Realistic Many-Body Quantum Systems vs. Full Random Matrices: Static and Dynamical Properties
Abstract
:1. Introduction
2. Full Random Matrices and Thermalization
2.1. Eigenvalues: Density of States and Level Repulsion
2.2. Eigenstates: Delocalization and Entanglement Measures
2.3. Time Evolution: Entropy Growth and Survival Probability
2.3.1. Survival Probability and Power Law Decays
2.3.2. Entropy Growth
2.4. Relaxation and Thermalization
2.4.1. Infinite-Time Averages
2.4.2. Thermalization in Full Random Matrices
3. Realistic Integrable and Chaotic Models
3.1. Delocalization and Entanglement Measures: Basis Dependence
3.2. Dynamics at Intermediate Times: Generic Behaviors
3.3. Dynamics at Long Times
4. Discussion
- The results for the von Neumann entanglement entropy , which is a concept employed in quantum information science, and for the Shannon information entropy , which is generally used as a measurement of the degree of delocalization of quantum states, were very similar. Thus, either one can be used to measure the level of complexity of the eigenstates. The advantage of the Shannon entropy is that it is computationally less expensive than the entanglement entropy. The disadvantage is that it is strongly dependent on the basis chosen.
- For full random matrices, all eigenstates are pseudo-random vectors and therefore lead to the same values of , but the results for realistic systems depend on the region of the spectrum and on the basis selected.
- An analytical expression was given for full random matrices for the time evolution of both entropies. It agrees extremely well with the numerical results. For the spin systems; this expression gives an upper bound for and .
- At short times, and show a nearly quadratic behavior. It is only at longer times that the linear increase, , develops. These two behaviors seem to be independent of the presence or absence of level repulsion.
- In realistic chaotic models, the spectrum is not as rigid as that of full random matrices. When comparing different chaotic models, it is appropriate to compare different signatures of chaos, such as those that detect short-range and also long-range correlations.
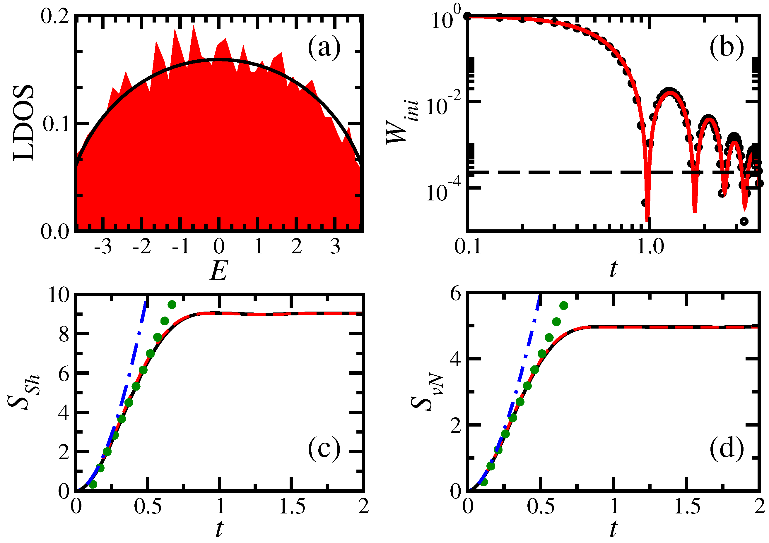
- Analytical expressions for the decay of the survival probability, , were given for full random matrices and for the spin systems. For realistic models, integrable or chaotic, the decay at short times is Gaussian when the perturbation that takes the system out of equilibrium is strong. The decay is faster for full random matrices.
- At long times, the decay of the survival probability becomes a power law, , with for full random matrices and for the spin systems. The emergence of a power law decay at long times should have interesting consequences for problems associated with quantum information science and foundations of quantum mechanics. One should expect, for example, that external actions on the system, such as measurements, performed at long times may change the power law decay and recover Gaussian or exponential decays. This idea was explored in [83] for a one-body system interacting with an environment. It would be worth extending it also to many-body quantum systems.
- Equilibration and thermalization are trivially reached under full random matrices. In realistic models, the absence of degeneracies and the presence of chaotic states in the energy window sampled by the initial state are both key elements for achieving thermal equilibrium.
5. Materials and Methods
Acknowledgments
Author Contributions
Conflicts of Interest
References
- Preskill, J. Quantum computing and the entanglement frontier. In The Theory of the Quantum Worlds; Gross, D., Henneaux, M., Sevrin, A., Eds.; World Scientific: Singapore, 2013; pp. 63–90. [Google Scholar]
- White, S.R. Density matrix formulation for quantum renormalization groups. Phys. Rev. Lett. 1992, 69, 2863. [Google Scholar] [CrossRef] [PubMed]
- Feiguin, A.E.; White, S.R. Time-step targeting methods for real-time dynamics using the density matrix renormalization group. Phys. Rev. B 2005, 72, 020404. [Google Scholar] [CrossRef]
- Eisert, J.; Cramer, M.; Plenio, M.B. Colloquium: Area laws for the entanglement entropy. Rev. Mod. Phys. 2010, 82, 277. [Google Scholar] [CrossRef]
- Zelevinsky, V.; Brown, B.A.; Frazier, N.; Horoi, M. The nuclear shell model as a testing ground for many-body quantum chaos. Phys. Rep. 1996, 276, 85–176. [Google Scholar] [CrossRef]
- Borgonovi, F.; Izrailev, F.M.; Santos, L.F.; Zelevinsky, V.G. Quantum chaos and thermalization in isolated systems of interacting particles. Phys. Rep. 2016, 626, 1–58. [Google Scholar] [CrossRef]
- D’Alessio, L.; Kafri, Y.; Polkovnikov, A.; Rigol, M. From quantum chaos and eigenstate thermalization to statistical mechanics and thermodynamics. 2015; arXiv:1509.06411. [Google Scholar]
- Guhr, T.; Mueller-Gröeling, A.; Weidenmüller, H.A. Random-matrix theories in quantum physics: Common concepts. Phys. Rep. 1998, 299, 189–425. [Google Scholar] [CrossRef]
- Gubin, A.; Santos, L.F. Quantum chaos: An introduction via chains of interacting spins 1/2. Am. J. Phys. 2012, 80, 246–251. [Google Scholar] [CrossRef]
- Santos, L.F.; Rigolin, G.; Escobar, C.O. Entanglement versus chaos in disordered spin systems. Phys. Rev. A 2004, 69, 042304. [Google Scholar] [CrossRef]
- Mejia-Monasterio, C.; Benenti, G.; Carlo, G.G.; Casati, G. Entanglement across a transition to quantum chaos. Phys. Rev. A 2005, 71, 062324. [Google Scholar] [CrossRef]
- Lakshminarayan, A.; Subrahmanyam, V. Multipartite entanglement in a one-dimensional time-dependent Ising model. Phys. Rev. A 2005, 71, 062334. [Google Scholar] [CrossRef]
- Brown, W.G.; Santos, L.F.; Starling, D.J.; Viola, L. Quantum chaos, localization, and entanglement in disordered Heisenberg Models. Phys. Rev. E 2008, 77, 021106. [Google Scholar] [CrossRef] [PubMed]
- Dukesz, F.; Zilbergerts, M.; Santos, L.F. Interplay between interaction and (un)correlated disorder in one-dimensional many-particle systems: Delocalization and global entanglement. New J. Phys. 2009, 11, 043026. [Google Scholar] [CrossRef]
- Giraud, O.; Martin, J.; Georgeot, B. Entropy of entanglement and multifractal exponents for random states. Phys. Rev. A 2009, 79, 032308. [Google Scholar] [CrossRef]
- Izrailev, F.M.; Castañeda-Mendoza, A. Return probability: Exponential versus Gaussian decay. Phys. Lett. A 2006, 350, 355–362. [Google Scholar] [CrossRef]
- Torres-Herrera, E.J.; Santos, L.F. Quench dynamics of isolated many-body quantum systems. Phys. Rev. A 2014, 89, 043620. [Google Scholar] [CrossRef]
- Torres-Herrera, E.J.; Vyas, M.; Santos, L.F. General features of the relaxation dynamics of interacting quantum systems. New J. Phys. 2014, 16, 063010. [Google Scholar] [CrossRef]
- Torres-Herrera, E.J.; Santos, L.F. Isolated many-body quantum systems far from equilibrium: Relaxation process and thermalization. In Proceedings of the Fourth Conference on Nuclei and Mesoscopic Physics, East Lansing, MI, USA, 5–9 May 2014.
- Torres-Herrera, E.J.; Santos, L.F. Nonexponential fidelity decay in isolated interacting quantum systems. Phys. Rev. A 2014, 90, 033623. [Google Scholar] [CrossRef]
- Torres-Herrera, E.J.; Santos, L.F. Local quenches with global effects in interacting quantum systems. Phys. Rev. E 2014, 89, 062110. [Google Scholar] [CrossRef] [PubMed]
- Torres-Herrera, E.J.; Kollmar, D.; Santos, L.F. Relaxation and thermalization of isolated many-body quantum systems. Phys. Scr. 2015, 2015, 014018. [Google Scholar] [CrossRef]
- Torres-Herrera, E.J.; Santos, L.F. Dynamics at the many-body localization transition. Phys. Rev. B 2015, 92, 014208. [Google Scholar] [CrossRef]
- Torres-Herrera, E.J.; Távora, M.; Santos, L.F. Survival Probability of the Néel State in Clean and Disordered Systems: An Overview. Braz. J. Phys. 2016, 46, 239–247. [Google Scholar] [CrossRef]
- Távora, M.; Torres-Herrera, E.J.; Santos, L.F. Powerlaw Decay Exponents as Predictors of Thermalization in Many-Body Quantum Systems. 2016; arXiv:1601.05807. [Google Scholar]
- Bohigas, O.; Giannoni, M.J.; Schmit, C. Characterization of Chaotic Quantum Spectra and Universality of Level Fluctuation Laws. Phys. Rev. Lett. 1984, 52, 1. [Google Scholar] [CrossRef]
- Trotzky, S.; Cheinet, P.; Fölling, S.; Feld, M.; Schnorrberger, U.; Rey, A.M.; Polkovnikov, A.; Demler, E.A.; Lukin, M.D.; Bloch, I. Time-Resolved Observation and Control of Superexchange Interactions with Ultracold Atoms in Optical Lattices. Science 2008, 319, 295–299. [Google Scholar] [CrossRef] [PubMed]
- Trotzky, S.; Chen, Y.-A.; Flesch, A.; McCulloch, I.P.; Schollwöck, U.; Eisert, J.; Bloch, I. Probing the relaxation towards equilibrium in an isolated strongly correlated one-dimensional Bose gas. Nat. Phys. 2012, 8, 325–330. [Google Scholar] [CrossRef]
- Kinoshita, T.; Wenger, T.; Weiss, D.S. A quantum Newton’s cradle. Nature 2006, 440, 900–903. [Google Scholar] [CrossRef] [PubMed]
- Kaufman, A.M.; Tai, M.E.; Lukin, A.; Rispoli, M.; Schittko, R.; Preiss, P.M.; Greiner, M. Quantum thermalization through entanglement in an isolated many-body system. Science 2016, 353, 794–800. [Google Scholar] [CrossRef] [PubMed]
- Wigner, E.P. On the Distribution of the Roots of Certain Symmetric Matrices. Ann. Math. 1958, 67, 325–327. [Google Scholar] [CrossRef]
- Dyson, F.J. The Threefold Way. Algebraic Structure of Symmetry Groups and Ensembles in Quantum Mechanics. J. Math. Phys. 1962, 3, 1199–1215. [Google Scholar] [CrossRef]
- Mehta, M.L. Random Matrices; Academic Press: Boston, MA, USA, 1991. [Google Scholar]
- Wigner, E.P. Characteristic Vectors of Bordered Matrices With Infinite Dimensions. Ann. Math. 1955, 62, 548–564. [Google Scholar] [CrossRef]
- Amico, L.; Fazio, R.; Osterloh, A.; Vedral, V. Entanglement in many-body systems. Rev. Mod. Phys. 2008, 80, 517. [Google Scholar] [CrossRef]
- Lubkin, E. Entropy of an n-system from its correlation with a k-reservoir. J. Math. Phys. 1978, 19, 1028–1031. [Google Scholar] [CrossRef]
- Page, D.N. Average entropy of a subsystem. Phys. Rev. Lett. 1993, 71, 1291. [Google Scholar] [CrossRef] [PubMed]
- Erdélyi, A. Asymptotic Expansions of Fourier Integrals Involving Logarithmic Singularities. J. Soc. Ind. Appl. Math. 1956, 4, 38–47. [Google Scholar] [CrossRef]
- Urbanowski, K. General properties of the evolution of unstable states at long times. Eur. Phys. J. D 2009, 54, 25–29. [Google Scholar] [CrossRef]
- Khalfin, L.A. Contribution to the decay theory of a quasi-stationary state. Sov. J. Exp. Theor. Phys. 1958, 6, 1053–1063. [Google Scholar]
- Muga, J.G.; Ruschhaupt, A.; del Campo, A. Time in Quantum Mechanics; Springer: Berlin/Heidelberg, Germany, 2009; Volume 2, p. 362. [Google Scholar]
- Del Campo, A. Long-time behavior of many-particle quantum decay. Phys. Rev. A 2011, 84, 012113. [Google Scholar] [CrossRef]
- Flambaum, V.V.; Izrailev, F.M. Entropy production and wave packet dynamics in the Fock space of closed chaotic many-body systems. Phys. Rev. E 2001, 64, 036220. [Google Scholar] [CrossRef] [PubMed]
- Santos, L.F.; Borgonovi, F.; Izrailev, F.M. Chaos and Statistical Relaxation in Quantum Systems of Interacting Particles. Phys. Rev. Lett. 2012, 108, 094102. [Google Scholar] [CrossRef] [PubMed]
- Santos, L.F.; Borgonovi, F.; Izrailev, F.M. Onset of chaos and relaxation in isolated systems of interacting spins-1/2: Energy shell approach. Phys. Rev. E 2012, 85, 036209. [Google Scholar] [CrossRef] [PubMed]
- Berman, G.P.; Borgonovi, F.; Izrailev, F.M.; Smerzi, A. Irregular Dynamics in a One-Dimensional Bose System. Phys. Rev. Lett. 2004, 92, 030404. [Google Scholar] [CrossRef] [PubMed]
- Haldar, S.K.; Chavda, N.D.; Vyas, M.; Kota, V.K.B. Fidelity decay and entropy production in many-particle systems after random interaction quench. J. Stat. Mech. Theory Exp. 2016, 2016, 043101. [Google Scholar] [CrossRef]
- Srednicki, M. Thermal fluctuations in quantized chaotic systems. J. Phys. A Math. Gen. 1996, 29, L75. [Google Scholar] [CrossRef]
- Srednicki, M. The approach to thermal equilibrium in quantized chaotic systems. J. Phys. A Math. Gen. 1999, 32, 1163. [Google Scholar] [CrossRef]
- Reimann, P. Foundation of Statistical Mechanics under Experimentally Realistic Conditions. Phys. Rev. Lett. 2008, 101, 190403. [Google Scholar] [CrossRef] [PubMed]
- Short, A.J. Equilibration of quantum systems and subsystems. New J. Phys. 2011, 13, 053009. [Google Scholar] [CrossRef]
- Gramsch, C.; Rigol, M. Quenches in a quasidisordered integrable lattice system: Dynamics and statistical description of observables after relaxations. Phys. Rev. A 2012, 86, 053615. [Google Scholar] [CrossRef]
- Venuti, L.C.; Zanardi, P. Gaussian equilibration. Phys. Rev. E 2013, 87, 012106. [Google Scholar] [CrossRef] [PubMed]
- He, K.; Santos, L.F.; Wright, T.M.; Rigol, M. Single-particle and many-body analyses of a quasiperiodic integrable system after a quench. Phys. Rev. A 2013, 87, 063637. [Google Scholar] [CrossRef]
- Zangara, P.R.; Dente, A.D.; Torres-Herrera, E.J.; Pastawski, H.M.; Iucci, A.; Santos, L.F. Time fluctuations in isolated quantum systems of interacting particles. Phys. Rev. E 2013, 88, 032913. [Google Scholar] [CrossRef] [PubMed]
- Kiendl, T.; Marquardt, F. Many-particle dephasing after a quench. 2016; arXiv:1603.01071. [Google Scholar]
- Chirikov, B.V. Transient chaos in quantum and classical mechanics. Found. Phys. 1986, 16, 39–49. [Google Scholar] [CrossRef]
- Chirikov, B.V. Linear and nonlinear dynamical chaos. Open Sys. Inf. Dyn. 1997, 4, 241–280. [Google Scholar] [CrossRef]
- Robinett, R.W. Quantum wave packet revivals. Phys. Rep. 2004, 392, 1–119. [Google Scholar] [CrossRef]
- Polkovnikov, A. Microscopic diagonal entropy and its connection to basic thermodynamic relations. Ann. Phys. 2011, 326, 486–499. [Google Scholar] [CrossRef]
- Santos, L.F.; Polkovnikov, A.; Rigol, M. Entropy of isolated quantum systems after a quench. Phys. Rev. Lett. 2011, 107, 040601. [Google Scholar] [CrossRef] [PubMed]
- Santos, L.F.; Polkovnikov, A.; Rigol, M. Weak and strong typicality in quantum systems. Phys. Rev. E 2012, 86, 010102. [Google Scholar] [CrossRef] [PubMed]
- Deutsch, J.M. Quantum statistical mechanics in a closed system. Phys. Rev. A 1991, 43, 2046. [Google Scholar] [CrossRef] [PubMed]
- Srednicki, M. Chaos and quantum thermalization. Phys. Rev. E 1994, 50, 888. [Google Scholar] [CrossRef]
- Rigol, M.; Dunjko, V.; Olshanii, M. Thermalization and its mechanism for generic isolated quantum systems. Nature 2008, 452, 854–858. [Google Scholar] [CrossRef] [PubMed]
- Rigol, M. Breakdown of thermalization in finite one-dimensional systems. Phys. Rev. Lett. 2009, 103, 100403. [Google Scholar] [CrossRef] [PubMed]
- Rigol, M. Quantum quenches and thermalization in one-dimensional fermionic systems. Phys. Rev. A 2009, 80, 053607. [Google Scholar] [CrossRef]
- Torres-Herrera, E.J.; Santos, L.F. Effects of the interplay between initial state and Hamiltonian on the thermalization of isolated quantum many-body systems. Phys. Rev. E 2013, 88, 042121. [Google Scholar] [CrossRef] [PubMed]
- He, K.; Rigol, M. Initial-state dependence of the quench dynamics in integrable quantum systems. III. Chaotic states. Phys. Rev. A 2013, 87, 043615. [Google Scholar] [CrossRef]
- Santos, L.F.; Rigol, M. Onset of quantum chaos in one-dimensional bosonic and fermionic systems and its relation to thermalization. Phys. Rev. E 2010, 81, 036206. [Google Scholar] [CrossRef] [PubMed]
- Rigol, M.; Santos, L.F. Quantum chaos and thermalization in gapped systems. Phys. Rev. A 2010, 82, 011604. [Google Scholar] [CrossRef]
- Santos, L.F.; Rigol, M. Localization and the effects of symmetries in the thermalization properties of one-dimensional quantum systems. Phys. Rev. E 2010, 82, 031130. [Google Scholar] [CrossRef] [PubMed]
- Neuenhahn, C.; Marquardt, F. Thermalization of interacting fermions and delocalization in Fock space. Phys. Rev. E 2012, 85, 060101. [Google Scholar] [CrossRef] [PubMed]
- Jensen, R.V.; Shankar, R. Statistical Behavior in Deterministic Quantum Systems with Few Degrees of Freedom. Phys. Rev. Lett. 1985, 54, 1879. [Google Scholar] [CrossRef] [PubMed]
- Dyson, F.J. Statistical Theory of the Energy Levels of Complex Systems. I. J. Math. Phys. 1962, 3, 140–156. [Google Scholar] [CrossRef]
- French, J.B.; Wong, S.S.M. Validity of random matrix theories for many-particle systems. Phys. Lett. B 1970, 33, 449–452. [Google Scholar] [CrossRef]
- Bohigas, O.; Flores, J. Two-body random Hamiltonian and level density. Phys. Lett. B 1971, 34, 261–263. [Google Scholar] [CrossRef]
- Brody, T.A.; Flores, J.; French, J.B.; Mello, P.A.; Pandey, A.; Wong, S.S.M. Random-matrix physics: Spectrum and strength fluctuations. Rev. Mod. Phys 1981, 53, 385. [Google Scholar] [CrossRef]
- Mirlin, A.D.; Fyodorov, Y.V.; Dittes, F.M.; Quezada, J.; Seligman, T.H. Transition from localized to extended eigenstates in the ensemble of power-law random banded matrices. Phys. Rev. E 1996, 54, 3221. [Google Scholar] [CrossRef]
- Santos, L.F. Integrability of a disordered Heisenberg spin-1/2 chain. J. Phys. A Math. Gen. 2004, 37, 4723. [Google Scholar] [CrossRef]
- Rufeil-Fiori, E.; Pastawski, H.M. Non-Markovian decay beyond the Fermi Golden Rule: Survival collapse of the polarization in spin chains. Chem. Phys. Lett. 2006, 420, 35–41. [Google Scholar] [CrossRef]
- Rufeil-Fiori, E.; Pastawski, H.M. Survival probability of a local excitation in a non-Markovian environment: Survival collapse, Zeno and anti-Zeno effects. Phys. B Condens. Matter 2009, 404, 2812–2815. [Google Scholar] [CrossRef]
- Lawrence, J. Nonexponential decay at late times and a different Zeno paradox. J. Opt. B 2002, 4, S446. [Google Scholar] [CrossRef]
- Sidje, R.B. Expokit: A software package for computing matrix exponentials. ACM Trans. Math. Softw. 1998, 24, 130–156. [Google Scholar] [CrossRef]
- Expokit. Available online: http://www.maths.uq.edu.au/expokit/ (accessed on 29 September 2016).







© 2016 by the authors; licensee MDPI, Basel, Switzerland. This article is an open access article distributed under the terms and conditions of the Creative Commons Attribution (CC-BY) license (http://creativecommons.org/licenses/by/4.0/).
Share and Cite
Torres-Herrera, E.J.; Karp, J.; Távora, M.; Santos, L.F. Realistic Many-Body Quantum Systems vs. Full Random Matrices: Static and Dynamical Properties. Entropy 2016, 18, 359. https://doi.org/10.3390/e18100359
Torres-Herrera EJ, Karp J, Távora M, Santos LF. Realistic Many-Body Quantum Systems vs. Full Random Matrices: Static and Dynamical Properties. Entropy. 2016; 18(10):359. https://doi.org/10.3390/e18100359
Chicago/Turabian StyleTorres-Herrera, Eduardo Jonathan, Jonathan Karp, Marco Távora, and Lea F. Santos. 2016. "Realistic Many-Body Quantum Systems vs. Full Random Matrices: Static and Dynamical Properties" Entropy 18, no. 10: 359. https://doi.org/10.3390/e18100359
APA StyleTorres-Herrera, E. J., Karp, J., Távora, M., & Santos, L. F. (2016). Realistic Many-Body Quantum Systems vs. Full Random Matrices: Static and Dynamical Properties. Entropy, 18(10), 359. https://doi.org/10.3390/e18100359
