Abstract
In this paper, we study the finite element method of the Navier–Stokes equations with the initial data belonging to the space for all time . Due to the poor smoothness of the initial data, the solution of the problem is singular, although in the -norm, when . Under the uniqueness condition, by applying the integral technique and the estimates in the negative norm, we deduce the uniform-in-time optimal error bounds for the velocity in -norm and the pressure in -norm.
1. Introduction
In this paper, we consider the error estimates of the mixed finite element approximation to the time-dependent Navier–Stokes equations with nonsmooth initial data as follows:
where is a bounded domain in that has a Lipschitz continuous boundary and satisfies the additional condition (A1) (see below), is the viscosity, is the velocity, is the pressure, is the prescribed body force, and is the initial velocity.
Many works are devoted to the finite element approximation of the Navier–Stokes Equations (1) and (2). The reader is referred to [1,2,3,4,5,6,7,8], for instance. In these classical works, they usually considered the problem under the smooth initial data condition ( or ). There are few papers on the problem with the rough initial data. When only belongs to the space, the solution of the system (1) and (2) is singular, although in the -norm. Therefore, the classical error analysis technique is not feasible in this case. However, various issues are considered in other references, e.g., see [9,10] for the finite element method of the linear parabolic equations and [11,12,13,14] for the Navier–Stokes equations. In [11], the stability of the finite element method for the Navier–Stokes equations with the nonsmooth initial data was obtained on the finite time interval. Due to the special character of the spectral operator and using the high-dimensional spectral space when and the low-dimensional spectral space when , they gave error estimates for the velocity of the spectral method [12]. In fact, they applied the two-grid method in analysis. Recently, the -stability of the first- and second-order fully discrete schemes were investigated in [13,14], respectively, and these analysis techniques were extended to other nonlinear problems, such as the Oldroyd model [15], the natural convection equations [16], and the Boussinesq equations [17]. On the other hand, the long-time analysis for the numerical method is also very significant. The reader is referred to [7,18,19] for more details. However, according to the authors’ best knowledge, error estimates for the Navier–Stokes equation with initial data belonging to are not available.
In this paper, first, we divide the error of the finite element method into two parts: one part is generated by the approximate linearization problem, and the other part is generated by the approximate nonlinear term. Then, based on the stability of the solution of the problems (1) and (2) with given in [12], assuming the given data satisfying the uniqueness condition, and using the integral technique and the estimates in the negative norm to overcome the singularity of the solution on , we derive the finite element error estimates for the linearized problem, and the error resulting from the approximation of the nonlinear term can also be obtained from the trigonometric inequality.
The paper is organized as follows. In the next section, we will recall some functional settings for the problem. Then, we will introduce the finite element approximation and the stability of finite element solutions in Section 3, and derive the uniform error estimates for the velocity and pressure in Section 4. In Section 5, we show some numerical examples to verify the theoretical predictions. Finally, conclusions are made in Section 6.
2. Functional Settings
In this section, we introduce the notation used in what follows. We introduce the Hilbert spaces:
where is the usual norm of the Sobolev space or for i = 1, 2, and and is the inner product and norm of or , respectively. The scalar product and norm of the spaces and X are given by
We also define the closed smooth solenoidal vector fields V in the norm of X and the closed smooth solenoidal vector fields H in the norm of Y as
where n is the unit outerward normal vector of the domain boundary and the Stokes operator by and the Laplace operator , where P is the -orthogonal projection of Y onto
To proceed, we need a further assumption concerning :
(A1) Assume that is regular in the sense that a unique solution of the Stokes problem
for any prescribed exists and satisfies
where is a positive constant. Hereafter, are generic positive constants independent of the mesh size h. They are subject to different values in different cases.
(A1) implies
where is the minimal eigenvalue of the Laplace operator .
Furthermore, we make the following assumptions on the prescribed data for the problems (1) and (2):
(A2) The initial velocity and the body force satisfy
where .
The continuous bilinear forms on and on are, respectively, defined by
Obviously, the bilinear form is continuous and coercive, and the bilinear form is continuous and satisfies the inf-sup condition known as the Ladyzhenskaya–Babuka–Brezzi (LBB) condition [1]: there exists a positive constant such that
with
the trilinear form is, for all ,
It holds true that (see [4,20])
where is only dependent on the domain . In this notation, the weak formulation of the problems (1) and (2) is as follows: Find , such that for all
Theorem 1.
Under the assumptions (A1) and (A2), the problems (1) and (2) admits a unique solution, which satisfies the following bounds for all
where , and
Proof.
The existence and uniqueness of the solution are provided in, e.g., Section 3 of Chapter II in [20,21]. For (12)–(15), the reader is referred to Theorem 2.1 in [12]. We only need to prove the other inequalities.
Taking in (10) and using (5), we have
Integrating (19) with respect to the time from 0 to t and multiplying by , we arrive at
Letting and using the L’Hospital rule, we find that
which implies (16).
Applying the Stokes operator A to the first equation in (1), we have
which, combining with (12) and (13), implies
Using a similar process as above, we can obtain (18), which is omitted here. The proof is completed. □
We will use the Gronwall lemma.
Lemma 1
([2,8]). Let be three locally integrable nonnegative functions on the time internal that, for all , satisfy
where is a nonnegative function on is constant. Then,
3. Finite Element Approximation
Suppose that is the partitioning of , and are the diameter of the element K and the supremum of the diameter of a ball contained in K, respectively, and the mesh size , satisfying . In addition, assume that the partitioning is uniformly regular, that is, as h tends to zero, if there exists positive constants such that for any (e.g., see Chapter 2–3 in [22] and Appendix A in [1] for more details).
We also introduce finite-dimensional subspaces which are characterized by . Two frequently used examples of the finite element spaces are as follows [1]. Let denote the space of polynomials of degree less than or equal to l on the element K.
Example 1. (Girault–Raviart element).
Example 2. (Mini-element). We introduce , taking the value 1 at the barycenter of the element K in the partition and such that , which is called a “bubble function”. We then define the space
Then, we define
Moreover, we define the subspace of by
Let be the -orthogonal projection operators given by
the discrete analogue of the Stokes operator A The restriction of to is invertible [4]. Using the inverse function , which is self-adjoint and positive definite, we may define “discrete” Sobolev norms on for any order , by setting .
(A3) For the finite element spaces , we assume that the following approximation properties hold: for all there exist operators and such that
together with the inverse inequality
and the discrete LBB condition (see, e.g., Theorem 1.1 of Chapter II in [1]): for each there exists a positive constant and such that
The following properties are classical (see [1,3]):
With the above notations, the finite element semi-discrete approximation of the problems (10) and (11) reads: Find such that for all
For the finite element approximation problems (31) and (32), applying the same manner as that in Theorem 1 above and Proposition 3.2 of [4], we obtain that
Theorem 2.
Under the assumptions of (A1)–(A3), the solution of the problems (31) and (32) satisfies the following bounds for all time
4. Uniform Error Estimates
In this section, we discuss error estimates for the finite element approximation. Because of the singularity of the solution on , we first need to introduce an intermediate step which is defined by a finite element Galerkin approximation to the linearized Navier–Stokes equations: Find such that for all
Setting the finite approximation error , it follows that
where is the error generated by the finite element approximation of the linearized system (38) and (39), and represents the error coming from the nonlinear term.
To give the optimal error estimate for , we also need to recall the Stokes projection. For and , define by
with .
We have the following lemma for the Stokes projection:
Lemma 2.
Proof.
The results in (42) and (43) are classical, which can be found in [3]. To derive (44) and (45), we consider the following dual problem: Find such that
which follows that, after simple calculation,
Therefore, it holds that
That is,
which implies (44). Applying a similar process, we can obtain the inequality (45). This completes the proof. □
In line with the notation introduced in (40), we thus find
with , which means that we split into two parts, and . Since bounds for the first part were given in Lemma 2, we only need to analyze the second part in the following. Then, the estimates for follow directly.
Note that for estimates of in (49), the introduction of the term is necessary so that we can avoid nonlocal compatibility conditions [2,3,4]. Firstly, we introduce the following symbol:
The above equation implies that
Integrating (49) from 0 to t and noting that , we obtain
Lemma 3.
Under the assumptions of Theorem 2, we have, for all ,
Proof.
Setting in (50) and noting that
we obtain
By the Young inequality and (3), we have
Taking this estimate into (55), then integrating it from 0 to t and using (44) with , (12) and (17), one finds
after a final multiplying by . Taking in (50) yields
Applying
in the above equation, using (44) with and Theorem 1, then multiplying the resulting inequality by and considering (56), we obtain (51).
Choosing in (50), we find
There holds
Combining this inequality with (57), integrating it concerning the time from 0 to t, then multiplying it by and using (42), (13), (18) and (51), we obtain
Setting in (49), it holds that
Applying
in the above equation, using (45) and Theorem 1, we have (52) by considering (58).
Theorem 2 and Lemmas 2 and 3 imply the following.
Lemma 4.
Under the assumptions of Theorem 2, we have, for all , that
Lemma 4 provides the error bounds generated by the finite element approximation to the linearized Navier–Stokes when the initial data belong to the space. Next, we consider the errors from the nonlinear terms. The long-term behavior of the finite element error is discussed below.
Lemma 5.
Under the assumptions of Theorem 2, if
there holds
Proof.
Taking in (67) and using (5), we have
By (10), it holds true that
Combining these estimates with (78), integrating it from 0 to t, and multiplying by , one finds that
Letting and using the L’Hospital rule, it follows that
Inputting the above equations into (69), taking the limitation concerning the time, using Theorems 1 and 2 and Lemma 4, and noting that , we obtain
The proof is completed. □
Lemma 6.
Under the assumption of Lemma 5, we have, for all ,
Proof.
We first consider the case when . Integrating (67) from 0 to t and noting that
we obtain
Taking and using
in (73), then integrating from 0 to t and using Lemmas 1 and 4–6, and Theorems 1 and 2, we deduce that
Moreover, taking and in (73), respectively, and following a similar process, we have
When , it is easily derived by according the classical process. The proof is completed. □
Lemma 7.
Under the assumptions of Lemma 5, we have, for all ,
Proof.
Since there exists a sufficiently large enough T such that with being the neighborhood of in which the inequality (66) holds, first, we consider the error on the domain . Taking in (67), it follows that
Using (5) and (6), there hold that
which implies, by using Lemma 6, that
Applying Theorems 1 and 2, Lemma 4, the Hlder inequality, and the inverse inequality (26), it holds true that
Inputting the above estimates into (79) and using the Gronwall lemma yields
where
Since
when inputting the above inequality into (80), (76) is followed. On the other hand, noting that for and using Lemma 5, it is easy to check that (76) holds on .
Theorem 3.
Under the assumptions of Lemma 5, we have, for all ,
Proof.
By using Lemmas 4 and 6, we have (83)–(85). To prove (86), subtracting (31) from (10), we arrive at
From the definition of and (87), there holds that
By (6), (28) and (29), we have
Taking these estimates into (88), and using Theorems 1 and 2, (84) and (85), we obtain
Due to the discrete LBB condition and applying a similar process to that in (89), there holds
The proof is completed. □
5. Numerical Examples
In this section, we show some numerical examples to verify the theoretical prediction. Taking , , and the time step (the implicit Euler scheme is applied to the temporal discretization), and using mini-element in the spatial approximation, we investigate the solutions with different nonsmooth initial data.
Case I: Setting
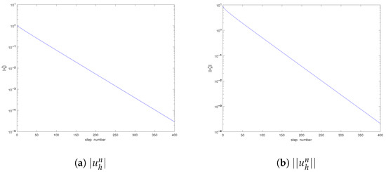
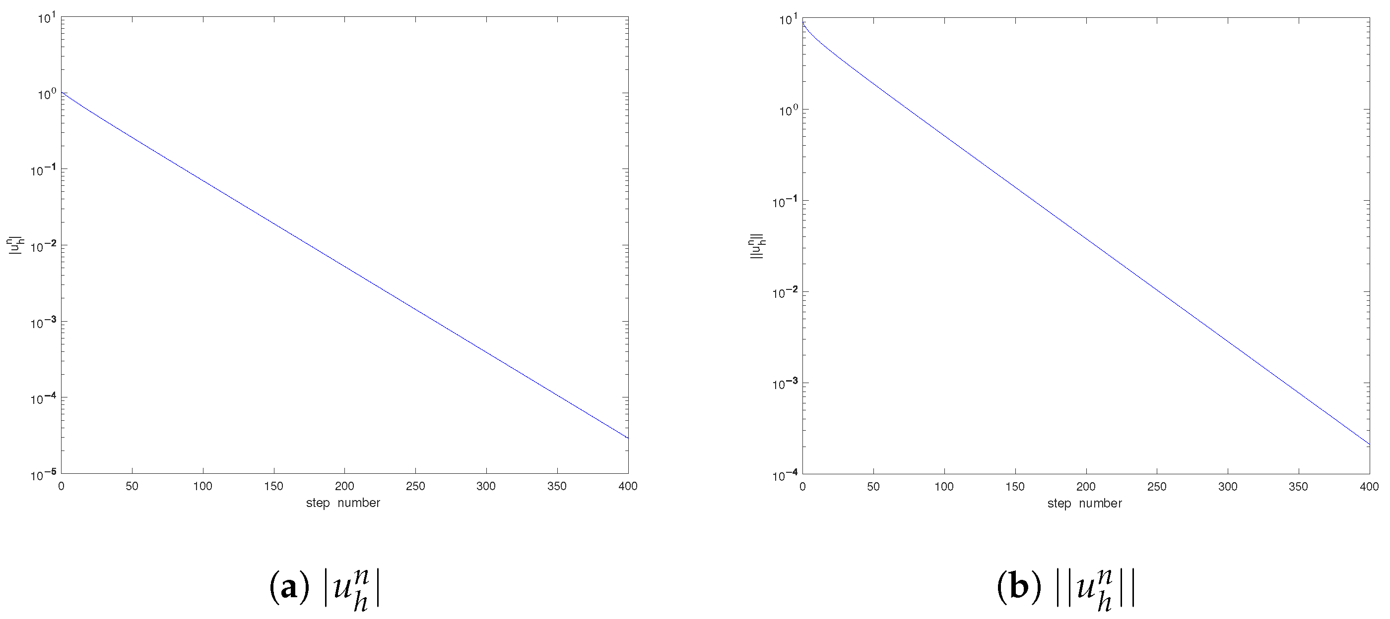
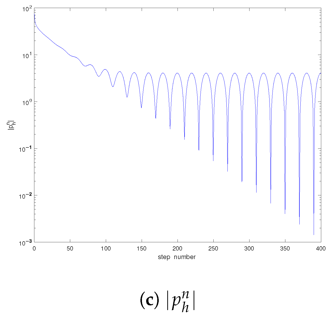
it is easily to check that , satisfying and . Under the computational environment set above, using the numerical solutions obtained with as the “reference solutions” (denoted by ), we first study the convergence order of the spatial discretization in Table 1, Table 2 and Table 3. From the results, we can find that, despite the existence of the singularity of the solutions near , the predicted convergence orders are almost achieved for all tested cases. Moreover, as the time tends to 0 (from the 10th step to the 2nd step), all corresponding errors uniformly increase. Then, we study the developments of the solutions in Figure 1, which suggests that the values of , , and all increase rapidly as the time decreases. As the time develops, the pressure will arrive at a relative steady state and have the same period with respect to the time as that of the body force (see Figure 1c); all of these are consistent with the theoretical predictions.
Table 1.
Absolute errors and convergence orders at the 2nd time step (Case I).
Table 2.
Absolute errors and convergence orders at the 5th time step (Case I).
Table 3.
Absolute errors and convergence orders at the 10th time step (Case I).
Figure 1.
Development of the solution (Case I).
To further confirm the theoretical deduction, we consider two other cases with nonsmooth initial data.
Case II:
Case III [13]:
These two initial data also belong to and satisfy the incompressibility condition. With the same computational parameters as above, we show the convergence orders in Table 4, Table 5, Table 6, Table 7, Table 8 and Table 9 and the developments of the solutions in Figure 2 and Figure 3. Similar phenomena can be observed. Again, the singularity of the solution is confirmed. Furthermore, we can find that the times when the pressure periods begin are different in Figure 1, Figure 2 and Figure 3; the reason is that it also depends on the initial data. On the other hand, as the time developed becomes large enough, the period for the velocity u will appear too, which is omitted here since we are interested in the singularity near .
Table 4.
Absolute errors and convergence orders at the 2nd time step (Case II).
Table 5.
Absolute errors and convergence orders at the 5th time step (Case II).
Table 6.
Absolute errors and convergence orders at the 10th time step (Case II).
Table 7.
Absolute errors and convergence orders at the 2nd time step (Case III).
Table 8.
Absolute errors and convergence orders at the 5th time step (Case III).
Table 9.
Absolute errors and convergence orders at the 10th time step (Case III).

Figure 2.
Development of the solution (Case II).

Figure 3.
Development of the solution (Case III).
6. Conclusions
In this paper, we analyzed the finite element error estimate for the Navier–Stokes equations with initial data. By introducing an intermediate step and using the integral techniques and dual-norm estimate, we derived the finite element bounds for the velocity and pressure. However, due to the singularity of the solution on , we did not obtain the optimal error estimate for the velocity in -norm. Moreover, only the error estimates for the spatial semi-discrete finite element method were derived. How does the technique in this paper extend to the fully discrete scheme, especially with a higher order scheme (see, e.g., [23])? All of these will be considered in our further work.
Author Contributions
Formal analysis, S.R. and K.W.; methodology, X.F. and K.W. All authors have read and agreed to the published version of the manuscript.
Funding
This research was funded by the National Natural Science Foundation of Xinjiang Province (No. 2022TSYCTD0019, No. 2022D01D32), the National Natural Science Foundation of China (Grant Nos. 12071406).
Institutional Review Board Statement
Not applicable.
Informed Consent Statement
Not applicable.
Data Availability Statement
Not applicable.
Acknowledgments
The authors thank the editor and referees for their valuable comments and suggestions that helped us improve the results of this paper.
Conflicts of Interest
The authors declare no conflict of interest.
References
- Girault, V.; Raviart, P. Finite Element Approximation of the Navier-Stokes Equations; Springer: Berlin/Heidelberg, Germany, 1979. [Google Scholar]
- Heywood, J.; Rannacher, R. Finite element approximation of the nonstationary Navier-Stokes problem. I. Regularity of solutions and second-order error estimates for spatial discretization. SIAM J. Numer. Anal. 1982, 19, 275–311. [Google Scholar] [CrossRef]
- Heywood, J.; Rannacher, R. Finite element approximation of the nonstationary Navier-Stokes problem III. Smoothing property and higher order error estimates for spatial discretization. SIAM J. Numer. Anal. 1988, 25, 489–512. [Google Scholar] [CrossRef]
- Heywood, J.; Rannacher, R. Finite-element approximation of the nonstationary Navier-Stokes problem. Part IV: Error analysis for second-order time discretization. SIAM J. Numer. Anal. 1990, 27, 353–384. [Google Scholar] [CrossRef]
- Sherwin, S.; Ainsworth, M. Unsteady Navier-Stokes solvers using hybrid spectral/hp element methods. Appl. Numer. Math. 2000, 33, 357–363. [Google Scholar] [CrossRef]
- Xie, C.; Wang, K. Viscosity explicit analysis for finite element methods of time-dependent Navier-Stokes equations. J. Comput. Appl. Math. 2021, 392, 113481. [Google Scholar] [CrossRef]
- Xie, C.; Wang, K. Uniform finite element error estimates with power-type asymptotic constants for unsteady Navier-Stokes equations. Entropy 2022, 24, 948. [Google Scholar] [CrossRef] [PubMed]
- Hill, A.; Süli, E. Approximation of the global attractor for the incompressible Navier-Stokes equations. IMA J. Numer. Anal. 2000, 20, 633–667. [Google Scholar] [CrossRef]
- Chen, H.; Ewing, R.; Lazarov, R. Superconvergence of mixed finite element methods for parabolic problems with nonsmooth initial data. Numer. Math. 1998, 78, 495–521. [Google Scholar] [CrossRef]
- Luskin, M.; Rannacher, R. On the smoothing property of the Galerkin method for parabolic equations. SIAM J. Numer. Anal. 1982, 19, 93–113. [Google Scholar] [CrossRef]
- He, Y. The Euler implicit/explicit scheme for the 2D time-dependent Navier-Stokes equations with smooth or non-smooth initial data. Math. Comput. 2008, 77, 2097–2124. [Google Scholar] [CrossRef]
- He, Y. Stability and error analysis for spectral Galerkin method for the Navier-Stokes equations with L2 initial data. Numer. Methods Part. Diff. Equ. 2008, 24, 79–103. [Google Scholar] [CrossRef]
- He, Y.; Huang, P.; Feng, X. H2-stability of the first order fully discrete schemes for the time-dependent Navier-Stokes equations. J. Sci. Comput. 2015, 62, 230–264. [Google Scholar] [CrossRef]
- He, Y.; Huang, P.; Li, J. H2-stability of some second order fully discrete schemes for the Navier-Stokes equations. Discret. Contin. Dyn. Sys. Ser. B 2019, 24, 2745–2780. [Google Scholar]
- Zhang, T.; Qian, Y. Stability analysis of several first order schemes for the Oldroyd model with smooth and nonsmooth initial data. Numer. Methods Partial Differ. Equ. 2018, 34, 2180–2216. [Google Scholar] [CrossRef]
- Yang, J.; Liang, H.; Zhang, T. The Crank-Nicolson/explicit scheme for the natural convection equations with nonsmooth initial data. Adv. Appl. Math. Mech. 2020, 12, 1481–1519. [Google Scholar]
- Jin, J.; Zhang, T.; Li, J. H2-stability of the first order Galerkin method for the Boussinesq equations with smooth and non-smooth initial data. Comput. Math. Appl. 2018, 75, 248–288. [Google Scholar] [CrossRef]
- Ju, N. On the global stability of a temporal discretization scheme for the Navier-Stokes equations. IMA J. Numer. Anal. 2022, 22, 577–597. [Google Scholar] [CrossRef]
- Tone, F.; Wirosoetisno, D. On the long-time stability of the implicit Euler scheme for the two-dimensional Navier-Stokes equations. SIAM J. Numer. Anal. 2006, 44, 29–40. [Google Scholar] [CrossRef]
- Temam, R. Navier-Stokes Equations: Theory and Numerical Analysis; American Mathematical Society: Providence, RI, USA, 2001. [Google Scholar]
- Lions, J.; Prodi, G. Un théorème d’ existence et d’unicité dans les équations de Navier-Stokes en dimension 2. C. R. Acad. Sci. 1959, 248, 3519–3521. [Google Scholar]
- Hodge, Z. The Finite Element Method for Elliptic Problems; SIAM: Amsterdam, The Netherlands, 1978. [Google Scholar]
- Cox, S.; Matthews, P. Exponential time differencing for stiff systems. J. Comput. Phys. 2002, 176, 430–455. [Google Scholar] [CrossRef]
Disclaimer/Publisher’s Note: The statements, opinions and data contained in all publications are solely those of the individual author(s) and contributor(s) and not of MDPI and/or the editor(s). MDPI and/or the editor(s) disclaim responsibility for any injury to people or property resulting from any ideas, methods, instructions or products referred to in the content. |
© 2023 by the authors. Licensee MDPI, Basel, Switzerland. This article is an open access article distributed under the terms and conditions of the Creative Commons Attribution (CC BY) license (https://creativecommons.org/licenses/by/4.0/).




