Correction: Kasza et al. New, Spherical Solutions of Non-Relativistic, Dissipative Hydrodynamics. Entropy 2022, 24, 514
1. Change in Main Body Paragraphs
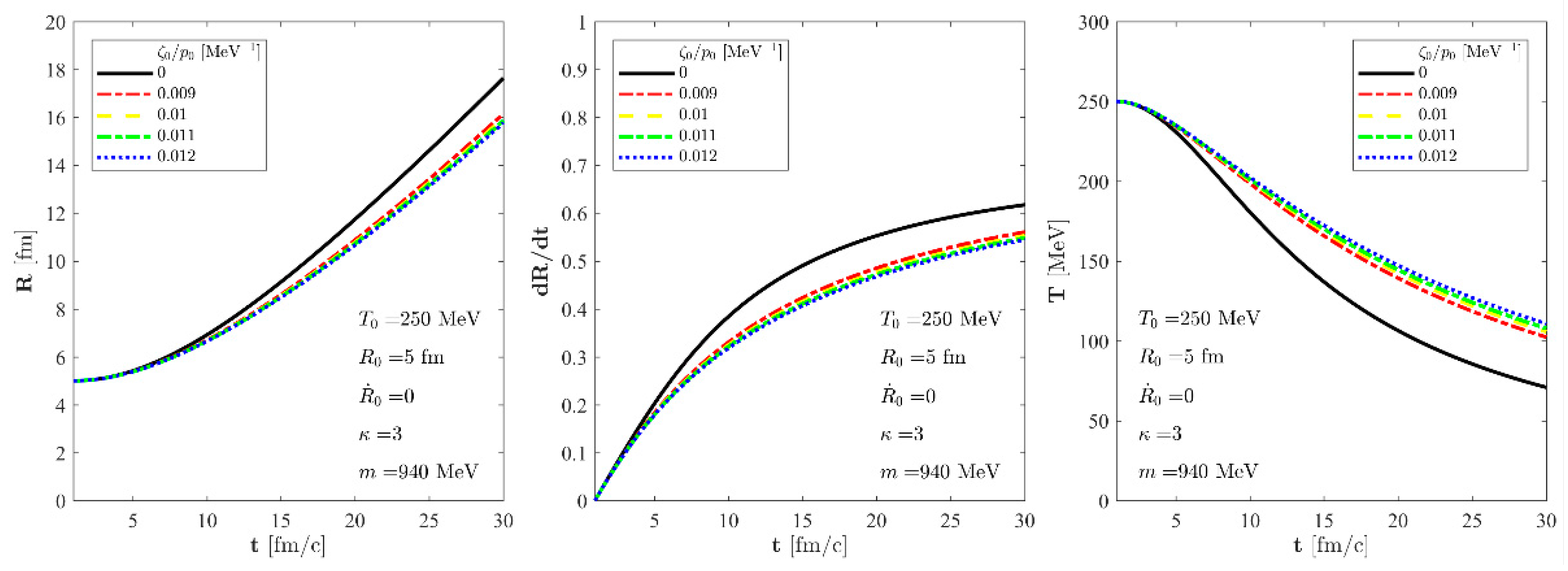
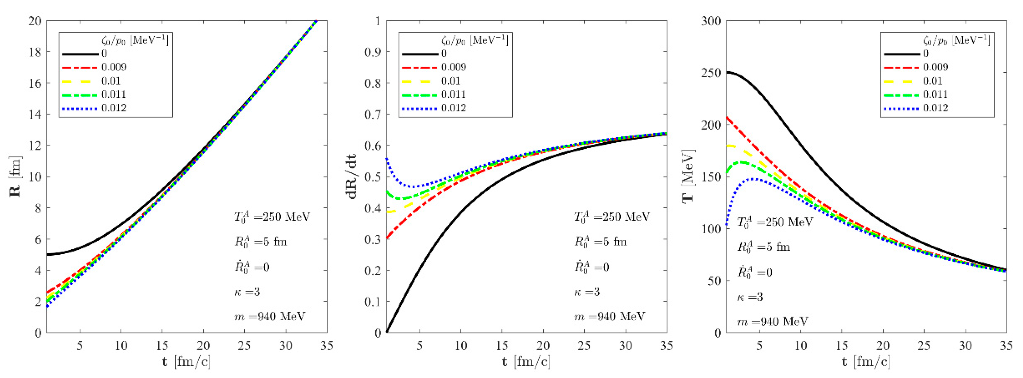
2. Change in Figures
Reference
- Kasza, G.; Csernai, L.P.; Csörgő, T. New, Spherical Solutions of Non-Relativistic Dissipative Hydrodynamics. Entropy 2022, 24, 514. [Google Scholar] [CrossRef] [PubMed]


| Publisher’s Note: MDPI stays neutral with regard to jurisdictional claims in published maps and institutional affiliations. | 
© 2022 by the authors. Licensee MDPI, Basel, Switzerland. This article is an open access article distributed under the terms and conditions of the Creative Commons Attribution (CC BY) license (https://creativecommons.org/licenses/by/4.0/).
Share and Cite
Kasza, G.; Csernai, L.P.; Csörgő, T. Correction: Kasza et al. New, Spherical Solutions of Non-Relativistic, Dissipative Hydrodynamics. Entropy 2022, 24, 514. Entropy 2022, 24, 821. https://doi.org/10.3390/e24060821
Kasza G, Csernai LP, Csörgő T. Correction: Kasza et al. New, Spherical Solutions of Non-Relativistic, Dissipative Hydrodynamics. Entropy 2022, 24, 514. Entropy. 2022; 24(6):821. https://doi.org/10.3390/e24060821
Chicago/Turabian StyleKasza, Gábor, László P. Csernai, and Tamás Csörgő. 2022. "Correction: Kasza et al. New, Spherical Solutions of Non-Relativistic, Dissipative Hydrodynamics. Entropy 2022, 24, 514" Entropy 24, no. 6: 821. https://doi.org/10.3390/e24060821
APA StyleKasza, G., Csernai, L. P., & Csörgő, T. (2022). Correction: Kasza et al. New, Spherical Solutions of Non-Relativistic, Dissipative Hydrodynamics. Entropy 2022, 24, 514. Entropy, 24(6), 821. https://doi.org/10.3390/e24060821
 
        


