On Shock Propagation through Double-Bend Ducts by Entropy-Generation-Based Artificial Viscosity Method
Abstract
1. Introduction
2. Governing Equations & Numerical Approach
2.1. Governing Equations
2.2. Numerical Approach
3. Problem Setup
4. Results and Discussion
4.1. General Flow Evolution
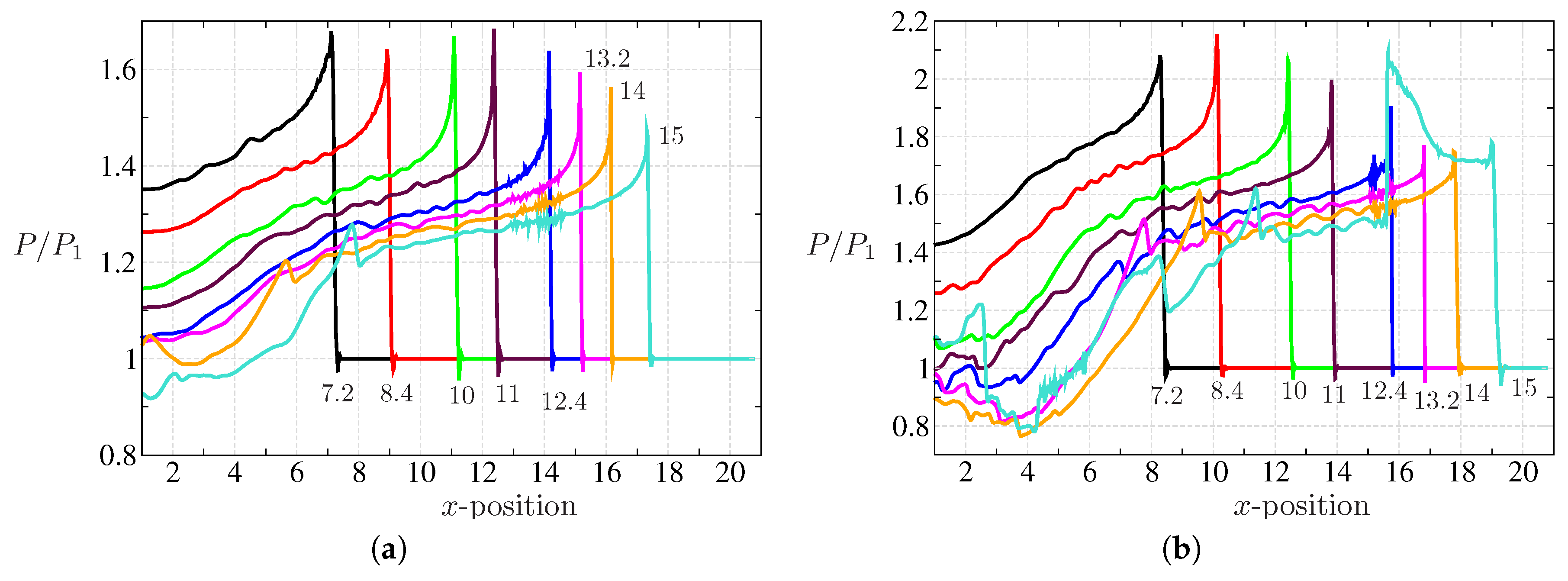
4.2. Comparison with Experimental Results
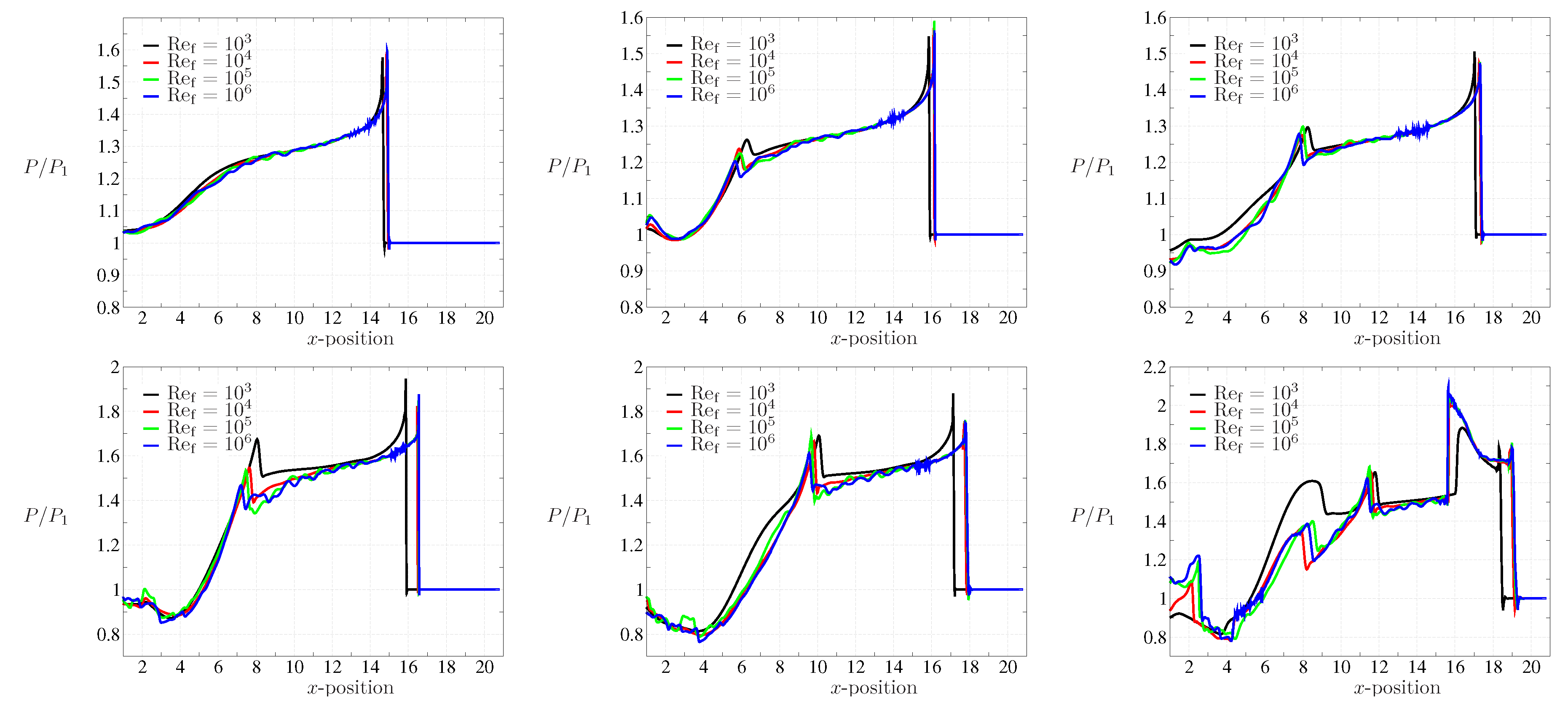
4.3. Shock-Wave Attenuation and Effect of
5. Conclusions
Funding
Acknowledgments
Conflicts of Interest
References
- Chaudhuri, A.; Hadjadj, A.; Sadot, O.; Ben-Dor, G. Numerical study of shock-wave mitigation through matrices of solid obstacles. Shock Waves 2013, 23, 91–101. [Google Scholar] [CrossRef]
- Igra, O.; Falcovitz, J.; Houas, L.; Jourdan, G. Review of methods to attenuate shock/blast waves. Prog. Aerosp. Sci. 2013, 58, 1–35. [Google Scholar] [CrossRef]
- Tseng, T.I.; Yang, R.J. Numerical simulation of vorticity production in shock diffraction. AIAA J. 2006, 44, 1040–1047. [Google Scholar] [CrossRef]
- Berger, S.; Sadot, O.; Ben-Dor, G. Experimental investigation on the shock-wave load attenuation by geometrical means. Shock Waves 2010, 20, 29–40. [Google Scholar] [CrossRef]
- Chaudhuri, A.; Hadjadj, A.; Sadot, O.; Glazer, E. Computational study of shock-wave interaction with solid obstacles using immersed boundary methods. Int. J. Numer. Methods Eng. 2012, 89, 975–990. [Google Scholar] [CrossRef]
- Reeves, J.O.; Skews, B. Unsteady three-dimensional compressible vortex flows generated during shock wave diffraction. Shock Waves 2012, 22, 161–172. [Google Scholar] [CrossRef]
- Quinn, M.K.; Kontis, K. Pressure-sensitive paint measurements of transient shock phenomena. Sensors 2013, 13, 4404–4427. [Google Scholar] [CrossRef]
- Gnani, F.; Lo, K.; Zare-Behtash, H.; Kontis, K. Experimental investigation on shock wave diffraction over sharp and curved splitters. Acta Astronaut. 2014, 99, 143–152. [Google Scholar] [CrossRef]
- Gnani, F.; Lo, K.H.; Zare-Behtash, H.; Kontis, K. Shock Wave Diffraction Phenomena around Slotted Splitters. Aerospace 2015, 2, 1–16. [Google Scholar] [CrossRef]
- Wan, Q.; Eliasson, V. Numerical study of shock wave attenuation in two-dimensional ducts using solid obstacles: How to utilize shock focusing techniques to attenuate shock waves. Aerospace 2015, 2, 203–221. [Google Scholar] [CrossRef]
- Jeon, H.; Gross, J.; Estabrook, S.; Koumlis, S.; Wan, Q.; Khanolkar, G.; Tao, X.; Mensching, D.; Lesnick, E.; Eliasson, V. Shock wave attenuation using foam obstacles: does geometry matter? Aerospace 2015, 2, 353–375. [Google Scholar] [CrossRef]
- Ben-Dor, G.; Ben-Dor, G. Shock Wave Reflection Phenomena; Springer: Berlin/Heidelberg, Germany, 2007; Volume 2. [Google Scholar]
- Shadloo, M.; Hadjadj, A.; Chaudhuri, A. On the onset of postshock flow instabilities over concave surfaces. Phys. Fluids 2014, 26, 076101. [Google Scholar] [CrossRef]
- Soni, V.; Hadjadj, A.; Chaudhuri, A.; Ben-Dor, G. Shock-wave reflections over double-concave cylindrical reflectors. J. Fluid Mech. 2017, 813, 70–84. [Google Scholar] [CrossRef]
- Chaudhuri, A.; Hadjadj, A.; Chinnayya, A. On the use of immersed boundary methods for shock/obstacle interactions. J. Comput. Phys. 2011, 230, 1731–1748. [Google Scholar] [CrossRef]
- Glazer, E.; Sadot, O.; Hadjadj, A.; Chaudhuri, A. Velocity scaling of a shock wave reflected off a circular cylinder. Phys. Rev. E 2011, 83, 066317. [Google Scholar] [CrossRef]
- Chaudhuri, A.; Hadjadj, A. Numerical investigations of transient nozzle flow separation. Aerosp. Sci. Technol. 2016, 53, 10–21. [Google Scholar] [CrossRef]
- Patera, A.T. A spectral element method for fluid dynamics: laminar flow in a channel expansion. J. Comput. Phys. 1984, 54, 468–488. [Google Scholar] [CrossRef]
- Kopriva, D.A.; Kolias, J.H. A conservative staggered-grid Chebyshev multidomain method for compressible flows. J. Comput. Phys. 1996, 125, 244–261. [Google Scholar] [CrossRef]
- Kopriva, D.A. A staggered-grid multidomain spectral method for the compressible Navier–Stokes equations. J. Comput. Phys. 1998, 143, 125–158. [Google Scholar] [CrossRef]
- Jacobs, G.B.; Kopriva, D.A.; Mashayek, F. Validation study of a multidomain spectral code for simulation of turbulent flows. AIAA J. 2005, 43, 1256–1264. [Google Scholar] [CrossRef]
- Kopriva, D.A. Implementing Spectral Methods for Partial Differential Equations: Algorithms for Scientists and Engineers; Springer: Dordrecht, The Netherlands, 2009. [Google Scholar]
- Taylor, M.; Tribbia, J.; Iskandarani, M. The spectral element method for the shallow water equations on the sphere. J. Comput. Phys. 1997, 130, 92–108. [Google Scholar] [CrossRef]
- Karniadakis, G.; Sherwin, S. Spectral/hp Element Methods for CFD; Oxford University Press: Oxford, UK, 1999. [Google Scholar]
- Black, K. A conservative spectral element method for the approximation of compressible fluid flow. Kybernetika 1999, 35, 133–146. [Google Scholar]
- De Frutos, J.; Novo, J. A Spectral Element Method for the Navier–Stokes Equations with Improved Accuracy. SIAM J. Numer. Anal. 2000, 38, 799–819. [Google Scholar] [CrossRef]
- Taylor, M.A.; Fournier, A. A compatible and conservative spectral element method on unstructured grids. J. Comput. Phys. 2010, 229, 5879–5895. [Google Scholar] [CrossRef]
- Chauvière, C.; Owens, R.G. A new spectral element method for the reliable computation of viscoelastic flow. Comput. Methods Appl. Mech. Eng. 2001, 190, 3999–4018. [Google Scholar] [CrossRef]
- Sprague, M.; Geers, T. A spectral-element method for modelling cavitation in transient fluid–structure interaction. Int. J. Numer. Methods Eng. 2004, 60, 2467–2499. [Google Scholar] [CrossRef]
- Kreeft, J.; Gerritsma, M. Mixed mimetic spectral element method for Stokes flow: A pointwise divergence-free solution. J. Comput. Phys. 2013, 240, 284–309. [Google Scholar] [CrossRef]
- Cantwell, C.D.; Moxey, D.; Comerford, A.; Bolis, A.; Rocco, G.; Mengaldo, G.; De Grazia, D.; Yakovlev, S.; Lombard, J.E.; Ekelschot, D.; et al. Nektar++: An open-source spectral/hp element framework. Comput. Phys. Commun. 2015, 192, 205–219. [Google Scholar] [CrossRef]
- Ghaffari, A.; Mustafa, I.; Javed, T. Time Dependent Convective Non-Orthogonal Hiemenz Flow of Viscoelastic Walter’s B Fluid towards a Non-Uniformly Heated Vertical Surface: Using Spectral Method. Nihon Reoroji Gakkaishi 2018, 46, 155–164. [Google Scholar] [CrossRef]
- Mustafa, I.; Javed, T.; Ghaffari, A.; Khalil, H. Enhancement in heat and mass transfer over a permeable sheet with Newtonian heating effects on nanofluid: Multiple solutions using spectral method and stability analysis. Pramana 2019, 93, 53. [Google Scholar] [CrossRef]
- Chaudhuri, A.; Jacobs, G.; Don, W.; Abbassi, H.; Mashayek, F. Explicit discontinuous spectral element method with entropy generation based artificial viscosity for shocked viscous flows. J. Comput. Phys. 2017, 332, 99–117. [Google Scholar] [CrossRef]
- Sun, M.; Takayama, K. A note on numerical simulation of vortical structures in shock diffraction. Shock Waves 2003, 13, 25–32. [Google Scholar] [CrossRef]
- Sun, M.; Takayama, K. Vorticity production in shock diffraction. J. Fluid Mech. 2003, 478, 237–256. [Google Scholar] [CrossRef]
- Law, C.; Muritala, A.; Skews, B. Unsteady flow with separation behind a shock wave diffracting over curved walls. Shock Waves 2014, 24, 283–294. [Google Scholar] [CrossRef]
- Takayama, K.; Inoue, O. Shock wave diffraction over a 90 degree sharp corner—Posters presented at 18th ISSW. Shock Waves 1991, 1, 301–312. [Google Scholar] [CrossRef]
- Skews, B.; Law, C.; Muritala, A.; Bode, S. Shear layer behavior resulting from shock wave diffraction. Exp. Fluids 2012, 52, 417–424. [Google Scholar] [CrossRef]
- Kleine, H.; Klioutchnikov, I.; Olivier, H. Onset of shear layer instability in shock diffraction processes. In 29th International Symposium on Shock Waves 2; Springer: Cham, Switzerland, 2015; pp. 1315–1320. [Google Scholar] [CrossRef]
- Soni, V.; Chaudhuri, A.; Brahmi, N.; Hadjadj, A. Turbulent structures of shock-wave diffraction over 90° convex corner. Phys. Fluids 2019, 31, 086103. [Google Scholar] [CrossRef]
- Chaudhuri, A.; Jacobs, G. Dynamics of shock wave diffraction over sharp splitter geometry using entropy-based artificial viscosity method. Shock Waves 2019, 29, 101–115. [Google Scholar] [CrossRef]
- Chaudhuri, A. Shock propagation and diffraction through cavity. In Proceedings of the 59th Conference on Simulation and Modelling (SIMS 59), Oslo, Norway, 26–28 September 2018; Linköping University Electronic Press: Linköping, Sweden, 2018. Number 153. pp. 111–117. [Google Scholar]
- Igra, O.; Falcovitz, J.; Reichenbach, H.; Heilig, W. Experimental and numerical study of the interaction between a planar shock wave and a square cavity. J. Fluid Mech. 1996, 313, 105–130. [Google Scholar] [CrossRef]
- Igra, D.; Igra, O. Planar Shock-Wave Diffraction into a Square Cavity Filled with Different Gases. AIAA J. 2016, 54, 1798–1802. [Google Scholar] [CrossRef]
- Igra, O.; Wang, L.; Falcovitz, J.; Heilig, W. Shock wave propagation in a branched duct. Shock Waves 1998, 8, 375–381. [Google Scholar] [CrossRef]
- Biamino, L.; Jourdan, G.; Igra, O.; Mariani, C.; Tosello, R.; Leriche, D.; Houas, L. Experimental investigation of shock wave propagation in a 90 degree branched duct. Shock Waves 2014, 24, 307–315. [Google Scholar] [CrossRef]
- Igra, O.; Wu, X.; Falcovitz, J.; Meguro, T.; Takayama, K.; Heilig, W. Experimental and theoretical study of shock wave propagation through double-bend ducts. J. Fluid Mech. 2001, 437, 255–282. [Google Scholar] [CrossRef]
- Ducros, F.; Ferrand, V.; Nicoud, F.; Weber, C.; Darracq, D.; Gacherieu, C.; Poinsot, T. Large-eddy simulation of the shock/turbulence interaction. J. Comput. Phys. 1999, 152, 517–549. [Google Scholar] [CrossRef]
- Hadjadj, A.; Kudryavtsev, A. Computation and flow visualization in high-speed aerodynamics. J. Turbul. 2005, 6, N16. [Google Scholar] [CrossRef]













© 2019 by the author. Licensee MDPI, Basel, Switzerland. This article is an open access article distributed under the terms and conditions of the Creative Commons Attribution (CC BY) license (http://creativecommons.org/licenses/by/4.0/).
Share and Cite
Chaudhuri, A. On Shock Propagation through Double-Bend Ducts by Entropy-Generation-Based Artificial Viscosity Method. Entropy 2019, 21, 837. https://doi.org/10.3390/e21090837
Chaudhuri A. On Shock Propagation through Double-Bend Ducts by Entropy-Generation-Based Artificial Viscosity Method. Entropy. 2019; 21(9):837. https://doi.org/10.3390/e21090837
Chicago/Turabian StyleChaudhuri, Arnab. 2019. "On Shock Propagation through Double-Bend Ducts by Entropy-Generation-Based Artificial Viscosity Method" Entropy 21, no. 9: 837. https://doi.org/10.3390/e21090837
APA StyleChaudhuri, A. (2019). On Shock Propagation through Double-Bend Ducts by Entropy-Generation-Based Artificial Viscosity Method. Entropy, 21(9), 837. https://doi.org/10.3390/e21090837
