Joint User Scheduling, Relay Selection, and Power Allocation for Multi-Antenna Opportunistic Beamforming Systems
Abstract
:1. Introduction
- We present a downlink MOBR system in Rayleigh fading channels, which can obtain both multi-relay and multi-user selection gains.
- The influence of direct channel between BS and user is taken into consideration. Then, an optimization problem is proposed to maximize the achievable rate.
- The optimization problem is decomposed into two suboptimal issues. Based on the analyses of the two suboptimal issues, a joint iterative algorithm is used to achieve the solution of the original optimization problem.
2. System Model
3. Problem Formulation
3.1. Objective Function
3.2. Constraints
3.3. Optimization Problem
4. Problem Reformulation and Solution
4.1. Power Allocation
4.2. User Scheduling and Relay Selection
4.3. A Joint Iterative Algorithm
| Algorithm 1 A joint iterative algorithm. |
|
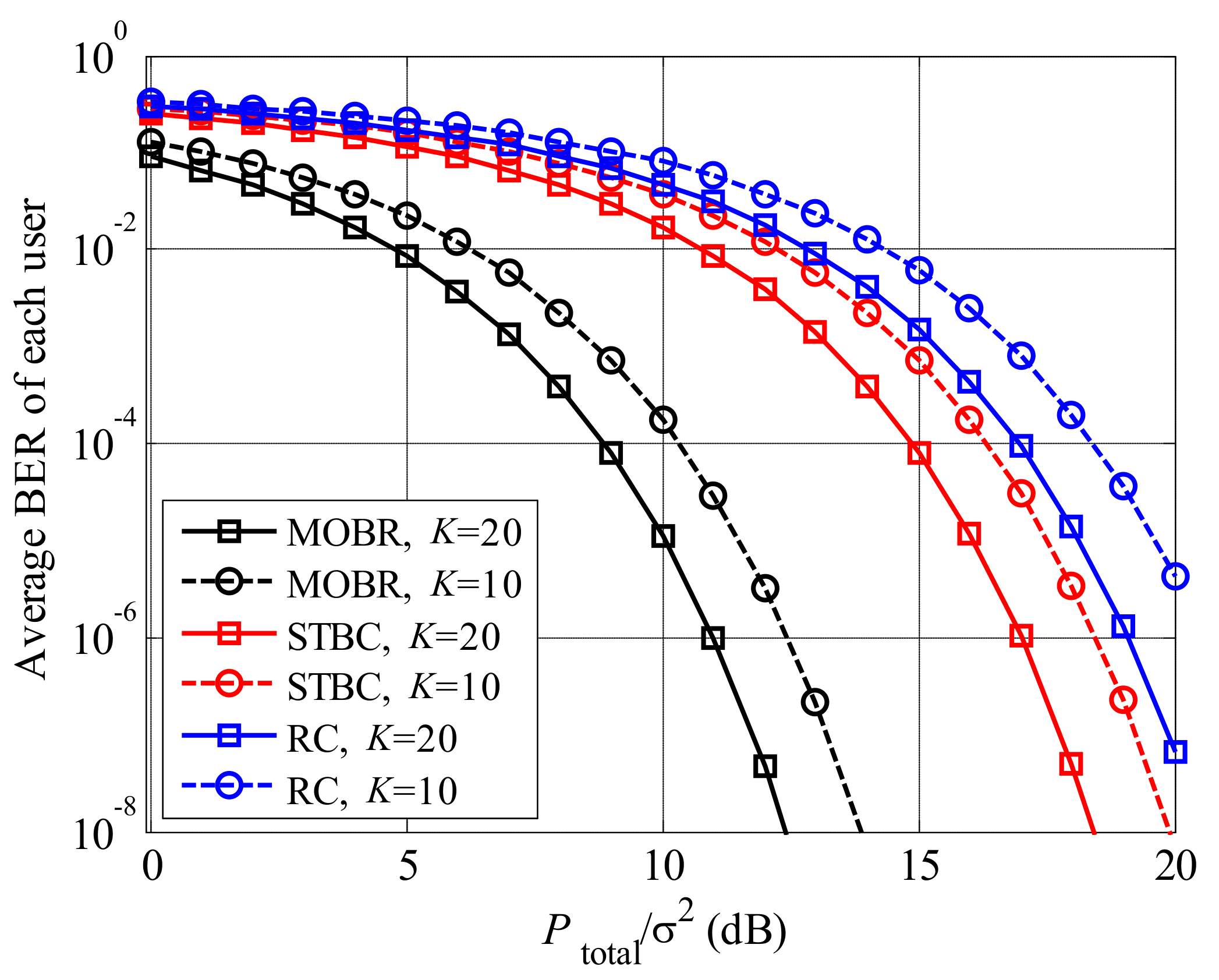
5. Numerical Results
6. Conclusions
Author Contributions
Funding
Institutional Review Board Statement
Informed Consent Statement
Data Availability Statement
Conflicts of Interest
Appendix A
| Scheme | Performance | 10 dB | 11 dB | 12 dB | 13 dB | 14 dB | 15 dB |
|---|---|---|---|---|---|---|---|
| MOBR | Achievable rate | 6.50 | 6.83 | 7.16 | 7.49 | 7.82 | 8.15 |
| Average BER | 0 | 0 | 0 | ||||
| GA-based | Achievable rate | 3.85 | 4.16 | 4.48 | 4.80 | 5.12 | 5.44 |
| Average BER | |||||||
| GSP-based | Achievable rate | 3.25 | 3.55 | 3.86 | 4.17 | 4.48 | 4.80 |
| Average BER | |||||||
| VQ-based | Achievable rate | 2.49 | 2.77 | 3.05 | 3.35 | 3.65 | 3.96 |
| Average BER |
| Notation | Meaning | Notation | Meaning |
|---|---|---|---|
| The number of transmit antennas | The received signals of users | ||
| The th transmit antenna | The power allocated to BS | ||
| U | The number of users | The power allocated to the kth relay | |
| u | The uth user | The received SNR of the uth user | |
| K | The number of relays | R | Achievable rate per unit bandwidth |
| k | The kth relay | The total power | |
| The random coefficient | The maximum power of relay | ||
| The amplitude of | Relay set | ||
| The phase of | User set | ||
| The vector form of | , | Power parameter | |
| j | The symbol of imaginary number | ,, | Variance |
| The channel from BS to user | Substitution variable, equals to | ||
| The th element of | The feasible region of | ||
| The channel from BS to relay | The left endpoint of | ||
| The th element of | The right endpoint of | ||
| The channel from relay to user | , | The optimal and | |
| , | Pilot signals | , | The received signals of pilot signals |
| The equivalent relay channel | , | The labels of iteration | |
| The equivalent direct channel | The stationary point method complexity | ||
| D,, | Objective functions | , | Substitution variables for simplification |
| , |
References
- Liu, X.; Huang, T.; Shlezinger, N.; Liu, Y.; Zhou, J.; Eldar, Y.C. Joint transmit beamforming for multiuser MIMO communications and MIMO radar. IEEE Trans. Signal Process. 2020, 68, 3929–3944. [Google Scholar] [CrossRef]
- Guo, J.; Yu, Q.; Meng, W.; Xiang, W. Energy-efficient hybrid precoder with adaptive overlapped subarrays for large-array mmwave systems. IEEE Trans. Wirel. Commun. 2019, 19, 1484–1502. [Google Scholar] [CrossRef]
- Elgenedy, M.; Papadopoulos, T.A.; Galli, S.; Chrysochos, A.I.; Papagiannis, G.K.; Al-Dhahir, N. MIMO-OFDM NB-PLC designs in underground medium-voltage networks. IEEE Syst. J. 2019, 13, 3759–3769. [Google Scholar] [CrossRef]
- Adnan, S.; Fu, Y.; Junejo, N.; Chen, Z.; Esmaiel, H. Sparse detection with orthogonal matching pursuit in multiuser uplink quadrature spatial modulation MIMO system. IET Commun. 2019, 13, 3472–3478. [Google Scholar] [CrossRef]
- Mubarak, A.S.; Omer, O.A.; Esmaiel, H.; Mohamed, U.S. Backhaul overhead traffic reduction in dense mmwave heterogeneous networks towards 5G cellular systems. In Proceedings of the 2019 36th National Radio Science Conference (NRSC) in China, Port Said, Egypt, 16–18 April 2019; pp. 234–241. [Google Scholar]
- Adnan, S.; Fu, Y.; Junejo, N.; Chen, Z.; Esmaiel, H. LTE/Wi-Fi/mmWave RAN-level interworking using 2C/U plane splitting for future 5G networks. IEEE Access 2018, 6, 53473–53488. [Google Scholar]
- Wang, J.; Qiu, Y.; Lin, S.; Wang, J.; Lin, M.; Liu, C. On the secrecy performance of random VLC networks with imperfect CSI and protected zone. IEEE Syst. J. 2020, 14, 4176–4187. [Google Scholar] [CrossRef] [Green Version]
- Viswanath, P.; Tse, D.N.C.; Laroia, R. Opportunistic beamforming using dumb antennas. IEEE Trans. Inform. Theory 2002, 48, 1277–1294. [Google Scholar] [CrossRef] [Green Version]
- Sun, W.; Yu, Q.; Meng, W.; Leung, V.C.M. Transmission mechanism and performance analysis of multiuser opportunistic beamforming in Rayleigh and Rician fading channels. IEEE Trans. Veh. Technol. 2018, 67, 9459–9473. [Google Scholar] [CrossRef]
- Kim, I.; Hong, S.; Ghassemzadeh, S.S.; Tarokh, V. Opportunistic beamforming based on multiple weighting vectors. IEEE Trans. Wirel. Commun. 2005, 4, 2683–2687. [Google Scholar]
- Ozdemir, O.; Torlak, M. Optimum feedback quantization in an opportunistic beamforming scheme. IEEE Trans. Wirel. Commun. 2010, 9, 1584–1593. [Google Scholar] [CrossRef]
- Pun, M.; Brown, D.R.; Poor, H.V. Opportunistic collaborative beamforming with one-bit feedback. IEEE Trans. Wirel. Commun. 2009, 8, 2629–2641. [Google Scholar] [CrossRef] [Green Version]
- Sun, W.; Yu, Q.; Guo, J.; Meng, W.; Leung, V.C.M. A joint iterative optimal resource allocation algorithm for non-orthogonal multi-user and multi-weight opportunistic beamforming systems. IEEE Trans. Veh. Technol. 2020, 69, 2864–2877. [Google Scholar] [CrossRef]
- Wang, T.; Fang, Y.; Vandendorpe, L. Novel subcarrier-pair based opportunistic DF protocol for cooperative downlink OFDMA. In Proceedings of the IEEE Wireless Communications and Networking Conference (WCNC), Shanghai, China, 7–10 April 2013. [Google Scholar]
- Abdelreheem, A.; Mohamed, E.M.; Esmaiel, H. Adaptive location-based millimetre wave beamforming using compressive sensing based channel estimation. IET Commun. 2019, 13, 1287–1296. [Google Scholar] [CrossRef]
- Abdelreheem, A.; Omer, O.A.; Esmaiel, H.; Mohamed, U.S. Location-based interference cancellation in device-to-device communications in millimeter wave beamforming. In Proceedings of the 2019 36th National Radio Science Conference (NRSC) in China, Port Said, Egypt, 16–18 April 2019; pp. 183–189. [Google Scholar]
- Nor, A.M.; Esmaiel, H.; Omer, O.A. Performance evaluation of proportional fairness scheduling in mmwave network. In Proceedings of the 2019 International Conference on Computer and Information Sciences (ICCIS), Sakaka, Saudi Arabia, 3–4 April 2019; pp. 491–496. [Google Scholar]
- Samarasinghe, T.; Inaltekin, H.; Evans, J.S. Modeling and analysis of opportunistic beamforming for poisson wireless networks. IEEE Trans. Wirel. Commun. 2016, 15, 3732–3745. [Google Scholar] [CrossRef]
- Zhang, Q.; Xi, Q.; He, C.; Jiang, L. User clustered opportunistic beamforming for stratospheric communications. IEEE Commun. Lett. 2016, 20, 1832–1835. [Google Scholar] [CrossRef]
- Li, G.; Mishra, D.; Hu, Y.; Huang, Y.; Jiang, H. Adaptive relay selection strategies for cooperative NOMA networks with user and relay cooperation. IEEE Trans. Veh. Technol. 2020, 69, 11728–11742. [Google Scholar] [CrossRef]
- Ju, M.; Yang, H. Optimum design of energy harvesting relay for two-way decode-and-forward relay networks under max-min and max-sum criterions. IEEE Trans. Commun. 2019, 67, 6682–6697. [Google Scholar] [CrossRef]
- Li, W.; Dong, M. Joint relay beamforming and receiver processing for multi-way multi-antenna relay networks. IEEE Trans. Commun. 2018, 66, 576–588. [Google Scholar] [CrossRef]
- Sondes, M.; Noureddine, H. Cooperative diversity with opportunistic beamforming in MIMO systems. In Proceedings of the International Conference on Wireless and Ubiquitous Systems, Sousse, Tunisia, 8–10 October 2010. [Google Scholar]
- Hwang, D.; Clerckx, B.; Nam, S.S.; Lee, T. Opportunistic multiuser two-way amplify-and-forward relaying with a multiantenna relay. IEEE Trans. Veh. Technol. 2016, 65, 3777–3782. [Google Scholar] [CrossRef] [Green Version]
- Heidari, V.; Amidzade, M.; Sadeghi, K.; Pezeshk, A.M. Exact solutions of time difference of arrival source localisation based on semi-definite programming and Lagrange multiplier: Complexity and performance analysis. IET Signal Process. 2014, 8, 868–877. [Google Scholar] [CrossRef]
- 3GPP TR 25.996 V7.0.0, 3rd Generation Partnership Project (Release7). 2007. Available online: http://www.3gpp.org (accessed on 25 September 2021).
- Hou, T.; Sun, X.; Song, Z. Outage performance for non-orthogonal multiple access with fixed power allocation over Nakagami-m fading channels. IEEE Commun. Lett. 2018, 22, 744–747. [Google Scholar] [CrossRef]
- Makki, B.; Ide, A.; Svensson, T.; Eriksson, T.; Alouini, M. A genetic algorithm-based antenna selection approach for large-but-finite MIMO networks. IEEE Trans. Veh. Technol. 2017, 66, 6591–6595. [Google Scholar] [CrossRef] [Green Version]
- Deng, D.; Zhao, M. Linear dispersion codes design based on Grassmannian subspace packing. In Proceedings of the International Conference on Communications and Networking in China, Maoming, China, 14–16 August 2014. [Google Scholar]
- Tseng, F.; Hsu, C. Robust multiple-antenna cooperative spectrum sharing design with random vector quantization. IEEE Trans. Veh. Technol. 2014, 63, 3232–3249. [Google Scholar] [CrossRef]
- Choi, J. A variational inference-based detection method for repetition coded generalized spatial modulation. IEEE Trans. Commun. 2019, 67, 2569–2579. [Google Scholar] [CrossRef]
- Mushtaq, E.; Ali, S.; Hassan, S.A. On decoupled decoding of quasi-orthogonal STBCs using quaternion algebra. IEEE Syst. J. 2019, 13, 1580–1586. [Google Scholar] [CrossRef]
- Zhu, J.; Wang, J.; Huang, Y.; Navaie, K.; Ding, Z.; Yang, L. On optimal beamforming design for downlink MISO NOMA systems. IEEE Trans. Veh. Technol. 2020, 69, 3008–3020. [Google Scholar] [CrossRef]












| Simulation Parameters | Value |
|---|---|
| Number of transmit antennas | 4 |
| AWGN variance , | |
| Ratio of transmit power to noise variance | [0–20] (dB) |
| Number of relays K | [1–20] |
| Number of users U | [1–20] |
| The maximum power of relay | |
| Antenna distance in correlated channels [26] | 0.5 wavelength |
| Power angle spectrum in correlated channels [26] | Laplace distribution |
| Angular spread in correlated channels [26] | |
| Angle of arrival in correlated channels [26] |
Publisher’s Note: MDPI stays neutral with regard to jurisdictional claims in published maps and institutional affiliations. |
© 2021 by the authors. Licensee MDPI, Basel, Switzerland. This article is an open access article distributed under the terms and conditions of the Creative Commons Attribution (CC BY) license (https://creativecommons.org/licenses/by/4.0/).
Share and Cite
Sun, W.; Tao, M.; Yang, X.; Zhang, T.; Han, C.; Wang, L. Joint User Scheduling, Relay Selection, and Power Allocation for Multi-Antenna Opportunistic Beamforming Systems. Entropy 2021, 23, 1278. https://doi.org/10.3390/e23101278
Sun W, Tao M, Yang X, Zhang T, Han C, Wang L. Joint User Scheduling, Relay Selection, and Power Allocation for Multi-Antenna Opportunistic Beamforming Systems. Entropy. 2021; 23(10):1278. https://doi.org/10.3390/e23101278
Chicago/Turabian StyleSun, Wenbin, Mingliang Tao, Xin Yang, Tao Zhang, Chuang Han, and Ling Wang. 2021. "Joint User Scheduling, Relay Selection, and Power Allocation for Multi-Antenna Opportunistic Beamforming Systems" Entropy 23, no. 10: 1278. https://doi.org/10.3390/e23101278
APA StyleSun, W., Tao, M., Yang, X., Zhang, T., Han, C., & Wang, L. (2021). Joint User Scheduling, Relay Selection, and Power Allocation for Multi-Antenna Opportunistic Beamforming Systems. Entropy, 23(10), 1278. https://doi.org/10.3390/e23101278

