Next Article in Journal
Entanglement-Assisted Joint Monostatic-Bistatic Radars
Next Article in Special Issue
Alpha-Beta Hybrid Quantum Associative Memory Using Hamming Distance
Previous Article in Journal
Complex Network Study of Solar Magnetograms
Previous Article in Special Issue
Quantum Information Entropies on Hyperbolic Single Potential Wells
 
 
Font Type:
Arial Georgia Verdana
Font Size:
Aa Aa Aa
Line Spacing:
Column Width:
Background:
Article

Pentapartite Entanglement Measures of GHZ and W-Class State in the Noninertial Frame

by
Juan Luis Manríquez Zepeda
1,
Juvenal Rueda Paz
1,
Manuel Avila Aoki
1 and
Shi-Hai Dong
2,3,*
1
Centro Universitario UAEM Valle de Chalco, Universidad Autónoma del Estado de México, Ecatepec de Morelos 56615, Mexico
2
Research Center for Quantum Physics, Huzhou University, Huzhou 313000, China
3
Laboratorio de Información Cuántica, CIDETEC, Instituto Politécnico Nacional, UPALM, Mexico City 07700, Mexico
*
Author to whom correspondence should be addressed.
Entropy 2022, 24(6), 754; https://doi.org/10.3390/e24060754
Submission received: 6 April 2022 / Revised: 1 May 2022 / Accepted: 24 May 2022 / Published: 26 May 2022
(This article belongs to the Special Issue Quantum Computation and Quantum Information)

Abstract

We study both pentapartite GHZ and W-class states in the noninertial frame and explore their entanglement properties by carrying out the negativities including 1-4, 2-3, and 1-1 tangles, the whole entanglement measures such as algebraic and geometric averages π 5 and Π 5 , and von Neumann entropy. We illustrate graphically the difference between the pentapartite GHZ and W-class states. We find that all 1-4, 2-3 tangles and the whole entanglements, which are observer dependent, degrade more quickly as the number of accelerated qubits increases. The entanglements of these quantities still exist even at the infinite acceleration limit. We also notice that all 1-1 tangles of pentapartite GHZ state N α β = N α I β = N α I β I = 0 where α , β ( A , B , C , D , E ) , whereas all 1-1 tangles of the W-class state N α β , N α I β and N α I β I are unequal to zero, e.g., N α β = 0.12111 but N α I β and N α I β I disappear at r > 0.61548 and r > 0.38671 , respectively. We notice that the entanglement of the pentapartite GHZ and W-class quantum systems decays faster as the number of accelerated particles increases. Moreover, we also illustrate the difference of von Neumann entropy between them and find that the entropy in the pentapartite W-class state is greater than that of GHZ state. The von Neumann entropy in the pentapartite case is more unstable than those of tripartite and tetrapartite subsystems in the noninertial frame.
PACS:
03. 67. a; 03. 67. Mn; 03. 65. Ud; 04. 70. Dy

1. Introduction

The transfer of quantum states between distant nodes of a quantum network is a basic task for quantum information processing. It is well known that all protocols used for quantum state transmission require entanglement between the sender and the receiver systems. Entanglement, which is at the basis of quantum mechanics and almost every quantum information protocol, has become a very interesting topic, particularly in many-body systems, with the recent development of quantum information technology. The correct understanding of entanglement is of importance due to its special application in many branches such as quantum teleportation, quantum communication and quantum cryptography [1,2,3,4,5,6,7,8,9,10], and quantum algorithms [11,12]. Moreover, it is also helpful in studying quantum communication protocols like quantum key distribution (QKD) [13].
Up to now, the development of quantum computing has required the study of multi-qubit entangled systems, so the entanglement properties of multipartite quantum systems under inertial frames are becoming more and more important. However, with the development of relativistic quantum information science, many authors have paid more and more attention to the development of this field. In order to study the property of quantum entangled state existing in the noninertial frame, we have to employ a relativistic setting [14,15,16]. The relativistic quantum information regarded as a new interesting field has emerged for many years since the relation between quantum information science and relativity theory intermediated by quantum field theory allows us to have a deeper understanding of the fundamental principles in quantum mechanics [17,18]. This also helps us explore how the degree of entanglement would be affected in curved space time, particularly by the acceleration parameter. Until now, quantum information theory has been enriched by the contributions of quantum entanglement made in the noninertial frame [19,20,21]. The properties of multipartite entangled systems are mainly related to the acceleration parameter and the number of particles in the noninertial system, which undoubtedly affect the entanglement degree of the entangled system.
In recent years, many relevant and significant contributions to this field have been made [1,3,14,15,16,22,23,24,25,26,27,28,29,30,31,32,33,34,35]. For example, since several pure multipartite entangled systems was studied [25], where the Unruh effect was discussed [19,20,21], the entanglement has been verified as an observer dependent in the noninertial frame. Compared with the well-known entangled stated-GHZ state [15,36,37,38,39,40,41], the authors paid less attention to the W-class state because its density matrix cannot be written as an X matrix form. Nevertheless, we have employed a special technique to study the density matrix in the non-X matrix form and carried out the tripartite and tetrapartite W-class state cases [42,43,44], except for the generalized GHZ state in the noninertial frame [45,46,47,48]. After studying, we find that the degree of entanglement of the W-class state is more robust than the GHZ and generalized GHZ states. It should be recognized that the entanglement for tripartite and tetrapartite systems still exists even at the infinite acceleration limit. However, Ye and her collaborators carried out the enhancement of multipartite entanglement in an open system in the noninertial frame [49]. Other relevant studies such as the fidelity loss and coherence loss, etc., in the open systems have also been done in Refs. [8,10].
Generally speaking, two main entanglement measures, which are named as negativity and von Neumann entropy, have been used to quantify the genuine entanglement. The negativity is employed to study the multi-tangle and the whole entanglement measures. The von Neumann entropy is concerned with the stability of the entangled system. For example, the three tangle, i.e., 1-2 tangle [50], was proposed to study the entanglement property of the entangled quantum system when tripartite Alice, Bob, and Charlie initially shared an arbitrary fermionic three-qubit pure state as well as the later proposed π -tangle [36]. The three tangle has interesting properties, but its analytical calculation becomes a nontrivial task because its calculation depends on the negativities of bipartite and tripartite systems. Similarly, four tangle has been proposed when we studied the tetrapartite systems, which include 1-3 and 2-2 tangles [42,44,45,47,48]. Recently, stimulated by the study of the tripartite and tetrapartite W-class state [42,43,44], Sun and her coauthors studied the entanglement property of a pentapartite W-class state in the noninertial frame and showed how the acceleration parameter and the number of the accelerated qubits affect the entanglement property of the pentapartite W-class entangled system [51]. This was realized by studying the π -tangle, including the 1-4, 1-1 tangles and the von Neumann entropy. However, they were not concerned with the 2-3 tangle case due to its complication, which is also an important factor to describe the entanglement property of the entangled system. Moreover, as the W-class and GHZ states are the two most important pure states in quantum information, it is necessary to study their entanglement properties simultaneously and show their difference graphically. To enrich the paper [51], we shall present all 1-4, 2-3 tangles and von Neumann entropy for these two important pure states for completeness, which is the main purpose of this work.
This paper is organized as follows. In Section 2, we briefly review the transformation between Minkowski space and Rindler coordinates. How to construct the density matrix for the simplest case is presented. In Section 3, we study the negativities, including 1-4, 2-3, and 1-1 tangles, whole entanglement measures π 5 and Π 5 and von Neumann entropy, which are illustrated graphically to show their difference. Finally, in Section 4 we summarize our conclusions.

2. Pentapartite Entanglement from One to Five Accelerated Observers

The pentapartite GHZ state that we are going to study in this work is given by
GHZ = 1 2 0 A 0 B 0 C 0 D 0 E + 1 A 1 B 1 C 1 D 1 E ,
where 0 A 0 B 0 C 0 D 0 E = 0 A 0 B 0 C 0 D 0 E so does the state 1 A 1 B 1 C 1 D 1 E , while the pentapartite W-class state has the following form [52]:
W = 1 5 0 A 0 B 0 C 0 D 1 E + 0 A 0 B 0 C 1 D 0 E + 0 A 0 B 1 C 0 D 0 E + 0 A 1 B 0 C 0 D 0 E + 1 A 0 B 0 C 0 D 0 E .
Here we use the subscripts A, B, C, D, and E to denote Alice, Bob, Charlie, David, and Elly (as we know, Eve is not of confidence), respectively. They initially share a pentapartite GHZ or W-class state in the inertial frame. In this work, we assume that the acceleration of particles always starts from the rightmost one in A(Alice), B(Bob), C(Charlie), D(David), E(Elly) qubits. That is to say, we first suppose that Elly is accelerated in a uniform acceleration but Alice, Bob, Charlie, and David remain stationary, and so on.
For entangled GHZ and W-Class states in the noninertial frame, let us use Rindler coordinates to describe a family of observers with a uniform acceleration and divide Minkowski space-time into two inaccessible regions I and II. The rightward accelerating observers are located in region I and causally disconnected from the analogous counterparts in region II [53,54]. Let us briefly review the connection between the vacuum and excitation states in Minkowski coordinates and those in Rindler coordinates. First, let Alice stay stationary, while Bob moves in a uniform acceleration. We consider Bob accelerated uniformly in the ( t , z ) plane. Rindler coordinates ( τ , ζ ) are appropriate for describing the viewpoint of an observer moving in a uniform acceleration. Two different sets of Rindler coordinates, which differ from each other by an overall change in sign, are necessary for covering Minkowski space. These sets of coordinates define two Rindler regions disconnected from each other, as shown in Figure 1 [16,55]:
t = a 1 e a ζ sinh ( a τ ) , z = a 1 e a ζ cosh ( a τ ) , Region I , t = a 1 e a ζ sinh ( a τ ) , z = a 1 e a ζ cosh ( a τ ) , Region II .
A free Dirac field in ( 3 + 1 ) dimensional Minkowski space satisfies the Dirac equation i γ μ μ ψ m ψ = 0 , where m is the particle mass and γ μ the Dirac gamma matrices. A spinor wave function ψ composed of the complete orthogonal set of fermion ψ k + and antifermion ψ k modes can be expressed as ψ = ( a k ψ k + + b k ψ k ) d k , where a k ( b k ) and a k ( b k ) are the creation and annihilation operators for fermions (antifermions) of the momentum k, respectively, satisfying the relation { a i , a j } = { b i , b j } = δ i j . The quantum field theory for a Rindler observer is constructed by expanding the spinor field in light of a complete set of fermion and antifermion modes in regions I and II as follows:
ψ = τ ( c k τ ψ k τ + + d k τ ψ k τ ) d k , τ { I , II } .
In a similar way, c k τ ( d k τ ) and c k τ ( d k τ ) are the creation and annihilation operators for fermion (antifermions), respectively, acting on region I (II) for τ = I ( II ) and also satisfy a similar anticommutation relation. The relation between creation and annihilation operators in Minkowski and Rindler space times can be found by the Bogoliubov transformation
a k = cos ( r ) c k I sin ( r ) d k II , b k = cos ( r ) d k I sin ( r ) c k II ,
where cos ( r ) = 1 / 1 + e 2 π ω k c / a with ω k = | k | 2 + m 2 and r is a Bob’s acceleration parameter with the range r [ 0 , π / 4 ] for a [ 0 , ) . It is known from this equation and its adjoint that Bogoliubov transformation mixes a fermion in region I and antifermions in region II. As a result, it is assumed that the Minkowski particle vacuum state for mode k based on Rindler Fock states is given by
| 0 k M = n = 0 1 A n | n k I + | n k I I ,
where the Rindler region I or II Fock states carry a subscript I and II, respectively, on the kets, but the Minkowski Fock states are indicated by the subscript M on the kets. As what follows, we are only interested in using single mode approximation [15,16,24,56,57,58,59], i.e., w A , B , C , D = w and also uniform acceleration a A , B , C , D = a ( a w , M a w , U is considered to relate Minkowski and Unruh modes) for simplicity.
Using the single mode approximation, one can transform Bob’s vacuum state | 0 B M and one-particle state | 1 B M in Minkowski space into Rindler space. Using the creation and annihilation operators on Equation (6) above and using the normalization condition, we can obtain [15,16,24,56,57,58,59]
| 0 M = cos ( r ) | 0 I 0 I I + sin ( r ) | 1 I 1 I I , | 1 M = | 1 I 0 I I ,
where | n B I and | n B I I ( n = 0 , 1 ) are the mode decomposition of | n B into two causally disconnected regions I and II in Rindler space. It should be pointed out that Bruschi et al. discussed the Unruh effect beyond the single mode approximation [21], in which two complex numbers q R and q L (the subindexes L and R corresponding to the Left and Right regions in Rindler diagram, i.e., regions I and II) are used to construct the one-particle state, i.e., | 1 = q R | 1 R 0 L + q L | 0 R 1 L . However, in the present case for single mode approximation, one has q R = 1 , q L = 0 to satisfy the normalization condition | q R | 2 + | q L | 2 = 1 . It is also worth noting that a Minkowski mode that defines the Minkowski vacuum is related to a highly nonmonochromatic Rindler mode rather than a single mode with the same frequency (see Refs. [21,30,60,61] for details). Other relevant contributions [31,59,62,63,64,65] have also been made.
To illustrate how to expand GHZ in Rindler coordinates, we are going to give explicit expression when Elly is accelerated, i.e.,
GHZ A B C D E I E II = 1 2 cos ( r ) 0 A 0 B 0 C 0 D 0 E I 0 E II + sin ( r ) 0 A 0 B 0 C 0 D 1 E I 1 E II + 1 A 1 B 1 C 1 D 1 E I 0 E II .
Similarly, we can also obtain the expressions of other cases when the observers Alice, Bob, Charlie, and David are accelerated. Such a procedure also works for the pentapartite W-class W case.
After the transformation to the Rindler space, we have to trace out the part of the antiparticle state in region II from the density matrix ρ A B C D E I = Tr E I I GHZ A B C D E I E II GHZ . In this case, when Elly is accelerated, the corresponding density matrix is thus given by
ρ A B C D E I = 1 2 ( cos 2 ( r ) 0 A 0 B 0 C 0 D 0 E 1 0 A 0 B 0 C 0 D 0 E I + cos ( r ) 0 A 0 B 0 C 0 D 0 E I 1 A 1 B 1 C 1 D 1 E I + cos 2 ( r ) 0 A 0 B 0 C 0 D 1 E I 0 A 0 B 0 C 0 D 1 E I + cos ( r ) 0 A 0 B 0 C 0 D 0 E I 1 A 1 B 1 C 1 D 1 E I + 1 A 1 B 1 C 1 D 1 E I 1 A 1 B 1 C 1 D 1 E I ) .
For simplicity, we write out explicitly all nonzero elements [ i , j ] for pentapartite GHZ and W-class states in Appendix A. These results will be helpful in calculating the negativity and von Neumann entropy, as shown below.

3. Entanglement Measures: Negativity and von Neumann Entropy

3.1. Negativity

Negativity, which is used to measure the entanglement of multipartite systems, is defined by [66,67,68]
N α , β γ δ ϵ = | | ρ α , β γ δ ϵ T α | | 1 , N α β , γ δ ϵ = | | ρ α β ( γ δ ϵ ) T α β | | 1 , N α , β = | | ρ α β T α | | 1 ,
where N α , β γ δ ϵ , N α β , γ δ ϵ and N α , β represent 1-4, 2-3, and 1-1 tangles, respectively. The expressions | | ρ α ( β γ δ ϵ ) T α | | , | | ρ α β ( γ δ ϵ ) T α β | | and | | ρ α β T α | | are the trace norms of the partial transposes of the density matrices. Generally speaking, the trace of any Hermitian operator A is equal to the sum of its eigenvalues [69], | | A | | = tr A A , i.e.,
| | M | | 1 = 2 i = 1 N | λ M ( ) | i ,
where λ M ( ) represents the negative eigenvalue of the matrix M. It should be pointed out the calculation of these negativities is very complicated and time consuming.
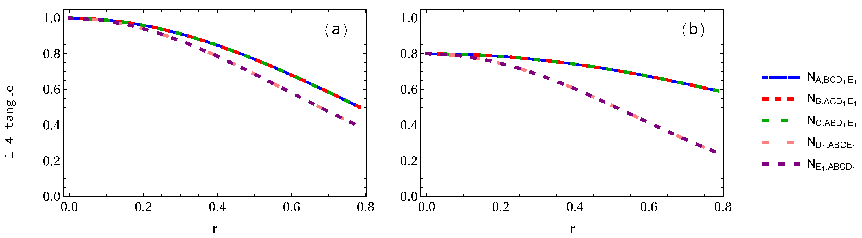
Let us first calculate the negativity 1-4 tangle for the GHZ and W-class states when 1 to 5 observer(s) is (are) accelerated. The explicit expressions of the pentapartite GHZ and W-class states are written out in Appendix B for completeness. (It should be pointed out that the special symbols such as Root , #, and & appeared in this Appendix B and also in Appendix C are generated systematically by Wolfram Mathematica.) In Figure 2, we plot the negativity 1-4 tangle of pentapartite GHZ and W-class states when only one of five observers is accelerated. It is seen in Figure 2a that the N A , B C D E 1 = N B , A C D E 1 = N C , A B D E 1 = N D , A B C E 1 decreases from 1 to 1 / 2 (29.29% loss of entanglement), whereas the N E 1 , A B C D decreases from 1 to 0.5 (50% loss of entanglement). This means that entanglement is observer dependent. Furthermore, in the case of the W-class state as shown in Figure 2b, the N A , B C D E 1 decreases from 0.8 to 0.7048 (11.891% loss of entanglement), but N E 1 , A B C D decreases from 0.8 to 0.29282 (63.4% loss of entanglement).
In Figure 3, we plot the negativity 1-4 tangle when two observers are accelerated. As shown in Figure 3a, the negativity 1-4 tangle N A , B C D 1 E 1 = N B , A C D 1 E 1 = N C , A B D 1 E 1 in the pentapartite GHZ system decreases from 1 to 0.5 (50% loss of entanglement), whereas N E 1 , A B C D 1 = N D 1 , A B C E 1 decreases to 0.3903 (60.97% loss of entanglement). In the case of the W-class state as displayed in Figure 3b, the negativity N A , B C D 1 E 1 decreases from 0.8 to 0.5924 (25.94% loss of entanglement), whereas the N E 1 , A B C D decreases from 0.8 to 0.24515 (81.86% loss of entanglement). We may conclude that the negativity N A , B C D 1 E 1 in the GHZ state decays faster than that of W-class state, but N E 1 , A B C D 1 in the GHZ state decays slower than that of W-class state.
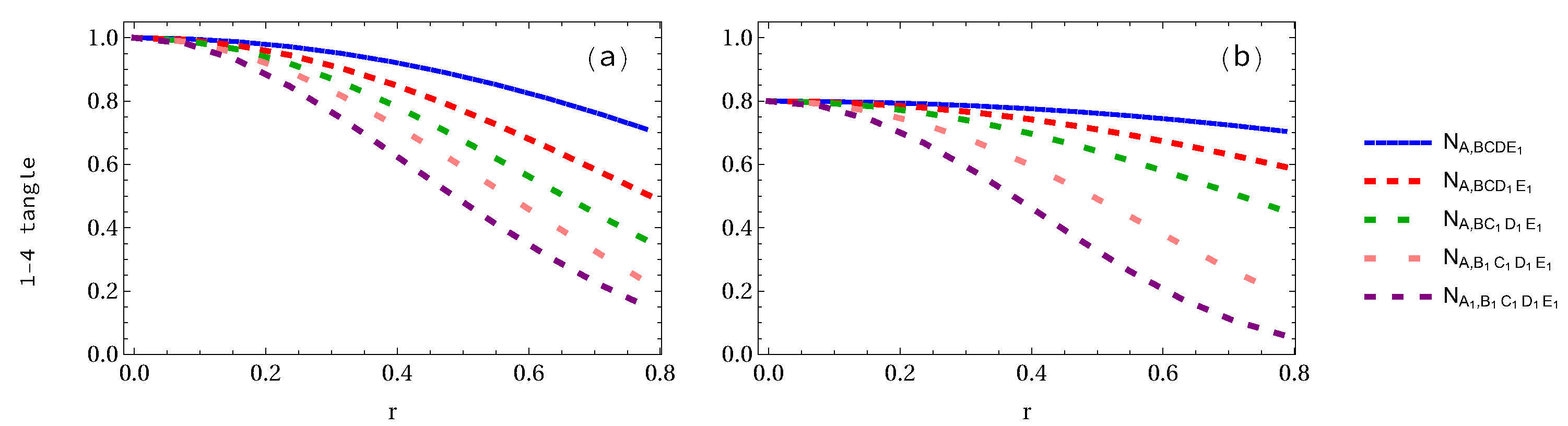
In Figure 4, we plot the negativity 1-4 tangle when three observers are accelerated. We can see in Figure 4a that negativity N A , B C 1 D 1 E 1 = N B , A C 1 D 1 E 1 in the GHZ pentapartite system decreases from 1 to 1 / 2 2 (64.65% loss of entanglement), and N E 1 , A B C 1 D 1 = N C 1 , A B D 1 E 1 = N D 1 , A B C 1 E 1 decreases to 0.2965 (70.35% loss of entanglement). However, in the case of the W-class state as shown in Figure 4b, N A , B C 1 D 1 E 1 decreases from 0.8 to 0.4529 (43.38% loss of entanglement), whereas N E 1 , A B C 1 D 1 decreases to 0.1966 (75.41% loss of entanglement).
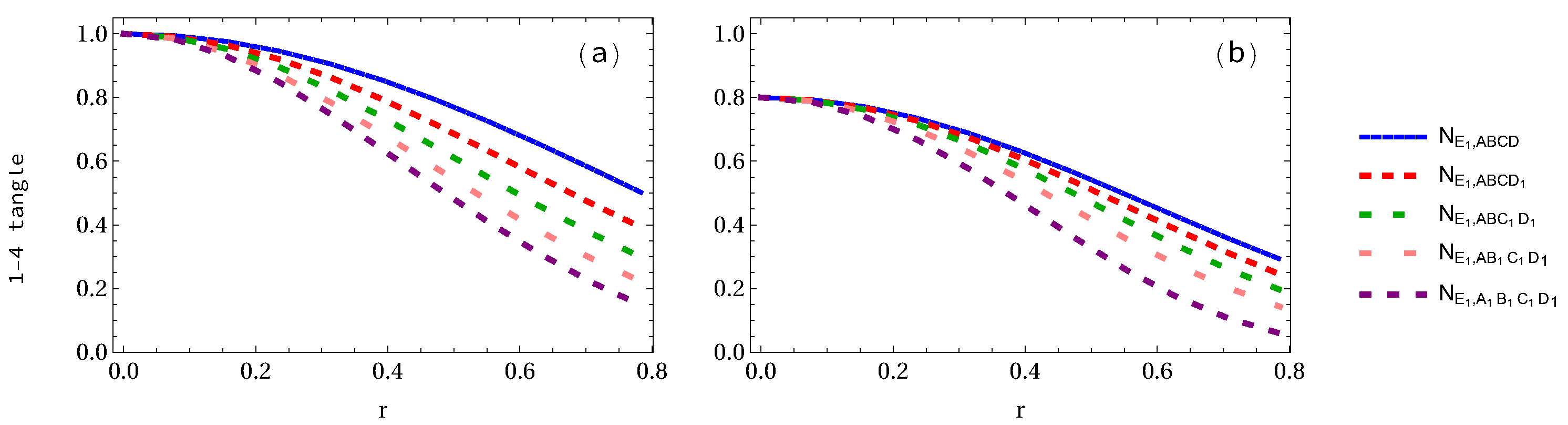
In Figure 5, we plot the negativity 1-4 tangle when four observers are accelerated. We can see in Figure 5a that negativity N A , B 1 C 1 D 1 E 1 in the GHZ pentapartite state decreases from 1 to 0.2206 (77.94% loss of entanglement), and N E 1 , A B 1 C 1 D 1 = N D 1 , A B 1 C 1 E 1 = N C 1 , A B 1 D 1 E 1 = N B 1 , A C 1 D 1 E 1 decreases also from 1 to 0.2206 (77.94% loss of entanglement). It should be emphasized that the negativities N A , B 1 C 1 D 1 E 1 and N E 1 , A B 1 C 1 D 1 at both r = 0 and r = π / 4 are the same, but their explicit expressions given in Appendix B are not the same. Moreover, for the W-class state as shown in Figure 5b, the N A , B 1 C 1 D 1 E 1 decreases from 0.8 to 0.1870 (76.62% loss of entanglement), but N E 1 , A B 1 C 1 D 1 decreases to a smaller value 0.1436 (82.04% loss of entanglement). We find that the difference of the loss of entanglement for both N E 1 , A B 1 C 1 D 1 and N A , B 1 C 1 D 1 E 1 of two different pentapartite states is very small.
Finally, we find that negativity N A 1 , B 1 C 1 D 1 E 1 in the case of GHZ state decreases from 1 to 0.1455 (85.45% loss of entanglement) as seen in Figure 6a, whereas N A , B 1 C 1 D 1 E 1 as shown in Figure 6b in the W-class state decreases from 0.8 to 0.0596 (92.54% loss of entanglement). This means that the entanglement of these two pentapartite quantum systems decay most when all particles are accelerated.
In Figure 7a,b and Figure 8a,b, we show how the entanglement changes with the number of the accelerated qubits if we only refer to Alice and Elly. It is found that the negativity decreases as the number of accelerated qubits increases, but negativity in the W-class state decreases faster than that in the GHZ state when Elly is taken as a reference (see Figure 8).
To calculate the whole entanglement measures such as algebraic and geometric averages π 5 and Π 5 , we have to find the 1-1 tangle of both GHZ and W-class states. In the case of the GHZ state, all 1-1 tangles are equal to zero. In the case of the W-class state, however, some of them that are unequal to zero are expressed as
N α , β = 1 5 ( 13 3 ) = 0.12111 , N α I , β = 1 5 ( 5 + 6 cos 2 r + 2 cos 4 r cos 2 r 2 ) , N α I , β I = 1 20 ( 4 cos 2 r 3 cos 4 r 13 + 2 2 21 12 cos 2 r + 17 cos 4 r ) ,
where α , β ( A , B , C , D , E ) and N α , β > N α I , β > N α I , β I > N α , β 1 = 0 . The N α , β , N α I , β , and N α I , β I represent the bipartite subsystems with 0 to 2 accelerated qubits. As shown in Figure 9, it is interesting to see that the entanglement in the 1-1 tangle N α I , β vanishes at r > 0.61548 (only one accelerated particle), but N α I , β I vanishes at r > 0.38671 (two accelerated particles), except for a constant N α , β = 0.12111 .
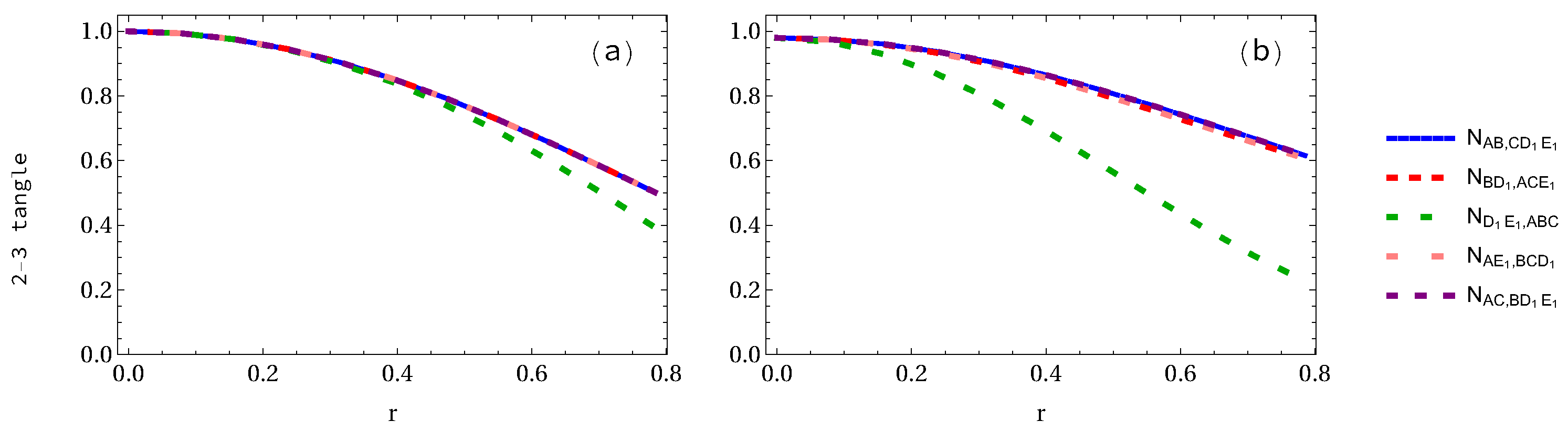
We are now in the position to study negativity 2-3 tangle even though it is not required to calculate the whole entanglement measures. However, we want to present them for completeness, as these results have never been presented to our best knowledge. The analytical expressions of both GHZ and W-class states are given in Appendix C. It is found that the negativity of GHZ state at r = 0 is 1, whereas in W-class state it is 0.979796 . As the acceleration parameter r increases, they all decrease with it, but in W-class state decreases faster than that in the GHZ state. Negativity 2-3 tangle is also dependent on the number of accelerated observers. When only one qubit is accelerated in the GHZ pentapartite state, as displayed in Figure 10a, we notice that N A B , C D E 1 = N A E 1 , B C D are equal to each other, but N A B , C D E 1 and N A E 1 , B C D are not the same, as shown in Figure 10b. At the infinite acceleration limit, the 2-3 tangle for GHZ state decreases from 1 to 1 / 2 ( 29.3 % loss of entanglement) at r = π / 4 , but 2-3 tangle N A B , C D E 1 and N D E 1 , A B C in the case of W-class state, as shown in Figure 10b, decrease from 0.979796 to 0.8195 ( 16.35 % loss of entanglement) and 0.7278 ( 25.71 % loss of entanglement), respectively.
When two accelerated observers are considered (see Figure 11), it is found that N D 1 E 1 , A B C decreases faster than that of N A B , C D 1 E 1 = N A E 1 , B C D 1 in the case of GHZ state. In the W-class case, the difference between N A B , C D 1 E 1 = N A C , B D 1 E 1 and N A E 1 , B C D 1 = N B D 1 , A C E 1 is almost equal to zero, but the difference between N D 1 E 1 , A B C and others such as N A E 1 , B C D 1 and N A B , C D 1 E 1 is very big. At the infinite acceleration limit, in the case of GHZ state the 2-3 tangles N A B , C D 1 E 1 = N B D 1 , A C E 1 and N D 1 E 1 , A B C are equal to 0.5 and 0.3903, respectively, but N A B , C D 1 E 1 and N D 1 E 1 , A B C in the case of W-class state are equal to 0.6159 and 0.2274, respectively. This implies that the negativity N A B , C D 1 E 1 in the W-class state is bigger than that of GHZ state, whereas N D 1 E 1 , A B C in the W-class state is smaller than that of GHZ state in the infinite acceleration limit.
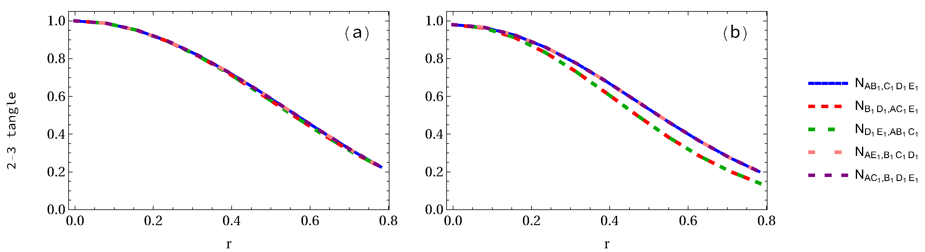
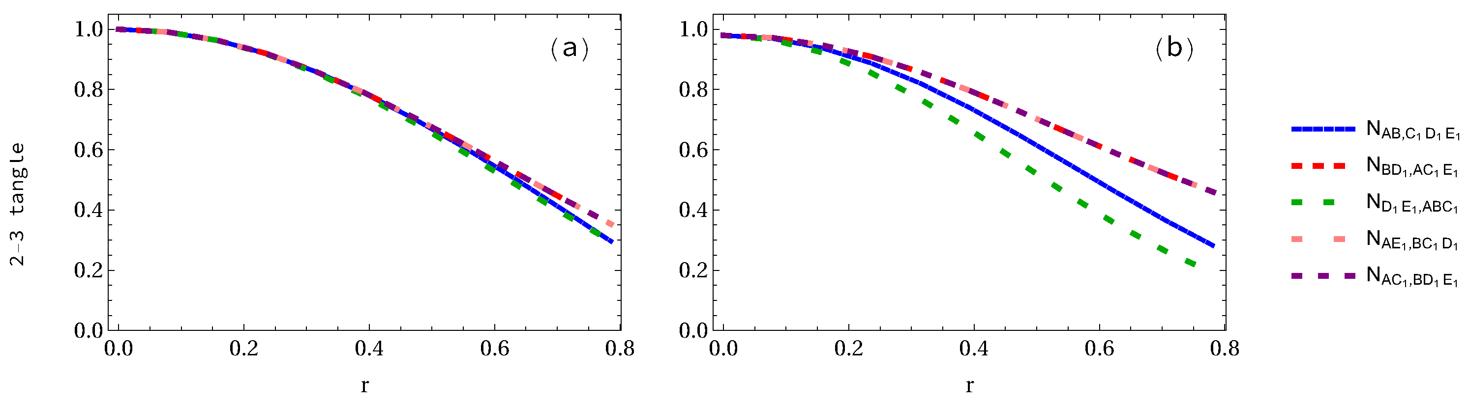
When three observers are accelerated (see Figure 12), we notice that the difference among N B D 1 , A C 1 E 1 = N A E 1 , B C 1 D 1 = N A C 1 , B D 1 E 1 , N A B , C 1 D 1 E 1 and N D 1 E 1 , A B C 1 is very small in the GHZ state, as shown in Figure 12a, but in the case of W-class state case, as illustrated in Figure 12b, i.e., their difference is big. In the case of GHZ state when r = π / 4 , the 2-3 tangle N B D 1 , A C 1 E 1 is 0.353553, but N A B , C 1 D 1 E 1 = N D 1 E 1 , A B C 1 is equal to 0.2965 . However, in the W-class state case, as seen in Figure 12b, we find that their difference is obvious, that is, N B D 1 , A C 1 E 1 = N A E 1 , B C 1 D 1 = N A C 1 , B D 1 E 1 = 0.4566 , N A B , C 1 D 1 E 1 = 0.2774 and N D 1 E 1 , A B C 1 = 0.1873 , respectively.
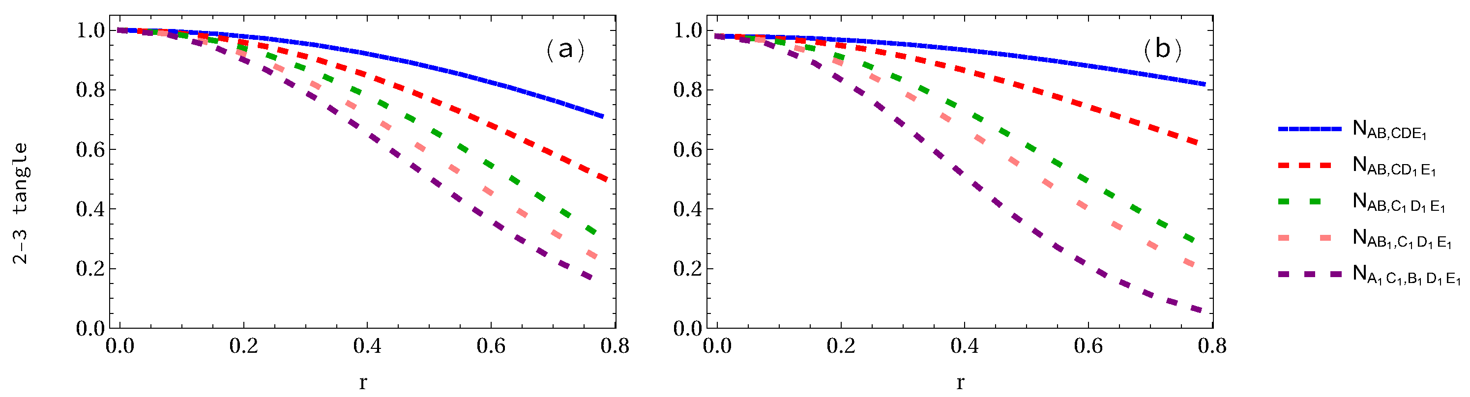
When four qubits are accelerated, in the case of GHZ state, as displayed in Figure 13a, we find that the difference between N A B 1 , C 1 D 1 E 1 = N A E 1 , B 1 C 1 D 1 = N A C 1 , B 1 D 1 E 1 and N D 1 E 1 , A B 1 C 1 = N B 1 D 1 , A C 1 E 1 is very small, but in the case of W-class state their difference is a little big. At the infinite limit, the 2-3 tangle is equal to 0.2206 in the case of GHZ state, whereas in the W-class state, the 2-3 tangles N A B 1 , C 1 D 1 E 1 = 0.1976 and N B 1 D 1 , A C 1 E 1 = 0.1376 , respectively.
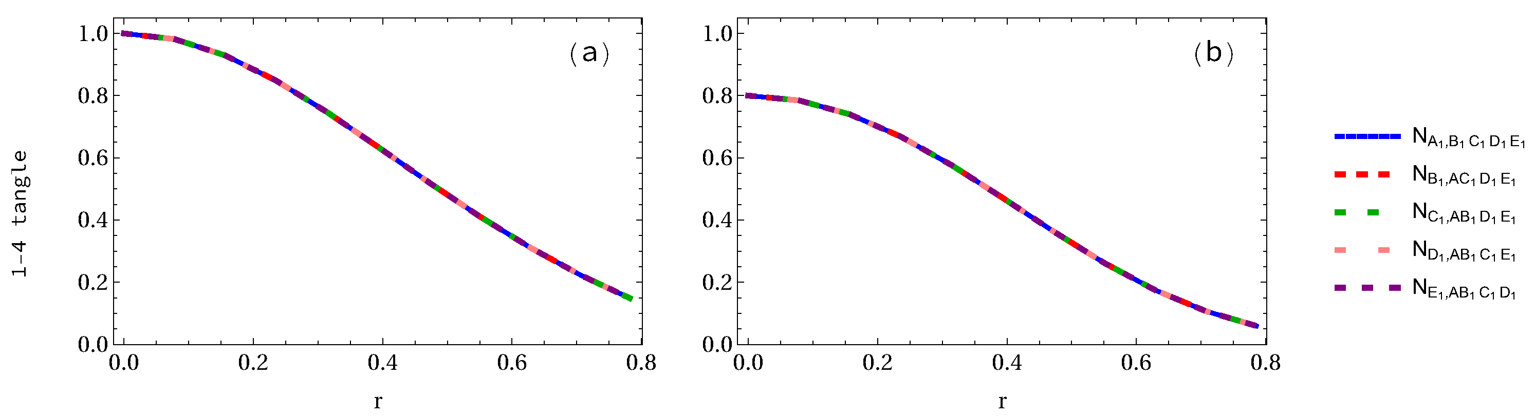
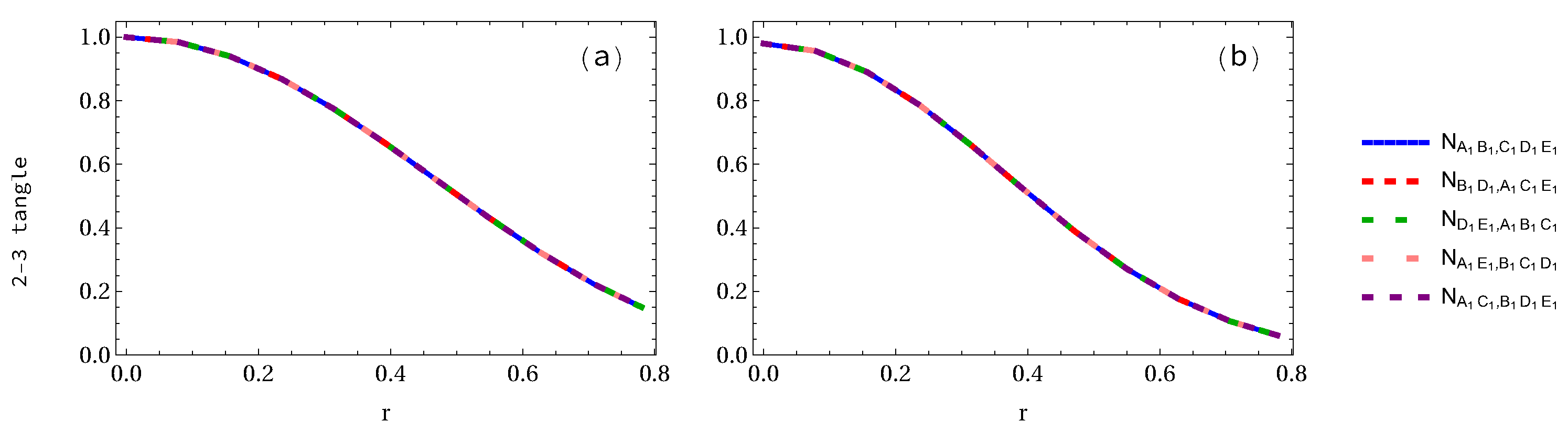
Finally, let us consider the case when all the observers are accelerated simultaneously. We see that all 2-3 tangles of either GHZ state or W-class state are equal to each other, as shown in Figure 14. At r = π / 4 , the 2-3 tangles of GHZ and W-class states are equal to 0.145527 and approximately 0.05 , respectively. The variations of the 2-3 tangles for 1 to 5 arbitrary selected accelerated qubits are displayed in Figure 15. It is found that they all decrease with both the increasing acceleration parameter r and the number of accelerated qubits.

3.2. Whole Entanglement Measures

Now, we use the algebraic average π -tangle to describe the multipartite entanglement defined by [50,70]
π A = N A , B C D E 2 N A , B 2 N A , C 2 N A , D 2 N A , E 2 , π B = N B , A C D E 2 N B , A 2 N B , C 2 N B , D 2 N B , E 2 , π C = N C , A B D E 2 N C , A 2 N C , B 2 N C , D 2 N C , E 2 , π D = N D , A B C E 2 N D , A 2 N D , B 2 N D , C 2 N D , E 2 , π E = N E , A B C D 2 N E , A 2 N E , B 2 N E , C 2 N E , D 2 ,
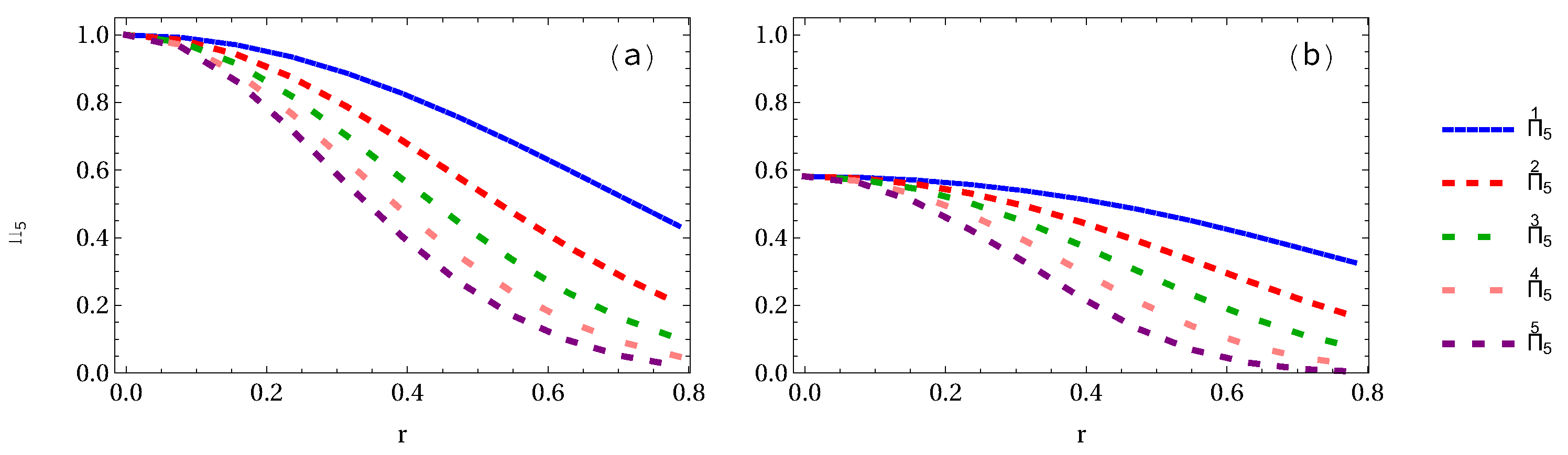
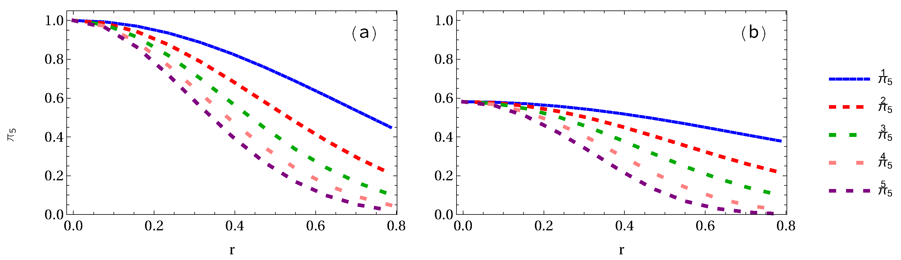
from which we are able to calculate the whole residual entanglement π 5 -tangle defined by π 5 = ( π A + π B + π C + π D + π E ) / 5 . Moreover, we may use another whole residual entanglement measure named as geometric average Π 5 = ( π A · π B · π C · π D · π E ) 1 5 [71].
Let us first calculate the whole residual entanglement measures π 5 and Π 5 of both GHZ and W-class states and then plot them. In Figure 16a, it is found that the algebraic average π 5 in the GHZ state decreases from 1 to 0.45 , 0.2109 , 0.1027 , 0.0487 , and 0.0211 for 1 to 5 arbitrary selected qubits, respectively. In Figure 16b, we show the whole residual entanglement π 5 in the W-class state. It is interesting to note that π 5 decreases from an initial value 0.5813 to 0.3793 ( 34.73 % loss of entanglement), 0.2170 ( 62.66 % loss of entanglement), 0.0994 ( 82.90 % loss of entanglement), 0.0234 ( 95.95 % loss of entanglement), and 0.0035 ( 99.38 % loss of entanglement), respectively.
Finally, let us show the variation of the geometric average Π 5 when 1 to 5 accelerated qubits is (are) considered. It is found that Π 5 is very similar to π 5 , i.e., whole residual entanglement π 5 and Π 5 are almost same, as shown in Figure 17. To see this clearly, as shown in Figure 18a,b, there is no difference between residual entanglement π 5 3 and Π 5 3 in the GHZ state, but there is a very slight difference in the W-class state.

3.3. Entropy

Another useful quantity to measure entanglement is the von Neumann entropy defined by [72,73,74]:
S = Tr ( ρ log 2 ρ ) = i = 1 n λ ( i ) log 2 λ ( i ) ,
where λ ( i ) is ith eigenvalue of density matrix ρ . Unlike the negativity, the von Neumann entropy is not required to find the partial transpose of the density matrix except for applying the partial trace to obtain the density matrix of subsystems. We write out explicitly nonzero eigenvalues of GHZ state to calculate entropies in Table 1 but do not list those of W-class state because of complicated expressions.
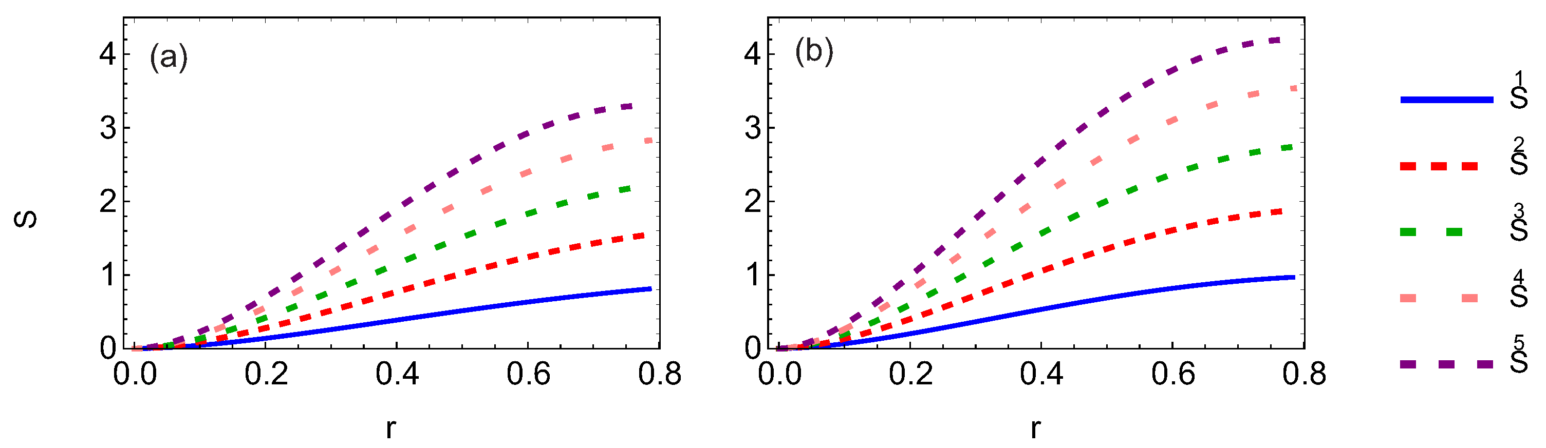
Let us show the difference of the von Neumann entropy between GHZ and W-class states. As shown in Figure 19, entropy increases as the number of accelerated observers increases. This means that the system becomes more unstable. In the same condition, it is found that von Neumann entropy of the W-class state increases faster than that of GHZ.

4. Conclusions

In this work, we have studied the entanglement measures of pentapartite GHZ and W-class states by investigating the negativity and whole residual entanglement. We have carried out the cases when the 1, 2, 3, 4, or even all observers are accelerated. As we can see, the degree of entanglement will be degraded when the acceleration parameter r increases. However, we have verified again the fact that the degree of entanglement is dependent of the number of the accelerated particles. That is to say, the degree of the entanglement will decrease faster with the number of accelerated particles. The 1-4 and 2-3 tangles for both GHZ and W-class pentapartite states still exist even if the acceleration tends to infinity. Compared between GHZ and W-class states, we find that the degree of the entanglement of W-class state decreases faster than that of GHZ state when the accelerated parameter increases. The maximum values of the GHZ and W-class states are 1 and 0.8 without the acceleration. For 2-3 tangle case, we notice that when only one particle is accelerated, the GHZ entanglement decays faster than the W-class state, but with the increase of accelerated particles, the W-class entanglement decays faster than the GHZ state. However, we also note that the 2-3 tangle corresponding to the cases N E 1 , A B C D N D 1 E 1 , A B C , N D 1 E 1 , A B C 1 and N D 1 E 1 , A B 1 C 1 are always the smallest compared to other cases of the same type if we assume that the acceleration of particles always starts from the rightmost two in A(Alice), B(Bob), C(Charlie), D(David), E(Elly) qubits. The whole entanglement measurements show us that entanglement in GHZ state is greater than that of W-class state. However, we find that there is almost no difference between whole residual entanglements π 5 and Π 5 . As far as the von Neumann entropy, compared with the tripartite and tetrapartite entangled systems, the von Neumann entropy of pentapartite system is larger than those of tripartite and tetrapartite cases. As the number of accelerated particles increases, the von Neumann entropy of the system increases accordingly. This implies that the system becomes more and more unstable with the increasing accelerated particles. Before ending this work, we give a useful remark on the difference of the negativity among the tripartite [43], tetrapartite [44], and present pentapartite cases. In the GHZ state case, all 1-1 tangles for them are equal to zero. For the W-class case, however, there only exists a common 1-1 tangle among them. Let us show their difference. For example, the N α , β of pentapartite, tetrapartite, and tripartite cases is equal to 0.12111, 0.2071, and 0.412023, respectively, at r = π / 4 , but N α 1 , β of pentapartite and tetrapartite cases will disappear ( N α 1 , β = 0 ) at r > 0.61548 and 0.785398 , respectively, and N α 1 , β = 0.138071 in the tripartite case at r = π / 4 . The N α 1 , β 1 of pentapartite, tetrapartite, and tripartite cases is equal to 0.38671, 0.472473, and 0.699185, respectively. This implies that the degree of the entanglement decays faster with the increasing entangled particles so that the system becomes more and more unstable.

Author Contributions

Conceptualization, S.-H.D.; methodology, S.-H.D.; software, S.-H.D.; validation, J.L.M.Z., J.R.P., M.A.A. and S.-H.D.; formal analysis, S.-H.D.; investigation, J.L.M.Z. and S.-H.D.; resources, J.L.M.Z. and S.-H.D.; data curation, J.L.M.Z. and S.-H.D.; writing—original draft preparation, J.L.M.Z.; writing—review and editing, S.-H.D.; visualization, J.L.M.Z. and S.-H.D.; supervision, S.-H.D.; project administration, S.-H.D.; funding acquisition, S.-H.D. All authors have read and agreed to the published version of the manuscript.

Funding

This research was funded by 20220355-SIP-IPN, Mexico.

Institutional Review Board Statement

No applicable.

Informed Consent Statement

Not applicable.

Data Availability Statement

The datasets generated during the current study are available from the corresponding author on reasonable request.

Acknowledgments

We would like to thank the referees for making invaluable suggestions and criticisms that have improved the manuscript greatly. This work is supported partially by 20220355-SIP-IPN, Mexico. Dong started this work on sabbatical leave of IPN.

Conflicts of Interest

The authors declare no conflict of interest.

Appendix A. Nonzero Elements of Density Matrices for GHZ and W-Class States in the Noninertial Frame

Table A1. Nonzero entries for GHZ density matrices.
Table A1. Nonzero entries for GHZ density matrices.
Density MatrixNonzero Entries
ρ A B C D E I [ 1 , 1 ] = [ 2 , 2 ] = 1 2 cos 2 ( r )
[ 32 , 1 ] = [ 1 , 32 ] = 1 2 cos ( r )
[ 32 , 32 ] = 1 2
ρ A B C D I E I [ 1 , 1 ] = 1 2 cos 4 ( r )
[ 32 , 1 ] = [ 1 , 32 ] = 1 2 cos 2 ( r )
[ 2 , 2 ] = [ 3 , 3 ] = 1 8 sin 2 ( 2 r )
[ 4 , 4 ] = 1 2 sin 4 ( r )
[ 32 , 32 ] = 1 2
ρ A B C I D I E I [ 1 , 1 ] = 1 2 cos 6 ( r )
[ 1 , 32 ] = [ 32 , 1 ] = 1 2 cos 3 ( r )
[ 2 , 2 ] = [ 3 , 3 ] = [ 5 , 5 ] = 1 2 cos 4 ( r ) sin 2 ( r )
[ 4 , 4 ] = [ 6 , 6 ] = [ 7 , 7 ] = 1 2 cos 2 ( r ) sin 4 ( r )
[ 8 , 8 ] = 1 2 sin 6 ( r )
[ 32 , 32 ] = 1 2
ρ A B I C I D I E I [ 1 , 1 ] = 1 2 cos 8 ( r )
[ 1 , 32 ] = [ 32 , 1 ] = 1 2 cos 4 ( r )
[ 2 , 2 ] = [ 3 , 3 ] = [ 5 , 5 ] = [ 9 , 9 ] = 1 2 cos 6 ( r ) sin 2 ( r )
[ 4 , 4 ] = [ 6 , 6 ] = [ 7 , 7 ] = [ 10 , 10 ] = [ 11 , 11 ] = [ 13 , 13 ] = 1 32 sin 4 ( 2 r )
[ 8 , 8 ] = [ 12 , 12 ] = [ 14 , 14 ] = [ 15 , 15 ] = 1 2 cos 2 ( r ) sin 6 ( r )
[ 16 , 16 ] = 1 2 sin 8 ( r )
[ 32 , 32 ] = 1 2
ρ A I B I C I D I E I [ 1 , 1 ] = 1 2 cos 10 ( r )
[ 1 , 32 ] = [ 32 , 1 ] = 1 2 cos 5 ( r )
[ 2 , 2 ] = [ 3 , 3 ] = [ 5 , 5 ] = [ 9 , 9 ] = [ 17 , 17 ] = 1 2 cos 8 ( r ) sin 2 ( r )
[ 13 , 13 ] = [ 4 , 4 ] = [ 19 , 19 ] = [ 10 , 10 ] = [ 11 , 11 ] = [ 6 , 6 ] = [ 18 , 18 ] = [ 21 , 21 ] = [ 25 , 25 ] = [ 7 , 7 ] = 1 2 cos 6 ( r ) sin 4 ( r )
[ 8 , 8 ] = [ 12 , 12 ] = [ 14 , 14 ] = [ 15 , 15 ] = [ 20 , 20 ] = [ 22 , 22 ] = [ 23 , 23 ] = [ 26 , 26 ] = [ 27 , 27 ] = [ 29 , 29 ] = 1 2 cos 4 ( r ) sin 6 ( r )
[ 16 , 16 ] = [ 24 , 24 ] = [ 28 , 28 ] = [ 30 , 30 ] = [ 31 , 31 ] = 1 2 cos 2 ( r ) sin 8 ( r )
[ 32 , 32 ] = 1 2 + 1 2 sin 10 ( r )
Table A2. Nonzero entries for pentapartite W-class state.
Table A2. Nonzero entries for pentapartite W-class state.
Density MatrixNonzero Entries
ρ ABCDE 1 [ 2 , 2 ] = 1 5
[ 2 , 3 ] = [ 2 , 5 ] = [ 2 , 9 ] = [ 2 , 17 ] = [ 3 , 2 ] = [ 5 , 2 ] = [ 9 , 2 ] = [ 17 , 2 ] = 1 5 cos ( r )
[ 3 , 3 ] = [ 3 , 5 ] = [ 3 , 9 ] = [ 3 , 17 ] = [ 5 , 3 ] = [ 5 , 5 ] = [ 5 , 9 ] = [ 5 , 17 ] = [ 9 , 3 ] = [ 9 , 5 ] = [ 9 , 9 ] = [ 9 , 17 ] = [ 17 , 3 ] = [ 17 , 5 ] = [ 17 , 9 ] = [ 17 , 17 ] = 1 5 cos 2 ( r )
[ 4 , 4 ] , [ 4 , 6 ] = [ 4 , 10 ] = [ 4 , 18 ] = [ 6 , 4 ] = [ 6 , 6 ] = [ 6 , 10 ] = [ 6 , 18 ] = [ 10 , 4 ] = [ 10 , 6 ] = [ 10 , 10 ] = [ 10 , 18 ] = [ 18 , 4 ] = [ 18 , 6 ] = [ 18 , 10 ] = [ 18 , 18 ]
= 1 5 sin 2 ( r )
ρ ABCD 1 E 1 [ 2 , 2 ] = [ 2 , 3 ] = [ 3 , 2 ] = [ 3 , 3 ] = 1 5 cos 2 ( r )
[ 2 , 5 ] = [ 2 , 9 ] = [ 2 , 17 ] = [ 3 , 5 ] = [ 3 , 9 ] = [ 3 , 17 ] = [ 5 , 2 ] = [ 5 , 3 ] = [ 9 , 2 ] = [ 9 , 3 ] = [ 17 , 2 ] = [ 17 , 3 ] = 1 5 cos 3 ( r )
[ 4 , 4 ] = 2 5 sin 2 ( r )
[ 4 , 6 ] = [ 4 , 7 ] = [ 4 , 10 ] = [ 4 , 11 ] = [ 4 , 18 ] = [ 4 , 19 ] = [ 6 , 4 ] = [ 7 , 4 ] = [ 10 , 4 ] = [ 11 , 4 ] = [ 18 , 4 ] = [ 19 , 4 ] = 1 5 sin 2 ( r ) cos ( r )
[ 5 , 5 ] = [ 5 , 9 ] = [ 5 , 17 ] = [ 9 , 5 ] = [ 9 , 9 ] = [ 9 , 17 ] = [ 17 , 5 ] = [ 17 , 9 ] = [ 17 , 17 ] = 1 5 cos 4 ( r )
[ 6 , 6 ] , [ 6 , 10 ] = [ 6 , 18 ] = [ 7 , 7 ] = [ 7 , 11 ] = [ 7 , 19 ] = [ 10 , 6 ] = [ 10 , 10 ] = [ 10 , 18 ] = [ 11 , 7 ] = [ 11 , 11 ] = [ 11 , 19 ] = [ 18 , 6 ] = [ 18 , 10 ] = [ 18 , 18 ] = [ 19 , 7 ] =
[ 19 , 11 ] = [ 19 , 19 ] = 1 20 sin 2 ( 2 r )
[ 8 , 8 ] = [ 8 , 12 ] = [ 8 , 20 ] = [ 12 , 8 ] = [ 12 , 12 ] = [ 12 , 20 ] = [ 20 , 8 ] = [ 20 , 12 ] = [ 20 , 20 ] = 1 5 sin 4 ( r )
ρ ABC 1 D 1 E 1 [ 2 , 2 ] = [ 2 , 3 ] = [ 2 , 5 ] = [ 3 , 2 ] = [ 3 , 3 ] = [ 3 , 5 ] = [ 5 , 2 ] = [ 5 , 3 ] = [ 5 , 5 ] = 1 5 cos 4 ( r )
[ 2 , 9 ] = [ 2 , 17 ] = [ 3 , 9 ] = [ 3 , 17 ] = [ 5 , 9 ] = [ 5 , 17 ] = [ 9 , 2 ] = [ 9 , 3 ] = [ 9 , 5 ] = [ 17 , 2 ] = [ 17 , 3 ] = [ 17 , 5 ] = 1 5 cos 5 ( r )
[ 4 , 4 ] = [ 6 , 6 ] = [ 7 , 7 ] = 1 10 sin 2 ( 2 r )
[ 4 , 6 ] = [ 4 , 7 ] = [ 6 , 4 ] = [ 6 , 7 ] = [ 7 , 4 ] = [ 7 , 6 ] = 1 20 sin 2 ( 2 r )
[ 4 , 10 ] = [ 4 , 11 ] = [ 4 , 18 ] = [ 4 , 19 ] = [ 6 , 10 ] = [ 6 , 13 ] = [ 6 , 18 ] = [ 6 , 21 ] = [ 7 , 11 ] = [ 7 , 13 ] = [ 7 , 19 ] = [ 7 , 21 ] = [ 10 , 4 ] = [ 10 , 6 ] = [ 11 , 4 ] = [ 11 , 7 ] =
[ 13 , 6 ] = [ 13 , 7 ] = [ 18 , 4 ] = [ 18 , 6 ] = [ 19 , 4 ] = [ 19 , 7 ] = [ 21 , 6 ] = [ 21 , 7 ] = 1 5 sin 2 ( r ) cos 3 ( r )
[ 8 , 8 ] = 3 5 sin 4 ( r )
[ 8 , 12 ] , [ 8 , 14 ] = [ 8 , 15 ] = [ 8 , 20 ] = [ 8 , 22 ] = [ 8 , 23 ] = [ 12 , 8 ] = [ 14 , 8 ] = [ 15 , 8 ] = [ 20 , 8 ] = [ 22 , 8 ] = [ 23 , 8 ] = 1 5 sin 4 ( r ) cos ( r )
[ 9 , 9 ] = [ 9 , 17 ] = [ 17 , 9 ] = [ 17 , 17 ] = 1 5 cos 6 ( r )
[ 10 , 10 ] , [ 10 , 18 ] = [ 11 , 11 ] = [ 11 , 19 ] = [ 13 , 13 ] = [ 13 , 21 ] = [ 18 , 10 ] = [ 18 , 18 ] = [ 19 , 11 ] = [ 19 , 19 ] = [ 21 , 13 ] = [ 21 , 21 ] = 1 5 sin 2 ( r ) cos 4 ( r )
[ 12 , 12 ] = [ 12 , 20 ] = [ 14 , 14 ] = [ 14 , 22 ] = [ 15 , 15 ] = [ 15 , 23 ] = [ 20 , 12 ] = [ 20 , 20 ] = [ 22 , 14 ] = [ 22 , 22 ] = [ 23 , 15 ] = [ 23 , 23 ] = 1 / 5 cos ( r ) 2 sin ( r ) 4
[ 16 , 16 ] = [ 16 , 24 ] = [ 24 , 16 ] = [ 24 , 24 ] = 1 5 sin 6 ( r )
ρ AB 1 C 1 D 1 E 1 [ 2 , 2 ] = [ 2 , 3 ] = [ 2 , 5 ] = [ 2 , 9 ] = [ 3 , 2 ] = [ 3 , 3 ] = [ 3 , 5 ] = [ 3 , 9 ] = [ 5 , 2 ] = [ 5 , 3 ] = [ 5 , 5 ] = [ 5 , 9 ] = [ 9 , 2 ] = [ 9 , 3 ] = [ 9 , 5 ] = [ 9 , 9 ] = 1 5 cos 6 ( r )
[ 2 , 17 ] = [ 3 , 17 ] = [ 5 , 17 ] = [ 9 , 17 ] = [ 17 , 2 ] = [ 17 , 3 ] = [ 17 , 5 ] = [ 17 , 9 ] = 1 5 cos 7 ( r )
[ 4 , 4 ] = [ 6 , 6 ] = [ 7 , 7 ] = [ 10 , 10 ] = [ 11 , 11 ] = [ 13 , 13 ] = 2 5 sin 2 ( r ) cos 4 ( r )
[ 4 , 6 ] = [ 4 , 7 ] = [ 4 , 10 ] = [ 4 , 11 ] = [ 6 , 4 ] = [ 6 , 7 ] = [ 6 , 10 ] = [ 6 , 13 ] = [ 7 , 4 ] = [ 7 , 6 ] = [ 7 , 11 ] = [ 7 , 13 ] = [ 10 , 4 ] = [ 10 , 6 ] = [ 10 , 11 ] = [ 10 , 13 ] = [ 11 , 4 ]
= [ 11 , 7 ] = [ 11 , 10 ] = [ 11 , 13 ] = [ 13 , 6 ] = [ 13 , 7 ] = [ 13 , 10 ] = [ 13 , 11 ] = 1 5 sin 2 ( r ) cos 4 ( r )
[ 4 , 18 ] = [ 4 , 19 ] = [ 6 , 18 ] = [ 6 , 21 ] = [ 7 , 19 ] = [ 7 , 21 ] = [ 10 , 18 ] = [ 10 , 25 ] = [ 11 , 19 ] = [ 11 , 25 ] = [ 13 , 21 ] = [ 13 , 25 ] = [ 18 , 4 ] = [ 18 , 6 ] = [ 18 , 10 ] =
[ 19 , 4 ] = [ 19 , 7 ] = [ 19 , 11 ] = [ 21 , 6 ] = [ 21 , 7 ] = [ 21 , 13 ] = [ 25 , 10 ] = [ 25 , 11 ] = [ 25 , 13 ] = 1 5 sin 2 ( r ) cos 5 ( r )
[ 8 , 8 ] = [ 12 , 12 ] = [ 14 , 14 ] = [ 15 , 15 ] = 3 5 sin 4 ( r ) cos 2 ( r )
[ 8 , 12 ] = [ 8 , 14 ] = [ 8 , 15 ] = [ 12 , 8 ] = [ 12 , 14 ] = [ 12 , 15 ] = [ 14 , 8 ] = [ 14 , 12 ] = [ 14 , 15 ] = [ 15 , 8 ] = [ 15 , 12 ] = [ 15 , 14 ] = 1 5 sin 4 ( r ) cos 2 ( r )
[ 8 , 20 ] = [ 8 , 22 ] = [ 8 , 23 ] = [ 12 , 20 ] = [ 12 , 26 ] = [ 12 , 27 ] = [ 14 , 22 ] = [ 14 , 26 ] = [ 14 , 29 ] = [ 15 , 23 ] = [ 15 , 27 ] = [ 15 , 29 ] = [ 20 , 8 ] = [ 20 , 12 ] = [ 22 , 8 ] =
[ 22 , 14 ] = [ 23 , 8 ] = [ 23 , 15 ] = [ 26 , 12 ] = [ 26 , 14 ] = [ 27 , 12 ] = [ 27 , 15 ] = [ 29 , 14 ] = [ 29 , 15 ] = 1 5 sin 4 ( r ) cos 3 ( r )
[ 16 , 16 ] = 4 5 sin 6 ( r )
[ 16 , 24 ] = [ 16 , 28 ] = [ 16 , 30 ] = [ 16 , 31 ] = [ 24 , 16 ] = [ 28 , 16 ] = [ 30 , 16 ] = [ 31 , 16 ] = 1 5 sin 6 ( r ) cos ( r )
[ 17 , 17 ] = 1 5 cos 8 ( r )
[ 18 , 18 ] = [ 19 , 19 ] = [ 21 , 21 ] = [ 25 , 25 ] = 1 5 sin 2 ( r ) cos 6 ( r )
[ 20 , 20 ] = [ 22 , 22 ] = [ 23 , 23 ] = [ 26 , 26 ] = [ 27 , 27 ] = [ 29 , 29 ] = 1 80 sin 4 ( 2 r )
[ 24 , 24 ] = [ 28 , 28 ] = [ 30 , 30 ] = [ 31 , 31 ] = 1 5 sin 6 ( r ) cos 2 ( r )
[ 32 , 32 ] = 1 5 sin 8 ( r )
ρ A 1 B 1 C 1 D 1 E 1 [ 2 , 2 ] = [ 2 , 3 ] = [ 2 , 5 ] = [ 2 , 9 ] = [ 2 , 17 ] = [ 3 , 2 ] = [ 3 , 3 ] = [ 3 , 5 ] = [ 3 , 9 ] = [ 3 , 17 ] = [ 5 , 2 ] = [ 5 , 3 ] = [ 5 , 5 ] = [ 5 , 9 ] = [ 5 , 17 ] = [ 9 , 2 ] = [ 9 , 3 ] = [ 9 , 5 ] =
[ 9 , 9 ] = [ 9 , 17 ] = [ 17 , 2 ] = [ 17 , 3 ] = [ 17 , 5 ] = [ 17 , 9 ] = [ 17 , 17 ] = 1 5 cos 8 ( r )
[ 4 , 4 ] = [ 6 , 6 ] = [ 7 , 7 ] = [ 10 , 10 ] = [ 11 , 11 ] = [ 13 , 13 ] = [ 18 , 18 ] = [ 19 , 19 ] = [ 21 , 21 ] = [ 25 , 25 ] = 2 5 sin 2 ( r ) cos 6 ( r )
[ 4 , 6 ] = [ 4 , 7 ] = [ 4 , 10 ] = [ 4 , 11 ] = [ 4 , 18 ] = [ 4 , 19 ] = [ 6 , 4 ] = [ 6 , 7 ] = [ 6 , 10 ] = [ 6 , 13 ] = [ 6 , 18 ] = [ 6 , 21 ] = [ 7 , 4 ] = [ 7 , 6 ] = [ 7 , 11 ] = [ 7 , 13 ] = [ 7 , 19 ] =
[ 7 , 21 ] = [ 10 , 4 ] = [ 10 , 6 ] = [ 10 , 11 ] = [ 10 , 13 ] = [ 10 , 18 ] = [ 10 , 25 ] = [ 11 , 4 ] = [ 11 , 7 ] = [ 11 , 10 ] = [ 11 , 13 ] = [ 11 , 19 ] = [ 11 , 25 ] = [ 13 , 6 ] = [ 13 , 7 ] =
[ 13 , 10 ] = [ 13 , 11 ] = [ 13 , 21 ] = [ 13 , 25 ] = [ 18 , 4 ] = [ 18 , 6 ] = [ 18 , 10 ] = [ 18 , 19 ] = [ 18 , 21 ] = [ 18 , 25 ] = [ 19 , 4 ] = [ 19 , 7 ] = [ 19 , 11 ] = [ 19 , 18 ] = [ 19 , 21 ] =
[ 19 , 25 ] = [ 21 , 6 ] = [ 21 , 7 ] = [ 21 , 13 ] = [ 21 , 18 ] = [ 21 , 19 ] = [ 21 , 25 ] = [ 25 , 10 ] = [ 25 , 11 ] = [ 25 , 13 ] = [ 25 , 18 ] = [ 25 , 19 ] = [ 25 , 21 ] = 1 5 sin 2 ( r ) cos 6 ( r )
[ 8 , 8 ] , [ 12 , 12 ] = [ 14 , 14 ] = [ 15 , 15 ] = [ 20 , 20 ] = [ 22 , 22 ] = [ 23 , 23 ] = [ 26 , 26 ] = [ 27 , 27 ] = [ 29 , 29 ] = 3 80 sin 4 ( 2 r )
[ 8 , 12 ] = [ 8 , 14 ] = [ 8 , 15 ] = [ 8 , 20 ] = [ 8 , 22 ] = [ 8 , 23 ] = [ 12 , 8 ] = [ 12 , 14 ] = [ 12 , 15 ] = [ 12 , 20 ] = [ 12 , 26 ] = [ 12 , 27 ] = [ 14 , 8 ] = [ 14 , 12 ] = [ 14 , 15 ] =
[ 14 , 22 ] = [ 14 , 26 ] = [ 14 , 29 ] = [ 15 , 8 ] = [ 15 , 12 ] = [ 15 , 14 ] = [ 15 , 23 ] = [ 15 , 27 ] = [ 15 , 29 ] = [ 20 , 8 ] = [ 20 , 12 ] = [ 20 , 22 ] = [ 20 , 23 ] = [ 20 , 26 ] = [ 20 , 27 ]
= [ 22 , 8 ] = [ 22 , 14 ] = [ 22 , 20 ] = [ 22 , 23 ] = [ 22 , 26 ] = [ 22 , 29 ] = [ 23 , 8 ] = [ 23 , 15 ] = [ 23 , 20 ] = [ 23 , 22 ] = [ 23 , 27 ] = [ 23 , 29 ] = [ 26 , 12 ] = [ 26 , 14 ] =
[ 26 , 20 ] = [ 26 , 22 ] = [ 26 , 27 ] = [ 26 , 29 ] = [ 27 , 12 ] = [ 27 , 15 ] = [ 27 , 20 ] = [ 27 , 23 ] = [ 27 , 26 ] = [ 27 , 29 ] = [ 29 , 14 ] = [ 29 , 15 ] = [ 29 , 22 ] = [ 29 , 23 ] =
[ 29 , 26 ] = [ 29 , 27 ] = 1 80 sin 4 ( 2 r )
[ 16 , 16 ] = [ 24 , 24 ] = [ 28 , 28 ] = [ 30 , 30 ] = [ 31 , 31 ] = 4 5 sin 6 ( r ) cos 2 ( r )
[ 16 , 24 ] = [ 16 , 28 ] = [ 16 , 30 ] = [ 16 , 31 ] = [ 24 , 16 ] = [ 24 , 28 ] = [ 24 , 30 ] = [ 24 , 31 ] = [ 28 , 16 ] = [ 28 , 24 ] = [ 28 , 30 ] = [ 28 , 31 ] = [ 30 , 16 ] = [ 30 , 24 ] =
[ 30 , 28 ] = [ 30 , 31 ] = [ 31 , 16 ] = [ 31 , 24 ] = [ 31 , 28 ] = [ 31 , 30 ] = 1 5 sin 6 ( r ) cos 2 ( r )
[ 32 , 32 ] = sin 8 ( r )

Appendix B. Analytical Expressions of 1-4 Tangles for GHZ and W-Class States

For GHZ state case : N E I , ABCD = cos 2 ( r ) N D , ABC E I = N C , ABD E I = N B , ACD E I = N A , BCD E I = cos ( r ) N E I , ABCD I = N D I , ABCE I = 1 16 1 + cos ( 4 r ) + 2 2 cos 2 ( r ) 35 4 cos ( 2 r ) + cos ( 4 r ) N C , ABD I E I = N B , ACD I E I = N A , BCD I E I = cos 2 ( r ) N E I , ABC I D I = 1 64 2 cos ( 2 r ) + 2 cos ( 4 r ) + cos ( 6 r ) + 4 2 cos 3 ( r ) 130 cos ( 2 r ) 2 cos ( 4 r ) + cos ( 6 r ) N B , AC I D I E I = N A , BC I D I E I = cos 3 ( r ) N E I , AB I C I D I = 1 256 5 4 cos ( 2 r ) + 4 cos ( 4 r ) + 4 cos ( 6 r ) + cos ( 8 r ) + 8 2 cos 4 ( r ) 515 4 cos ( 4 r ) + cos ( 8 r ) N A , B 1 C 1 D 1 E 1 = 1 256 { 56 cos ( 2 r ) 28 cos ( 4 r ) + 8 cos ( 6 r ) cos ( 8 r ) + 1 2 [ 45904 cos ( 2 r ) + 36680 cos ( 4 r ) + 3824 cos ( 6 r ) + 2844 cos ( 8 r ) 560 cos ( 10 r ) + 120 cos ( 12 r ) 16 cos ( 14 r ) + cos ( 16 r ) + 42275 ] 1 / 2 35 } N E I , A I B I C I D I = 1 256 { 7 + 4 cos ( 4 r ) + 3 cos ( 8 r ) + 2 cos 2 ( r ) [ 11851 + 12532 cos ( 2 r ) + 8156 cos ( 4 r ) 116 cos ( 6 r ) + 436 cos ( 8 r ) 124 cos ( 10 r ) + 36 cos ( 12 r ) 4 cos ( 14 r ) + cos ( 16 r ) ] 1 / 2 }
For W class state case : N E I , ABCD = 1 5 2 cos ( 2 r ) + 2 cos ( 4 r ) + 7 2 N D , ABC E I = N C , ABD E I = N B , ACD E I = N A , BCD E I = 1 5 ( 2 ) Root 32 # 1 3 + # 1 2 ( 16 cos ( 2 r ) 16 ) + # 1 ( 64 cos ( 2 r ) 12 cos ( 4 r ) 52 ) + + 3 cos ( 2 r ) 6 cos ( 4 r ) 3 cos ( 6 r ) + 6 & , 1 N E I , ABCD I = N D I , ABCE I = 1 10 Root 2 # 1 3 + # 1 2 ( 8 cos ( 2 r ) + 3 cos ( 4 r ) 11 ) + # 1 ( 64 cos ( 2 r ) + 28 cos ( 4 r ) 36 ) + 12 cos ( 2 r ) 12 cos ( 4 r ) 12 cos ( 6 r ) 3 cos ( 8 r ) + 15 & , 1 N C , ABD I E I = N B , ACD I E I = N A , BCD I E I = 1 10 Root 16 # 1 3 + # 1 2 ( 8 cos ( 4 r ) 8 ) + + # 1 ( 464 cos ( 2 r ) 208 cos ( 4 r ) 48 cos ( 6 r ) 4 cos ( 8 r ) 300 ) + 48 cos ( 2 r ) + 15 cos ( 4 r ) 40 cos ( 6 r ) 26 cos ( 8 r ) 8 cos ( 10 r ) cos ( 12 r ) + 42 & , 1 N E I , ABC I D I = N D 1 , ABC 1 E 1 = N C 1 , ABD 1 E 1 = 1 10 Root 64 # 1 3 + ( 16 cos ( 2 r ) + 128 cos ( 4 r ) + + 16 cos ( 6 r ) 128 ) # 1 2 + ( 1728 cos ( 2 r ) 960 cos ( 4 r ) 320 cos ( 6 r ) + 48 cos ( 8 r ) 1040 ) # 1 + 165 cos ( 2 r ) 22 cos ( 4 r ) 121 cos ( 6 r ) 100 cos ( 8 r ) 43 cos ( 10 r ) 10 cos ( 12 r ) cos ( 14 r ) + 132 & , 1 N B , AC I D I E I = N A , BC I D I E I = 1 10 Root 2048 # 1 3 + # 1 2 ( 256 cos ( 2 r ) + 512 cos ( 4 r ) + + 256 cos ( 6 r ) 512 ) + # 1 ( 52992 cos ( 2 r ) 30960 cos ( 4 r ) 12160 cos ( 6 r ) + 2976 cos ( 8 r ) 384 cos ( 10 r ) 16 cos ( 12 r ) 31584 ) + 2002 cos ( 2 r ) + 208 cos ( 4 r ) + 1092 cos ( 6 r ) 1288 cos ( 8 r ) 820 cos ( 10 r ) 336 cos ( 12 r ) + 89 cos ( 14 r ) 14 cos ( 16 r ) cos ( 18 r ) + 1430 & , 1 N A , B 1 C 1 D 1 E 1 = 1 640 4 cos ( 2 r ) 4 cos ( 4 r ) 4 cos ( 6 r ) cos ( 8 r ) + 32 2 cos 12 ( r ) ( 60 cos ( 2 r ) + cos ( 4 r ) + 67 ) + 5 + 240 cos ( 2 r ) + 92 cos ( 4 r ) + + 16 cos ( 6 r ) + cos ( 8 r ) + 8 2 cos 8 ( r ) ( 904 cos ( 2 r ) + 156 cos ( 4 r ) + 56 cos ( 6 r ) + cos ( 8 r ) + 931 ) + 163 N A 1 , B 1 C 1 D 1 E 1 = N E I , A I B I C I D I = N D 1 , AB 1 C 1 E 1 = N C 1 , AB 1 D 1 E 1 = N B 1 , AC 1 D 1 E 1 = 1 640 20 cos ( 2 r ) 20 cos ( 4 r ) 20 cos ( 6 r ) 5 cos ( 8 r ) + 32 2 cos 12 ( r ) ( 41 ( cos ( 4 r ) + 3 ) 36 cos ( 2 r ) ) + 25

Appendix C. Analytical Expressions of 2-3 Tangles for GHZ and W-Class States

For GHZ state case : N AB , CDE I = N AD , BCE I = N CD , ABE I = N BE I , ACD = N AE I , BCD = cos ( r ) N AB , CD I E I = N CE I , ABD I = N AE I , BCD I = N BD I , ACE I = cos 2 ( r ) N D I E I , ABC = 1 16 3 + 4 cos ( 2 r ) cos [ 4 r ] + 227 + 200 cos ( 2 r ) + 92 cos ( 4 r ) 8 cos ( 6 r ) + cos ( 8 r ) 2 N AB , C I D I E I = 1 64 { 10 + 15 cos ( 2 r ) 6 cos ( 4 r ) + cos ( 6 r ) + 1 2 [ 3022 + 3048 cos ( 2 r ) + 2031 cos ( 4 r ) + 36 cos ( 6 r ) + 66 cos ( 8 r ) 12 cos ( 10 r ) + cos ( 12 r ) ] 1 / 2 } N AE I , BC I D I = N BE I , AC I D I = cos 3 ( r ) N D I E I , ABC I = 1 64 { 2 + cos ( 2 r ) + 2 cos ( 4 r ) cos ( 6 r ) + 2 2 cos 2 ( r ) 291 + 200 cos ( 2 r ) + 28 cos ( 4 r ) 8 cos ( 6 r ) + cos ( 8 r ) } N AB I , C I D I E I = 1 256 { 5 + 4 cos ( 2 r ) + 4 cos ( 4 r ) 4 cos ( 6 r ) + cos ( 8 r ) + 2 2 cos 2 ( r ) [ 3534 + 3304 cos ( 2 r ) + 1519 cos ( 4 r ) 220 cos ( 6 r ) + 66 cos ( 8 r ) 12 cos ( 10 r ) + cos ( 12 r ) ] 1 / 2 } N B I E I , A C I D I = 1 256 3 + 4 cos ( 4 r ) cos ( 8 r ) + 8 2 cos 4 ( r ) 547 56 cos ( 2 r ) + 28 cos ( 4 r ) 8 cos ( 6 r ) + cos ( 8 r ) N A I B I , C I D I E I = 1 256 { 3 + 4 cos ( 4 r ) cos ( 8 r ) + 4 2 cos 4 ( r ) [ 1122 + 848 cos ( 2 r ) + 127 cos ( 4 r ) 72 cos ( 6 r ) + 30 cos ( 8 r ) 8 cos ( 10 r ) + cos ( 12 r ) ] 1 / 2 }
For W class state case : N AB , CDE I = N AD , BCE I = N CD , ABE I = 1 5 ( 2 ) Root 4 # 1 3 + # 1 2 ( 4 cos ( 2 r ) 4 ) + # 1 ( 12 cos ( 2 r ) 2 cos ( 4 r ) 10 ) + cos ( 2 r ) 2 cos ( 4 r ) cos ( 6 r ) + 2 & , 1 N BE I , ACD = N AE I , BCD = 1 5 ( 2 ) Root 32 # 1 3 + # 1 2 ( 48 cos ( 2 r ) 48 ) + # 1 ( 96 cos ( 2 r ) 12 cos ( 4 r ) 84 ) + 9 cos ( 2 r ) 18 cos ( 4 r ) 9 cos ( 6 r ) + 18 & , 1 N AB , CD I E I = 1 10 Root 8 # 1 3 + # 1 2 ( 8 cos ( 4 r ) 8 ) + # 1 ( 352 cos ( 2 r ) + 152 cos ( 4 r ) 32 cos ( 6 r ) 2 cos ( 8 r ) 230 ) + 48 cos ( 2 r ) 15 cos ( 4 r ) + 40 cos ( 6 r ) 26 cos ( 8 r ) 8 cos ( 10 r ) cos ( 12 r ) + 42 & , 1 N CE I , ABD I = N AE I , BCD I = N BD I , ACE I = 1 10 Root 256 # 1 6 + # 1 5 ( 1024 cos ( 2 r ) + + 384 cos ( 4 r ) 1408 ) + # 1 4 ( 8192 cos ( 2 r ) 7424 cos ( 4 r ) 64 cos ( 8 r ) 8896 ) + # 1 3 ( 5120 cos ( 2 r ) 5024 cos ( 4 r ) 4864 cos ( 6 r ) 4416 cos ( 8 r ) 256 cos ( 10 r ) + 96 cos ( 12 r ) + 9536 ) + # 1 2 ( 2048 cos ( 2 r ) + 2432 cos ( 4 r ) + 3072 cos ( 6 r ) + + 1440 cos ( 8 r ) 1024 cos ( 10 r ) 896 cos ( 12 r ) 8 cos ( 16 r ) 2968 ) + + # 1 ( 224 cos ( 2 r ) + 3052 cos ( 4 r ) 448 cos ( 6 r ) 1616 cos ( 8 r ) + 320 cos ( 10 r ) + + 526 cos ( 12 r ) 112 cos ( 14 r ) 92 cos ( 16 r ) + 16 cos ( 18 r ) + 6 cos ( 20 r ) 1876 ) + 792 cos ( 4 r ) + 495 cos ( 8 r ) 220 cos ( 12 r ) + 66 cos ( 16 r ) 12 cos ( 20 r ) + cos ( 24 r ) + 462 & , 1 N D I E I , ABC = 1 40 2 6 cos 4 ( r ) ( 20 cos ( 2 r ) + 3 cos ( 4 r ) + 41 ) + 3 cos ( 4 r ) 3 N AB , C I D I E I = 1 80 cos ( 2 r ) 2 cos ( 4 r ) cos ( 6 r ) 8 2 cos 8 ( r ) ( 20 cos ( 2 r ) + cos ( 4 r ) + 27 ) + 2 N AE I , BC I D I = N BE I , AC I D I = 1 10 Root 134217728 # 1 7 + # 1 6 ( 218103808 cos ( 2 r ) + + 167772160 cos ( 4 r ) + 50331648 cos ( 6 r ) 436207616 ) + # 1 5 ( 5385486336 cos ( 2 r ) + + 3138387968 cos ( 4 r ) 1048576000 cos ( 6 r ) 224395264 cos ( 8 r ) + 8388608 cos ( 10 r ) + 1048576 cos ( 12 r ) 3080716288 ) + # 1 4 ( 2032795648 cos ( 2 r ) + 248512512 cos ( 4 r ) 1369702400 cos ( 6 r ) 1225261056 cos ( 8 r ) + 619970560 cos ( 10 r ) 196083712 cos ( 12 r ) 42795008 cos ( 14 r ) + 4063232 cos ( 16 r ) 327680 cos ( 18 r ) + 1673920512 ) + # 1 3 ( 312737792 cos ( 2 r ) + + 157515776 cos ( 4 r ) + 343670784 cos ( 6 r ) + 234180608 cos ( 8 r ) + + 42336256 cos ( 10 r ) 67977216 cos ( 12 r ) 65667072 cos ( 14 r ) + 27828224 cos ( 16 r ) 7471104 cos ( 18 r ) 1458176 cos ( 20 r ) 131072 cos ( 22 r ) + 20480 cos ( 24 r ) 294412288 ) + # 1 2 ( 17313024 cos ( 2 r ) + 62495232 cos ( 4 r ) + + 36309248 cos ( 6 r ) 27261952 cos ( 8 r ) 28723456 cos ( 10 r ) + 3595776 cos ( 12 r ) + + 11975936 cos ( 14 r ) + 2299904 cos ( 16 r ) 2281728 cos ( 18 r ) 1091072 cos ( 20 r ) + 21248 cos ( 22 r ) + 113664 cos ( 24 r ) + 54016 cos ( 26 r ) + 11776 cos ( 28 r ) + + 256 cos ( 30 r ) 40163328 ) + # 1 ( 3010304 cos ( 2 r ) 12497760 cos ( 4 r ) + 6544384 cos ( 6 r ) + 6131968 cos ( 8 r ) + 5596160 cos ( 10 r ) 1353536 cos ( 12 r ) + 2677248 cos ( 14 r ) 259712 cos ( 16 r ) + 665088 cos ( 18 r ) + 228800 cos ( 20 r ) + 33792 cos ( 22 r ) 30976 cos ( 24 r ) 17408 cos ( 26 r ) 9040 cos ( 28 r ) + 640 cos ( 30 r ) + + 2208 cos ( 32 r ) + 640 cos ( 34 r ) + 48 cos ( 36 r ) + 7788000 ) 60996 cos ( 2 r ) + + 392496 cos ( 4 r ) + 148954 cos ( 6 r ) 262548 cos ( 8 r ) 163710 cos ( 10 r ) + 128928 cos ( 12 r ) + 121176 cos ( 14 r ) 41616 cos ( 16 r ) 64872 cos ( 18 r ) + 4896 cos ( 20 r ) + 25245 cos ( 22 r ) + 2958 cos ( 24 r ) 6903 cos ( 26 r ) 1944 cos ( 28 r ) + + 1210 cos ( 30 r ) + 564 cos ( 32 r ) 102 cos ( 34 r ) 88 cos ( 36 r ) 3 cos ( 38 r ) + 6 cos ( 40 r ) + cos ( 42 r ) 223652 & , 1 N D I E I , ABC I = N C 1 D 1 , ABE 1 = 1 10 Root 64 # 1 3 + # 1 2 ( 224 cos ( 2 r ) + 32 cos ( 4 r ) + 32 cos ( 6 r ) + 288 ) + # 1 ( 2632 cos ( 2 r ) 1538 cos ( 4 r ) 436 cos ( 6 r ) 100 cos ( 8 r ) + 4 cos ( 10 r ) + 2 cos ( 12 r ) 1436 ) + 690 cos ( 2 r ) 212 cos ( 4 r ) 538 cos ( 6 r ) + 356 cos ( 8 r ) 142 cos ( 10 r ) 44 cos ( 12 r ) 10 cos ( 14 r ) cos ( 16 r ) + 613 & , 1
N AB I , C I D I E I = N AD 1 , B 1 C 1 E 1 = 1 40 Root 2048 # 1 4 + ( 4096 cos ( 2 r ) + 10240 cos ( 4 r ) + + 4096 cos ( 6 r ) + 512 cos ( 8 r ) 10752 ) # 1 3 + ( 1179648 cos ( 2 r ) + 772736 cos ( 4 r ) 368640 cos ( 6 r ) 120896 cos ( 8 r ) 24576 cos ( 10 r ) 2432 cos ( 12 r ) + + 16 cos ( 16 r ) 676816 ) # 1 2 + ( 1036320 cos ( 2 r ) + 163200 cos ( 4 r ) + 499872 cos ( 6 r ) 648192 cos ( 8 r ) 457296 cos ( 10 r ) 220224 cos ( 12 r ) + 76016 cos ( 14 r ) 18688 cos ( 16 r ) 3120 cos ( 18 r ) 320 cos ( 20 r ) 16 cos ( 22 r ) + + 724224 ) # 1 + 15504 cos ( 2 r ) 22287 cos ( 4 r ) 27588 cos ( 6 r ) 3534 cos ( 8 r ) + + 13740 cos ( 10 r ) + 10011 cos ( 12 r ) 168 cos ( 14 r ) 3732 cos ( 16 r ) 1896 cos ( 18 r ) + 15 cos ( 20 r ) + 372 cos ( 22 r ) + 174 cos ( 24 r ) + 36 cos ( 26 r ) + 3 cos ( 28 r ) + 19380 & , 1 N B I E I , A C I D I = N D 1 E 1 , AB 1 C 1 = N B 1 C 1 , AD 1 E 1 = 1 40 Root 512 # 1 4 + ( 14336 cos ( 2 r ) + 3584 cos ( 4 r ) + 2048 cos ( 6 r ) + 128 cos ( 8 r ) 12928 ) # 1 3 + ( 309888 cos ( 2 r ) + 208864 cos ( 4 r ) 75648 cos ( 6 r ) 29072 cos ( 8 r ) 7808 cos ( 10 r ) 288 cos ( 12 r ) + + 128 cos ( 14 r ) + 4 cos ( 16 r ) 154996 ) # 1 2 + ( 145024 cos ( 2 r ) 23680 cos ( 4 r ) + 107264 cos ( 6 r ) 68608 cos ( 8 r ) 25344 cos ( 10 r ) 17216 cos ( 12 r ) 11328 cos ( 14 r ) + 4352 cos ( 16 r ) 1088 cos ( 18 r ) 64 cos ( 20 r ) + 113920 ) # 1 15184 cos ( 2 r ) + + 39941 cos ( 4 r ) + 28724 cos ( 6 r ) 10566 cos ( 8 r ) 17660 cos ( 10 r ) 2953 cos ( 12 r ) + + 3976 cos ( 14 r ) + 2204 cos ( 16 r ) + 328 cos ( 18 r ) 123 cos ( 20 r ) 164 cos ( 22 r ) + 90 cos ( 24 r ) 20 cos ( 26 r ) cos ( 28 r ) 28412 & , 1 N A I B I , C I D I E I = N B 1 D 1 , A 1 C 1 E 1 = N D 1 E 1 , A 1 B 1 C 1 = 1 40 Root 512 # 1 3 + ( 256 cos ( 2 r ) + + 2816 cos ( 4 r ) 256 cos ( 6 r ) + 704 cos ( 8 r ) 3520 ) # 1 2 + ( 274560 cos ( 2 r ) + 197120 cos ( 4 r ) 104832 cos ( 6 r ) 41216 cos ( 8 r ) 13440 cos ( 10 r ) + 3584 cos ( 12 r ) 384 cos ( 14 r ) + 64 cos ( 16 r ) 151360 ) # 1 + + 18360 cos ( 2 r ) 18360 cos ( 4 r ) 28152 cos ( 6 r ) 9639 cos ( 8 r ) + 8100 cos ( 10 r ) + + 9684 cos ( 12 r ) + 3132 cos ( 14 r ) 1026 cos ( 16 r ) 1332 cos ( 18 r ) 540 cos ( 20 r ) + 108 cos ( 22 r ) 9 cos ( 24 r ) + 19890 & , 1 0 e m 1 e m

References

  1. Bennett, C.H.; Brassard, G.; Crépeau, C.; Jozsa, R.; Peres, A.; Wootters, W.K. Teleporting an unknown quantum state via dual classical and Einstein-Podolsky-Rosen channels. Phys. Rev. Lett. 1993, 70, 1895. [Google Scholar] [CrossRef]
  2. Bennett, C.H.; Bernstein, E.; Brassard, G.; Vazirani, U. Strengths and weaknesses of quantum computing. SIAM J. Comput. 1997, 26, 1510. [Google Scholar] [CrossRef]
  3. Bouwmeester, D.; Ekert, A.; Zeilinger, A. The physics of quantum information: Basic concepts. In The Physics of Quantum Information; Springer: Berlin, Germany, 2000. [Google Scholar]
  4. Nielsen, M.A.; Chuang, I.L. Quantum Computation and Quantum Information. Phys. Today 2010, 54, 60. [Google Scholar]
  5. Fuchs, C.A.; Gisin, N.; Griffiths, R.B.; Niu, C.S.; Peres, A. Optimal eavesdropping in quantum cryptography. I. Information bound and optimal strategy. Phys. Rev. A 1997, 56, 1163. [Google Scholar] [CrossRef]
  6. Vidal, G. Efficient classical simulation of slightly entangled quantum computations. Quantum coherence and entanglement partitions for two driven quantum dots inside a coherent micro cavity. Phys. Rev. Lett. 2003, 91, 147902. [Google Scholar] [CrossRef]
  7. Mohamed, A.B.A.; Eleuch, H.; Raymond Ooi, C.H. Quantum coherence and entanglement partitions for two driven quantum dots inside a coherent micro cavity. Phys. Lett. A 2019, 383, 125905. [Google Scholar] [CrossRef]
  8. Mohamed, A.B.A.; Eleuch, H. Coherence and information dynamics of a Λ-type three-level atom interacting with a damped cavity field. Eur. Phys. J. Plus 2017, 132, 75. [Google Scholar] [CrossRef]
  9. Asjad, M.; Qasymeh, M.; Eleuch, H. Continuous-Variable Quantum Teleportation Using a Microwave-Enabled Plasmonic Graphene Waveguide. Phys. Rev. Appl. 2021, 16, 034046. [Google Scholar] [CrossRef]
  10. Eleuch, H.; Rotter, I. Nearby states in non-Hermitian quantum systems I: Two states. Eur. Phys. J. D 2015, 69, 229. [Google Scholar] [CrossRef]
  11. Shor, P.W. Algorithms for Quantum Computation: Discrete Logarithms and Factoring. In Proceedings of the 35th Annual Symposium on Foundations of Computer Science, Los Alamitos, CA, USA, 20–22 November 1994; p. 124. [Google Scholar]
  12. Grover, L.K. Quantum Mechanics Helps in Searching for a Needle in a Haystack. Phys. Rev. Lett. 1997, 79, 325. [Google Scholar] [CrossRef]
  13. Augusiak, R.; Horodecki, P. Multipartite secret key distillation and bound entanglement. Phys. Rev. A 2009, 80, 042307. [Google Scholar] [CrossRef]
  14. Alsing, P.M.; Milburn, G.J. Teleportation with a uniformly accelerated partner. Phys. Rev. Lett. 2003, 91, 180404. [Google Scholar] [CrossRef] [PubMed]
  15. Wang, J.; Jing, J. Multipartite entanglement of fermionic systems in noninertial frames. Phys. Rev. A 2011, 83, 022314, Erratum in Phys. Rev. A 2018, 97, 029902. [Google Scholar] [CrossRef]
  16. Alsing, P.M.; Fuentes-Schuller, I.; Mann, R.B.; Tessier, T.E. Entanglement of Dirac fields in noninertial frames. Phys. Rev. A 2006, 74, 032326. [Google Scholar] [CrossRef]
  17. Peres, A.; Terno, D.R. Quantum information and relativity theory. Rev. Mod. Phys. 2004, 76, 93. [Google Scholar] [CrossRef]
  18. Crispino, L.C.B.; Higuchi, A.; Matsa, G.E.A. The Unruh effect and its applications. Rev. Mod. Phys. 2008, 80, 787. [Google Scholar] [CrossRef]
  19. Davies, P.C.W. Scalar production in Schwarzschild and Rindler metrics. J. Phys. A Math. Gen. 1975, 8, 609. [Google Scholar] [CrossRef]
  20. Unruh, W.G. Notes on black-hole evaporation. Phys. Rev. D 1976, 14, 870. [Google Scholar] [CrossRef]
  21. Bruschi, D.E.; Louko, J.; Martín-Martínez, E.; Dragan, A.; Fuentes, I. Unruh effect in quantum information beyond the single-mode approximation. Phys. Rev. A 2010, 82, 042332. [Google Scholar] [CrossRef]
  22. Landulfo, A.G.S.; Matsas, G. Sudden death of entanglement and teleportation fidelity loss via the Unruh effect. Phys. Rev. A 2009, 80, 032315. [Google Scholar] [CrossRef]
  23. Qiang, W.C.; Sun, G.H.; Dong, Q.; Camacho-Nieto, O.; Dong, S.H. Concurrence of three Jaynes–Cummings systems. Quantum Inf. Process. 2018, 17, 90. [Google Scholar] [CrossRef]
  24. Qiang, W.C.; Sun, G.H.; Dong, Q.; Dong, S.H. Genuine multipartite concurrence for entanglement of Dirac fields in noninertial frames. Phys. Rev. A 2018, 98, 022320. [Google Scholar] [CrossRef]
  25. Hwang, M.R.; Park, D.; Jung, E. Tripartite entanglement in a noninertial frame. Phys. Rev. A 2011, 83, 012111. [Google Scholar] [CrossRef]
  26. Yao, Y.; Xiao, X.; Ge, L.; Wang, X.G.; Sun, C.P. Quantum Fisher information in noninertial frames. Phys. Rev. A 2014, 89, 042336. [Google Scholar] [CrossRef]
  27. Khan, S. Tripartite entanglement of fermionic system in accelerated frames. Ann. Phys. 2014, 348, 270. [Google Scholar] [CrossRef]
  28. Khan, S.; Khan, N.A.; Khan, M.K. Non-maximal tripartite entanglement degradation of Dirac and scalar fields in non-inertial frames. Commun. Theor. Phys. 2014, 61, 281. [Google Scholar] [CrossRef][Green Version]
  29. Bruschi, D.E.; Dragan, A.; Fuentes, I.; Louko, J. Particle and antiparticle bosonic entanglement in noninertial frames. Phys. Rev. D 2012, 86, 025026. [Google Scholar] [CrossRef]
  30. Martín-Martínez, E.; Fuentes, I. Redistribution of particle and antiparticle entanglement in noninertial frames. Phys. Rev. A 2011, 83, 052306. [Google Scholar] [CrossRef]
  31. Friis, N.; Lee, A.R.; Bruschi, D.E. Fermionic-mode entanglement in quantum information. Phys. Rev. A 2013, 87, 022338. [Google Scholar] [CrossRef]
  32. Smith, A.; Mann, R.B. Persistence of tripartite nonlocality for noninertial observers. Phys. Rev. A 2012, 86, 012306. [Google Scholar] [CrossRef]
  33. Moradpour, H.; Maghool, S.; Moosavi, S.A. Three-particle Bell-like inequalities under Lorentz transformations. Quantum Inf. Process. 2015, 14, 3913. [Google Scholar] [CrossRef][Green Version]
  34. Moradi, S.; Amiri, F. Nonlocality and multipartite entanglement in asymptotically flat space-times. Commun. Theor. Phys. 2016, 65, 17. [Google Scholar] [CrossRef]
  35. Fuentes-Schuller, I.; Mann, R.B. Alice falls into a black hole: Entanglement in noninertial frames. Phys. Rev. Lett. 2005, 95, 120404. [Google Scholar] [CrossRef] [PubMed]
  36. Ou, Y.C.; Fan, H. Monogamy inequality in terms of negativity for three-qubit states. Phys. Rev. A 2007, 75, 062308. [Google Scholar] [CrossRef]
  37. Park, D.K. Tripartite entanglement-dependence of tripartite non-locality in non-inertial frames. J. Phys. A 2012, 45, 415308. [Google Scholar] [CrossRef][Green Version]
  38. Hwang, M.R.; Jung, E.; Park, D.K. Three-tangle in non-inertial frame. Class. Quant. Grav. 2012, 29, 224004. [Google Scholar] [CrossRef]
  39. Park, D.K. Tripartite entanglement dynamics in the presence of Markovian or non-Markovian environment. Quantum Inf. Process. 2016, 15, 3189. [Google Scholar] [CrossRef]
  40. Gartzke, S.; Osterloh, A. Generalized W state of four qubits with exclusively the three-tangle. Phys. Rev. A 2018, 98, 052307. [Google Scholar] [CrossRef]
  41. Peng, X.H.; Suter, D. Spin qubits for quantum simulations. Front. Phys. China 2010, 5, 1. [Google Scholar] [CrossRef]
  42. Torres-Arenas, A.J.; López-Zúñiga, E.O.; Saldaña-Herrera, J.A.; Dong, Q.; Sun, G.H.; Dong, S.H. Tetrapartite entanglement measures of W-class in noninertial frames. Chin. Phys. B 2019, 28, 070301. [Google Scholar] [CrossRef]
  43. Torres-Arenas, A.J.; Dong, Q.; Sun, G.H.; Qiang, W.C.; Dong, S.H. Entanglement measures of W-state in noninertial frames. Phys. Lett. B 2019, 789, 93. [Google Scholar] [CrossRef]
  44. Dong, Q.; Torres-Arenas, A.J.; Sun, G.H.; Dong, S.H. Tetrapartite entanglement features of W-Class state in uniform acceleration. Front. Phys. 2020, 15, 11602. [Google Scholar] [CrossRef]
  45. Dong, Q.; Sánchez-Manilla, A.A.; López-Yáñez, I.; Sun, G.H.; Dong, S.H. Tetrapartite entanglement measures of GHZ state with uniform acceleration. Phys. Scr. 2019, 94, 105101. [Google Scholar] [CrossRef]
  46. Dong, Q.; Mercado Sanchez, M.A.; Sun, G.H.; Toutounji, M.; Dong, S.H. Tripartite entanglement measures of generalized GHZ state in uniform acceleration. Chin. Phys. Lett. 2019, 36, 100301. [Google Scholar] [CrossRef]
  47. Dong, Q.; Sun, G.H.; Toutounji, M.; Dong, S.H. Tetrapartite entanglement measures of GHZ state with nonuniform acceleration. Optik 2020, 201, 163487. [Google Scholar] [CrossRef]
  48. Dong, Q.; Santana Carrillo, R.; Sun, G.H.; Dong, S.H. Tetrapartite entanglement measures of generalized GHZ state in the noninertial frames. Chin. Phys. B 2022, 31, 030303. [Google Scholar] [CrossRef]
  49. Sun, W.Y.; Wang, D.; Yang, J.; Ye, L. Enhancement of multipartite entanglement in an open system under non-inertial frames. Quantum Inf. Process. 2017, 16, 90. [Google Scholar] [CrossRef]
  50. Coffman, V.; Kundu, J.; Wooters, W.K. Distributed entanglement. Phys. Rev. A 2000, 61, 052306. [Google Scholar] [CrossRef]
  51. Mejía Ocampo, D.; Salgado Ramírez, J.C.; Yáñez-Márquez, C.; Sun, G.H. Entanglement measures of a pentapartite W-class state in the noninertial frame. Quantum Inf. Process. 2022, 21, 46. [Google Scholar]
  52. Dür, W.; Vidal, G.; Cirac, J.I. Three qubits can be entangled in two inequivalent ways. Phys. Rev. A 2000, 62, 062314. [Google Scholar] [CrossRef]
  53. Socolovsky, M. Rindler space and Unruh effect. arXiv 2013, arXiv:1304.2833. [Google Scholar]
  54. Nakahara, M.; Wan, Y.; Sasaki, Y. Diversities in Quantum Computation and Quantum Information; World Scientific: Singapore, 2013. [Google Scholar]
  55. Birrel, N.D.; Davies, P.C.W. Quantum Fields in Curved Space; Cambridge University: Cambridge, UK, 1982. [Google Scholar]
  56. Qiang, W.C.; Zhang, L. Geometric measure of quantum discord for entanglement of Dirac fields in noninertial frames. Phys. Lett. B 2015, 742, 383. [Google Scholar] [CrossRef]
  57. Dong, Q.; Torres-Arenas, A.J.; Sun, G.H.; Qiang, W.C.; Dong, S.H. Entanglement measures of a new type pseudo-pure state in accelerated frames. Front. Phys. 2019, 14, 21603. [Google Scholar] [CrossRef]
  58. Mehri-Dehnavi, H.; Mirza, B.; Mohammadzadeh, H.; Rahimi, R. Pseudo-entanglement evaluated in noninertial frames. Ann. Phys. 2011, 326, 1320. [Google Scholar] [CrossRef]
  59. Doukas, J.; Brown, E.G.; Dragan, A.; Mann, R.B. Entanglement and discord: Accelerated observations of local and global modes. Phys. Rev. A 2013, 87, 012306. [Google Scholar] [CrossRef]
  60. Martín-Martínez, E.; Garay, L.J.; León, J. Unveiling quantum entanglement degradation near a Schwarzschild black hole. Phys. Rev. D 2010, 82, 064006. [Google Scholar] [CrossRef]
  61. Martín-Martínez, E.; Garay, L.J.; León, J. Quantum entanglement produced in the formation of a black hole. Phys. Rev. D 2010, 82, 064028. [Google Scholar] [CrossRef]
  62. Martín-Martínez, E.; Hosler, D.; Montero, M. Fundamental limitations to information transfer in accelerated frames. Phys. Rev. A 2012, 86, 062307. [Google Scholar] [CrossRef]
  63. Dragan, A.; Doukas, J.; Martín-Martínez, E.; Edward Bruschi, D. Localized projective measurement of a quantum field in non-inertial frames. Class. Quantum Grav. 2013, 30, 235006. [Google Scholar] [CrossRef][Green Version]
  64. Dragan, A.; Doukas, J.; Martín-Martínez, E. Localized detection of quantum entanglement through the event horizon. Phys. Rev. A 2013, 87, 052326. [Google Scholar] [CrossRef]
  65. Alsing, P.M.; Fuentes, I. Observer-dependent entanglement. Class. Quantum Grav. 2012, 29, 224001. [Google Scholar] [CrossRef]
  66. Choi, J.H.; Kim, J.S. Negativity and strong monogamy of multiparty quantum entanglement beyond qubits. Phys. Rev. A 2015, 92, 042307. [Google Scholar] [CrossRef]
  67. Vidal, G.; Werner, R.F. Computable measure of entanglement. Phys. Rev. A 2002, 65, 032314. [Google Scholar] [CrossRef]
  68. Li, Y.; Liu, C.; Wang, Q.; Zhang, H.; Hu, L. Tetrapartite entanglement of fermionic systems in noninertial frames. Optik 2016, 127, 9788. [Google Scholar] [CrossRef]
  69. Williams, C.P. Explorations in Quantum Computing; Springer Science and Business Media: New York, NY, USA, 2010. [Google Scholar]
  70. Oliveira, D.S.; Ramos, R.V. Residual entanglement with negativity for pure four-qubit quantum states. Quantum Inf. Process. 2010, 9, 497. [Google Scholar] [CrossRef]
  71. Sabín, C.; García-Alcaine, G. A classification of entanglement in three-qubit systems. Eur. Phys. J. D 2008, 48, 435. [Google Scholar] [CrossRef]
  72. von Neumann, J. Mathematical Foundations of Quantum Mechanics; Princeton University Press: Princeto, NJ, USA, 1996. [Google Scholar]
  73. Popescu, S.; Rohrlich, D. Thermodynamics and the measure of entanglement. Phys. Rev. A 1997, 56, R3319. [Google Scholar] [CrossRef]
  74. Bengtsson, I.; Życzkowski, K. Geometry of Quantum States: An Introduction to Quantum Entanglement; Cambridge University Press: New York, NY, USA, 2006. [Google Scholar]
Figure 1. Rindler space time diagram: lines of constant position ξ are hyperbolas and lines of constant proper time τ for the accelerated observer run through the origin. In present work, we denote regions I and II as Bob and anti-Bob, respectively. The reader can refer to Ref. [55] for more information.
Figure 1. Rindler space time diagram: lines of constant position ξ are hyperbolas and lines of constant proper time τ for the accelerated observer run through the origin. In present work, we denote regions I and II as Bob and anti-Bob, respectively. The reader can refer to Ref. [55] for more information.
Entropy 24 00754 g001
Figure 2. Panels (a,b) show the variation of 1-4 tangle with the parameter r in the case of pentapartite GHZ and W-class states, respectively, when only one qubit is accelerated.
Figure 2. Panels (a,b) show the variation of 1-4 tangle with the parameter r in the case of pentapartite GHZ and W-class states, respectively, when only one qubit is accelerated.
Entropy 24 00754 g002
Figure 3. Same as Figure 2 but when two qubits are accelerated.
Figure 3. Same as Figure 2 but when two qubits are accelerated.
Entropy 24 00754 g003
Figure 4. Same as Figure 2 and Figure 3 but when three qubits are accelerated.
Figure 4. Same as Figure 2 and Figure 3 but when three qubits are accelerated.
Entropy 24 00754 g004
Figure 5. Same as above but when four qubits are accelerated.
Figure 5. Same as above but when four qubits are accelerated.
Entropy 24 00754 g005
Figure 6. Same as above but when all qubits are accelerated.
Figure 6. Same as above but when all qubits are accelerated.
Entropy 24 00754 g006
Figure 7. Panels (a,b) corresponding to GHZ and W-class states with respect to Alice show the variations of the 1-4 tangle for 1 to 5 arbitrary selected qubits as a function of the acceleration parameter r.
Figure 7. Panels (a,b) corresponding to GHZ and W-class states with respect to Alice show the variations of the 1-4 tangle for 1 to 5 arbitrary selected qubits as a function of the acceleration parameter r.
Entropy 24 00754 g007
Figure 8. Same as Figure 7 but with respect to Elly.
Figure 8. Same as Figure 7 but with respect to Elly.
Entropy 24 00754 g008
Figure 9. Plot of 1-1 tangle for pentapartite W-class state as a function of acceleration parameter r.
Figure 9. Plot of 1-1 tangle for pentapartite W-class state as a function of acceleration parameter r.
Entropy 24 00754 g009
Figure 10. Panels (a,b) show the 2-3 tangle for both GHZ and W-class states, respectively, when only one qubit is accelerated.
Figure 10. Panels (a,b) show the 2-3 tangle for both GHZ and W-class states, respectively, when only one qubit is accelerated.
Entropy 24 00754 g010
Figure 11. Panels (a,b) show the 2-3 tangle for both GHZ and W-class states, respectively, when two qubits are accelerated.
Figure 11. Panels (a,b) show the 2-3 tangle for both GHZ and W-class states, respectively, when two qubits are accelerated.
Entropy 24 00754 g011
Figure 12. Panels (a,b) show the 2-3 tangle for both GHZ and W-class states, respectively, when three observers are accelerated.
Figure 12. Panels (a,b) show the 2-3 tangle for both GHZ and W-class states, respectively, when three observers are accelerated.
Entropy 24 00754 g012
Figure 13. Panels (a,b) show the 2-3 tangle for both GHZ and W-class states, respectively, when four qubits are accelerated.
Figure 13. Panels (a,b) show the 2-3 tangle for both GHZ and W-class states, respectively, when four qubits are accelerated.
Entropy 24 00754 g013
Figure 14. Panels (a,b) show the 2-3 tangle for both GHZ and W-class states, respectively, when all qubits are accelerated.
Figure 14. Panels (a,b) show the 2-3 tangle for both GHZ and W-class states, respectively, when all qubits are accelerated.
Entropy 24 00754 g014
Figure 15. Panels (a,b) show the 2-3 tangles for both GHZ and W-class states, respectively, when 1 to 5 qubits is (are) accelerated.
Figure 15. Panels (a,b) show the 2-3 tangles for both GHZ and W-class states, respectively, when 1 to 5 qubits is (are) accelerated.
Entropy 24 00754 g015
Figure 16. Panels (a,b) show the whole residual entanglement measure π 5 of GHZ and W-class states, respectively, when 1 to 5 observers is (are) accelerated.
Figure 16. Panels (a,b) show the whole residual entanglement measure π 5 of GHZ and W-class states, respectively, when 1 to 5 observers is (are) accelerated.
Entropy 24 00754 g016
Figure 17. Same as Figure 16 but for the whole entanglement measures Π 5 .
Figure 17. Same as Figure 16 but for the whole entanglement measures Π 5 .
Entropy 24 00754 g017
Figure 18. Panels (a,b) show the difference between whole entanglement measure π 5 when 3 observers are accelerated for the GHZ and W-class states, respectively.
Figure 18. Panels (a,b) show the difference between whole entanglement measure π 5 when 3 observers are accelerated for the GHZ and W-class states, respectively.
Entropy 24 00754 g018
Figure 19. Panels (a,b) show the von Neumann entropy of the GHZ and W-class states when 1, 2, 3, 4, and all observers are accelerated.
Figure 19. Panels (a,b) show the von Neumann entropy of the GHZ and W-class states when 1, 2, 3, 4, and all observers are accelerated.
Entropy 24 00754 g019
Table 1. Eigenvalues of GHZ density matrices in the noninertial frame.
Table 1. Eigenvalues of GHZ density matrices in the noninertial frame.
Density MatrixEigenvalues
ρ A B C D E I λ 31 = 1 4 ( 3 + cos ( 2 r ) )
λ 32 = sin 2 ( r ) 2
ρ A B C D I E I λ 29 = 1 16 ( 11 + 4 cos ( 2 r ) + cos ( 4 r ) )
λ 30 = sin 4 ( r ) 2
λ 31 = λ 32 = sin 2 ( 2 r ) 8
ρ A B C I D I E I λ 25 = 1 64 ( 15 cos ( 2 r ) + 6 cos ( 4 r ) + cos ( 6 r ) + 42 )
λ 26 = λ 27 = λ 28 = λ 29 = λ 30 = λ 31 = 1 2 sin 4 ( r ) cos 2 ( r )
λ 32 = sin 6 ( r ) 2
ρ A B I C I D I E I λ 17 = 1 256 ( 56 cos ( 2 r ) + 28 cos ( 4 r ) + 8 cos ( 6 r ) + cos ( 8 r ) + 163 )
λ 18 = λ 19 = λ 20 = λ 21 = 1 2 sin 2 ( r ) cos 6 ( r )
λ 22 = λ 23 = λ 24 = λ 25 = 1 2 sin 6 ( r ) cos 2 ( r )
λ 26 = sin 8 ( r ) 2
λ 27 = λ 28 = λ 29 = λ 31 = λ 32 = 1 32 sin 4 ( 2 r )
ρ A I B I C I D I E I λ 1 = λ 2 = 1 1024 ( 382 + 120 cos ( 4 r ) + 10 cos ( 8 r ) +
                  2 ( cos ( 4 r ) + 7 ) 2 ( 511 cos ( 4 r ) + 62 cos ( 8 r ) + cos ( 12 r ) + 1474 ) )
λ 3 = λ 4 = λ 5 = λ 6 = λ 7 = λ 8 = λ 9 = λ 10 = λ 11 = λ 12 = λ 13 = λ 14 = λ 15 = λ 16 = λ 17 = 1 2 sin 4 ( r ) cos 6 ( r )
λ 18 = λ 19 = λ 20 = λ 21 = λ 22 = λ 23 = λ 24 = λ 25 = λ 26 = λ 27 = 1 2 sin 6 ( r ) cos 4 ( r )
λ 28 = λ 29 = λ 30 = λ 31 = λ 32 = 1 2 sin 8 ( r ) cos 2 ( r )
Publisher’s Note: MDPI stays neutral with regard to jurisdictional claims in published maps and institutional affiliations.

Share and Cite

MDPI and ACS Style

Manríquez Zepeda, J.L.; Rueda Paz, J.; Avila Aoki, M.; Dong, S.-H. Pentapartite Entanglement Measures of GHZ and W-Class State in the Noninertial Frame. Entropy 2022, 24, 754. https://doi.org/10.3390/e24060754

AMA Style

Manríquez Zepeda JL, Rueda Paz J, Avila Aoki M, Dong S-H. Pentapartite Entanglement Measures of GHZ and W-Class State in the Noninertial Frame. Entropy. 2022; 24(6):754. https://doi.org/10.3390/e24060754

Chicago/Turabian Style

Manríquez Zepeda, Juan Luis, Juvenal Rueda Paz, Manuel Avila Aoki, and Shi-Hai Dong. 2022. "Pentapartite Entanglement Measures of GHZ and W-Class State in the Noninertial Frame" Entropy 24, no. 6: 754. https://doi.org/10.3390/e24060754

APA Style

Manríquez Zepeda, J. L., Rueda Paz, J., Avila Aoki, M., & Dong, S.-H. (2022). Pentapartite Entanglement Measures of GHZ and W-Class State in the Noninertial Frame. Entropy, 24(6), 754. https://doi.org/10.3390/e24060754

Note that from the first issue of 2016, this journal uses article numbers instead of page numbers. See further details here.

Article Metrics

Back to TopTop