Continuous-Variable Quantum Key Distribution Based on Heralded Hybrid Linear Amplifier with a Local Local Oscillator
Abstract
:1. Introduction
2. Description of the LLO-CVQKD Scheme Based on Optical Amplifiers
2.1. Amplifier Compensation Scheme
2.2. Phase Recovery Scheme
3. Excess Noise Analysis
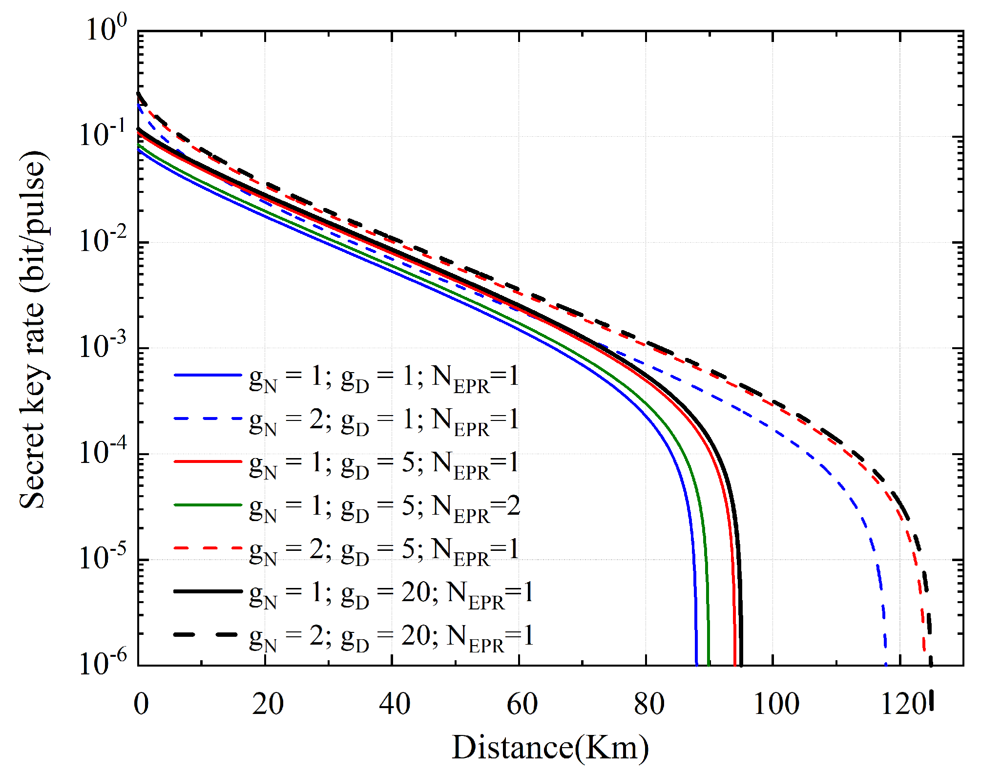
4. Security Analysis
5. Conclusions
Author Contributions
Funding
Data Availability Statement
Conflicts of Interest
References
- Bennett, C.H.; Brassard, G. Quantum cryptography: Public key distribution and coin tossing. Theor. Comput. Sci. 2014, 560, 7–11. [Google Scholar] [CrossRef]
- Scarani, V.; Bechmann-Pasquinucci, H.; Cerf, N.J.; Dušek, M.; Lütkenhaus, N.; Peev, M. The security of practical quantum key distribution. Rev. Mod. Phys. 2009, 81, 1301–1350. [Google Scholar] [CrossRef] [Green Version]
- Pirandola, S.; Andersen, U.L.; Banchi, L.; Berta, M.; Bunandar, D.; Colbeck, R.; Englund, D.; Gehring, T.; Lupo, C.; Ottaviani, C.; et al. Advances in quantum cryptography. Adv. Opt. Photon. 2020, 12, 1012–1236. [Google Scholar] [CrossRef] [Green Version]
- Gisin, N.; Ribordy, G.; Tittel, W.; Zbinden, H. Quantum cryptography. Rev. Mod. Phys. 2002, 74, 145–195. [Google Scholar] [CrossRef] [Green Version]
- Lo, H.K.; Curty, M.; Tamaki, K. Secure quantum key distribution. Nat. Photonics 2014, 8, 595–604. [Google Scholar] [CrossRef] [Green Version]
- Braunstein, S.L.; van Loock, P. Quantum information with continuous variables. Rev. Mod. Phys. 2005, 77, 513–577. [Google Scholar] [CrossRef] [Green Version]
- Weedbrook, C.; Pirandola, S.; García-Patrón, R.; Cerf, N.J.; Ralph, T.C.; Shapiro, J.H.; Lloyd, S. Gaussian quantum information. Rev. Mod. Phys. 2012, 84, 621–669. [Google Scholar] [CrossRef]
- Huang, D.; Huang, P.; Lin, D.; Zeng, G. Long-distance continuous-variable quantum key distribution by controlling excess noise. Sci. Rep. 2016, 6, 19201. [Google Scholar] [CrossRef] [Green Version]
- Zhong, H.; Zou, S.; Huang, D.; Guo, Y. Continuous-variable quantum key distribution coexisting with classical signals on few-mode fiber. Opt. Express 2021, 29, 14486–14504. [Google Scholar] [CrossRef]
- Weedbrook, C.; Lance, A.M.; Bowen, W.P.; Symul, T.; Ralph, T.C.; Lam, P.K. Quantum Cryptography Without Switching. Phys. Rev. Lett. 2004, 93, 170504. [Google Scholar] [CrossRef] [Green Version]
- Guo, Y.; Xie, C.; Liao, Q.; Zhao, W.; Zeng, G.; Huang, D. Entanglement-distillation attack on continuous-variable quantum key distribution in a turbulent atmospheric channel. Phys. Rev. A 2017, 96, 022320. [Google Scholar] [CrossRef]
- García-Patrón, R.; Cerf, N.J. Unconditional Optimality of Gaussian Attacks against Continuous-Variable Quantum Key Distribution. Phys. Rev. Lett. 2006, 97, 190503. [Google Scholar] [CrossRef] [Green Version]
- Navascués, M.; Grosshans, F.; Acín, A. Optimality of Gaussian Attacks in Continuous-Variable Quantum Cryptography. Phys. Rev. Lett. 2006, 97, 190502. [Google Scholar] [CrossRef] [Green Version]
- Leverrier, A.; Grosshans, F.; Grangier, P. Finite-size analysis of a continuous-variable quantum key distribution. Phys. Rev. A 2010, 81, 062343. [Google Scholar] [CrossRef] [Green Version]
- Furrer, F.; Franz, T.; Berta, M.; Leverrier, A.; Scholz, V.B.; Tomamichel, M.; Werner, R.F. Continuous Variable Quantum Key Distribution: Finite-Key Analysis of Composable Security against Coherent Attacks. Phys. Rev. Lett. 2012, 109, 100502. [Google Scholar] [CrossRef] [PubMed]
- Leverrier, A. Composable Security Proof for Continuous-Variable Quantum Key Distribution with Coherent States. Phys. Rev. Lett. 2015, 114, 070501. [Google Scholar] [CrossRef] [Green Version]
- Huang, J.Z.; Weedbrook, C.; Yin, Z.Q.; Wang, S.; Li, H.W.; Chen, W.; Guo, G.C.; Han, Z.F. Quantum hacking of a continuous-variable quantum-key-distribution system using a wavelength attack. Phys. Rev. A 2013, 87, 062329. [Google Scholar] [CrossRef] [Green Version]
- Ma, X.C.; Sun, S.H.; Jiang, M.S.; Liang, L.M. Wavelength attack on practical continuous-variable quantum-key-distribution system with a heterodyne protocol. Phys. Rev. A 2013, 87, 052309. [Google Scholar] [CrossRef] [Green Version]
- Jouguet, P.; Kunz-Jacques, S.; Diamanti, E. Preventing calibration attacks on the local oscillator in continuous-variable quantum key distribution. Phys. Rev. A 2013, 87, 062313. [Google Scholar] [CrossRef] [Green Version]
- Ma, X.C.; Sun, S.H.; Jiang, M.S.; Liang, L.M. Local oscillator fluctuation opens a loophole for Eve in practical continuous-variable quantum-key-distribution systems. Phys. Rev. A 2013, 88, 022339. [Google Scholar] [CrossRef] [Green Version]
- Qin, H.; Kumar, R.; Alléaume, R. Quantum hacking: Saturation attack on practical continuous-variable quantum key distribution. Phys. Rev. A 2016, 94, 012325. [Google Scholar] [CrossRef] [Green Version]
- Qi, B.; Lougovski, P.; Pooser, R.; Grice, W.; Bobrek, M. Generating the Local Oscillator “Locally” in Continuous-Variable Quantum Key Distribution Based on Coherent Detection. Phys. Rev. X 2015, 5, 041009. [Google Scholar] [CrossRef] [Green Version]
- Soh, D.B.S.; Brif, C.; Coles, P.J.; Lütkenhaus, N.; Camacho, R.M.; Urayama, J.; Sarovar, M. Self-Referenced Continuous-Variable Quantum Key Distribution Protocol. Phys. Rev. X 2015, 5, 041010. [Google Scholar] [CrossRef] [Green Version]
- Huang, D.; Huang, P.; Lin, D.; Wang, C.; Zeng, G. High-speed continuous-variable quantum key distribution without sending a local oscillator. Opt. Lett. 2015, 40, 3695–3698. [Google Scholar] [CrossRef] [PubMed]
- Wu, X.; Wang, Y.; Guo, Y.; Zhong, H.; Huang, D. Passive continuous-variable quantum key distribution using a locally generated local oscillator. Phys. Rev. A 2021, 103, 032604. [Google Scholar] [CrossRef]
- Ralph, T.C.; Lund, A.P. Nondeterministic Noiseless Linear Amplification of Quantum Systems. AIP Conf. Proc. 2009, 1110, 155–160. [Google Scholar] [CrossRef] [Green Version]
- Blandino, R.; Leverrier, A.; Barbieri, M.; Etesse, J.; Grangier, P.; Tualle-Brouri, R. Improving the maximum transmission distance of continuous-variable quantum key distribution using a noiseless amplifier. Phys. Rev. A 2012, 86, 012327. [Google Scholar] [CrossRef] [Green Version]
- Zhou, J.; Shi, R.; Feng, Y.; Shi, J.; Guo, Y. Enhancing continuous variable quantum key distribution with a heralded hybrid linear amplifier. J. Phys. A Math. Theor. 2019, 52, 245303. [Google Scholar] [CrossRef]
- Xiang, Y.; Wang, Y.; Ruan, X.; Zuo, Z.; Guo, Y. Improving the discretely modulated underwater continuous-variable quantum key distribution with heralded hybrid linear amplifier. Phys. Scr. 2021, 96, 065103. [Google Scholar] [CrossRef]
- Ferreyrol, F.; Barbieri, M.; Blandino, R.; Fossier, S.; Tualle-Brouri, R.; Grangier, P. Implementation of a Nondeterministic Optical Noiseless Amplifier. Phys. Rev. Lett. 2010, 104, 123603. [Google Scholar] [CrossRef] [Green Version]
- Ferreyrol, F.; Blandino, R.; Barbieri, M.; Tualle-Brouri, R.; Grangier, P. Experimental realization of a nondeterministic optical noiseless amplifier. Phys. Rev. A 2011, 83, 063801. [Google Scholar] [CrossRef] [Green Version]
- Barbieri, M.; Ferreyrol, F.; Blandino, R.; Tualle-Brouri, R.; Grangier, P. Nondeterministic noiseless amplification of optical signals: A review of recent experiments. Laser Phys. Lett. 2011, 8, 411–417. [Google Scholar] [CrossRef]
- Zavatta, A.; Fiurášek, J.; Bellini, M. A high-fidelity noiseless amplifier for quantum light states. Nat. Photonics 2011, 5, 52–56. [Google Scholar] [CrossRef] [Green Version]
- Xiang, G.Y.; Ralph, T.C.; Lund, A.P.; Walk, N.; Pryde, G.J. Heralded noiseless linear amplification and distillation of entanglement. Nat. Photonics 2010, 4, 316–319. [Google Scholar] [CrossRef]
- Usuga, M.A.; Müller, C.R.; Wittmann, C.; Marek, P.; Filip, R.; Marquardt, C.; Leuchs, G.; Andersen, U.L. Noise-powered probabilistic concentration of phase information. Nat. Physics 2010, 6, 767–771. [Google Scholar] [CrossRef] [Green Version]
- Hillery, M. Quantum cryptography with squeezed states. Phys. Rev. A 2000, 61, 022309. [Google Scholar] [CrossRef] [Green Version]
- Leonhardt, U.; Paul, H. High-Accuracy Optical Homodyne Detection with Low-Efficiency Detectors: “Preamplification” from Antisqueezing. Phys. Rev. Lett. 1994, 72, 4086–4089. [Google Scholar] [CrossRef]
- Levenson, J.A.; Abram, I.; Rivera, T.; Fayolle, P.; Garreau, J.C.; Grangier, P. Quantum optical cloning amplifier. Phys. Rev. Lett. 1993, 70, 267–270. [Google Scholar] [CrossRef]
- Bencheikh, K.; Lopez, O.; Abram, I.; Levenson, J.A. Improvement of photodetection quantum efficiency by noiseless optical preamplification. Appl. Phys. Lett. 1995, 66, 399–401. [Google Scholar] [CrossRef]
- Grosshans, F.; Van Assche, G.; Wenger, J.; Brouri, R.; Cerf, N.J.; Grangier, P. Quantum key distribution using gaussian-modulated coherent states. Nature 2003, 421, 238–241. [Google Scholar] [CrossRef] [Green Version]
- Grosshans, F.; Grangier, P. Continuous Variable Quantum Cryptography Using Coherent States. Phys. Rev. Lett. 2002, 88, 057902. [Google Scholar] [CrossRef] [Green Version]
- Caves, C.M. Quantum limits on noise in linear amplifiers. Phys. Rev. D 1982, 26, 1817–1839. [Google Scholar] [CrossRef]
- Fasel, S.; Gisin, N.; Ribordy, G.; Scarani, V.; Zbinden, H. Quantum Cloning with an Optical Fiber Amplifier. Phys. Rev. Lett. 2002, 89, 107901. [Google Scholar] [CrossRef] [PubMed] [Green Version]
- Ou, Z.Y.; Pereira, S.F.; Kimble, H.J. Quantum noise reduction in optical amplification. Phys. Rev. Lett. 1993, 70, 3239–3242. [Google Scholar] [CrossRef] [PubMed] [Green Version]
- Levenson, J.A.; Abram, I.; Rivera, T.; Grangier, P. Reduction of quantum noise in optical parametric amplification. J. Opt. Soc. Am. B 1993, 10, 2233–2238. [Google Scholar] [CrossRef]
- Qi, B.; Huang, L.L.; Qian, L.; Lo, H.K. Experimental study on the Gaussian-modulated coherent-state quantum key distribution over standard telecommunication fibers. Phys. Rev. A 2007, 76, 052323. [Google Scholar] [CrossRef] [Green Version]
- Fossier, S.; Diamanti, E.; Debuisschert, T.; Tualle-Brouri, R.; Grangier, P. Improvement of continuous-variable quantum key distribution systems by using optical preamplifiers. J. Phys. B At. Mol. Opt. Phys. 2009, 42, 114014. [Google Scholar] [CrossRef] [Green Version]
- Lodewyck, J.; Bloch, M.; García-Patrón, R.; Fossier, S.; Karpov, E.; Diamanti, E.; Debuisschert, T.; Cerf, N.J.; Tualle-Brouri, R.; McLaughlin, S.W.; et al. Quantum key distribution over 25 km with an all-fiber continuous-variable system. Phys. Rev. A 2007, 76, 042305. [Google Scholar] [CrossRef] [Green Version]





| Parameter | Value | Description |
|---|---|---|
| 0.6 | Modulation variance | |
| 98% | Reconciliation efficiency | |
| 0.6 | Detector efficiency | |
| 0.05 | Detector noise | |
| 0.04 | Phase noise variance | |
| Security parameter | ||
| N | Total photons | |
| Photon ratio used for key |
Publisher’s Note: MDPI stays neutral with regard to jurisdictional claims in published maps and institutional affiliations. |
© 2021 by the authors. Licensee MDPI, Basel, Switzerland. This article is an open access article distributed under the terms and conditions of the Creative Commons Attribution (CC BY) license (https://creativecommons.org/licenses/by/4.0/).
Share and Cite
Li, Y.; Wang, Y.; Mao, Y.; Peng, W.; Jin, D.; Guo, Y. Continuous-Variable Quantum Key Distribution Based on Heralded Hybrid Linear Amplifier with a Local Local Oscillator. Entropy 2021, 23, 1395. https://doi.org/10.3390/e23111395
Li Y, Wang Y, Mao Y, Peng W, Jin D, Guo Y. Continuous-Variable Quantum Key Distribution Based on Heralded Hybrid Linear Amplifier with a Local Local Oscillator. Entropy. 2021; 23(11):1395. https://doi.org/10.3390/e23111395
Chicago/Turabian StyleLi, Yin, Yijun Wang, Yun Mao, Weishao Peng, Di Jin, and Ying Guo. 2021. "Continuous-Variable Quantum Key Distribution Based on Heralded Hybrid Linear Amplifier with a Local Local Oscillator" Entropy 23, no. 11: 1395. https://doi.org/10.3390/e23111395
APA StyleLi, Y., Wang, Y., Mao, Y., Peng, W., Jin, D., & Guo, Y. (2021). Continuous-Variable Quantum Key Distribution Based on Heralded Hybrid Linear Amplifier with a Local Local Oscillator. Entropy, 23(11), 1395. https://doi.org/10.3390/e23111395

