n and m versus the sea state.
Figure 8.
Optimal n and m versus the sea state.

The normalized throughput versus n and m for the detection constraint equal to is shown in Figure 7. It is evident from the Figure 7 that the choice of m and n has a huge impact on the throughput of MCRN. Moreover, there is a unique optimal point where the throughput of the MCRN is maximal.
The optimal n and m to maximize the achievable throughput versus the sea state are shown in Figure 8. For the simulations, and are taken as and , respectively. We found that for the different sea states, ranging from 3 to 6, majority rule is either optimal or near optimal.
The complementary ROC curves for the land, sea state 4 and sea state 6 for the optimized m-out-of-n rule (discussed in Section 4.4), when using the energy detector and entropy-based detector with optimal N as local detectors, are shown in Figure 9. The proposed cooperative spectrum sensing scheme is used with the sea state threshold . There are a total of fifteen SUs participating in cooperation, and the SNRs of the SUs vary from –10 dB to 10 dB. The distance from the PU varies from zero to 20 km for each SU randomly. Figure 9(a) shows the ROC curves for the land environment in which the probability of detection is high for both the energy detector and entropy-based detector. Thus, our results indicated that both detectors with an optimized m-out-of-n fusion rule in cooperative spectrum sensing work reasonably well for the land environment. Figure 9(b) shows the ROC for the sea environment having sea state 4. The probability of detection is still good in the case of the energy detection and entropy-based detector with the same number of samples as the local detector. The complementary ROC for sea state 6 is shown in Figure 9(c). In the case of energy detection with the optimized m-out-of-n rule, the probability of detection for sea state 6 does not satisfy the requirement of IEEE 802.22, with the same number of samples as used for entropy-based detection. However, the entropy-based detector with the optimal number of samples, , works reasonably well under sea state 6.
Figure 9.
Probability of detection vs. Probability of detection vs. the probability of a false alarm with 15 SUs participating in cooperative spectrum sensing at; (a) the land network; (b) sea state 4; and (c) sea state 6.
Figure 9.
Probability of detection vs. Probability of detection vs. the probability of a false alarm with 15 SUs participating in cooperative spectrum sensing at; (a) the land network; (b) sea state 4; and (c) sea state 6.

6. Conclusions
In this paper, we have proposed a cooperative spectrum sensing scheme, while considering the sea environment. The optimal number of samples for entropy-based detection for MCRN has been calculated. A cooperative spectrum sensing scheme has been proposed while considering the sea environment. In addition, throughput optimization of the m-out-of-n rule for MCRN has also been considered. Simulation results showed that the performance of the energy detector and entropy-based detector is almost same for the land environment. However, for sea states 4, 6 and 7, the entropy-based detector with the optimal number of samples, , performs better than the energy detector. In the case of cooperative spectrum sensing with the optimized m-out-of-n rule, the entropy-based detector and energy detector are used as local detection schemes. We showed further that for the desired range of sea states, the majority fusion rule is either optimal or near optimal in terms of the throughput of the MCRN.
For sea state 7 and higher, although the entropy-based detector could detect PUs with a high probability in comparison with the energy detector, still, the constraints of the probability of detection and false alarms are not satisfied. One way to improve the sensing performance at higher sea states is to design a new advanced signal processing algorithm in order to detect a distorted signal. An advanced algorithm, like cyclostationary feature detection, needs a relatively long time for sensing in comparison with the energy detector and entropy-based detector.
The advanced sensing algorithms should be investigated in the future for efficient spectrum sensing in the MCRN. Moreover, the multi-path effect, due to the reflections of the signal on the sea surface, is also a good direction to be considered in the future.
Acknowledgments
This work was supported by the CITRC (Convergence Information Technology Research Center) support program (NIPA-2013-H0401-13-1003) supervised by the NIPA (National IT Industry Promotion Agency) of the MKE (Ministry of Knowledge Economy) Special Disaster Emergency R&D Program from National Emergency Management Agency (2012-NEMA10-002-01010001-2012).
Conflict of Interest
The author declares no conflict of interest.
References
- Kidston, D.; Kunz, T. Challenges and opportunities in managing maritime networks. IEEE Commun. Mag. 2008, 46, 41–49. [Google Scholar] [CrossRef]
- Pathmasuntharam, J.S.; Jurianto, J.; Kong, P.Y.; Ge, Y.; Zhou, M.; Miura, R. High Speed Maritime ship-to-ship/ shore Mesh Networks. In Proceedings of IEEE International Conference on ITS Telecommunications, Sophia Antipolis, France, 6 June 2007; pp. 1–6.
- Zhou, M.T.; Harada, H. Cognitive maritime wireless mesh/ ad hoc networks. J. Netw. Comput. Appl. 2012, 35, 518–526. [Google Scholar] [CrossRef]
- Yucek, T.; Arslan, H. A survey of spectrum sensing algorithms for cognitive radio applications. Commun. Surveys Tuts. 2009, 11, 116–130. [Google Scholar] [CrossRef]
- Axell, E.; Leus, G.; Larsson, E.G.; Poor, H.V. Spectrum sensing for cognitive radio: State-of-the-art and recent advances. IEEE Signal Proc. Mag. 2012, 29, 101–116. [Google Scholar] [CrossRef]
- Ejaz, W.; Hasan, N.U.; Azam, M.A.; Kim, H.S. Improved local spectrum sensing for cognitive radio networks. EURASIP J. Adv. Signal Process. 2012, 1, 1–12. [Google Scholar] [CrossRef]
- Akildiz, I.F.; Lo, B.F.; Balakrishan, R. Cooperative spectrum sensing in cognitive radio networks: A survey. Physical Commun. 2011, 4, 40–62. [Google Scholar] [CrossRef]
- Rif-Pous, H.; Blasco, M.J.; Garrigues, C. Review of robust cooperative spectrum sensing techniques for cognitive radio networks. Wireless Pers. Commun. 2012, 67, 175–198. [Google Scholar] [CrossRef]
- Ihara, S. Information Theory for Continuous Systems; World Scientific: Singapore, 1993; pp. 1–56. [Google Scholar]
- Ejaz, W.; Hasan, N.; Azam, M.A.; Kim, H.S. Cooperative spectrum sensing for cognitive radio networks application: Performance analysis for realistic channel conditions. In Advances in Computational Science, Engineering and Information Technology; Springer: New York, NY, USA, 2013; pp. 197–206. [Google Scholar]
- Ejaz, W.; Atiq, M.K.; Shah, G.A.; Kim, H.S. Optimal Entropy-based Spectrum Sensing for Cognitive Radio Networks under Severe Path Loss Conditions. In Proceedings of International Conference on Cognitive Radio Oriented Wireless Networks (CROWNCOM’13), Washington, DC, USA, 8 July 2013; pp. 93–98.
- First in the World: Wireless Mobile Wimax Access In Singapore Seaport Now a Reality. Available online: https://www.ida.gov.sg/About-Us/Newsroom/Media-Releases/2008/20080306142631 (accessed on 15 October 2012).
- Bekkadal, F. Emerging maritime communications technologies. In Proceedings of the IEEE International Conference on on ITS Telecommunications, Lille, France, 20 October 2009; pp. 358–363.
- Pathmasuntharam, J.S.; Kong, P.Y.; Zhou, M.T.; Ge, Y.; Wang, H.; Ang, C.-W.; Su, W.; Harada, H. TRITON: High Speed Maritime Mesh Networks. In Proceedings of the IEEE International Symposium on Personal, Indoor and Mobile Radio Communications, Cannes, France, 15 September 2008; pp. 1–5.
- Pierson, W.J., Jr.; Moskowitz, L. A proposed spectral form for fully developed seas based on the similarity theory of S. A. Kitaigorodskii. J. Geosci. Res. 1964, 69, 5181–5190. [Google Scholar] [CrossRef]
- Nagaraj, S.V. Entropy-based spectrum sensing in cognitive radio. Signal Proc. 2009, 89, 174–180. [Google Scholar] [CrossRef]
- Zhang, Y.L.; Zhang, Q.Y.; Melodia, T. A frequency-domain entropy-based detector for robust spectrum sensing in cognitive radio networks. Commun. Letters 2010, 14, 533–535. [Google Scholar] [CrossRef]
- Sabat, S.L.; Srinu, S.; Raveendranadh, A.; Udgata, S.K. Spectrum sensing based on entropy estimation using cyclostationary features for Cognitive radio. In Proceedings of the IEEE International Conference on Communication Systems and Networks (COMSNETS), Bangalore, India, 3 January 2012; pp. 1–6.
- Xia, H.; Zhang, G.; Ding, Y. Spectral Entropy Based Primary User Detection in Cognitive Radio. In Proceedings of the IEEE International Conference on Wireless Communications, Networking and Mobile Computing, Beijing, China, 24 September 2009; pp. 1–4.
- Zhang, Y.; Zhang, Q.; Wu, S. Entropy-based robust spectrum sensing in cognitive radio. IET Commun. 2010, 4, 428–436. [Google Scholar] [CrossRef]
- Elliott, W. Results of a VHF propagation study. IEEE Trans. Antennas. Propag 1981, 29, 808–811. [Google Scholar] [CrossRef]
- Timmins, I.J.; O’Young, S. Marine communication channel codeling using the Finite-Difference time domain method. IEEE Trans. Veh. Technol. 2009, 58, 2626–2637. [Google Scholar] [CrossRef]
- Zhang, W.; Mallik, R.; Letaief, K. Optimization of cooperative spectrum sensing with energy detection in cognitive radio networks. IEEE Trans. Wireless Commun. 2009, 8, 5761–5766. [Google Scholar] [CrossRef]
- Liang, Y.C.; Zeng, Y.; Peh, E.C.; Hoang, A.T. Sensing-throughput tradeoff for cognitive radio networks. IEEE Trans. Wireless Commun. 2008, 7, 1326–1337. [Google Scholar] [CrossRef]
- Snyman, J.A. Practical Mathematical Optimization; Springer: New York, NY, USA, 2005. [Google Scholar]
- IEEE Computer Society. IEEE Std 802.22-2011 Part 22: Cognitive Wireless RAN Medium Access Control (MAC) and Physical Layer (PHY) Specifications: Policies and Procedures for Operation in the TV Bands. IEEE Standard for Information technology. pp. 1–672. Available online: http://ieeexplore.ieee.org/xpl/articleDetails.jsp?arnumber=5951707 (accessed on 15 October 2012).
- Gelabert, X.; Akylidiz, I.F.; Sallent, O.; Agusti, R. Operating point selection for primary and secondary users in cognitive radio networks. Comput. Networ. 2009, 53, 1158–1170. [Google Scholar] [CrossRef]
© 2013 by the authors; licensee MDPI, Basel, Switzerland. This article is an open access article distributed under the terms and conditions of the Creative Commons Attribution license (http://creativecommons.org/licenses/by/3.0/).