Abstract
A simple synthesis of sulfonamides 4–22 as novel histone deacetylase (HDAC) inhibitors is described. The key synthetic strategies involve N–sulfonylation of L–proline benzyl ester hydrochloride (2) and coupling reaction of N–sulfonyl chloride 3 with amines in high yields. It was found that several compounds showed good cellular potency with the most potent compound 20 exhibiting an IC50 = 2.8 µM in vitro.
Introduction
Histone acetylation and deacetylation play fundamental roles in the modulation of chromatin topology and the regulation of gene transcription [1]. Histone deacetylase (HDAC) inhibitors that inhibit proliferation and induce differentiation and/or apoptosis of tumor cells in culture and in animal models have been identified [2]. A number of structurally diverse histone deacetylase inhibitors have shown potent antitumor efficacy with little toxicity in vivo in animal models. Recently, HDAC inhibitors have emerged as an exciting new class of potential anticancer agents for the treatment of solid and hematological malignancies [3]. Current research priorities are to better characterize the biological roles and biochemical features of HDAC inhibitors. In addition, efforts to identify optimal HDAC inhibitors for anticancer therapeutics are underway [4]. More recently, the Angibaud group [5] reported the preparation of a series of pyrimidyl-5-hydroxamic acids having significant HDAC activity in human tumor cell lines. The Kalvinsh group [6] demonstrated that a series of novel sulfonamide derivatives were synthesized and evaluated for their ability to inhibit human HDAC. The Delorme group [7] developed of potential antitumor agents as a new set of sulfonamide derivatives. The Trivedi group [8] described the QSAR modeling of sulfonamide inhibitors of HDAC.
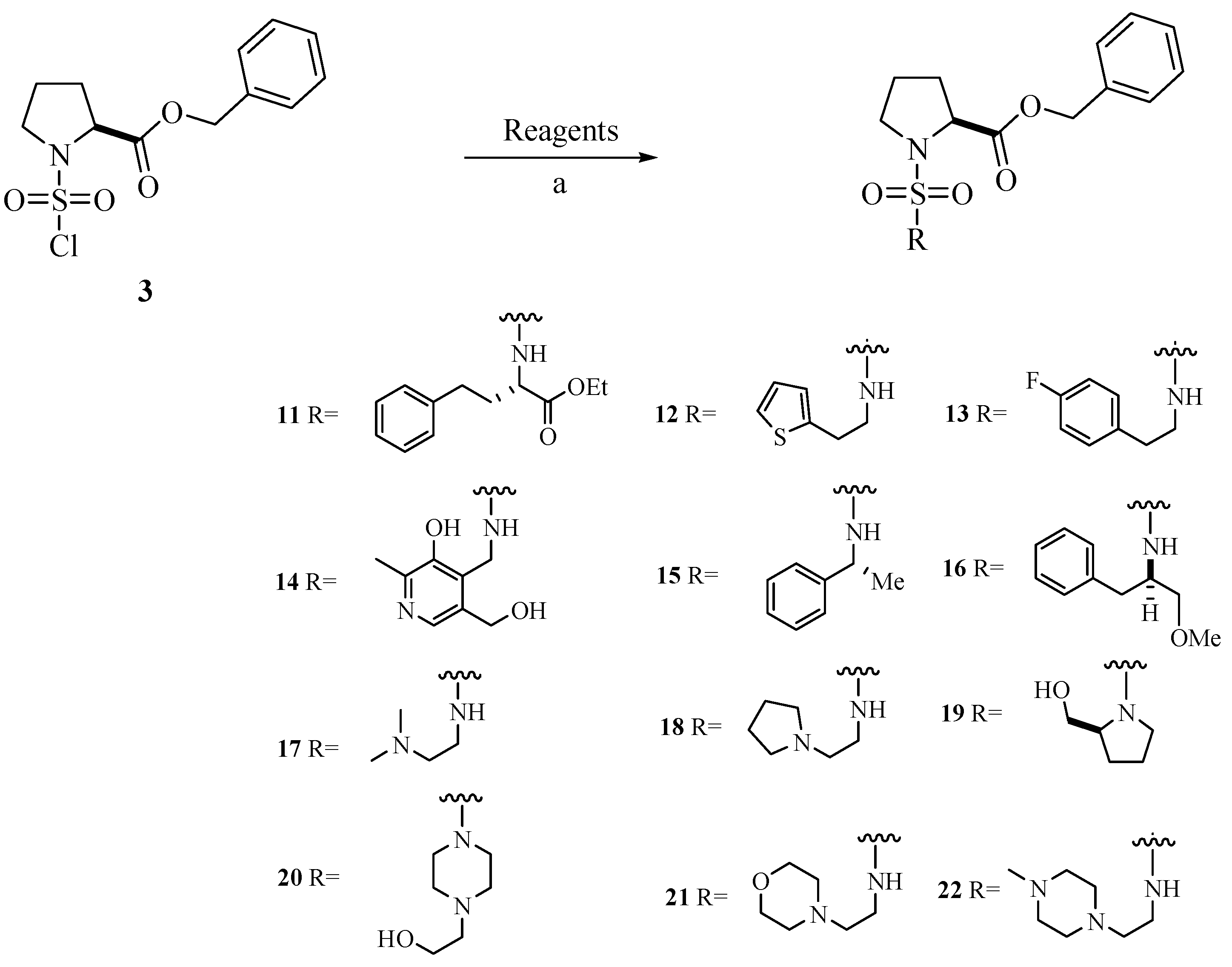
In the context of our medicinal chemistry program dealing with the development of new potent anticancer agents, we required sulfonyl chloride 3 as a key fragment in order to generate novel HDAC inhibitors. We wish to report herein an efficient synthesis in good yields of sulfonamides 4–22, starting from L–proline (1) via benzylation, sulfonylation, and coupling reaction and the evaluation of their anti-proliferative inhibiting potency.
Results and Discussion
Chemistry
A series of sulfonamides 4–22 was prepared from (L)–proline (1) as a starting material, which was condensed with benzyl alcohol in the presence of thionyl chloride in dichloromethane to give L–proline benzyl ester hydrochloride (2) in 68% yield [9].
Scheme 1.
Synthesis of sulfonamides 4–7.
Scheme 1.
Synthesis of sulfonamides 4–7.

Benzyl alcohol, SOCl2, CH2Cl2,rt, 20 h, (68%); (b) SO2Cl2, TEA, 4-DMAP, toluene, 0 ºC, 2 h, (72%); (c) L-phenylalanine methyl ester·HCl, DIPEA, 4-DMAP, CH2Cl2, rt, 16 h, (90%); (d) 10, DIPEA, 4-DMAP, CH2Cl2, rt, 16 h, (80%); (e) L-phenylalanine ethyl ester·HCl, DIPEA, 4-DMAP, CH2Cl2, rt, 16 h, (93%); (f) LiOH, THF/H2O, 0 oC to rt, 4 h, (80%); (g) 1N-NaOH/ EtOH, rt, 16 h, (71%).
Compound 2 was treated with sulfuryl chloride (SO2Cl2) in toluene to generate in 72% yield the key intermediate 3 [10], which was subsequently coupled with L-phenylalanine methyl ester hydrochloride and L–phenylalanine ethyl ester hydrochloride in the presence of diisopropylethylamine (DIPEA) and 4-dimethylaminopyridine (4-DMAP) in dichloromethane to afford 4 and 6 in 90% and 93% yields, respectively.
Sulfonamides 4 and 6 were readily hydrolyzed by lithium hydroxide aqueous solution or 1N-sodium hydroxide aqueous solution to give acid 7 in 80% and 71% yields, respectively. In this hydrolysis reaction, basic hydrolysis (1N-NaOH/MeOH or LiOH, H2O2, THF/H2O) is more favorable than acidic hydrolysis (3N-HCl/THF-H2O, TFA/CH2Cl2) for preparation of acid 7 due to the higher yield and ease of handling. Furthermore, LiOH conditions afforded a superior yield for comparing with 1N-NaOH condition (Scheme 1).
Scheme 2.
Synthesis of PMB amine 10.
Scheme 2.
Synthesis of PMB amine 10.

(a) 4-Methoxybenzyl-2,2,2-trichloroacetimidate, Sc(OTf)3, CH2Cl2, 0 oC to rt, 20 min, (97%); (b) 3N-HCl, 1,4-dioxane 0 oC to rt, 2 h, (64%).
To generate sulfonamide 5, PMB-amine 10 was prepared from compound 8 [11] which was protected with freshly prepared 4-methoxybenzyl-2,2,2-trichloroacetimidate (commercially available p-methoxybenzyl alcohol was treated with Cl3CCN in the presence of 1,5,7-triazabicyclo[4.4.0]dec-5-ene) and catalytic amount of scandium triflate to give 9 [12], which was subsequently treated with 3N-HCl aqueous solution in 1,4-dioxane in order to removal of N-Boc group to thus afford 10 in 62% yield (over two steps) (Scheme 2). Interestingly, the condensation reaction of sulfonyl chloride 3 with 10 was took place smoothly to generate 5 in low yield. Unfortunately, compound 5 was unstable, and isolation and characterization were problematic.
Sulfonyl chloride 3 was then coupled with several amines [amines including aromatic rings; (S)-(+)-ethyl-4-phenylbutyrate-2-amine, 2-thiopheneethanamine, 4-fluorophenethylamine, pyridoxamine, (R)-(+)-α-methylbenzylamine, and (S)-(+)-α-(methoxymethyl)phenethylamine; amines including aliphatic groups; N,N-dimethylethylenediamine; 1-(2-aminoethyl)pyrrolidine, (S)-(+)-2-(hydroxyl- methyl)pyrrolidine, N-(2-hydroxyethyl)piperazine,N-(2-aminoethyl)morpholine, and 2-(4-methyl-piperazin-1-yl)-ethylamine] in the presence DIPEA and 4-DMAP in dichloromethane to give sulfonamides 11–22 in high yields (Scheme 3).
Scheme 3.
Synthesis of sulfonamides 11–22.
Scheme 3.
Synthesis of sulfonamides 11–22.

Reagents, DIPEA, 4-DMAP, CH2Cl2, rt, 3–16 h, (80%–95%).
Biological Activity
The in vitro growth inhibiting potency of sulfonamides 4 and 6–22 were evaluated and the results are summarized in Table 1. We found that potent inhibition was observed with piperazine-sulfonamide 20, while compounds 4, 6, 11–12, 15, 17–19, and 21 did not possess HDAC activities. When aromatic groups and pyrrolidine groups were used as coupling agents (compounds 4, 6, 11–12, 15, and 18–19), the resulting compounds exhibited significantly reduced HDAC activity. Interestingly, piperazine–based sulfonamides 20 and 21 were showed higher in vitro growth inhibiting potency when compared to pyrrolidine–based sulfonamides 18 and 19.
Table 1.
HDAC and growth inhibiting potency of novel sulfonamides 4 and 6–22.
| Compound | IC50 cells (μM)a |
|---|---|
| 7 | 40.3 |
| 13 | 36.8 |
| 14 | 25.3 |
| 16 | 21.5 |
| 20 | 2.8 |
| 22 | 12.3 |
| 4, 6, 11–12, 15, 17–19, and 21 | >100 |
| Sodium butyrateb | 140 |
| Trichostatin Ac | 0.0046 |
- a The values are means of three experiments.
- b,c Reference materials.
Conclusions
In conclusion, a simple preparation of novel histone deacetylase (HDAC) inhibitors has been described. The key synthetic strategies involve O–benzylation, N–sulfonylation, and coupling reactions carried out in high yields. Compound 20 exhibited the most potent HDAC activity among these analogues. We have found that piperazine–based sulfonamides 20 and 21 showed improved growth inhibiting potency in vitro. In addition, the novel sulfonamides 7, 13, 14, 16, 20 and 22) showed better HDAC activity than sodium butyrate. Although all prepared sulfonamides were exhibited less HDAC activity than trichostatin Aas a compared material, we have expected that simple syntheses of new sulfonamide moieties and key fragments are useful for the modification of histone deacetylase (HDAC) inhibitors.
Experimental
General
Reactions requiring anhydrous conditions were performed with the usual precautions for rigorous exclusion of air and moisture. Tetrahydrofuran was distilled from sodium benzophenone ketyl prior to use. Thin layer chromatography (TLC) was performed on precoated silica gel G and GP uniplates from Analtech and visualized with 254–nm UV light. Flash chromatography was carried out on silica gel 60 [Scientific Adsorbents Incorporated (SAI), particle size 32–63 µm, pore size 60 Å]. 1H-NMR and 13C-NMR spectra were recorded on Bruker DPX 500 instrument at 500 MHz (1H) and 125 MHz (13C), respectively. The chemical shifts are reported in parts per million (ppm) downfield from tetramethylsilane. Infrared (IR) spectra were obtained on an ATI Mattson FT/IR spectrometer. Mass spectra were recorded with a Waters Micromass ZQ LC–Mass system and high resolution mass spectra (HRMS) were measured with a Bruker BioApex FTMS system by direct injection using an electrospray interface (ESI). Elemental analyses were performed on a CE instruments Model 1110 elemental analyzer. When necessary, chemicals were purified according to the reported procedures [13].
Biology: In Vitro Inhibition of Histone Deacetylase
Histone deacetylase fraction was prepared as described by Yoshida et al. [14]. Human leukemia K562 (2.5 x 108) cells were disrupted in buffer-A (15 mM potassium phosphate buffer, pH 7.5, containing 5% glycerol and 0.2 mM EDTA, 15 mL). The nuclei were collected by centrifugation (35000g, 10 min) and resuspended with buffer-A (15 mL) containing 1 M (NH4)2SO4. After sonication, the supernatant was collected by centrifugation, and ammonium sulfate was added to make the final concentration 3.5 M. After stirring for 1 h at 0 °C, the precipitate was collected by centrifugation, dissolved with buffer-A (4 mL), and dialyzed against buffer-A (2000 mL). The dialysate was loaded onto a mono Q HR 5/5 column (Pharmacia) equilibrated with buffer-A and eluted with a linear gradient of 0–1 M-NaCl in buffer-A (30 mL). A single peak of histone deacetylase activity was eluted around 0.4 M-NaCl, and the fraction was stored at –80 °C until use. Inhibition of histone deacetylase was estimated as described by Yoshida et al. with slight modifications [14]. 3H-Labeled histone was prepared by the method of Yoshida et al.: 3 K562 cells (108 cells) were incubated in growth medium (25 mL) containing 0.5 mCi/mL [3H]sodium acetate (152.8 GBq/mmol; NEN) and 5 mM sodium butyrate at 37 °C [14]. Histone deacetylase inhibitory activity of test compound was measured as follows: the mixture (total volume 50 µL) containing the above histone deacetylase fraction (2 µL), 3H labeled histone (100 µg/mL), and test compound (5 µL) was incubated for 10 min at 37 °C. [3H]Acetic acid, which was liberated from 3H-labeled histone, was extracted with ethyl acetate, and radioactivity was measured by a liquid scintillation counter.
Chlorosulfonyl-L-proline benzyl ester (3)
To a stirred solution of L-proline benzyl ester hydrochloride (2, 2.4 g, 10.0 mmol) in dry toluene (25 mL) were added dropwise TEA (2.3 g, 21.0 mmol) and DMAP (0.12 g), followed by addition of sulfuryl dichloride (2.7 g, 20.0 mmol) in dry toluene (15 mL) at –10 °C and the mixture was stirred at0 °C for 2 h. The reaction mixture was diluted with dichloromethane (70 mL) and washed with sat’d. aqueous NH4Cl solution (80 mL) and water (100 mL). The organic layer was separated, dried over anhydrous MgSO4, filtered, and concentrated under reduced pressure. The residue was purified by flash column chromatography (silica gel, 15% ethyl acetate in hexanes) to give 3 (1.45 g, 48%) as a beige solid. Rf = 0.4 (15% ethyl acetate in hexanes); [α]24D –105.0 (c 0.6, CHCl3); mp 65 °C (lit. [15] mp65–66 °C); IR (neat, NaCl) 3474, 3412, 1638, 1618, 1457, 1124, 837 cm-1; 1H-NMR (CDCl3) δ 7.46–7.32 (m, 5H), 5.24 (s, 2H), 4.47 (dd, J = 4.0, 4.0 Hz, 1H), 3.79–3.73 (m, 1H), 3.63–3.57 (m, 1H), 2.34–2.31 (m, 1H), 2.21–2.15 (m, 1H), 2.13–2.06 (m, 2H); 13C-NMR (CDCl3) δ 169.4, 135.0, 128.6, 128.5, 128.1, 67.8, 62.7, 51.7, 31.0, 24.8; HRMS calcd. for C12H14NO4SClNa 326.0230 [M+Na]+, found 326.0240.
General procedure for coupling reaction of chlorosulfonyl-L-proline benzyl ester (3) and several amines
To a solution of chlorosulfonyl-L-proline benzyl ester (3, 0.3 g, 1.0 mmol) in dichloromethane (10 mL) were added DIPEA (0.19 g, 1.5 mmol) and DMAP (0.12 g, 0.1 mmol), followed by addition of amines (1.1 mmol) at 0 °C and the reaction mixture was stirred at room temperature for 16 h. The reaction mixture was diluted with dichloromethane (10 mL) and washed with sat’d aqueous NH4Cl solution (10 mL) and brine (10 mL). The organic layer was separated, dried over anhydrous MgSO4, filtered, and concentrated under reduced pressure. The residue was purified by flash column chromatography (silica gel, ethyl acetate-hexane-methanol; 15:80: 5, v/v) to afford sulfonyl-L-proline benzyl esters 4–22.
N-(L-Phenylalanine methyl ester)sulfonyl-L-proline benzyl ester (4). Yield: 90%; viscous oil; Rf = 0.3 (80:15:5 n-hexane-ethyl acetate-methanol, v/v); [α]25D –12.5 (c 0.40, CHCl3); IR (neat, NaCl) 3474, 3412, 1638, 1618, 1457, 1124, 837 cm-1; 1H-NMR (CDCl3) δ 7.42–7.18 (m, 10H), 5.20 (s, 2H), 4.56 (brs, 1H), 4.38 (dd, J = 4.0, 4.0 Hz, 1H), 3.75 (s, 3H), 3.74 (s, 1H), 3.25 (dd, J = 7.0, 7.0 Hz, 1H), 3.13 (dd, J = 5.5, 5.5 Hz, 1H), 3.00–2.87 (m, 2H), 2.20–2.14 (m, 1H), 2.00–1.93 (m, 1H), 1.85–1.80 (m, 2H); 13C-NMR (CDCl3) δ 172.2, 172.0, 137.1, 135.7, 135.3, 129.5, 129.2, 128.5, 128.4, 128.3, 128.1, 126.7, 67.3, 61.0, 57.0, 52.7, 48.3, 39.4, 31.2, 25.1; HRMS calcd. for C22H27N2O6S: 447.1590 [M+H]+, found: 447.1609; Anal. calcd. C 59.27, H 5.76, N 6.38; found: C 59.18, H 5.87, N 6.27.
N-(L-Phenylalanine ethyl ester)sulfonyl-L-proline benzyl ester (6). Yield: 93%; viscous oil; Rf = 0.4 (80:15:5 n-hexane-ethyl acetate-methanol, v/v); [α]25D –105.2 (c 1.5, CHCl3); IR (neat, NaCl) 3288, 3064, 3029, 2981, 1740, 1604, 1455, 1340, 1151, 1020, 859 cm-1; 1H-NMR (CDCl3) δ 7.41–7.18 (m, 10H), 5.41 (brs, 1H), 5.21 (dd, J = 8.0, 8.0 Hz, 2H), 4.47 (dd, J = 4.0, 4.0 Hz, 1H), 4.30–4.23 (m, 1H), 4.21 (q, J = 4.5 Hz, 2H), 3.52–3.41 (m, 2H), 2.84–2.65 (m, 2H), 2.32–2.23 (m, 1H), 2.22–2.12 (m, 1H), 2.08–1.90 (m, 4H), 1.32 (t, J = 7.0 Hz, 3H); 13C-NMR (CDCl3) δ 172.3, 172.1, 140.6, 135.3, 128.5, 128.4, 128.3, 128.1, 126.1, 67.3, 61.9, 61.4, 56.0, 48.6, 35.2, 31.7, 31.2, 25.2, 14.6; HRMS calcd. for C24H30N2O6SNa: 497.1722 [M+Na]+, found: 497.1743.
N-[(S)-Ethly 4-phenylbutanoate)sulfamoyl]-L-proline benzyl ester (11). Yield: 87%; viscous oil; Rf = 0.3 (80:15:5 n-hexane-ethyl acetate-methanol, v/v); [α]25D –105.2 (c 0.5, CHCl3); IR (neat, NaCl) 3288, 3064, 3029, 2981, 1740, 1604, 1455, 1340, 1151, 1020, 859 cm-1; 1H-NMR (CDCl3) δ 7.41–7.18 (m, 10H), 5.41 (brs, 1H), 5.21 (dd, J = 8.0, 8.0 Hz, 2H), 4.47 (dd, J = 4.0, 4.0 Hz, 1H), 4.30–4.23 (m, 1H), 4.21 (q, J = 4.5 Hz, 2H), 3.52–3.41 (m, 2H), 2.84–2.65 (m, 2H), 2.32–2.23 (m, 1H), 2.22–2.12 (m, 1H), 2.08–1.90 (m, 4H), 1.32 (t, J = 7.0 Hz, 3H); 13C-NMR (CDCl3) δ 172.3, 172.1, 140.6, 135.3, 128.5, 128.4, 128.3, 128.1, 126.1, 67.3, 61.9, 61.4, 56.0, 48.6, 35.2, 31.7, 31.2, 25.2, 14.6; HRMS calcd. for C24H30N2O6SNa: 497.1722 [M+Na]+, found: 497.1743.
1-[2-Thiophenethylsulfamoyl)]-L-proline benzyl ester (12). Yield: 90%; viscous oil; Rf = 0.3 (80:15:5 n-hexane-ethyl acetate-methanol, v/v); [α]25D –34.8 (c 0.5, CHCl3); IR (neat, NaCl) 3302, 3067, 3034, 2954, 2881, 1743, 1638, 1455, 1330, 1148, 1017, 849 cm-1; 1H-NMR (CDCl3) δ 7.52–7.30 (m, 5H), 7.24–7.14 (m, 1H), 7.00–6.83 (m, 2H), 5.29–5.11 (m, 2H), 4.75–4.60 (m, 1H), 4.52–4.42 (m, 1H), 3.53–3.28 (m, 4H), 3.04 (t, J = 6.5 Hz, 2H), 2.36–2.24 (m, 1H), 2.12–1.90 (m, 3H); 13C-NMR (CDCl3) δ 172.5, 140.5, 135.3, 128.6, 128.4, 128.3, 127.0, 125.6, 124.0, 67.3, 61.3, 48.7, 44.7, 31.3, 30.6, 25.2; HRMS calcd. for C18H22N2O4S2Na: 417.0919 [M+Na]+, found: 417.0927; Anal. calcd. C 54.80, H 5.62, N 7.10; found: C 54.66, H 5.88, N 6.96.
1-[2-(4-Fluorophenethylsulfamoyl)]-L-proline benzyl ester (13). Yield: 85%; viscous oil; Rf = 0.3 (80:15:5 n-hexane-ethyl acetate-methanol, v/v); [α]25D –31.2 (c 0.25, CHCl3); IR (neat, NaCl) 3297, 3067, 3036, 2955, 2881, 1747, 1602, 1510, 1455, 1328, 1219, 1149, 1076, 834 cm-1; 1H-NMR (CDCl3) δ 7.41–7.32 (m, 5H), 7.20–7.12 (m, 2H), 7.03–6.95 (m, 2H), 5.29 (dd, J = 12.0, 12.0 Hz, 2H), 4.62 (t, J = 6.0 Hz, 1H), 4.45 (dd, J = 4.0, 4.0 Hz, 1H), 3.46–3.38 (m, 1H), 3.37–3.25 (m, 3H), 2.80 (t, J = 7.0 Hz, 2H), 2.32–2.21 (m, 1H), 2.07–2.00 (m, 1H), 1.98–1.90 (m, 2H); 13C-NMR (CDCl3) δ 172.5, 162.4, 160.5, 135.3, 134.0, 130.2, 128.5, 128.3, 128.1, 115.4, 115.3, 67.2, 61.2, 48.7, 44.6, 35.5, 31.3, 25.2; HRMS calcd. for C20H23N2O4SFNa: 429.1260 [M+Na]+, found: 429.1272; Anal. calcd. C 59.10, H 5.70, N 6.89; found: C 59.21, H 5.83, N 6.72.
1-[(R)-Methylbenzylsulfamoyl]-L-proline benzyl ester (15). Yield: 93%; viscous oil; Rf = 0.3 (80:15:5 n-hexane-ethyl acetate-methanol, v/v); [α]25D –17.5 (c 0.4, CHCl3); IR (neat, NaCl) 3288, 3032, 2977, 2879, 1747, 1605, 1497, 1332, 1151, 1084, 873 cm-1; 1H-NMR (CDCl3) δ 7.40–7.25 (m, 10H), 5.20 (dd, J = 12.0, 12.0 Hz, 2H), 5.14–5.05 (m, 1H), 4.73–4.65 (m, 1H), 4.40 (dd, J = 4.0, 4.0 Hz, 1H), 3.31–3.19 (m, 2H), 2.16–2.07 (m, 1H), 2.01–1.94 (m, 1H), 1.92–1.76 (m, 2H), 1.53 (s, 3/2H), 1.51 (s, 3/2H); 13C-NMR (CDCl3) δ 172.5, 143.4, 135.4, 128.5, 128.3, 128.1, 127.4, 126.1, 67.2, 60.9, 53.6, 48.7, 31.3, 25.0, 24.2; HRMS calcd. for C20H24N2O4SNa: 411.1354 [M+Na]+, found: 411.1367.
1-[(1S)-Methoxymethyl-2-phenethylsulfamoyl]-L-proline benzyl ester (16). Yield: 89%; viscous oil; Rf = 0.3 (80:15:5 n-hexane-ethyl acetate-methanol, v/v); [α]25D –67.3 (c 0.30, CHCl3); IR (neat, NaCl) 3288, 3030, 2980, 2892, 1749, 1603, 1498, 1331, 1149, 1083, 854 cm-1; 1H-NMR (CDCl3) δ 7.41–7.21 (m, 10H), 5.20 (dd, J = 12.0, 12.0 Hz, 2H), 4.76 (d, J = 9.0 Hz, 1H), 4.40 (dd, J = 4.5, 4.5 Hz, 1H), 3.90–3.81 (m, 1H), ), 3.44 (dd, J = 4.5, 4.5 Hz, 1H), 3.37 (s, 3H), 3.31 (dd, J = 3.0, 3.0 Hz, 1H), 3.22 (dd, J = 8.5, 8.5 Hz, 1H), 2.96–2.84 (m, 3H), 2.24–2.16 (m, 1H), 2.01–1.94 (m, 1H), 1.86–1.79 (m, 2H); 13C-NMR (CDCl3) δ 172.4, 137.9, 135.5, 129.6, 128.5, 128.3, 128.2, 128.1, 126.4, 73.2, 67.1, 61.0, 59.2, 54.9, 48.3, 38.7, 31.3, 25.3; HRMS calcd. for C22H28N2O5SNa: 455.1617 [M+Na]+, found: 455.1623; Anal. calcd. C 61.09, H 6.52, N 6.48; found: C 60.95, H 6.41, N 6.37.
1-[4-(S)-2-Hydroxymethyl)pyrrolidine-1-sulfonyl]-L-proline benzyl ester (19). Yield: 80%; viscous oil; Rf = 0.3 (80:15:5 n-hexane-ethyl acetate-methanol, v/v); [α]25D –62.3 (c 0.6, CHCl3); IR (neat, NaCl) 3519, 3064, 3034, 2957, 2881, 1746, 1655, 1456, 1337, 1147, 1017, 826 cm-1; 1H-NMR (CDCl3) δ 7.41–7.30 (m, 5H), 5.19 (s, 1H), 5.18 (s, 1H), 4.49 (dd, J = 3.5, 4.0 Hz, 1H), 3.94–3.87 (m, 1H), 3.63 (dd, J = 4.5, 4.5 Hz, 1H), 3.60–3.39 (m, 4H), 3.31–3.22 (m, 1H), 2.73 (brs, 1H), 2.32–2.21 (m, 1H), 2.06–1.93 (m, 4H), 1.89–1.75 (m, 3H); 13C-NMR (CDCl3) δ 172.4, 135.3, 128.6, 128.5, 128.4, 128.3, 128.2, 128.0, 67.3, 65.5, 61.8, 61.2, 50.1, 49.4, 31.4, 29.3, 25.3, 25.0; HRMS calcd. for C17H24N2O5SNa: 391.1304 [M+Na]+, found: 391.1299.
1-[4-(2-Hydroxyethyl)piperazine-1-sulfonyl]-L-proline benzyl ester (20). Yield: 81%; viscous oil; Rf = 0.4 (80:15:5 n-hexane-ethyl acetate-methanol, v/v); [α]25D –35.7 (c 0.60, CHCl3); IR (neat, NaCl) 3416, 3065, 3034, 2950, 2879, 2821, 1747, 1455, 1340, 1154, 1016, 875 cm-1; 1H-NMR (CDCl3) δ 7.40–7.30 (m, 5H), 5.17 (d, J = 4.0 Hz, 2H), 4.42 (dd, J = 3.5, 3.5 Hz, 1H), 3.62 (t, J = 5.5 Hz, 2H), 3.57–3.44 (m, 1H), 3.43–3.36 (m, 1H), 3.32–3.19 (m, 4H), 2.53 (t, J = 5.5 Hz, 2H), 2.50–2.41 (m, 5H), 2.30–2.20 (m, 1H), 2.04–1.92 (m, 3H); 13C-NMR (CDCl3) δ 172.4, 135.4, 128.5, 128.3, 128.0, 67.1, 67.0, 61.1, 57.0, 53.4, 48.8, 39.4, 31.4, 25.3; HRMS calcd. for C18H28N3O5S: 398.1750 [M+H]+, found: 398.1762; Anal. calcd. C 54.39, H 6.85, N 10.57; found: C 54.17, H 6.67, N 10.38
1-[2-(4-Methylpiperazin-1-yl)ethylsulfamoyl]-L-proline benzyl ester (22). Yield: 88%; viscous oil; Rf = 0.3 (80:15:5 n-hexane-ethyl acetate-methanol, v/v); [α]25D –34.0 (c 0.60, CHCl3); IR (neat, NaCl) 3286, 3064, 3034, 2956, 2817, 1745, 1455, 1330, 1148, 1012, 863 cm-1; 1H-NMR (CDCl3) δ 7.39–7.31 (m, 5H), 5.17 (dd, J = 12.5, 12.5 Hz, 2H), 4.45 (dd, J = 4.0, 4.0 Hz, 1H), 3.52–3.37 (m, 2H), 3.31–3.20 (m, 1H), 3.19–3.11 (m, 1H), 3.10–2.98 (m, 1H), 2.64–2.33 (m, 10H), 2.29 (s, 3H), 2.27–2.21 (m, 1H), 2.07–1.94 (m, 3H); 13C-NMR (CDCl3) δ 172.4, 135.4, 128.5, 128.4, 128.3, 128.0, 127.3, 126.8, 67.1, 61.0, 56.4, 55.1, 52.6, 48.8, 39.7, 31.4, 25.3; HRMS calcd. for C19H31N4O4S: 411.2066 [M+H]+, found: 411.2073; Anal. calcd. C 55.59 H 7.37, N 13.65; found: C 55.71, H 7.58, N 13.31.
Supplementary Materials
Supplementary File 1Acknowledgments
This work has been supported by the KOSEF Brain Neurobiology Grant (2006) and Ewha Global Challenge (BK21) grant.
References
- Vigushin, D. M.; Coombes, R. C. Histone deacetylase inhibitors in cancer treatment. Anti–Cancer Drugs 2002, 13, 1–13. [Google Scholar] Vigushin, D. M.; Coombes, R. C. Targeted histone deacetylase inhibition for cancer therapy. Curr. Cancer Drug Targ. 2004, 4, 205–218. [Google Scholar]
- Mai, A.; Massa, S.; Rotili, D.; Cerbara, I.; Valente, S.; Pezzi, R.; Simeoni, S.; Ragno, R. Histone deacetylation in epigenetics: an attractive target for anticancer therapy. Med. Res. Rev. 2005, 25, 261–309. [Google Scholar] Dangond, F.; Henriksson, M.; Zardo, G.; Caiafa, P.; Ekstrom, T. J.; Gray, S. G. Differential expression of class I HDACs: roles of cell density and cell cycle. Int. J. Oncol. 2001, 19, 773–777. [Google Scholar]
- Imre, G.; Gekeler, V.; Leja, A.; Beckers, T.; Boehm, M. Histone deacetylase inhibitors suppress the inducibility of nuclear factor-kappaB by tumor necrosis factor-alpha receptor-1 down-regulation. Cancer Res. 2006, 66, 5409–5418. [Google Scholar] O'Connor, O. A.; Heaney, M. L.; Schwartz, L.; Richardson, S.; Willim, R.; MacGregor–Cortelli, B.; Curly, T.; Moskowitz, C.; Portlock, C.; Horwitz, S.; Zelenetz, A. D.; Frankel, S.; Richon, V.; Marks, P.; Kelly, W. K. Clinical experience with intravenous and oral formulations of the novel histone deacetylase inhibitor suberoylanilide hydroxamic acid in patients with advanced hematologic malignancies. J. Clin. Oncol. 2006, 24, 166–173. [Google Scholar] Mayo, M. W.; Denlinger, C. E.; Broad, R. M.; Yeung, F.; Reilly, E. T.; Shi, Y.; Jones, D. R. Ineffectiveness of histone deacetylase inhibitors to induce apoptosis involves the transcriptional activation of NF-kappa B through the Akt pathway. J. Biol. Chem. 2003, 278, 18980–18989. [Google Scholar]
- Suzuki, T.; Nagano, Y.; Kouketsu, A.; Matsuura, A.; Maruyama, S.; Kurotaki, M.; Nakagawa, H.; Miyata, N. Novel inhibitors of human histone deacetylases: design, synthesis, enzyme inhibition, and cancer cell growth inhibition of SAHA-based non-hydroxamates. J. Med. Chem. 2005, 48, 1019–1032. [Google Scholar] Bouchain, G.; Delorme, D. Novel hydroxamate and anilide derivatives as potent histone deacetylase inhibitors: synthesis and antiproliferative evaluation. Curr. Med. Chem. 2003, 10, 2359–2372. [Google Scholar] Shinji, C.; Maeda, S.; Imai, K.; Yoshida, M.; Hashimoto, Y.; Miyachi, H. Design, synthesis, and evaluation of cyclic amide/imide-bearing hydroxamic acid derivatives as class-selective histone deacetylase (HDAC) inhibitors. Bioorg. Med. Chem. 2006, 14, 7625–7651. [Google Scholar] Kim, H. M.; Lee, K.; Park, B. W.; Ryu, D. K.; Kim, K.; Lee, C. W.; Park, S. K.; Han, J. W.; Lee, H. Y.; Lee, H. Y.; Han, G. Synthesis, enzymatic inhibition, and cancer cell growth inhibition of novel δ-lactam-based histone deacetylase (HDAC) inhibitors. Bioorg. Med. Chem. Lett. 2006, 16, 4068–4070. [Google Scholar] Fournel, M.; Trachy–Bourget, M. C.; Yan, P. T.; Kalita, A.; Bonfils, C.; Beaulieu, C.; Frechette, S.; Leit, S.; Abou–Khalil, E.; Woo, S. H.; Delorme, D.; MacLeod, A. R.; Besterman, J. M.; Li, Z. Sulfonamide anilides, a novel class of histone deacetylase inhibitors, are antiproliferative against human tumors. Cancer Res. 2002, 62, 4325–4330. [Google Scholar] Owa, T.; Yoshino, H.; Yoshimatsu, K.; Nagasu, T. Cell cycle regulation in the G1 phase: a promising target for the development of new chemotherapeutic anticancer agents. Curr. Med. Chem. 2001, 8, 1487–1503. [Google Scholar] Bouchain, G.; Delorme, D. Novel hydroxamate and anilide derivatives as potent histone deacetylase inhibitors: synthesis and antiproliferative evaluation. Curr. Med. Chem. 2003, 10, 2359–2372. [Google Scholar] Uesato, S.; Kitagawa, M.; Nagaoka, Y.; Maeda, T.; Kuwajima, H.; Yamori, T. Novel histone deacetylase inhibitors: N-hydroxycarboxamides possessing a terminal bicyclic aryl group. Bioorg. Med. Chem. Lett. 2002, 12, 1347–1349. [Google Scholar] Lavoie, R.; Bouchain, G.; Frechette, S.; Woo, S. H.; Abou–Khalil, E.; Leit, S.; Fournel, M.; Yan, P. T.; Trachy–Bourget, M. C.; Beaulieu, C.; Li, Z.; Besterman, J.; Delorme, D. Design and synthesis of a novel class of histone deacetylase inhibitors. Bioorg. Med. Chem. Lett. 2001, 11, 2847–2850. [Google Scholar]
- Angibaud, P.; Arts, J.; Van Emelen, K.; Poncelet, V.; Pilatte, I.; Roux, B.; Van Brandt, S.; Verdonck, M.; De Winter, H.; Ten Holte, P.; Marien, A.; Floren, W.; Janssens, B.; Van Dun, J.; Aerts, A.; Van Gompel, J.; Gaurrand, S.; Queguiner, L.; Argoullon, J. M.; Van Hijfte, L.; Freyne, E.; Janicot, M. Discovery of pyrimidyl-5-hydroxamic acids as new potent histone deacetylase inhibitors. Eur. J. Med. Chem. 2005, 40, 597–606. [Google Scholar] [CrossRef]
- Finn, P. W.; Bandara, M.; Butcher, C.; Finn, A.; Hollinshead, R.; Khan, N.; Law, N.; Murthy, S.; Romero, R.; Watkins, C.; Andrianov, V.; Bokaldere, R. M.; Dikovska, K.; Gailite, V.; Loza, E.; Piskunova, I.; Starchenkov, I.; Vorona, M.; Kalvinsh, I. Novel sulfonamide derivatives as inhibitors of histone deacetylase. Helv. Chim. Acta 2005, 88, 1630–1657. [Google Scholar]
- Bouchain, G.; Leit, S.; Frechette, S.; Khalil, E. A.; Lavoie, R.; Moradei, O.; Woo, S. H.; Fournel, M.; Yan, P. T.; Kalita, A.; Trachy–Bourget, M. C.; Beaulieu, C.; Li, Z.; Robert, M. F.; MacLeod, A. R.; Besterman, J. M.; Delorme, D. Development of potential antitumor agents. Synthesis and biological evaluation of a new set of sulfonamide derivatives as histone deacetylase inhibitors. J. Med. Chem. 2003, 46, 820–830. [Google Scholar] [CrossRef]
- Jaiswal, D.; Karthikeyan, C.; Shrivastava, S. K.; Trivedi, P. QSAR Modeling of Sulfonamide Inhibitors of Histone Deacetylase. Internet Electron. J. Mol. Des. 2006, 5, 345–354. [Google Scholar]
- Cordova, A.; Reed, N. N.; Ashley, J. A.; Janda, K. D. Convenient synthesis of L-proline benzyl ester. Bioorg. Med. Chem. Lett. 1999, 9, 3119–3122. [Google Scholar] Cheeseright, T. J.; Edwards, A. J.; Elmore, D. T.; Jones, J. H.; Raissi, M.; Lewis, E. C. Azasulfonamidopeptides as peptides bond hydrolysis transition state analogues. Part I: Synthetic approaches. J. Chem. Soc. Perkin Trans 1 1994, 12, 1595–1600. [Google Scholar]
- Berredjem, M.; Winum, J. Y.; Toupet, L.; Masmoudi, O.; Aouf, N. E.; Montero, J. L. N-Chlorosulfonyloxazolidin-2-ones: Synthesis, Structure, and Reactivity Toward Aminoesters. Synth. Commun. 2004, 34, 1653–1662. [Google Scholar] [CrossRef]
- Okada, Y.; Tsukatani, M.; Taguchi, H.; Yokoi, T.; Bryant, S. D.; Lazarus, L. H. Amino acids and peptides. LII. Design and synthesis of opioid mimetics containing a pyrazinone ring and examination of their opioid receptor binding activity. Chem. Pharm. Bull. 1998, 46, 1374–1382. [Google Scholar] Jung, J. C.; Avery, M. A. An efficient synthesis of cyclic urethanes from Boc-protected amino acids through a metal triflate-catalyzed intramolecular diazo carbonyl insertion reaction. Tetrahedron Lett. 2006, 47, 7969–7972. [Google Scholar]
- Reddy, C. R.; Chittiboyina, A. G.; Kache, R.; Jung, J. C.; Watkins, E. B.; Avery, M. A. The trimethylsilyl xylyl (TIX) ether: a useful protecting group for alcohols. Tetrahedron 2005, 61, 1289–1295. [Google Scholar]
- Perrin, D. D.; Armarego, L. F.; Perrin, D. R. Purification of Laboratory Chemicals, 2nd ed.; Pergamon Press: New York, 1980. [Google Scholar]
- Finney, D. J. Graded Responses. In Probit Analyses, 2nd ed.; Cambridge University Press: Cambridge, 1962; Chapter 10. [Google Scholar] Yoshida, M.; Kijima, M.; Akita, M.; Beppu, T. Potent and specific inhibition of mammalian histone deacetylase both in vivo and in vitro by trichostatin A. J. Biol. Chem. 1990, 265, 17174–17179. [Google Scholar]
- Cheeseright, T. J.; Daenke, S.; Elmore, D. T.; Jones, J. H. Azasulfonamidopeptides as peptide bond hydrolysis transition state analogues. Part 2. Potential HIV-1 proteinase inhibitor. J. Chem. Soc. Perkin Trans 1 1994, 14, 1953–1955. [Google Scholar]
- Sample Availability: Samples of the compounds are available from authors.
© 2007 by MDPI (http://www.mdpi.org). Reproduction is permitted for noncommercial purposes.