Abstract
The reaction of 5-(1-adamantyl)-4-amino-3-mercapto-1,2,4-triazole (5) with various aromatic aldehydes in ethanol or acetic acid yielded the corresponding 4-arylideneamino derivatives 6a–v. Treatment of the 4-(2,6-difluoro- and dichlorobenzylideneamino) derivatives 6o and 6q with 1-substituted piperazines, and formaldehyde solution in ethanol afforded good yields of the corresponding 5-(1-adamantyl)-4-(2,6-dihalobenzylideneamino-2-(4-substituted-1-piperazinylmethyl)-1,2,4-triazoline-3-thiones 7a–p. 5-(1-Adamantyl)-4-arylideneamino-2-(4-ethoxycarbonyl-1-piperidylmethyl)-1,2,4-triazoline-3-thiones 8a–n, were similarly prepared via the reaction of the corresponding arylideneamino derivative with ethyl 4-piperidinecarboxylate and formaldehyde solution in ethanol. Compounds 6a–v, 7a–p and 8a–n were tested for in vitro activities against a panel of Gram-positive and Gram-negative bacteria and the yeast-like pathogenic fungus Candida albicans. Several derivatives showed good or moderate activities, particularly against the tested Gram-positive bacteria. In addition, the in vivo anti-inflammatory activity of 21 compounds was determined using the carrageenan-induced paw oedema method in rats. Compounds 7d, 7g, 7i, 7j, 7l, 8c, 8e and 8l showed good or moderate dose-dependent activity in this area.
1. Introduction
Nonsteroidal anti-inflammatory drugs (NSAIDs) are among the most widely used therapeutics, primarily for the treatment of pain and inflammation in arthritis. The development of microbial resistance has necessitated the search for new potent antibacterial and antifungal agents. Derivatives of adamantane which have long been known for their antiviral activity against the influenza [1,2,3] and HIV viruses [4,5,6,7], were also associated with central nervous [8,9,10], antimicrobial [11,12,13,14,15] and anti-inflammatory activities [14,15,16,17,18]. 1,2,4-Triazole derivatives were reported to possess diverse biological activities, such as antibacterial [19,20,21] and anti-inflammatory [22,23,24,25] properties. In addition, several 5-substituted-4-arylideneamino-3-mercapto-1,2,4-triazoles and their piperazinomethyl derivatives were reported to exhibit significant antimicrobial activity [26,27,28]. In continuation to our interest in the chemical and pharmacological properties of adamantane derivatives [6,11,14,15,16], we report herein the synthesis, antimicrobial and anti-inflammatory activities of a new series of 5-(1-adamantyl)-4-arylideneamino-3-mercapto-1,2,4-triazoles and their piperazinomethyl and piperidinomethyl Mannich bases.
2. Results and Discussion
2.1. Chemistry
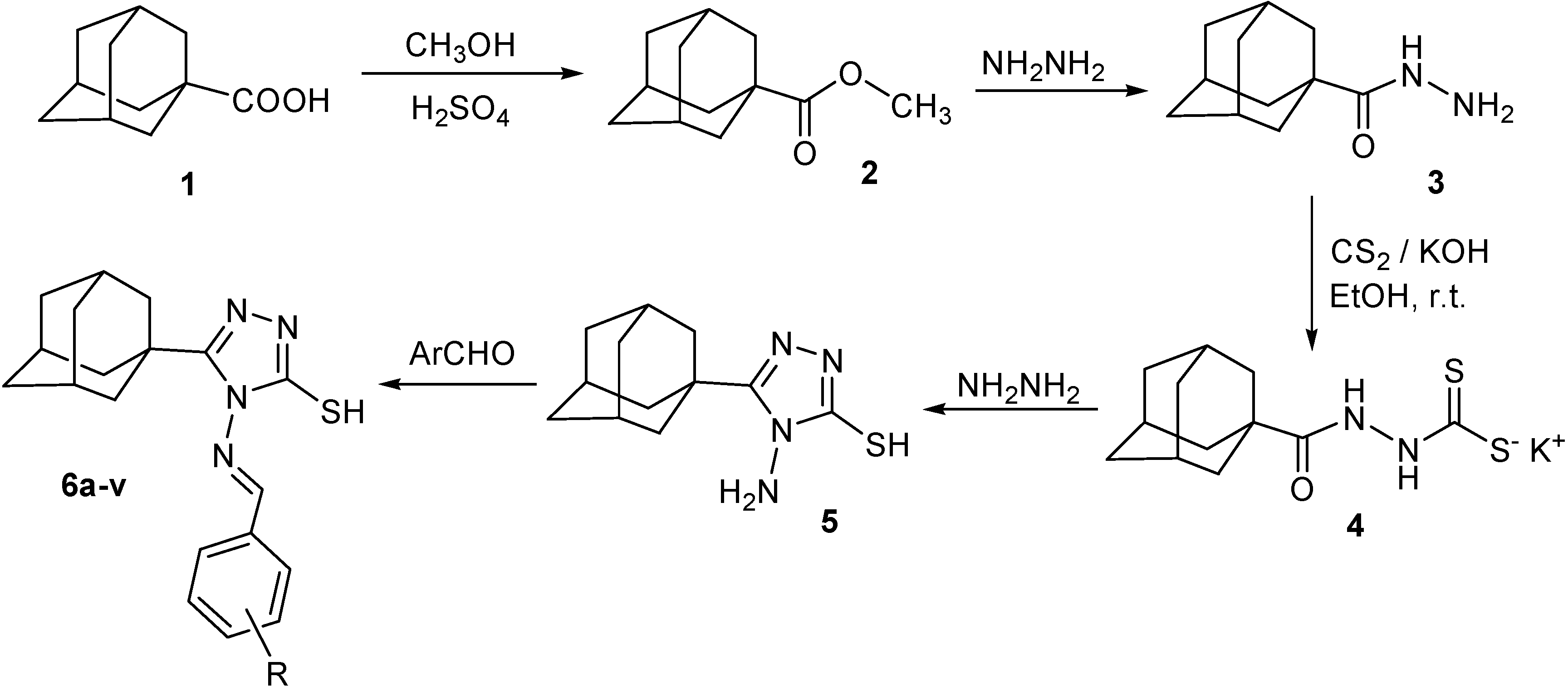
5-(1-Adamantyl)-4-amino-3-mercapto-1,2,4-triazole (5) was prepared starting from adamantane-1-carboxylic acid (1) via esterification with methanol to yield the methyl ester 2, which was subsequently reacted with hydrazine to yield adamantane-1-carboxylic acid hydrazide (3). Treatment of 3 with carbon disulphide in ethanolic potassium hydroxide yielded the corresponding potassium N'-(1-adamantylcarbonyl)dithiocarbazate (4), which was cyclized by heating with hydrazine to yield 5-(1-adamantyl)-4-amino-3-mercapto-1,2,4-triazole (5) in good overall yield [29]. Treatment of compound 5 with the appropriate aromatic aldehydes under reflux in ethanol for 5 h yielded the corresponding arylideneamino derivatives 6a-v in reasonable yields. In the cases of the reactions with 2-nitro-, 4-nitro-, 2,4-dichloro-, 3,4-dichloro-, 2,4-dinitro-, or 4,5-dimethoxy-2-nitrobenzaldehyde, the yields were very poor. This may be attributed to the poor solubility of these aldehydes in ethanol. However, carrying out the reaction in acetic acid, in which these aldehydes are freely soluble, in addition to its higher boiling point, greatly increased the yield (Scheme 1, Table 1).
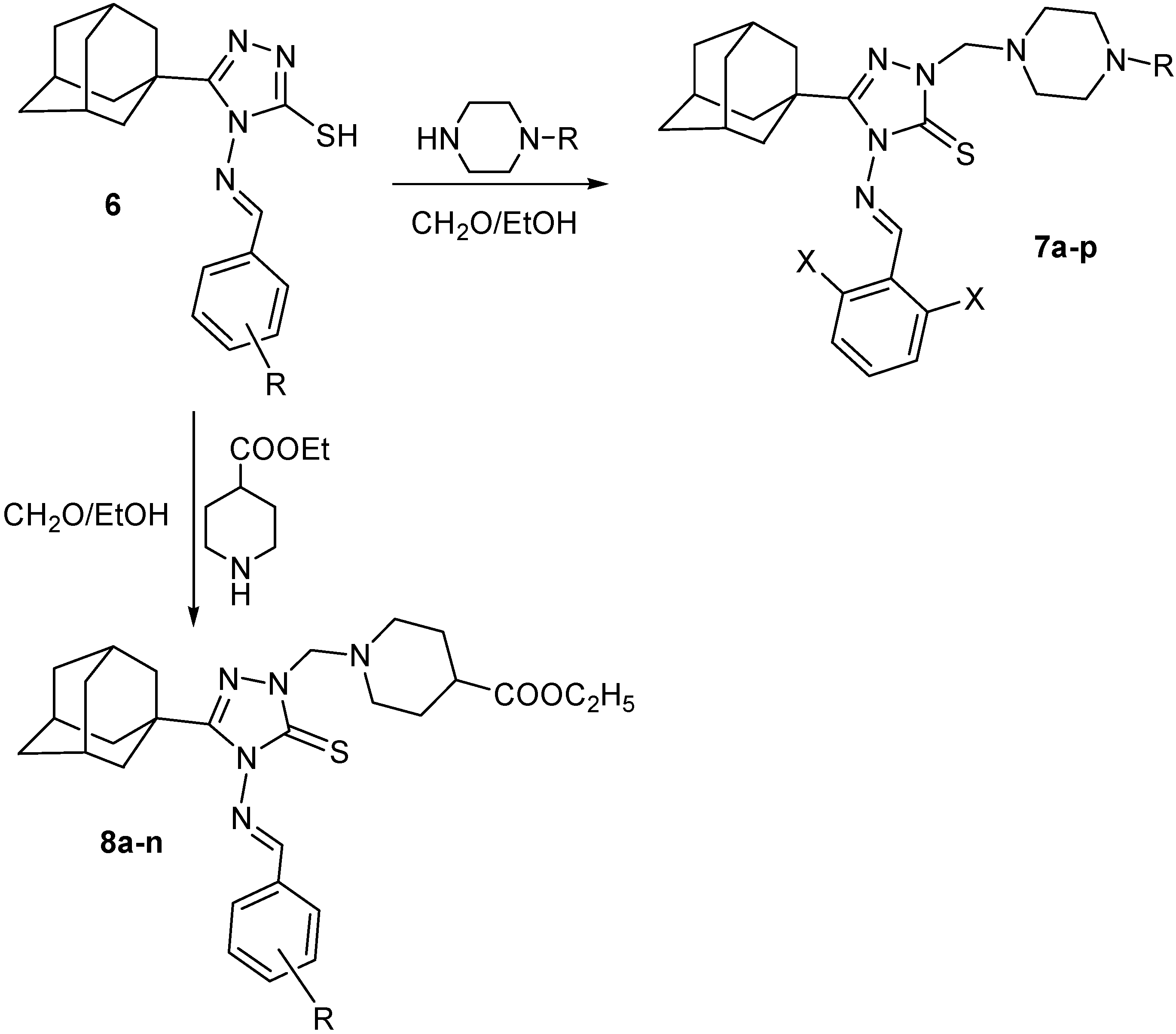
The 2,6-difluoro- and dichlorobenzylideneamino derivatives 6o and 6q were reacted with several 1-substituted piperazines and formaldehyde solution in ethanol to yield the corresponding N-Mannich bases 7a–p in good yields. The reaction was carried out by heating the reactants in ethanol for 15 min to enhance the solubility of compounds 6o and 6q. On monitoring the reaction with thin layer chromatography (TLC), the starting compounds 6o and 6q disappeared completely after 15 minutes and the products either precipitated on standing or after addition of water. The 5-(1-adamantyl)-4-arylideneamino-2-(4-ethoxycarbonyl-1-piperidylmethyl)-1,2,4-triazoline-3-thione N-Mannich bases 8a–n were similarly prepared via the reaction of the corresponding 5-(1-adamantyl)-4-arylideneamino-3-mercapto-1,2,4-triazole with ethyl 4-piperidinecarboxylate and formaldehyde solution by heating the reactants in ethanol for 20 min (Scheme 2, Table 2 and Table 3). The structures of newly synthesized compounds 6a–v, 7a–p and 8a–n were confirmed by 1H-NMR, 13C-NMR and mass spectra.
Scheme 1.
Synthetic Pathway for Compounds 6a–v.
Scheme 1.
Synthetic Pathway for Compounds 6a–v.

Table 1.
Melting points, crystallization solvents, yields, molecular formulae and molecular weights of compounds 6a–v.
| Comp. No. | R | Mp (ºC) | Cryst. Solv. | Yield (%) | Molecular Formula (Mol. Wt.) |
|---|---|---|---|---|---|
| 6a | H | 222-224 | EtOH/H2O | 81 | C19H22N4S (338.47) |
| 6b | 2-F | 226-228 | EtOH | 74 | C19H21FN4S (356.46) |
| 6c | 4-F | 255-257 | EtOH | 71 | C19H21FN4S (356.46) |
| 6d | 2-Cl | 223-225 | EtOH | 75 | C19H21ClN4S (372.91) |
| 6e | 4-Cl | 207-209 | AcOH | 68 | C19H21ClN4S (372.91) |
| 6f | 4-Br | 228-230 | EtOH/H2O | 59 | C19H21BrN4S (417.37) |
| 6g | 2-OH | 238-240 | EtOH | 79 | C19H22N4OS (354.47) |
| 6h | 4-OH | 264-266 | EtOH | 82 | C19H22N4OS (354.47) |
| 6i | 4-CH3 | 208-210 | EtOH/H2O | 80 | C20H24N4S (352.50) |
| 6j | 2-OCH3 | 226-228 | EtOH | 77 | C20H24N4OS (368.50) |
| 6k | 4-OCH3 | 214-216 | EtOH | 81 | C20H24N4OS (368.50) |
| 6l* | 2-NO2 | 226-228 | EtOH | 52 | C19H21N5O2S (383.47) |
| 6m* | 4-NO2 | 242-244 | AcOH | 50 | C19H21N5O2S (383.47) |
| 6n | 4-(CH3)2N | 223-225 | EtOH | 66 | C21H27N5S (381.54) |
| 6o | 2,6-F2 | 241-243 | EtOH | 68 | C19H20F2N4S (374.45) |
| 6p | 2-Cl,6-F | 219-221 | EtOH | 62 | C19H20ClFN4S (390.91) |
| 6q | 2,6-Cl2 | 207-209 | DMF | 49 | C19H20Cl2N4S (407.36) |
| 6r* | 2,4-Cl2 | 233-235 | AcOH | 62 | C19H20Cl2N4S (407.36) |
| 6s* | 3,4-Cl2 | 237-239 | AcOH | 69 | C19H20Cl2N4S (407.36) |
| 6t | 3,4-(CH3O)2 | 191-193 | EtOH | 86 | C21H26N4O2S (398.52) |
| 6u* | 2,4-(NO2)2 | 245-247 | AcOH | 49 | C19H20N6O4S (428.46) |
| 6v* | 2-NO2,4,5-(CH3O)2 | 145-147 | AcOH | 68 | C21H25N5O4S (443.52) |
* Prepared by method B.
Table 2.
Melting points, crystallization solvents, yields, molecular formulae and molecular weights of compounds 7a–p.
| Comp. No. | X | R | Mp (°C) | Cryst. Solv. | Yield (%) | Molecular Formula (Mol. Wt.) |
|---|---|---|---|---|---|---|
| 7a | F | CH3 | 102-104 | EtOH/H2O | 54 | C25H32F2N6S (486.62) |
| 7b | F | C2H5 | 169-171 | EtOH/H2O | 89 | C26H34F2N6S (500.65) |
| 7c | F | COOC2H5 | 156-158 | EtOH/H2O | 82 | C27H34F2N6O2S (544.66) |
| 7d | F | C6H5 | 151-153 | EtOH | 79 | C30H34F2N6S (548.69) |
| 7e | F | 4-FC6H4 | 140-142 | EtOH/H2O | 80 | C30H33F3N6S (566.68) |
| 7f | F | 3-CF3C6H4 | 132-134 | EtOH/H2O | 88 | C31H33F5N6S (616.69) |
| 7g | F | 2-CH3OC6H4 | 184-186 | EtOH/CHCl3 | 85 | C31H36F2N6OS (578.72) |
| 7h | F | C6H5CH2 | 148-150 | EtOH | 80 | C31H36F2N6S (562.72) |
| 7i | Cl | CH3 | 109-111 | EtOH/H2O | 68 | C25H32Cl2N6S (519.53) |
| 7j | Cl | C2H5 | 117-119 | EtOH/H2O | 75 | C26H34Cl2N6S (533.56) |
| 7k | Cl | COOC2H5 | 136-138 | EtOH/H2O | 72 | C27H34Cl2N6O2S (577.57) |
| 7l | Cl | C6H5 | 170-172 | EtOH | 83 | C30H34Cl2N6S (581.60) |
| 7m | Cl | 4-FC6H4 | 184-186 | EtOH | 85 | C30H33Cl2FN6S (599.59) |
| 7n | Cl | 3-CF3C6H4 | 159-161 | EtOH | 86 | C31H33Cl2F3N6S (649.60) |
| 7o | Cl | 2-CH3OC6H4 | 139-141 | EtOH | 67 | C31H36Cl2N6OS (611.63) |
| 7p | Cl | C6H5CH2 | 178-180 | EtOH | 80 | C31H36Cl2N6S (595.63) |
Scheme 2.
Synthetic Pathway for Compounds 7a–p and 8a–n.
Scheme 2.
Synthetic Pathway for Compounds 7a–p and 8a–n.

Table 3.
Melting points, crystallization solvents, yield percentages, molecular formulae and molecular weights of compounds 8a–n.
| Comp. No. | R | Mp (°C) | Cryst. Solv. | Yield (%) | Molecular Formula (Mol. Wt.) |
|---|---|---|---|---|---|
| 8a | H | 125-127 | EtOH/H2O | 82 | C28H37N5O2S (507.69) |
| 8b | 2-F | 134-136 | EtOH/H2O | 72 | C28H36FN5O2S (525.68) |
| 8c | 2-Cl | 158-160 | EtOH | 75 | C28H36ClN5O2S (542.14) |
| 8d | 4-CH3 | 135-137 | EtOH/H2O | 92 | C29H39N5O2S (521.72) |
| 8e | 2-OH | 127-129 | EtOH/H2O | 79 | C28H37N5O3S (523.69) |
| 8f | 4-OH | 195-197 | EtOH/H2O | 84 | C28H37N5O3S (523.69) |
| 8g | 4-OCH3 | 124-126 | EtOH/H2O | 88 | C29H39N5O3S (537.72) |
| 8h | 2,6-F2 | 148-150 | EtOH/H2O | 69 | C28H35F2N5O2S (543.67) |
| 8i | 2-Cl,6-F | 148-150 | EtOH | 74 | C28H35ClFN5O2S (560.13) |
| 8j | 2,6-Cl2 | 151-153 | EtOH | 75 | C28H35Cl2N5O2S (576.58) |
| 8k | 2,4-Cl2 | 129-131 | EtOH | 68 | C28H35Cl2N5O2S (576.58) |
| 8l | 3,4-Cl2 | 186-188 | EtOH | 71 | C28H35Cl2N5O2S (576.58) |
| 8m | 3,4-(CH3O)2 | 113-115 | EtOH/H2O | 76 | C30H41N5O4S (567.74) |
| 8n | 2-NO2,4,5-(CH3O)2 | 182-184 | EtOH/CHCl3 | 80 | C30H40N6O6S (612.74) |
2.2. Antimicrobial Testing
The newly synthesized compounds 6a–v, 7a–p and 8a–n were tested for their in vitro growth inhibitory activity against the standard strains of the Institute of Fermentation of Osaka (IFO) namely; Staphylococcus aureus IFO 3060, Bacillus subtilis IFO 3007, Micrococcus luteus IFO 3232 (Gram-positive bacteria), Escherichia coli IFO 3301, Pseudomonas aeuroginosa IFO 3448 (Gram-negative bacteria), and the yeast-like pathogenic fungus Candida albicans IFO 0583. The primary screening was carried out using the agar disc-diffusion method using Müller-Hinton agar medium [30]. The results of the preliminary antimicrobial testing of compounds 6a–v, 7a–p and 8a–n (200 μg/disc), the antibacterial antibiotic ampicillin trihydrate (100 μg/disc) and the antifungal drug clotrimazole (100 μg/disc) are shown in Table 4. The antimicrobial activity results of the 4-arylideneaminotriazoles 6a–v revealed that the aryl substituents greatly influenced the antimicrobial activity. The halo and hydroxyl derivatives were highly active particularly against the tested Gram-positive bacteria, while the nitro and methoxy derivatives were generally inactive. In addition, the hydroxy derivatives 6g and 6h showed marked activity against the tested Gram-negative bacteria. The 4-fluoro 6c and 4-bromo 6f derivatives were significantly active against Candida albicans. Based on the antibacterial activity of the arylideneamino derivatives 6a-v, and the previously reported high chemotherapeutic activity of several 2,6-dihalophenyl derivatives [31,32,33], the 2,6-difluoro- and dichlorobenzylideneamino derivatives 6o and 6q were selected to prepare their 4-substituted-1-piperazinyl Mannich bases 7a–p. The results of the antimicrobial activity of the 4-substituted-1-piperazinyl Mannich bases 7a–p were generally lower than those of the arylideneamino derivatives 6a–v but the specificity was almost similar. On the other hand, the antimicrobial activity of the 4-ethoxycarbonyl-1-piperidyl Mannich bases 8a–n was higher than the 4-substituted-1-piperazinyl Mannich bases 7a–p. The most potent member of these derivatives were the 4-hydroxybenzylidene 8f and the 3,4-dimethoxybenzylidene 8m derivatives which displayed strong broad spectrum activity. The minimal inhibitory concentration (MIC) for the most active compounds 6h, 6o, 7n, 8a, 8e, 8f and 8m against the same microorganism used in the primary screening was determined using the microdilution susceptibility method in Müller-Hinton Broth and Sabouraud Liquid Medium [34]. The MIC of the most active compounds, the antibacterial antibiotic ampicillin trihydrate and the antifungal drug clotrimazole (Table 5) were in accordance with the results obtained in the primary screening.
Table 4.
Antimicrobial activity of compounds 6a–v, 7a–p and 8a–n (200 μg/8 mm disc), the broad spectrum antibacterial drugs gentamicin (100 μg/8 mm disc), ampicillin (100 μg/8 mm disc) and the antifungal drug clotrimazole (100 μg/8 mm disc) against Staphylococcus aureus IFO 3060 (SA), Bacillus subtilis IFO 3007 (BS), Micrococcus luteus IFO 3232 (ML), Escherichia coli IFO 3301 (EC), Pseudomonas aeuroginosa IFO 3448 (PA), and Candida albicans IFO 0583 (CA).
| Comp. No. | Diameter of Growth Inhibition Zone (mm)* | |||||
|---|---|---|---|---|---|---|
| SA | BS | ML | EC | PA | C A | |
| 6a | 10 | 13 | - | - | - | - |
| 6b | 14 | 14 | - | - | - | - |
| 6c | 16 | 17 | - | - | - | 17 |
| 6d | 11 | 14 | - | - | - | - |
| 6e | 14 | 16 | - | - | - | - |
| 6f | 13 | 14 | 14 | - | - | 16 |
| 6g | 14 | 16 | 12 | 15 | 13 | - |
| 6h | 19 | 25 | 13 | 19 | 14 | - |
| 6i | 15 | 18 | 15 | - | - | - |
| 6j | - | - | - | - | - | - |
| 6k | - | - | - | - | - | - |
| 6l | 14 | 14 | - | - | - | - |
| 6m | - | - | - | - | - | - |
| 6n | - | - | - | - | - | - |
| 6o | 18 | 19 | - | - | - | - |
| 6p | - | - | - | - | - | - |
| 6q | 14 | 16 | - | - | - | - |
| 6r | 16 | 17 | - | - | - | - |
| 6s | 17 | 17 | - | - | - | 12 |
| 6t | - | - | - | - | - | - |
| 6u | - | - | - | - | - | - |
| 6v | - | - | - | - | - | - |
| 7a | 13 | 15 | - | - | - | - |
| 7b | 15 | 14 | - | 15 | - | - |
| 7c | 11 | 15 | - | - | - | |
| 7d | - | - | 14 | - | - | - |
| 7e | - | - | - | - | 12 | - |
| 7f | 12 | 11 | - | 18 | 11 | - |
| 7g | - | - | - | - | - | - |
| 7h | - | - | - | - | - | 17 |
| 7i | 12 | 11 | - | - | - | - |
| 7j | 14 | 12 | - | - | - | - |
| 7k | - | 11 | - | - | - | - |
| 7l | - | - | - | - | - | - |
| 7m | 13 | 12 | - | - | - | - |
| 7n | - | - | - | 19 | 14 | - |
| 7o | - | - | - | - | - | - |
| 7p | - | - | - | - | - | - |
| 8a | 12 | 19 | 16 | - | - | - |
| 8b | - | - | - | - | - | - |
| 8c | - | - | - | 15 | - | - |
| 8d | 11 | 15 | - | - | - | - |
| 8e | 17 | 22 | - | - | - | 13 |
| 8f | 22 | 26 | - | - | - | 19 |
| 8g | 15 | 11 | - | - | - | - |
| 8h | - | - | - | - | - | 14 |
| 8i | 14 | 15 | - | - | - | - |
| 8j | 12 | 16 | 16 | - | - | - |
| 8k | 15 | 17 | - | - | - | - |
| 8l | 11 | 13 | - | - | - | - |
| 8m | 20 | 24 | 17 | 19 | 16 | - |
| 8n | - | - | - | - | - | - |
| Gentamicin | 26 | 25 | 18 | 20 | 19 | NT |
| Ampicillin | 23 | 21 | 19 | 17 | 16 | NT |
| Clotrimazole | NT | NT | NT | NT | NT | 21 |
* (-): Inactive (inhibition zone <10 mm). (NT): Not tested.
Table 5.
The minimal inhibitory concentrations (MIC, μg/mL) of compounds 6h, 6o, 7n, 8a, 8e, 8f, 8m, the broad spectrum antibacterial drugs gentamicin, ampicillin and the antifungal drug clotrimazole against Staphylococcus aureus IFO 3060 (SA), Bacillus subtilis IFO 3007 (BS), Micrococcus luteus IFO 3232 (ML), Escherichia coli IFO 3301(EC), Pseudomonas aeuroginosa IFO 3448 (PA), and Candida albicans IFO 0583 (CA).
| Comp. No. | Minimal Inhibitory Concentration (MIC, g/mL)* | |||||
|---|---|---|---|---|---|---|
| SA | BS | ML | EC | PA | C A | |
| 6h | 2 | 1 | ND | 2 | ND | ND |
| 6o | ND | 4 | ND | ND | ND | ND |
| 7n | ND | ND | ND | 2 | ND | ND |
| 8a | ND | 4 | ND | ND | ND | ND |
| 8e | ND | 2 | ND | ND | ND | ND |
| 8f | 2 | 1 | ND | ND | ND | 8 |
| 8m | 2 | 1 | ND | 2 | ND | ND |
| Gentamicin | 2 | 2 | 2 | 0.5 | 1 | ND |
| Ampicillin | 2 | 0.5 | 2 | 2 | 2 | ND |
| Clotrimazole | ND | ND | ND | ND | ND | 2 |
* ND: Not determined.
2.3. Acute anti-inflammatory activity testing
The acute in vivo anti-inflammatory activity of 21 representative compounds (6b, 6e, 6h, 6j, 6r, 6t, 7b, 7d, 7g, 7j, 7l, 7m, 7p, 8a, 8c, 8e, 8f, 8h, 8k, 8l and 8n) was determined following the carrageenan-induced paw oedema method in rats [35]. The selection of the representative compounds and dose levels were made after carrying out pilot experiments which showed the absence of anti-inflammatory activity for some compounds and that the dose levels 20 and 40 mg/kg showed no signs of acute toxicity. The results of the anti-inflammatory activity of the tested compounds (20 & 40 mg/kg) and the potent anti-inflammatory drug Indomethacin (5 mg/kg) are listed in Table 6. The majority of the tested compounds showed varying degrees of activity. The highest activity was shown by compound 7l, which produced strong dose-dependent inhibition of carrageenan-induced paw oedema (>50%), while compounds 7d and 8c were moderately active (30–50%) at 20 & 40 mg/kg dose level. Compounds 7g, 7j, 8e, and 8l were moderately active at 40 mg/kg dose level and weakly active at 20 mg/kg level. The structure-anti-inflammatory activity of the tested derivatives revealed that the triazole N-2 and N-4 substituents greatly influence the anti-inflammatory activity.
Table 6.
Anti-inflammatory effect of intraperitoneal injection of (20 & 40 mg/kg) of compounds 6b, 6e, 6h, 6j, 6r, 6t, 7b, 7d, 7g, 7j, 7l, 7m, 7p, 8a, 8c, 8e, 8f, 8h, 8k, 8l, 8n and Indomethacin (5 mg/kg) against carrageenan-induced paw oedema in rats.
| Comp. No. | Mean % Reduction of paw oedema from controla | |
|---|---|---|
| 20 mg/kg | 40 mg/kg | |
| Controlb | 0 (± 0.04) | |
| 6b | -5.50 (± 0.13)* | -2.71 (± 0.12)* |
| 6e | 3.16 (± 0.11)* | -8.56 (± 0.07)* |
| 6h | 13.28 (± 0.15)** | 11.29 (± 0.14)** |
| 6j | 11.06 (± 0.13)** | 13.91 (± 0.11)** |
| 6r | 10.32 (± 0.09)** | 10.54 (± 0.11)** |
| 6t | 21.92 (± 0.08)** | 19.37 (± 0.07)** |
| 7b | 17.88 (± 0.11)** | 20.01 (± 0.09)** |
| 7d | 39.16 (± 0.09)** | 39.88 (± 0.89)** |
| 7g | 25.88 (± 0.07)** | 38.37 (± 0.07)** |
| 7j | 27.95 (± 0.12)** | 34.76 (± 0.10)** |
| 7l | 28.86 (± 0.08)** | 50.44 (± 0.06)** |
| 7m | 13.06 (± 0.08)** | 22.90 (± 0.08)** |
| 7p | 2.05 (± 0.06)* | 4.99 (± 0.08)* |
| 8a | 23.23 (± 0.02)** | 15.27 (± 0.05)** |
| 8c | 33.02 (± 0.11)** | 37.66 (± 0.14)** |
| 8e | 20.41 (± 0.07)** | 31.20 (± 0.09)** |
| 8f | -18.25 (± 0.13) | 1.36 (± 0.04) |
| 8h | -20.21 (± 0.11) | -9.80 (± 0.07) |
| 8k | 9.91 (± 0.133)* | 6.81 (± 0.09)* |
| 8l | 10.45 (± 0.10)** | 35.01 (± 0.12)** |
| 8n | -13.75 (± 0.18)* | -11.61 (± 0.10)* |
| Indomethacin (5 mg/kg) | 52.79 (± 0.04) | |
a Results are expressed as mean % inhibition ± S.E.M. (n = 5) and compared with student “t” test.b The group was injected with 1 ml of 0.5% aqueous carboxymethyl cellulose solution.* Inactive: Significantly different from Indomethacin at p < 0.05.** Activity comparable to Indomethacin (significantly different from Indomethacin at p < 0.05.
The N-2 unsubstituted adamantyltriazoles 6b, 6e, 6h, 6j, 6r and 6t were weakly active or completely inactive, while the N-2 piperazinomethyl derivatives 7b, 7d, 7g, 7j, 7l, 7m and 7p were generally active. The activity was also found to be dependent on the nature of the 4-arylideneamino and the 4-piperazinyl substituents. The activity of the 2,6-dichlorobenzylidene derivatives were slightly higher than their 2,6-difluoro-benzylidene analogues. It could be also concluded that the phenyl substituents are better compared with the ethyl, 4-fluorophenyl, 2-methoxyphenyl and benzyl substituents. The replacement of the 4-substituted-1-piperazinyl moiety with a 4-carbethoxy-1-piperidyl moiety resulted in marked decrease in activity, only the chloro derivatives 8c and 8l and the 2-hydroxy derivative 8e exhibited moderate activity. There are in fact a high number of enzyme/receptors involved in the inflammatory process. Without specific tests it is quite difficult to hypothesize the mechanism of action of the tested compounds, they may exert their action via inhibition of the cyclooxygenase enzymes like other nonsteroidal anti-inflammatory agents. In addition, the recently reported activity of some adamantane derivatives as selective inhibitors of 11β-hydroxysteroid dehydrogenase type 1 (11β-HSD1) [36,37] should be taken inconsideration. The 11β-hydroxysteroid dehydrogenase type 1 converts cortisone to the active glucocorticoid cortisol, which is responsible for various metabolic disorders including water retention, thus the inhibition of 11β-HSD1 would result in increasing the intracellular cortisone level.
3. Experimental
3.1. General
Melting points (ºC) were measured in open glass capillaries using a Branstead 9001 Electrothermal melting point apparatus and are uncorrected. NMR spectra were obtained on a Bruker AC 500 Ultra Shield NMR spectrometer (Fällanden, Switzerland) operating at 500.13 MHz for 1H and 125.76 MHz for 13C; the chemical shifts are expressed in δ (ppm) downfield from tetramethylsilane (TMS) as internal standard; coupling constants (J) are expressed in Hz. Electrospray ionization mass spectra (ESI-MS) were recorded on a Waters QuatroMicro triple quadrupole tandem mass spectrometer at 4.0 and 3.5 kV for positive and negative ions, respectively. Elemental analyses (C, H, N, S) were in full agreement with the proposed structures within ±0.4% of the theoretical values. Monitoring the reactions and checking the purity of the final products were carried out by thin layer chromatography (TLC) using silica gel precoated aluminum sheets (60 F254, Merck) and visualization with ultraviolet light (UV) at 365 and 254 nm. The bacterial strains and Candida albicans fungus were obtained from the Institute of Fermentation of Osaka (IFO), Osaka, Japan. The reference drugs ampicillin trihydrate (CAS 7177-48-2), clotrimazole (CAS 23593-75-1) and indomethacin (CAS 53-86-1) were obtained from Sigma-Aldrich Chemie GmbH, Taufkirchen, Germany. The Sprauge-Dawley rats were purchased from local animal house (Abu-Rawash, Giza, Egypt). The animal experiments for the determination of the anti-inflammatory activity were carried out in agreement with the pertinent legal and ethical standards of the international guidelines.
3.2. 5-(1-Adamantyl)-4-arylideneamino-3-mercapto-1,2,4-triazoles 6a–v
Method A: A mixture of the appropriate aromatic aldehyde (2.0 mmol) and 5-(1-adamantyl)-4-amino-3-mercapto-1,2,4-triazole (5, 0.5 g, 2.0 mmol) in absolute ethanol (10 mL) was heated under reflux for 5 h. On cooling, the separated solid was filtered, washed with cold ethanol (5 mL), dried and crystallized (Table 1). Method B(compounds 6l, 6m, 6r, 6s, 6u and 6v): A mixture of the appropriate aromatic aldehyde (2.0 mmol) and 5-(1-adamantyl)-4-amino-3-mercapto-1,2,4-triazole (5, 0.5 g, 2 mmol) in acetic acid (8 mL) was heated under reflux for 4 h. On cooling, the separated solid was filtered, washed with cold ethanol (5 mL), dried and crystallized (Table 1).
5-(1-Adamantyl)-4-benzylideneamino-3-mercapto-1,2,4-triazole 6a: 1H-NMR (DMSO-d6): δ 1.69–1.73 (m, 6H, adamantane-H), 2.02 (s, 3H, adamantane-H), 2.07 (s, 6H, adamantane-H), 7.58–7.65 (m, 3H, Ar-H), 7.92 (d, 2H, Ar-H, J = 7.0 Hz), 9.71 (s, 1H, CH=N), 13.82 (s, 1H, SH). 13C-NMR: 27.72, 35.28, 36.47, 38.61 (adamantane-C), 128.94, 129.78, 132.67, 133.17 (Ar-C), 156.04, 162.50 (triazole C-5 & CH=N), 165.02 (triazole C-3). MS, m/z (Rel. Int.): 338 (M+, 51), 261 (12), 236 (26), 235 (100), 221 (14), 202 (17), 135 (15), 104 (12), 90 (11), 77 (6).
5-(1-Adamantyl)-4-(2-fluorobenzylideneamino)-3-mercapto-1,2,4-triazole 6b: 1H-NMR (DMSO-d6): δ 1.71 (s, 6H, adamantane-H), 2.02 (s, 3H, adamantane-H), 2.08 (s, 6H, adamantane-H), 7.40–7.45 (m, 2H, Ar-H), 7.67–7.71 (m, 1H, Ar-H), 8.04 (t, 1H, Ar-H, J = 7.0 Hz), 10.18 (s, 1H, CH=N), 13.85 (s, 1H, SH). 13C-NMR: 27.77, 35.36, 36.49, 38.37 (adamantane-C), 117.0, 120.45, 125.92, 127.86, 135.25, 156.88 (Ar-C), 156.20, 162.44 (triazole C-5 & CH=N), 163.18 (triazole C-3). MS, m/z (Rel. Int.): 356 (M+, 44), 339 (25), 297 (17), 266(24), 260 (20), 235 (100), 234 (60), 220 (31), 135 (25), 122 (26), 108 (29), 96 (10).
5-(1-Adamantyl)-4-(4-fluorobenzylideneamino)-3-mercapto-1,2,4-triazole 6c: 1H-NMR (DMSO-d6): δ 1.71 (s, 6H, adamantane-H), 2.01 (s, 3H, adamantane-H), 2.07 (s, 6H, adamantane-H), 7.34 (d, 2H, Ar-H, J = 6.5 Hz), 7.94 (d, 2H, Ar-H, J = 6.5 Hz), 9.71 (s, 1H, CH=N), 13.81 (s, 1H, SH). 13C-NMR: 27.73, 35.28, 36.47, 38.63 (adamantane-C), 116.40, 129.28, 131.09, 163.95 (Ar-C), 156.02, 162.54 (triazole C-5 & CH=N), 165.37 (triazole C-3). MS, m/z (Rel. Int.): 356 (M+, 17), 235 (100), 234 (58), 220 (14), 135 (34), 122 (22), 121 (62), 107 (18), 95 (44).
5-(1-Adamantyl)-4-(2-chlorobenzylideneamino)-3-mercapto-1,2,4-triazole 6d: 1H-NMR (DMSO-d6): δ 1.73 (s, 6H, adamantane-H), 2.03 (s, 3H, adamantane-H), 2.09 (s, 6H, adamantane-H), 7.58–7.70 (m, 3H, Ar-H), 8.15 (d, 1H, Ar-H, J = 7.5 Hz), 10.48 (s, 1H, CH=N), 13.89 (s, 1H, SH). 13C-NMR: 27.76, 35.41, 36.51, 38.70 (adamantane-C), 127.77, 128.64, 130.40, 130.96, 134.46, 135.69 (Ar-C), 156.27, 158.73 (triazole C-5 & CH=N), 162.44 (triazole C-3). MS, m/z (Rel. Int.): 374 (M+ +2, 25), 372 (M+, 100), 337 (34), 261 (25), 249 (26), 235 (58), 234 (48), 221 (20), 140 (32), 135 (21), 125 (26), 110 (12).
5-(1-Adamantyl)-4-(4-chlorobenzylideneamino)-3-mercapto-1,2,4-triazole 6e: 1H-NMR (DMSO-d6): δ 1.70 (s, 6H, adamantane-H), 2.01 (s, 3H, adamantane-H), 2.06 (s, 6H, adamantane-H), 7.66 (d, 2H, Ar-H, J = 6.5 Hz), 7.93 (d, 2H, Ar-H, J = 6.5 Hz), 9.76 (s, 1H, CH=N), 13.81 (s, 1H, SH). 13C-NMR: 27.73, 35.29, 36.46, 38.63 (adamantane-C), 129.98, 130.56, 131.56, 137.89 (Ar-C), 156.04, 162.53 (triazole C-5 & CH=N), 163.66 (triazole C-3). MS, m/z (Rel. Int.): 374 (M+ +2, 10), 373 (M+ +1, 40), 372 (M+, 23), 371 (100).
5-(1-Adamantyl)-4-(2-bromobenzylideneamino)-3-mercapto-1,2,4-triazole 6f: 1H-NMR (DMSO-d6): δ 1.71 (s, 6H, adamantane-H), 2.01 (s, 3H, adamantane-H), 2.09 (s, 6H, adamantane-H), 7.99 (d, 2H, Ar-H, J = 8.5), 7.86 (d, 2H, Ar-H, J = 8.5 Hz), 9.75 (s, 1H, CH=N), 13.82 (s, 1H, SH). 13C-NMR: 27.80, 35.30, 36.53, 38.64 (adamantane-C), 126.89, 130.71, 131.89, 132.93 (Ar-C), 156.04, 162.51 (triazole C-5 & CH=N), 162.73 (triazole C-3). MS, m/z (Rel. Int.): 418 (M+ +2, 20), 417 (M+ +1, 100), 416 (M+, 20), 415 (100).
5-(1-Adamantyl)-4-(2-hydroxybenzylideneamino)-3-mercapto-1,2,4-triazole 6g: 1H-NMR (DMSO-d6): δ 1.69–1.73 (m, 6H, adamantane-H), 2.01 (s, 3H, adamantane-H), 2.07 (s, 6H, adamantane-H), 6.97–7.02 (m, 2H, Ar-H), 7.42–7.46 (m, 1H, Ar-H), 7.90–7.92 (m, 1H, Ar-H), 9.91 (s, 1H, CH=N), 10.55 (s, 1H, OH), 13.46 (s, 1H, SH). 13C-NMR: 27.74, 35.29, 36.47, 38.61 (adamantane-C), 117.26, 118.95, 120.26, 127.24, 134.72, 158.97 (Ar-C), 156.01, 161.63 (triazole C-5 & CH=N), 162.49 (triazole C-3). MS, m/z (Rel. Int.): 355 (M+ +1, 7), 354 (M+, 28), 353 (100).
5-(1-Adamantyl)-4-(4-hydroxybenzylideneamino)-3-mercapto-1,2,4-triazole 6h: 1H-NMR (DMSO-d6): δ 1.67–1.71 (m, 6H, adamantane-H), 2.01 (s, 3H, adamantane-H), 2.06 (s, 6H, adamantane-H), 6.94 (d, 2H, Ar-H, J = 8.5 Hz), 7.76 (d, 2H, Ar-H, J = 8.5 Hz), 9.36 (s, 1H, CH=N), 10.38 (s, 1H, OH), 13.70 (s, 1H, SH). 13C-NMR: 27.73, 35.21, 36.48, 38.57 (adamantane-C), 116.65, 123.51, 131.18, 162.51 (Ar-C), 155.91, 162.32 (triazole C-5 & CH=N), 165.79 (triazole C-3). MS, m/z (Rel. Int.): 355 (M+ +1, 6), 354 (M+, 26), 353 (100).
5-(1-Adamantyl)-4-(4-methylbenzylideneamino)-3-mercapto-1,2,4-triazole 6i: 1H-NMR (DMSO-d6): δ 1.69–1.73 (m, 6H, adamantane-H), 2.01 (s, 3H, adamantane-H), 2.06 (s, 6H, adamantane-H), 2.40 (s, 3H, CH3), 7.39 (d, 2H, Ar-H, J = 7.5 Hz), 7.81 (d, 2H, Ar-H, J = 7.5 Hz), 9.61 (s, 1H, CH=N), 13.77 (s, 1H, SH). 13C-NMR: 21.72 (CH3), 27.73, 35.26, 36.47, 38.60 (adamantane-C), 128.96, 129.99, 130.37, 143.57 (Ar-C), 156.0, 162.51 (triazole C-5 & CH=N), 165.19 (triazole C-3). MS, m/z (Rel. Int.): 351 (M+ -1, 14), 234 (100), 233 (32).
5-(1-Adamantyl)-4-(2-methoxybenzylideneamino)-3-mercapto-1,2,4-triazole 6j: 1H-NMR (DMSO-d6): δ 1.67–1.74 (m, 6H, adamantane-H), 2.02 (s, 3H, adamantane-H), 2.07 (s, 6H, adamantane-H), 3.89 (s, 3H, OCH3), 7.13–7.23 (m, 2H, Ar-H), 7.60–7.63 (m, 1H, Ar-H), 8.01 (d, 1H, Ar-H, J = 8.0 Hz), 10.02 (s, 1H, CH=N), 13.76 (s, 1H, SH). 13C-NMR: 27.74, 35.30, 36.49, 38.60 (adamantane-C), 56.54 (OCH3), 112.99, 120.74, 121.59, 126.69, 134.97, 159.84 (Ar-C), 156.13 (triazole C-5), 159.81 (CH=N), 162.39 (triazole C-3). MS, m/z (Rel. Int.): 369 (M+ +1, 7), 368 (M+, 23), 367 (100).
5-(1-Adamantyl)-4-(4-methoxybenzylideneamino)-3-mercapto-1,2,4-triazole 6k: 1H-NMR (DMSO-d6): δ 1.67–1.73 (m, 6H, adamantane-H), 2.01 (s, 3H, adamantane-H), 2.06 (s, 6H, adamantane-H), 3.86 (s, 3H, OCH3), 7.13 (d, 2H, Ar-H, J = 8.5 Hz), 7.87 (d, 2H, Ar-H, J = 8.5 Hz), 9.50 (s, 1H, CH=N), 13.79 (s, 1H, SH). 13C-NMR: 27.73, 35.24, 36.48, 38.59 (adamantane-C), 56.04 (OCH3), 115.32, 125.11, 130.91, 163.43 (Ar-C), 155.95, 162.50 (triazole C-5 & CH=N), 165.12 (triazole C-3). MS, m/z (Rel. Int.): 369 (M+ +1, 29), 368 (M+, 76), 353 (33), 259 (33), 249 (37), 236 (51), 235 (49), 234 (29), 135 (54), 133 (100), 108 (112).
5-(1-Adamantyl)-4-(2-nitrobenzylideneamino)-3-mercapto-1,2,4-triazole 6l: 1H-NMR (DMSO-d6): δ 1.72 (s, 6H, adamantane-H), 2.01 (s, 3H, adamantane-H), 2.07 (s, 6H, adamantane-H), 7.85 (t, 1H, Ar-H, J = 7.5 Hz), 7.94 (t, 1H, Ar-H, J = 7.5 Hz), 8.17 (d, 2H, Ar-H, J = 8.0 Hz), 10.43 (s, 1H, CH=N), 13.90 (s, 1H, SH). 13C NMR: 27.76, 35.39, 36.42, 38.63 (adamantane-C), 125.40, 126.87, 129.43, 133.54, 134.53, 149.29 (Ar-C), 156.26, 159.20 (triazole C-5 & CH=N), 162.65 (triazole C-3). MS, m/z (Rel. Int.): 384 (M+ +1, 7), 383 (M+, 24), 382 (100).
5-(1-Adamantyl)-4-(4-nitrobenzylideneamino)-3-mercapto-1,2,4-triazole 6m: 1H-NMR (DMSO-d6): δ 1.71 (s, 6H, adamantane-H), 2.01 (s, 3H, adamantane-H), 2.06 (s, 6H, adamantane-H), 7.89 (d, 2H, Ar-H, J = 8.4 Hz), 8.32(d, 2H, Ar-H, J = 8.4 Hz), 10.21 (s, 1H, CH=N), 13.88 (s, 1H, SH). 13C NMR: 27.73, 35.21, 36.40, 38.61 (adamantane-C), 124.12, 128.83, 136.55, 150.22 (Ar-C), 155.66, 161.26 (triazole C-5 & CH=N), 162.85 (triazole C-3).
5-(1-Adamantyl)-4-(4-dimethylaminobenzylideneamino)-3-mercapto-1,2,4-triazole 6n: 1H-NMR (DMSO-d6): δ 1.66–1.71 (m, 6H, adamantane-H), 2.01 (s, 3H, adamantane-H), 2.06 (s, 6H, adamantane-H), 3.04 (s, 6H, CH3), 6.83 (d, 2H, Ar-H, J = 8.5 Hz), 7.71 (d, 2H, Ar-H, J = 9.0 Hz), 9.21 (s, 1H, CH=N), 13.74 (s, 1H, SH). 13C NMR: 27.74, 35.18, 36.50, 38.55 (adamantane-C), 39.89 (CH3), 112.20, 119.31, 130.66, 153.72 (Ar-C), 155.88, 162.51 (triazole C-5 & CH=N), 165.99 (triazole C-3). MS, m/z (Rel. Int.): 382 (M+ +1, 8), 381 (M+, 36), 379 (100).
5-(1-Adamantyl)-4-(2,6-difluorobenzylideneamino)-3-mercapto-1,2,4-triazole 6o: 1H-NMR (DMSO-d6): δ 1.71 (s, 6H, adamantane-H), 2.01 (s, 3H, adamantane-H), 2.09 (s, 6H, adamantane-H), 7.30–7.34 (m, 2H, Ar-H), 7.67-7.72 (m, 1H, Ar-H), 10.37 (s, 1H, CH=N), 13.87 (s, 1H, SH). 13C NMR: 27.30, 34.89, 35.87, 37.67 (adamantane-C), 109.74, 112.67, 134.86, 160.06 (Ar-C), 155.87, 160.06 (triazole C-5 & CH=N), 162.11 (triazole C-3). MS, m/z (Rel. Int.): 375 (M+ +1, 10), 374 (M+, 33), 343 (14), 236 (37), 235 (100), 234 (43), 220 (17), 139 (40), 135 (18), 126 (18), 113 (13).
5-(1-Adamantyl)-4-(2-chloro-6-fluorobenzylideneamino)-3-mercapto-1,2,4-triazole 6p: 1H-NMR (DMSO-d6): δ 1.71 (s, 6H, adamantane-H), 2.01 (s, 3H, adamantane-H), 2.09 (s, 6H, adamantane-H), 7.44–7.48 (m, 1H, Ar-H), 7.52 (d, 1H, Ar-H, J = 8.0 Hz), 7.63–7.67 (m, 1H, Ar-H), 10.54 (s, 1H, CH=N), 13.89 (s, 1H, SH). 13C NMR: 27.79, 35.41, 36.36, 38.23 (adamantane-C), 116.52, 119.14, 127.17, 134.57, 135.99, 162.59 (Ar-C), 156.41, 160.51 (triazole C-5 & CH=N), 162.21 (triazole C-3). MS, m/z (Rel. Int.): 392 (M+ +2, 8), 390 (M+, 20), 371 (12), 355 (22), 336 (9), 236 (56), 235 (100), 234 (18), 220 (26), 156 (33), 135 (14), 129 (7), 127 (22).
5-(1-Adamantyl)-4-(2,6-dichlorobenzylideneamino)-3-mercapto-1,2,4-triazole 6q: 1H-NMR (DMSO-d6): δ 1.68 (s, 6H, adamantane-H), 1.99 (s, 3H, adamantane-H), 2.09 (s, 6H, adamantane-H), 7.53–7.68 (m, 3H, Ar-H), 10.63 (s, 1H, CH=N), 13.93 (s, 1H, SH). 13C NMR: 27.77, 35.48, 36.38, 38.38 (adamantane-C), 128.33, 130.42, 133.60, 135.32 (Ar-C), 156.43, 158.38 (triazole C-5 & CH=N), 162.46 (triazole C-3). MS, m/z (Rel. Int.): 410 (M+ +4, 4), 409 (M+ +3, 16), 408 (M+ +2, 18), 407 (M+ +1, 74), 406 (M+, 22), 405 (100).
5-(1-Adamantyl)-4-(2,4-dichlorobenzylideneamino)-3-mercapto-1,2,4-triazole 6r: 1H-NMR (DMSO-d6): δ 1.72 (s, 6H, adamantane-H), 2.03 (s, 3H, adamantane-H), 2.08 (s, 6H, adamantane-H), 7.67–7.69 (m, 1H, Ar-H), 7.84 (s, 1H, Ar-H), 8.12 (d, 1H, Ar-H, J = 8.0 Hz), 10.50 (s, 1H, CH=N), 13.89 (s, 1H, SH). 13C NMR: 27.76, 35.41, 36.49, 38.71 (adamantane-C), 128.91, 129.12, 129.49, 130.48, 136.44, 138.29 (Ar-C), 156.26, 157.41 (triazole C-5 & CH=N), 162.44 (triazole C-3). MS, m/z (Rel. Int.): 410 (M+ +4, 3), 409 (M+ +3, 15), 408 (M+ +2, 17), 407 (M+ +1, 69), 406 (M+, 22), 405 (100).
5-(1-Adamantyl)-4-(3,4-dichlorobenzylideneamino)-3-mercapto-1,2,4-triazole 6s: 1H-NMR (DMSO-d6): δ 1.70–1.72 (m, 6H, adamantane-H), 2.02 (s, 3H, adamantane-H), 2.06 (s, 6H, adamantane-H), 7.85–7.93 (m, 2H, Ar-H), 8.13 (s, 1H, Ar-H), 9.88 (s, 1H, CH=N), 13.86 (s, 1H, SH). 13C NMR: 27.74, 35.33, 36.47, 38.67 (adamantane-C), 128.34, 130.61, 132.19, 132.74, 133.40, 135.64 (Ar-C), 156.09, 161.65 (triazole C-5 & CH=N), 162.56 (triazole C-3). MS, m/z (Rel. Int.): 410 (M+ +4, 3), 409 (M+ +3, 15), 408 (M+ +2, 17), 407 (M+ +1, 73), 406 (M+, 23), 405 (100).
5-(1-Adamantyl)-4-(3,4-dimethoxybenzylideneamino)-3-mercapto-1,2,4-triazole 6t: 1H-NMR (DMSO-d6): δ 1.67–1.74 (m, 6H, adamantane-H), 2.02 (s, 3H, adamantane-H), 2.08 (s, 6H, adamantane-H), 3.84 (s, 3H, OCH3), 3.86 (s, 3H, OCH3), 7.15 (d, 1H, Ar-H, J = 8.5 Hz), 7.47 (d, 1H, Ar-H, J = 8.5 Hz), 7.50 (s, 1H, Ar-H), 9.56 (s, 1H, CH=N), 13.74 (s, 1H, SH). 13C NMR: 27.76, 35.28, 36.52, 38.64 (adamantane-C), 56.0 (OCH3), 56.28 (OCH3), 110.09, 112.34, 124.20, 125.25, 149.74, 153.35 (Ar-C), 156.01, 162.46 (triazole C-5 & CH=N), 164.54 (triazole C-3). MS, m/z (Rel. Int.): 399 (M+ +1, 7), 398 (M+, 24), 397 (100).
5-(1-Adamantyl)-4-(2,4-dinitrobenzylideneamino)-3-mercapto-1,2,4-triazole 6u: 1H-NMR (DMSO-d6): δ 1.72 (s, 6H, adamantane-H), 2.02 (s, 3H, adamantane-H), 2.08 (s, 6H, adamantane-H), 8.41 (d, 1H, Ar-H, J = 8.5 Hz), 8.65 (d, 1H, Ar-H, J = 8.5 Hz), 9.03 (s, 1H, Ar-H), 11.51 (s, 1H, CH=N), 13.46 (s, 1H, SH). 13C NMR: 27.80, 34.80, 36.52, 38.36 (adamantane-C), 120.79, 128.01, 129.52, 131.72, 135.05, 147.74 (Ar-C), 157.09, 157.86 (triazole C-5 & CH=N), 167.73 (triazole C-3). MS, m/z (Rel. Int.): 451 (M+ +Na, 4), 450 (11), 451 (48), 436 (100), 428 (M+, 3), 427 (10).
5-(1-Adamantyl)-4-(4,5-dimethoxy-2-nitrobenzylideneamino)-3-mercapto-1,2,4-triazole 6v: 1H-NMR (DMSO-d6): δ 1.70–1.74 (m, 6H, adamantane-H), 2.02 (s, 3H, adamantane-H), 2.10 (s, 6H, adamantane-H), 3.96 (s, 3H, OCH3), 3.97 (s, 3H, OCH3), 7.64 (s, 1H, Ar-H), 7.75 (s, 1H, Ar-H), 10.56 (s, 1H, CH=N), 13.86 (s, 1H, SH). 13C NMR: 27.77, 35.44, 36.49, 38.76 (adamantane-C), 56.67 (OCH3), 57.05 (OCH3), 108.73, 109.16, 120.95, 143.12, 151.89, 153.10 (Ar-C), 156.28, 157.92 (triazole C-5 & CH=N), 162.56 (triazole C-3). MS, m/z (Rel. Int.): 444 (M+ +1, 7), 443 (M+, 24), 442 (100).
5-(1-Adamantyl)-4-arylideneamino-2-(4-substituted-1-piperazinylmethyl)-1,2,4-triazoline-3-thiones 7a–p
A mixture of the 5-(1-adamantyl)-4-(2,6-dihalobenzylideneamino)-3-mercapto-1,2,4-triazoles 6o or 6q (1.0 mmol), the appropriate N-substituted piperazine (1.0 mmol) and 37% formaldehyde solution (1 mL), in ethanol (8 mL), was heated under reflux for 15 min when a clear solution was obtained. Stirring was continued for 12 h at room temperature and the mixture was allowed to stand overnight. Cold water (5 mL) was added and the reaction mixture was stirred for 20 min. The precipitated crude products were filtered, washed with water, dried, and crystallized (Table 2).
5-(1-Adamantyl)-4-(2,6-difluorobenzylideneamino)-2-(4-methyl-1-piperazinylmethyl)-1,2,4-triazoline-3-thione 7a: 1H-NMR (CDCl3): 1.78 (s, 6H, adamantane-H), 2.08 (s, 3H, adamantane-H), 2.16 (s, 6H, adamantane-H), 2.30 (s, 3H, CH3), 2.47 (s, 4H, piperazine-H), 2.92 (s, 4H, piperazine-H), 5.18 (s, 2H, CH2), 7.02–7.07 (m, 2H, Ar-H), 7.46–7.48 (m. 1H, Ar-H), 10.64 (s, 1H, CH=N). 13C NMR: 27.95, 35.51, 36.45, 38.32 (adamantane-C), 46.05 (CH3), 55.05, 58.36 (piperazine-C), 68.68 (CH2), 110.87, 112.16, 133.21, 152.24 (Ar-C), 155.52, 160.99 (triazole C-5 & CH=N), 163.05 (C=S). MS, m/z (Rel. Int.): 488 (M+ +2, 30), 487 (M+ +1, 100).
5-(1-Adamantyl)-4-(2,6-difluorobenzylideneamino)-2-(4-ethyl-1-piperazinylmethyl)-1,2,4-triazoline-3-thione 7b: 1H-NMR (CDCl3): δ 1.07 (t, 3H, CH3, J = 7.0 Hz), 1.78 (s, 6H, adamantane-H), 2.08 (s, 3H, adamantane-H), 2.16 (s, 6H, adamantane-H), 2.40 (q, 2H, CH2CH3, J = 7.0 Hz), 2.48–2.49 (m, 4H, piperazine-H), 2.92 (s, 4H, piperazine-H), 5.18 (s, 2H, CH2), 7.02 (t, 2H, Ar-H, J = 8.5 Hz), 7.44–7.48 (m. 1H, Ar-H), 10.62 (s, 1H, CH=N). 13C NMR: 11.91 (CH3), 28.0, 35.50, 36.46, 38.33 (adamantane-C), 52.32 (CH2CH3), 50.42, 52.80 (piperazine-C), 68.79 (CH2), 110.89, 112.16, 133.20, 152.22 (Ar-C), 155.45, 161.0 (triazole C-5 & CH=N), 163.14 (C=S). MS, m/z (Rel. Int.): 502 (M+ +2, 32), 501 (M+ +1, 100).
5-(1-Adamantyl)-4-(2,6-difluorobenzylideneamino)-2-(4-ethoxycarbonyl-1-piperazinylmethyl)-1,2,4-triazoline-3-thione 7c: 1H-NMR (CDCl3): δ 1.24 (t, 3H, CH3, J = 7.0 Hz), 1.79 (s, 6H, adamantane-H), 2.09 (s, 3H, adamantane-H), 2.17 (s, 6H, adamantane-H), 2.81 (s, 4H, piperazine-H), 3.50 (s, 4H, piperazine-H), 4.10 (q, 2H, CH2CH3, J = 7.0 Hz), 5.16 (s, 2H, CH2), 7.02 (t, 2H, Ar-H, J = 7.0 Hz), 7.46–7.50 (m. 1H, Ar-H), 10.64 (s, 1H, CH=N). 13C NMR: 14.62 (CH3), 27.98, 35.55, 36.43, 38.35 (adamantane-C), 50.37, 52.39 (piperazine-C), 61.32 (CH2CH3), 68.97 (CH2), 110.81, 112.22, 133.29, 152.23 (Ar-C), 155.46, 155.70, 161.04 (C=O, triazole C-5 & CH=N), 163.20 (C=S). MS, m/z (Rel. Int.): 546 (M+ +2, 6), 445 (M+ +1, 20).
5-(1-Adamantyl)-4-(2,6-difluorobenzylideneamino)-2-(4-phenyl-1-piperazinylmethyl)-1,2,4-triazoline-3-thione 7d: 1H-NMR (CDCl3): δ 1.80 (s, 6H, adamantane-H), 2.10 (s, 3H, adamantane-H), 2.19 (s, 6H, adamantane-H), 3.04 (s, 4H, piperazine-H), 3.23 (s, 4H, piperazine-H), 5.24 (s, 2H, CH2), 6.89 (t, 1H, Ar-H, J = 7.0 Hz), 6.94 (d, 2H, Ar-H, J = 8.0 Hz), 7.03 (t. 2H, Ar-H, J = 8.5 Hz), 7.26–7.28 (m, 2H, Ar-H), 7.47–7.50 (m. 1H, Ar-H), 10.67 (s, 1H, CH=N). 13C NMR: 28.0, 35.56, 36.46, 38.37 (adamantane-C), 49.41, 50.55 (piperazine-C), 68.82 (CH2), 110.76, 112.19, 116.31, 119.88, 129.10, 133.27, 151.38, 152.24 (Ar-C), 155.64, 161.06 (triazole C-5 & CH=N), 163.22 (C=S). MS, m/z (Rel. Int.): 550 (M+ +2, 36), 549 (M+ +1, 100).
5-(1-Adamantyl)-4-(2,6-difluorobenzylideneamino)-2-[4-(4-fluorophenyl)-1-piperazinylmethyl]-1,2,4-triazoline-3-thione 7e: 1H-NMR (CDCl3): δ 1.80 (s, 6H, adamantane-H), 2.10 (s, 3H, adamantane-H), 2.19 (s, 6H, adamantane-H), 3.04 (s, 4H, piperazine-H), 3.14 (s, 4H, piperazine-H), 5.23 (s, 2H, CH2), 6.89–6.99 (m, 4H, Ar-H), 7.03 (t. 2H, Ar-H, J = 8.5 Hz), 7.48–7.49 (m, 1H, Ar-H), 10.66 (s, 1H, CH=N). 13C NMR: 28.0, 35.57, 36.46, 38.38 (adamantane-C), 50.40, 50.54 (piperazine-C), 68.78 (CH2), 110.85, 112.39, 115.41, 118.10, 133.28, 148.04, 152.24, 158.24 (Ar-C), 155.65 (CH=N), 161.06 (triazole C-5), 163.23 (C=S). MS, m/z (Rel. Int.): 568 (M+ +2, 33), 567 (M+ +1, 100).
5-(1-Adamantyl)-4-(2,6-difluorobenzylideneamino)-2-[4-(3-trifluoromethylphenyl)-1-piperazinylmethyl]-1,2,4-triazoline-3-thione 7f: 1H-NMR (CDCl3): δ 1.80 (s, 6H, adamantane-H), 2.10 (s, 3H, adamantane-H), 2.19 (s, 6H, adamantane-H), 3.03-3.04 (m, 4H, piperazine-H), 3.21-3.27 (m, 4H, piperazine-H), 5.24 (s, 2H, CH2), 7.04–7.13 (m, 5H, Ar-H), 7.34 (t. 1H, Ar-H, J = 8.0 Hz), 7.46–7.50 (m, 1H, Ar-H), 10.67 (s, 1H, CH=N). 13C NMR: 27.99, 35.57, 36.44, 38.38 (adamantane-C), 48.87, 50.36 (piperazine-C), 68.73 (CH2), 118.86 (CF3), 110.83, 112.36, 115.09, 123.22, 125.39, 129.53, 131.58, 133.31, 151.44, 152.27 (Ar-C), 155.71, 161.01 (triazole C-5 & CH=N), 163.25 (C=S). MS, m/z (Rel. Int.): 618 (M+ +2, 35), 617 (M+ +1, 100).
5-(1-Adamantyl)-4-(2,6-difluorobenzylideneamino)-2-[4-(2-methoxylphenyl)-1-piperazinylmethyl]-1,2,4-triazoline-3-thione 7g: 1H-NMR (CDCl3): δ 1.80 (s, 6H, adamantane-H), 2.10 (s, 3H, adamantane-H), 2.20 (s, 6H, adamantane-H), 3.10 (s, 8H, piperazine-H), 3.87 (s, 3H, OCH3), 5.25 (s, 2H, CH2), 6.86 (d, 1H, Ar-H, J = 7.5 Hz), 6.92–6.98 (m, 2H, Ar-H), 7.0–7.07 (m, 3H, Ar-H), 7.47–7.49 (m, 1H, Ar-H), 10.63 (s, 1H, CH=N). 13C NMR: 28.02, 35.55, 36.48, 38.34 (adamantane-C), 50.72, 50.83 (piperazine-C), 55.27 (OCH3), 69.04 (CH2), 110.03, 112.18, 112.38, 118.28, 120.94, 123.02, 133.23, 141.34, 152.26, 152.33 (Ar-C), 155.55, 161.02 (triazole C-5 & CH=N), 163.21 (C=S). MS, m/z (Rel. Int.): 580 (M+ +2, 33), 579 (M+ +1, 92).
5-(1-Adamantyl)-4-(2,6-difluorobenzylideneamino)-2-(4-benzyl-1-piperazinylmethyl)-1,2,4-triazoline-3-thione 7h: 1H-NMR (CDCl3): δ 1.80 (s, 6H, adamantane-H), 2.09 (s, 3H, adamantane-H), 2.18 (s, 6H, adamantane-H), 2.41–2.52 (m, 4H, piperazine-H), 2.95 (s, 4H, piperazine-H), 3.52 (s, 2H, PhCH2), 5.17 (s, 2H, CH2), 7.03 (t, 2H, Ar-H, J = 8.5 Hz), 7.25–7.32 (m, 5H, Ar-H), 7.45–7.49 (m, 1H, Ar-H), 10.65 (s, 1H, CH=N). 13C NMR: 28.0, 35.52, 36.47, 38.36 (adamantane-C), 50.51, 53.12 (piperazine-C), 63.18 (PhCH2), 68.96 (CH2), 110.89, 112.17, 127.04, 128.18, 129.29, 133.11, 137.96, 152.11 (Ar-C), 155.47, 161.05 (triazole C-5 & CH=N), 163.19 (C=S). MS, m/z (Rel. Int.): 564 (M+ +2, 34), 563 (M+ +1, 100).
5-(1-Adamantyl)-4-(2,6-dichlorobenzylideneamino)-2-(4-methyl-1-piperazinylmethyl)-1,2,4-triazoline-3-thione 7i: 1H-NMR (CDCl3): δ 1.76 (s, 6H, adamantane-H), 2.07 (s, 3H, adamantane-H), 2.16 (s, 6H, adamantane-H), 2.33 (s, 3H, CH3), 2.50–2.54 (m, 4H, piperazine-H), 2.92–2.96 (m, 4H, piperazine-H), 5.17 (s, 2H, CH2), 7.22-7.48 (m, 3H, Ar-H), 10.80 (s, 1H, CH=N). 13C-NMR: 27.91, 35.54, 36.43, 38.44 (adamantane-C), 43.85 (CH3), 54.36, 56.42 (piperazine-C), 68.71 (CH2), 128.62, 129.43, 131.75, 136.18 (Ar-C), 155.42, 158.18 (triazole C-5 & CH=N), 163.44 (C=S). MS, m/z (Rel. Int.): 522 (M+ +4, 6), 520 (M+ +2, 55), 518 (M+, 100).
5-(1-Adamantyl)-4-(2,6-dichlorobenzylideneamino)-2-(4-ethyl-1-piperazinylmethyl)-1,2,4-triazoline-3-thione 7j: 1H-NMR (CDCl3): δ 1.08 (t, 3H, CH3, J = 7.0 Hz), 1.75 (s, 6H, adamantane-H), 2.06 (s, 3H, adamantane-H), 2.16–2.17 (m, 6H, adamantane-H), 2.42 (q, 2H, CH2CH3, J = 7.0 Hz), 2.52–2.53 (m, 4H, piperazine-H), 2.95 (s, 4H, piperazine-H), 5.19 (s, 2H, CH2), 7.32-7.37 (m, 1H, Ar-H), 7.42–7.47 (m. 2H, Ar-H), 10.74 (s, 1H, CH=N). 13C-NMR: 11.87 (CH3), 27.96, 35.55, 36.47, 38.51 (adamantane-C), 50.41 (CH2CH3), 52.31, 52.76 (piperazine-C), 68.93 (CH2), 129.32, 129.40, 131.53, 136.10 (Ar-C), 155.41, 157.82 (triazole C-5 & CH=N), 163.42 (C=S). MS, m/z (Rel. Int.): 536 (M+ +4, 5), 534 (M+ +2, 43), 532 (M+, 100).
5-(1-Adamantyl)-4-(2,6-dichlorobenzylideneamino)-2-(4-ethoxycarbonyl-1-piperazinylmethyl)-1,2,4-triazoline-3-thione 7k: 1H-NMR (CDCl3): δ 1.25 (t, 3H, CH3, J = 7.0 Hz), 1.76 (s, 6H, adamantane-H), 2.07 (s, 3H, adamantane-H), 2.16 (s, 6H, adamantane-H), 2.83 (s, 4H, piperazine-H), 3.51 (s, 4H, piperazine-H), 4.11 (q, 2H, CH2CH3, J = 7.0 Hz), 5.17 (s, 2H, CH2), 7.30–7.36 (m, 1H, Ar-H), 7.41–7.46 (m. 2H, Ar-H), 10.79 (s, 1H, CH=N). 13C-NMR: 14.64 (CH3), 27.94, 35.61, 36.44, 38.52 (adamantane-C), 50.30, 52.50 (piperazine-C), 61.33 (CH2CH3), 69.15 (CH2), 128.94, 129.37, 131.61, 136.09 (Ar-C), 155.30, 155.46, 157.76 (C=O, triazole C-5 & CH=N), 163.46 (C=S). MS, m/z (Rel. Int.): 599 (M+ +Na, 100), 577 (M+ +1, 7).
5-(1-Adamantyl)-4-(2,6-dichlorobenzylideneamino)-2-(4-phenyl-1-piperazinylmethyl)-1,2,4-triazoline-3-thione 7l: 1H-NMR (CDCl3): δ 1.77 (s, 6H, adamantane-H), 2.08 (s, 3H, adamantane-H), 2.18 (s, 6H, adamantane-H), 3.06 (s, 4H, piperazine-H), 3.23 (s, 4H, piperazine-H), 5.25 (s, 2H, CH2), 6.87 (t, 1H, Ar-H, J = 7.5 Hz), 6.95 (d, 2H, Ar-H, J = 8.0 Hz), 7.27–7.37 (m, 4H, Ar-H), 7.46–7.47 (m, 1H, Ar-H), 10.80 (s, 1H, CH=N). 13C-NMR: 27.96, 35.61, 36.46, 38.54 (adamantane-C), 49.45, 50.60 (piperazine-C), 69.0 (CH2), 116.35, 119.92, 129.06, 129.11, 129.37, 131.60, 136.12, 151.39 (Ar-C), 155.61, 156.09, 157.83 (triazole C-5 & CH=N), 163.48 (C=S). MS, m/z (Rel. Int.): 585 (M+ +4, 16), 583 (M+ +2, 77), 581 (M+, 100).
5-(1-Adamantyl)-4-(2,6-dichlorobenzylideneamino)-2-[4-(4-fluorophenyl)-1-piperazinylmethyl]-1,2,4-triazoline-3-thione 7m: 1H-NMR (CDCl3): δ 1.76 (s, 6H, adamantane-H), 2.08 (s, 3H, adamantane-H), 2.18 (s, 6H, adamantane-H), 3.05–3.06 (m, 4H, piperazine-H), 3.15 (s, 4H, piperazine-H), 5.24 (s, 2H, CH2), 6.88–6.91 (m, 2H, Ar-H), 6.96–6.99 (m, 2H, Ar-H), 7.33–7.36 (m, 1H, Ar-H), 7.45 (d, 2H, Ar-H, J = 7.0 Hz), 10.79 (s, 1H, CH=N). 13C-NMR: 27.96, 35.61, 36.46, 38.55 (adamantane-C), 50.44, 50.59 (piperazine-C), 68.95 (CH2), 115.43, 115.60, 118.08, 118.14, 129.37, 131.60, 136.11, 148.06 (Ar-C), 155.62, 157.83 (triazole C-5 & CH=N), 163.49 (C=S). MS, m/z (Rel. Int.): 602 (M+ +4, 23), 601 (M+ +3, 78), 600 (M+ +2, 32), 599 (M+ +1, 100).
5-(1-Adamantyl)-4-(2,6-dichlorobenzylideneamino)-2-[4-(3-trifluoromethylphenyl)-1-piperazinylmethyl]-1,2,4-triazoline-3-thione 7n: 1H-NMR (CDCl3): δ 1.77 (s, 6H, adamantane-H), 2.08 (s, 3H, adamantane-H), 2.18 (s, 6H, adamantane-H), 3.05–3.06 (m, 4H, piperazine-H), 3.27–3.28 (m, 4H, piperazine-H), 5.24 (s, 2H, CH2), 7.07 (t, 2H, Ar-H, J = 8.5 Hz), 7.14 (s, 1H, Ar-H), 7.34–7.37 (m, 2H, Ar-H), 7.46 (d, 2H, Ar-H, J = 8.0 Hz), 10.80 (s, 1H, CH=N). 13C-NMR: 27.94, 35.62, 36.44, 38.55 (adamantane-C), 48.89, 50.40 (piperazine-C), 68.91 (CH2), 118.89 (CF3), 112.43, 115.98, 123.22, 125.39, 129.02, 129.39, 129.55, 131.78, 136.12, 151.44 (Ar-C), 155.68, 157.86 (triazole C-5 & CH=N), 163.50 (C=S). MS, m/z (Rel. Int.): 652 (M+ +4, 16), 651 (M+ +3, 76), 650 (M+ +2, 32), 649 (M+ +1, 100).
5-(1-Adamantyl)-4-(2,6-dichlorobenzylideneamino)-2-[4-(2-methoxyphenyl)-1-piperazinylmethyl]-1,2,4-triazoline-3-thione 7o: 1H-NMR (CDCl3): δ 1.77 (s, 6H, adamantane-H), 2.08 (s, 3H, adamantane-H), 2.19 (s, 6H, adamantane-H), 3.11 (s, 8H, piperazine-H), 3.87 (s, 3H, OCH3), 5.26 (s, 2H, CH2), 6.86 (d, 1H, Ar-H, J = 7.5 Hz), 6.93–7.04 (m, 3H, Ar-H), 7.33–7.36 (m, 1H, Ar-H) 7.45 (d, 2H, Ar-H, J = 8.0 Hz), 10.76 (s, 1H, CH=N). 13C-NMR: 27.98, 35.59, 36.49, 38.51 (adamantane-C), 50.76, 50.84 (piperazine-C), 55.28 (OCH3), 69.22 (CH2), 110.98, 118.29, 120.93, 123.04, 129.12, 129.34, 131.55, 136.12, 141.32, 152.27 (Ar-C), 155.50 (triazole C-5), 157.89 (CH=N), 163.49 (C=S). MS, m/z (Rel. Int.): 614 (M+ +4, 9), 613 (M+ +3, 35), 612 (M+ +2, 14), 611 (M+ +1, 46).
5-(1-Adamantyl)-4-(2,6-dichlorobenzylideneamino)-2-(4-benzyl-1-piperazinylmethyl)-1,2,4-triazoline-3-thione 7p: 1H-NMR (CDCl3): δ 1.76 (s, 6H, adamantane-H), 2.07 (s, 3H, adamantane-H), 2.17 (s, 6H, adamantane-H), 2.51 (s, 4H, piperazine-H), 2.92 (s, 4H, piperazine-H), 3.52 (s, 2H, PhCH2), 5.17 (s, 2H, CH2), 7.26–7.36 (m, 6H, Ar-H), 7.45 (d, 2H, Ar-H , J = 8.0 Hz), 10.78 (s, 1H, CH=N). 13C-NMR: 27.96, 35.56, 36.47, 38.53 (adamantane-C), 50.53, 53.14 (piperazine-C), 63.24 (PhCH2), 69.11 (CH2), 127.07, 128.20, 129.12, 129.33, 129.42, 131.54, 136.10, 137.90 (Ar-C), 155.45, 157.68 (triazole C-5 & CH=N), 163.45 (C=S). MS, m/z (Rel. Int.): 598 (M+ +4, 13), 597 (M+ +3, 76), 596 (M+ +2, 35), 595 (M+ +1, 100).
5-(1-Adamantyl)-4-arylideneamino-2-(4-ethoxycarbonyl-1-piperidylmethyl)-1,2,4-triazoline-3-thiones 8a–n
A mixture of the 5-(1-adamantyl)-4-arylideneamino-3-mercapto-1,2,4-triazole 6 (1.0 mmol), ethyl 4-piperidinecarboxylate (0.16 g, 1.0 mmol) and 37% formaldehyde solution (1 mL), in ethanol (8 mL), was heated under reflux for 20 min when a clear solution was obtained. Stirring was continued for 12 h at room temperature and the mixture was allowed to stand overnight. Cold water (5 mL) was added and the reaction mixture was stirred for 20 min. The precipitated crude products were filtered, washed with water, dried, and crystallized (Table 3).
5-(1-Adamantyl)-4-benzylideneamino-2-(4-ethoxycarbonyl-1-piperidylmethyl)-1,2,4-triazoline-3-thione 8a: 1H-NMR (CDCl3): δ 1.24 (t, 3H, CH3, J = 7.0 Hz), 1.72–1.83 (m, 8H, 6 adamantane-H & 2 piperidine-H), 1.92–1.94 (m, 2H, piperidine-H), 2.10 (s, 3H, adamantane-H), 2.17 (s, 6H, adamantane-H), 2.20–2.25 (m, 1H, piperidine-4 H), 2.46–2.50 (m, 2H, piperidine-H), 3.20–3.22 (m, 2H, piperidine-H), 4.12 (q, 2H, CH2CH3, J = 7.0 Hz), 5.15 (s, 2H, CH2), 7.51–7.58 (m, 3H, Ar-H), 7.91 (d, 2H, Ar-H, J = 7.0 Hz), 10.08 (s, 1H, CH=N). 13C-NMR: 14.20 (CH3), 27.93, 35.44, 36.58, 38.77 (adamantane-C), 28.35 (piperidine C-3), 40.42 (piperidine C-4), 50.42 (piperidine C-2), 60.25 (CH2CH3), 69.63 (CH2), 128.72, 129.02, 132.28, 132.84 (Ar-C), 155.28, 162.26 (triazole C-5 & CH=N), 163.21 (C=S), 174.99 (C=O). MS, m/z (Rel. Int.): 509 (M+ +2, 21), 508 (M+ +1, 72).
5-(1-Adamantyl)-4-(2-fluorobenzylideneamino)-2-(4-ethoxycarbonyl-1-piperidylmethyl)-1,2,4-triazoline-3-thione 8b: 1H-NMR (CDCl3): δ 1.24 (t, 3H, CH3CH2, J = 7.0 Hz), 1.72–1.82 (m, 8H, 6 adamantane-H & 2 piperidine-H), 1.92–1.94 (m, 2H, piperidine-H), 2.10 (s, 3H, adamantane-H), 2.16 (s, 6H, adamantane-H), 2.20–2.25 (m, 1H, piperidine-4 H), 2.50–2.54 (m, 2H, piperidine-H), 3.19–3.22 (m, 2H, piperidine-H), 4.12 (q, 2H, CH2CH3, J = 7.0 Hz), 5.15 (s, 2H, CH2), 7.18 (t, 1H, Ar-H, J = 8.0 Hz), 7.30 (d, 1H, Ar-H, J = 7.5 Hz), 7.53–7.56 (m, 1H, Ar-H), 8.08-8.11 (m, 1H, Ar-H), 10.42 (s, 1H, CH=N). 13C-NMR: 14.20 (CH3), 27.93, 35.46, 36.56, 38.76 (adamantane-C), 28.35 (piperidine C-3), 40.77 (piperidine C-4), 50.42 (piperidine C-2), 60.25 (CH2CH3), 69.64 (CH2), 116.31, 120.89, 124.66, 127.57, 133.90, 155.82 (Ar-C), 155.28, 161.54 (triazole C-5 & CH=N), 163.31 (C=S), 174.99 (C=O). MS, m/z (Rel. Int.): (M+ +2, 33), 526 (M+ +1, 100).
5-(1-Adamantyl)-4-(2-chlorobenzylideneamino)-2-(4-ethoxycarbonyl-1-piperidylmethyl)-1,2,4-triazoline-3-thione 8c: 1H-NMR (CDCl3): δ 1.24 (t, 3H, CH3CH2, J = 7.0 Hz), 1.72–1.79 (m, 8H, 6 adamantane-H & 2 piperidine-H), 1.92–1.94 (m, 2H, piperidine-H), 2.11 (s, 3H, adamantane-H), 2.17 (s, 6H, adamantane-H), 2.21–2.25 (m, 1H, piperidine-4 H), 2.51-2.55 (m, 2H, piperidine-H), 3.20–3.22 (m, 2H, piperidine-H), 4.12 (q, 2H, CH2CH3, J = 7.0 Hz), 5.15 (s, 2H, CH2), 7.40 (t, 1H, Ar-H, J = 7.5 Hz), 7.46–7.51 (m, 2H, Ar-H), 8.19 (d, 1H, Ar-H, J = 7.5 Hz), 10.69 (s, 1H, CH=N). 13C-NMR: 14.20 (CH3), 27.93, 35.49, 36.58, 38.83 (adamantane-C), 28.35 (piperidine C-3), 40.78 (piperidine C-4), 50.43 (piperidine C-2), 60.25 (CH2CH3), 69.65 (CH2), 127.20, 127.60, 130.34, 130.85, 132.97, 136.68 (Ar-C), 155.28, 158.27 (triazole C-5 & CH=N), 163.37 (C=S), 174.99 (C=O). MS, m/z (Rel. Int.): 564 (M+ +Na, 100), 544 (23), 542 (54).
5-(1-Adamantyl)-4-(4-methylbenzylideneamino)-2-(4-ethoxycarbonyl-1-piperidylmethyl)-1,2,4-triazoline-3-thione 8d: 1H-NMR (CDCl3): δ 1.24 (t, 3H, CH3CH2, J = 7.0 Hz), 1.72–1.78 (m, 8H, 6 adamantane-H & 2 piperidine-H), 1.91–1.94 (m, 2H, piperidine-H), 2.09 (s, 3H, adamantane-H), 2.16 (s, 6H, adamantane-H), 2.20–2.25 (m, 1H, piperidine-4 H), 2.45 (s, 3H, PhCH3), 2.50–2.54 (m, 2H, piperidine-H), 3.19–3.22 (m, 2H, piperidine-H), 4.12 (q, 2H, CH2CH3, J = 7.0 Hz), 5.15 (s, 2H, CH2), 7.31 (d, 2H, Ar-H, J = 8.0 Hz), 7.80 (d, 2H, Ar-H, J = 8.0 Hz), 9.94 (s, 1H, CH=N). 13C-NMR: 14.20 (CH3), 21.71 (PhCH3), 27.93, 35.40, 36.58, 38.75 (adamantane-C), 28.35 (piperidine C-3), 40.78 (piperidine C-4), 50.41 (piperidine C-2), 60.24 (CH2CH3), 69.62 (CH2), 128.75, 129.76, 130.10, 143.05 (Ar-C), 155.24, 162.69 (triazole C-5 & CH=N), 163.21 (C=S), 174.99 (C=O). MS, m/z (Rel. Int.): 544 (M+ +Na, 100), 523 (M+ +2, 43), 522 (M+ +1, 76).
5-(1-Adamantyl)-4-(2-hydroxybenzylideneamino)-2-(4-ethoxycarbonyl-1-piperidylmethyl)-1,2,4-triazoline-3-thione 8e: 1H-NMR (CDCl3): δ 1.25 (t, 3H, CH3CH2, J = 7.0 Hz), 1.73–1.79 (m, 8H, 6 adamantane-H & 2 piperidine-H), 1.92–1.95 (m, 2H, piperidine-H), 2.10 (s, 9H, adamantane-H), 2.22–2.24 (m, 1H, piperidine-4 H), 2.51–2.55 (m, 2H, piperidine-H), 3.19–3.21 (m, 2H, piperidine-H), 4.12 (q, 2H, CH2CH3, J = 7.0 Hz), 5.15 (s, 2H, CH2), 7.03–7.06 (m, 1H, Ar-H), 7.08 (d, 1H, Ar-H, J = 8.5 Hz), 7.44–7.51 (m, 2H, Ar-H), 9.69 (s, 1H, CH=N), 10.45 (s, 1H, OH). 13C-NMR: 14.20 (CH3), 27.80, 35.35, 36.29, 38.97 (adamantane-C), 28.32 (piperidine C-3), 40.73 (piperidine C-4), 50.42 (piperidine C-2), 60.28 (CH2CH3), 70.22 (CH2), 116.09, 117.56, 120.09, 133.60, 134.69, 169.08 (Ar-C), 154.28, 160.08 (triazole C-5 & CH=N), 164.01 (C=S), 174.94 (C=O). MS, m/z (Rel. Int.): 546 (M+ +Na, 100), 525 (M+ +2, 26), 524 (M+ +1, 84).
5-(1-Adamantyl)-4-(4-hydroxybenzylideneamino)-2-(4-ethoxycarbonyl-1-piperidylmethyl)-1,2,4-triazoline-3-thione 8f: 1H-NMR (CDCl3): δ 1.25 (t, 3H, CH3CH2, J = 7.0 Hz), 1.75–1.78 (m, 8H, 6 adamantane-H & 2 piperidine-H), 1.94–1.96 (m, 2H, piperidine-H), 2.07 (s, 3H, adamantane-H), 2.12 (s, 6H, adamantane-H), 2.24–2.28 (m, 1H, piperidine-4 H), 2.52–2.56 (m, 2H, piperidine-H), 3.21–3.23 (m, 2H, piperidine-H), 4.13 (q, 2H, CH2CH3, J = 7.0 Hz), 5.14 (s, 2H, CH2), 6.92 (d, 2H, Ar-H, J = 8.5 Hz), 7.72 (d, 2H, Ar-H, J = 8.5 Hz), 9.55 (s, 1H, CH=N). 13C-NMR: 14.17 (CH3), 27.88, 35.37, 36.52, 38.66 (adamantane-C), 28.15 (piperidine C-3), 40.72 (piperidine C-4), 50.43 (piperidine C-2), 58.53 (CH2CH3), 69.64 (CH2), 116.24, 124.64, 130.91, 163.01 (Ar-C), 155.38, 160.42 (triazole C-5 & CH=N), 164.17 (C=S), 175.32 (C=O). MS, m/z (Rel. Int.): 525 (M+ +2, 33), 524 (M+ +1, 100).
5-(1-Adamantyl)-4-(4-methoxybenzylideneamino)-2-(4-ethoxycarbonyl-1-piperidylmethyl)-1,2,4-triazoline-3-thione 8g: 1H-NMR (CDCl3): δ 1.24 (t, 3H, CH3CH2, J = 7.0 Hz), 1.72–1.79 (m, 8H, 6 adamantane-H & 2 piperidine-H), 1.91–1.93 (m, 2H, piperidine-H), 2.09 (s, 3H, adamantane-H), 2.16 (s, 6H, adamantane-H), 2.20–2.24 (m, 1H, piperidine-4 H), 2.50-2.53 (m, 2H, piperidine-H), 3.19–3.21 (m, 2H, piperidine-H), 3.90 (s, 3H, OCH3), 4.12 (q, 2H, CH2CH3, J = 7.0 Hz), 5.15 (s, 2H, CH2), 7.02 (d, 2H, Ar-H, J = 8.5 Hz), 7.86 (d, 2H, Ar-H , J = 8.5 Hz), 9.81 (s, 1H, CH=N). 13C-NMR: 14.20 (CH3), 27.93, 35.37, 36.58, 38.74 (adamantane-C), 28.35 (piperidine C-3), 40.79 (piperidine C-4), 55.48 (piperidine C-2), 60.23 (CH2CH3), 69.64 (CH2), 114.54, 125.35, 130.59, 162.76 (Ar-C), 155.18, 162.69 (triazole C-5 & CH=N), 163.21 (C=S), 174.99 (C=O). MS, m/z (Rel. Int.): 560 (M+ +Na, 100), 539 (M+ +2, 38), 538 (M+ +1, 86).
5-(1-Adamantyl)-4-(2,6-difluorobenzylideneamino)-2-(4-ethoxycarbonyl-1-piperidylmethyl)-1,2,4-triazoline-3-thione 8h: 1H-NMR (CDCl3): δ 1.24 (t, 3H, CH3CH2, J = 7.0 Hz), 1.71–1.80 (m, 8H, 6 adamantane-H & 2 piperidine-H), 1.92–1.94 (m, 2H, piperidine-H), 2.09 (s, 3H, adamantane-H), 2.18 (s, 6H, adamantane-H), 2.21–2.25 (m, 1H, piperidine-4 H), 2.50–2.54 (m, 2H, piperidine-H), 3.19–3.21 (m, 2H, piperidine-H), 4.12 (q, 2H, CH2CH3, J = 7.0 Hz), 5.14 (s, 2H, CH2), 7.03 (t, 2H, Ar-H, J = 8.5 Hz), 7.45–7.49 (m, 1H, Ar-H), 10.70 (s, 1H, CH=N). 13C-NMR: 14.19 (CH3), 28.0, 35.53, 36.46, 38.41 (adamantane-C), 28.35 (piperidine C-3), 40.77 (piperidine C-4), 50.42 (piperidine C-2), 60.25 (CH2CH3), 69.43 (CH2), 110.89, 112.37, 133.21, 161.04 (Ar-C), 155.53, 160.99 (triazole C-5 & CH=N), 163.21 (C=S), 174.98 (C=O). MS, m/z (Rel. Int.): 566 (M+ +Na, 100), 545 (M+ +2, 18), 544 (M+ +1, 61).
5-(1-Adamantyl)-4-(2-chloro-6-fluorobenzylideneamino)-2-(4-ethoxycarbonyl-1-piperidylmethyl)-1,2,4-triazoline-3-thione 8i: 1H-NMR (CDCl3): δ 1.24 (t, 3H, CH3CH2, J = 7.0 Hz), 1.71–1.79 (m, 8H, 6 adamantane-H & 2 piperidine-H), 1.92–1.94 (m, 2H, piperidine-H), 2.09 (s, 3H, adamantane-H), 2.18 (s, 6H, adamantane-H), 2.21–2.25 (m, 1H, piperidine-4 H), 2.51–2.55 (m, 2H, piperidine-H), 3.20–3.22 (m, 2H, piperidine-H), 4.12 (q, 2H, CH2CH3, J = 7.0 Hz), 5.15 (s, 2H, CH2), 7.14–7.17 (m, 2H, Ar-H), 7.33 (d, 1H, Ar-H, J = 7.5 Hz), 10.87 (s, 1H, CH=N). 13C-NMR: 14.19 (CH3), 28.0, 35.55, 36.46, 38.40 (adamantane-C), 28.36 (piperidine C-3), 40.77 (piperidine C-4), 50.43 (piperidine C-2), 60.24 (CH2CH3), 69.46 (CH2), 115.35, 119.81, 126.25, 132.52, 137.10, 162.85 (Ar-C), 155.11 (CH=N), 160.76 (triazole C-5), 163.05 (C=S), 174.99 (C=O). MS, m/z (Rel. Int.): 582 (M+ +Na, 100), 562 (29), 561 (M+ +2, 21), 560 (M+ +1, 63).
5-(1-Adamantyl)-4-(2,6-dichlorobenzylideneamino)-2-(4-ethoxycarbonyl-1-piperidylmethyl)-1,2,4-triazoline-3-thione 8j: 1H-NMR (CDCl3): δ 1.24 (t, 3H, CH3CH2, J = 7.0 Hz), 1.72–1.81 (m, 8H, 6 adamantane-H & 2 piperidine-H), 1.92–1.95 (m, 2H, piperidine-H), 2.07 (s, 3H, adamantane-H), 2.17 (s, 6H, adamantane-H), 2.21–2.26 (m, 1H, piperidine-4 H), 2.53–2.57 (m, 2H, piperidine-H), 3.20–3.22 (m, 2H, piperidine-H), 4.12 (q, 2H, CH2CH3, J = 7.0 Hz), 5.15 (s, 2H, CH2), 7.33–7.36 (m, 1H, Ar-H), 7.45 (d, 2H, Ar-H, J = 8.0 Hz), 10.84 (s, 1H, CH=N). 13C-NMR: 14.20 (CH3), 27.96, 35.59, 36.46, 38.58 (adamantane-C), 28.36 (piperidine C-3), 40.77 (piperidine C-4), 50.44 (piperidine C-2), 60.24 (CH2CH3), 69.62 (CH2), 128.77, 129.36, 131.54, 136.08 (Ar-C), 155.52, 157.56 (triazole C-5 & CH=N), 163.22 (C=S), 174.99 (C=O). MS, m/z (Rel. Int.): 598 (M+ +Na, 100), 578 (52), 577 (M+ +2, 23), 576 (M+ +1, 73).
5-(1-Adamantyl)-4-(2,4-dichlorobenzylideneamino)-2-(4-ethoxycarbonyl-1-piperidylmethyl)-1,2,4-triazoline-3-thione 8k: 1H-NMR (CDCl3): δ 1.24 (t, 3H, CH3CH2, J = 7.0 Hz), 1.72–1.83 (m, 8H, 6 adamantane-H & 2 piperidine-H), 1.91–1.94 (m, 2H, piperidine-H), 2.11 (s, 3H, adamantane-H), 2.16 (s, 6H, adamantane-H), 2.20–2.25 (m, 1H, piperidine-4 H), 2.50–2.54 (m, 2H, piperidine-H), 3.19–3.21 (m, 2H, piperidine-H), 4.12 (q, 2H, CH2CH3, J = 7.0 Hz), 5.14 (s, 2H, CH2), 7.40 (d, 1H, Ar-H, J = 8.5 Hz), 7.53 (s, 1H, Ar-H), 8.11 (d, 1H, Ar-H, J = 8.5 Hz), 10.73 (s, 1H, CH=N). 13C-NMR: 14.20 (CH3), 27.91, 35.50, 36.57, 38.86 (adamantane-C), 28.34 (piperidine C-3), 40.76 (piperidine C-4), 50.42 (piperidine C-2), 60.26 (CH2CH3), 69.62 (CH2), 127.88, 128.28, 129.55, 130.16, 137.15, 138.58 (Ar-C), 155.23, 156.68 (triazole C-5 & CH=N), 163.33 (C=S), 174.96 (C=O). MS, m/z (Rel. Int.): 598 (M+ +Na, 100), 578 (56), 577 (M+ +2, 24), 576 (M+ +1, 78).
5-(1-Adamantyl)-4-(3,4-dichlorobenzylideneamino)-2-(4-ethoxycarbonyl-1-piperidylmethyl)-1,2,4-triazoline-3-thione 8l: 1H-NMR (CDCl3): δ 1.24 (t, 3H, CH3CH2, J = 7.0 Hz), 1.71–1.84 (m, 8H, 6 adamantane-H & 2 piperidine-H), 1.91–1.93 (m, 2H, piperidine-H), 2.12 (s, 3H, adamantane-H), 2.15 (s, 6H, adamantane-H), 2.20–2.24 (m, 1H, piperidine-4 H), 2.49–2.53 (m, 2H, piperidine-H), 3.18–3.20 (m, 2H, piperidine-H), 4.11 (q, 2H, CH2CH3, J = 7.0 Hz), 5.13 (s, 2H, CH2), 7.59 (d, 1H, Ar-H, J = 8.0 Hz), 7.72 (d, 1H, Ar-H, J = 8.0 Hz), 7.98 (s, 1H, Ar-H), 10.29 (s, 1H, CH=N). 13C-NMR: 14.20 (CH3), 27.90, 35.50, 36.57, 38.86 (adamantane-C), 28.33 (piperidine C-3), 40.74 (piperidine C-4), 50.41 (piperidine C-2), 60.27 (CH2CH3), 69.63 (CH2), 127.44, 130.03, 131.16, 133.01, 133.67, 136.40 (Ar-C), 155.25, 158.17 (triazole C-5 & CH=N), 163.20 (C=S), 174.94 (C=O). MS, m/z (Rel. Int.): 598 (M+ +Na, 100), 577 (M+ +2, 20), 576 (M+ +1, 67).
5-(1-Adamantyl)-4-(3,4-dimethoxybenzylideneamino)-2-(4-ethoxycarbonyl-1-piperidylmethyl)-1,2,4-triazoline-3-thione 8m: 1H-NMR (CDCl3): δ 1.24 (t, 3H, CH3CH2, J = 7.0 Hz), 1.76-1.82 (m, 8H, 6 adamantane-H & 2 piperidine-H), 1.91-1.93 (m, 2H, piperidine-H), 2.09 (s, 3H, adamantane-H), 2.17 (s, 6H, adamantane-H), 2.20-2.24 (m, 1H, piperidine-4 H), 2.49-2.54 (m, 2H, piperidine-H), 3.19-3.21 (m, 2H, piperidine-H), 3.96 (s, 3H, OCH3), 3.98 (s, 3H, OCH3), 4.11 (q, 2H, CH2CH3, J = 7.0 Hz), 5.15 (s, 2H, CH2), 6.79 (d, 1H, Ar-H, J = 8.0 Hz), 7.40 (d, 1H, Ar-H, J = 8.0 Hz), 7.54 (s, 1H, Ar-H), 9.85 (s, 1H, CH=N). 13C-NMR: 14.19 (CH3), 27.94, 35.39, 36.61, 38.80 (adamantane-C), 28.35 (piperidine C-3), 40.78 (piperidine C-4), 50.41 (piperidine C-2), 55.92 (OCH3), 56.08 (OCH3), 60.24 (CH2CH3), 69.63 (CH2), 109.19, 110.96, 124.42, 125.61, 149.60, 152.98 (Ar-C), 155.13, 162.48 (triazole C-5 & CH=N), 163.18 (C=S), 174.98 (C=O). MS, m/z (Rel. Int.): 590 (M+ +Na, 100), 569 (M+ +2, 26), 568 (M+ +1, 84).
5-(1-Adamantyl)-4-(4,5-dimethoxy-2-nitrobenzylideneamino)-2-(4-ethoxycarbonyl-1-piperidylmethyl)-1,2,4-triazoline-3-thione 8n: 1H-NMR (CDCl3): δ 1.24 (t, 3H, CH3CH2, J = 7.0 Hz), 1.73–1.80 (m, 8H, 6 adamantane-H & 2 piperidine-H), 1.92–1.94 (m, 2H, piperidine-H), 2.08 (s, 3H, adamantane-H), 2.15 (s, 6H, adamantane-H), 2.21–2.23 (m, 1H, piperidine-4 H), 2.51–2.55 (m, 2H, piperidine-H), 3.18–3.21 (m, 2H, piperidine-H), 4.04 (s, 3H, OCH3), 4.05 (s, 3H, OCH3), 4.11 (q, 2H, CH2CH3, J = 7.0 Hz), 5.14 (s, 2H, CH2), 7.65 (s, 1H, Ar-H), 7.63 (s, 1H, Ar-H), 10.54 (s, 1H, CH=N). 13C-NMR: 14.20 (CH3), 27.89, 35.42, 36.51, 38.81 (adamantane-C), 28.34 (piperidine C-3), 40.75 (piperidine C-4), 50.41 (piperidine C-2), 56.60 (OCH3), 56.68 (OCH3), 60.25 (CH2CH3), 69.85 (CH2), 107.82, 110.0, 122.50, 142.33, 151.45, 153.30 (Ar-C), 155.03, 160.57 (triazole C-5 & CH=N), 163.57 (C=S), 174.99 (C=O). MS, m/z (Rel. Int.): 635 (M+ +Na, 100), 614 (M+ +2, 23), 613 (M+ +1, 68).
Determination of the antimicrobial activity by the agar disc-diffusion method. Sterile filter paper discs (8 mm diameter) were moistened with the compound solution in dimethylsulphoxide of specific concentration (200 μg/disc), the antibacterial antibiotics Gentamicin and Ampicillin trihydrate (100 μg/disc) and the antifungal drug Clotrimazole (100 μg/disc) were carefully placed on the agar culture plates that had been previously inoculated separately with the microorganisms. The plates were incubated at 37 ºC, and the diameter of the growth inhibition zones were measured after 24 h in case of bacteria and 48 h in case of Candida albicans.
Determination of minimal inhibitory concentration (MIC). Compounds 6h, 6o, 7n, 8a, 8e, 8f and 8m, Gentamicin, Ampicillin trihydrate and Clotrimazole were dissolved in dimethylsulphoxide at concentration of 128 μg/mL. The twofold dilutions of the solution were prepared (128, 64, 32, …, 0.5 μg/mL). The microorganism suspensions at 106 CFU/mL (colony forming unit/ml) concentrations were inoculated to the corresponding wells. The plates were incubated at 36 ºC for 24 and 48 h for the bacteria and Candida albicans, respectively. The MIC values were determined as the lowest concentration that completely inhibited visible growth of the microorganism as detected by unaided eye.
Determination of the anti-inflammatory activity. Male Sprague-Dawley rats weighing 140–190 g were maintained at room temperature (20–23 ºC). The animals were randomly divided into 42 groups each of 5 animals. The animals were housed with food and water ad libitum and allowed to be accustomed to their environment for two days before testing. Each group was injected with the specific dose of the test compound (20 and 40 mg/kg), or Indomethacin (5 mg/kg) intraperitoneally as a uniform suspension in 1 ml of 0.5% (w/v) aqueous carboxymethyl cellulose solution, one hour before injection of 0.1 mL of carrageenan (1% solution in normal saline) into the plantar tissue of the right hind paw. The left hind paw was injected with 0.1 mL of normal saline solution. Four hours after carrageenan injection, the volume of paw oedema (mL) was determined using water plethysmometer. The percentage protection against inflammation was calculated as follows:
Where Vc is the mean percentage increase in paw volume in the absence of the test compound (control) and Vd is the mean percentage increase in paw volume after injection of the test compound. The values are expressed as the mean percentage reduction ± S.E.M. Statistical significance between the control and treated groups was performed using the Student “t” test.
4. Conclusions
In this study, new series of 5-(1-adamantyl)-4-arylideneamino-3-mercapto-1,2,4-triazoles 6a-v , the N-Mannich bases 5-(1-adamantyl)-4-arylideneamino-2-(4-substituted-1-piperazinylmethyl)-1,2,4-triazoline-3-thiones 7a–p and 5-(1-adamantyl)-4-arylideneamino-2-(4-ethoxycarbonyl-1-piperidyl-methyl)-1,2,4-triazoline-3-thiones 8a-n, were synthesized and their antimicrobial and anti-inflammatory activity was determined. Several of the newly synthesized derivatives displayed promising antimicrobial and anti-inflammatory activities compared to known antibacterial, antifungal and anti-inflammatory drugs. Though, the mechanism of the biological activity needs further investigations, which are in progress.
Acknowledgements
The financial support of the Research Center of the College of Pharmacy, King Saud University is greatly appreciated.
- Sample Availability: Contact the corresponding author.
References
- Togo, Y.; Hornick, R.B.; Dawkins, A.T. Studies on induced influenza in man. I. Double blind studies designed to assess prophylactic efficacy of amantadine hydrochloride against A2/Rockville/1/65 strain. J. Am. Med. Assoc. 1968, 203, 1089–1094. [Google Scholar] [CrossRef]
- Vernier, V.G.; Harmon, J.B.; Stump, J.M.; Lynes, T.L.; Marvel, M.P.; Smith, D.H. The toxicologic and pharmacologic properties of amantadine hydrochloride. Toxicol. Appl. Pharmacol. 1969, 15, 642–665. [Google Scholar] [CrossRef]
- Hayden, F.G.; Gwaltney, J.M.I.; Van, C.R.L.; Adam, K.F.; Giordani, B. Comparative toxicity of amantadine hydrochloride and rimantadine hydrochloride in healthy adaults. Antimicrob. Agents Chemother. 1981, 19, 226–233. [Google Scholar] [CrossRef]
- Van Derpoorten, K.; Balzarini, J.; De Clercq, E.; Poupaert, J.H. Anti-HIV activity of N-1-adamantyl-4-aminophthalimide. Biomed. Pharmacother. 1997, 51, 464–468. [Google Scholar] [CrossRef]
- Burstein, M.E.; Serbin, A.V.; Khakhulina, T.V.; Alymova, I.V.; Stotskaya, L.L.; Bogdan, O.P.; Manukchina, E.E.; Jdanov, V.V.; Sharova, N.K. Inhibition of HIV-1 replication by newly developed adamantane-containing polyanionic agents. Antiviral Res. 1999, 41, 135–144. [Google Scholar] [CrossRef]
- El-Emam, A.A.; Al-Deeb, O.A.; Al-Omar, M.A.; Lehmann, J. Synthesis, antimicrobial, and anti-HIV-1 activity of certain 5-(1-adamantyl)-2-substituted thio-1,3,4-oxadiazoles and 5-(1-adamantyl)-3-substituted aminomethyl-1,3,4-oxadiazoline-2-thiones. Bioorg. Med. Chem. 2004, 12, 5107–5113. [Google Scholar] [CrossRef]
- Balzarini, J.; Orzeszko, B.; Mauri, J.K.; Orzeszko, A. Synthesis and anti-HIV studies of 2-adamantyl-substituted thiazolidin-4-ones. Eur. J. Med. Chem. 2007, 42, 993–1003. [Google Scholar] [CrossRef]
- Abou-Gharbia, M.A.; Childers, W.E., Jr.; Fletcher, H.; McGaughey, G.; Patel, U.; Webb, M.B.; Yardley, J.; Andree, T.; Boast, C.; Kucharik, R.J., Jr.; Marquis, K.; Morris, H.; Scerni, R.; Moyer, J.A. Synthesis and SAR of adatanserin: novel adamantly aryl- and heteroarylpiperazines with dual serotonin 5-HT1A and 5-HT2 activity as potential anxiolytic and antidepressant agents. J. Med. Chem. 1999, 42, 5077–5094. [Google Scholar]
- Skolimowski, J.; Kochman, A.; Gębicka, L.; Metodiewa, D. Synthesis and antioxidant activity evaluation of novel antiparkinsonian agents, adamantane derivatives of nitroxyl free radical. Bioorg. Med. Chem. 2003, 11, 3529–3539. [Google Scholar] [CrossRef]
- Owen, J.C.E.; Whitton, P.S. Effect of amantadine and budipune on antidepressant drug-evoked changes in extracellular dopamine in the frontal cortex of freely moving rats. Brain Res. 2006, 1117, 206–212. [Google Scholar]
- El-Emam, A.A. Synthesis and anti-HIV studies of 2-adamantyl-substituted thiazolidin-4-ones. Chin. Pharm. J. 1990, 42, 309–315. [Google Scholar]
- Wang, J.J.; Wang, S.S.; Lee, C.F.; Chung, M.A.; Chern, Y.T. In vitro antitumor and antimicrobial activity of N-substituents of maliemide by adamantane and diamantane. Chemotherapy 1997, 43, 182–189. [Google Scholar] [CrossRef]
- Orzeszko, A.; Kamińska, B.; Starościak, B.J. Synthesis and antimicrobial activity of new adamantane derivatives III. II Farmaco 2002, 57, 619–624. [Google Scholar] [CrossRef]
- Al-Deeb, O.A.; Al-Omar, M.A.; El-Brollosy, N.R.; Habib, E.E.; Ibrahim, T.M.; El-Emam, A.A. Synthesis, antimicrobial, and anti-inflammatory activities of novel 2-[3-(1-adamantyl)-4-substituted-5-thioxo-1,2,4-triazolin-1-yl]acetic acids, 2-[3-(1-adamantyl)-4-substituted-5-thioxo-1,2,4-triazolin-1-yl]propionic acids and related derivatives. Arzneim.-Forsch./Drug Res. 2006, 56, 40–47. [Google Scholar]
- Kadi, A.A.; El-Brollosy, N.R.; Al-Deeb, O.A.; Habib, E.E.; Ibrahim, T.M.; El-Emam, A.A. Synthesis, antimicrobial, and anti-inflammatory activities of novel 2-(1-adamantyl)-5-substituted-1,3,4-oxadiazoles and 2-(1-adamantylamino)-5-substituted-1,3,4-thiadiazoles. Eur. J. Med. Chem. 2007, 42, 235–242. [Google Scholar] [CrossRef]
- El-Emam, A.A.; Ibrahim, T.M. Synthesis, anti-inflammatory and analgesic activity of certain 3-(1-adamantyl)-4-substituted-5-mercapto-1,2,4-triazole derivatives. Arzneim.-Forsch./Drug Res. 1991, 41, 1260–1264. [Google Scholar]
- Baxter, A.; Bent, J.; Bowers, K.; Braddock, M.; Brough, S.; Fagura, M.; Lawson, M.; McInally, T.; Mortimore, M.; Robertson, M.; Weaver, R.; Webborn, B. Hit-to-lead studies: The discovery of potent adamantane amide P2X7 receptor antagonists. Bioorg. Med. Chem. Lett. 2003, 13, 4047–4050. [Google Scholar]
- Antoniadou-Vyza, E.; Avramidis, N.; Kourounakis, A.; Hadjipetrou, L. Anti-inflammatory properties of new adamantane derivatives. Design, synthesis, and biological evaluation. Arch. Pharm. 1999, 331, 72–78. [Google Scholar]
- Tehranchian, S.; Akbarzadeh, T.; Fazeli, M.R.; Jamalfar, H.; Shafiee, A. Synthesis and antibacterial activity of 1-[1,2,4-Triazol-3-yl] and 1-[1,3,4-thiadiazol-2-yl]-3-methylthio-6,7-dihydrobenzo[c]thiophen-4(5H)ones. Bioorg. Med. Chem. Lett. 2005, 15, 1023–1025. [Google Scholar] [CrossRef]
- Turan-Zitouni, G.; Kaplancikli, Z.A.; Yildiz, M.T.; Chevallet, P.; Kaya, D. Synthesis and antimicrobial activity of 4-phenyl/cyclohexyl-5-(1-phenoxyethyl)-3-[N-(2-thiazolyl)acetamido]thio-4H-1,2,4-triazole derivatives. Eur. J. Med. Chem. 2005, 40, 607–613. [Google Scholar] [CrossRef]
- Padmavathi, V.; Sudhakar Reddy, G.; Padmaja, A.; Kondaiah, P.; Ali-Shazia. Synthesis, antimicrobial and cytotoxic activities of 1,3,4-oxadiazoles, 1,3,4-thiadiazoles and 1,2,4-triazoles. Eur. J. Med. Chem. 2009, 44, 2106–2116. [Google Scholar] [CrossRef]
- Tozkoparan, B.; Küpeli, E.; Yeşilada, E.; Ertan, M. Preparation of 5-aryl-3-alkylthio-l,2,4-triazoles and corresponding sulfones with antiinflammatory–analgesic activity. Bioorg. Med. Chem. 2007, 15, 1808–1814. [Google Scholar] [CrossRef]
- Labanauskas, L.; Udrenaite, E.; Gaidelis, P.; Brukštus, A. Synthesis of 5-(2,3,4-methoxyphenyl)-4H-1,2,4-triazole-3-thiol derivatives exhibiting anti-inflammatory activity. II Farmaco 2004, 59, 255–259. [Google Scholar] [CrossRef]
- Navidpour, L.; Shafaroodi, H.; Abdi, K.; Amini, M.; Ghahremani, M.H.; Dehpour, A.R.; Shafiee, A. Design, synthesis, and biological evaluation of substituted 3-alkylthio-4,5-diaryl-4H-1,2,4-triazoles as selective COX-2 inhibitors. Bioorg. Med. Chem. 2006, 14, 2507–2517. [Google Scholar]
- Maxwell, J.R.; Wasdahl, D.A.; Wolfson, A.C.; Stenberg, V.I. Synthesis of 5-aryl-2H-tetrazoles, 5-aryl-2H-tetrazole-2-acetic acids, and [(4-phenyl-5-aryl-4H-1,2,4-triazol-3-yl)thio]acetic acids as possible superoxide scavengers and anti-inflammatory agents. J. Med. Chem. 1984, 27, 1565–1570. [Google Scholar] [CrossRef]
- Bayrak, H.; Demirbas, A.; Karaoglu, S.A.; Demirbas, N. Synthesis of some new 1,2,4-triazoles, their Mannich and Schiff bases and evaluation of their antimicrobial activities. Eur. J. Med. Chem. 2009, 44, 1057–1066. [Google Scholar] [CrossRef]
- Ashok, M.; Holla, B.S.; Boojary, B. Convenient one pot synthesis and antimicrobial evaluation of some new Mannich bases carrying 4-methylthiobenzyl moiety. Eur. J. Med. Chem. 2007, 42, 1095–1101. [Google Scholar]
- Karthikeyan, M.S.; Prasad, D.J.; Boojary, B.; Bhat, K.S.; Holla, B.S.; Kumari, N.S. Synthesis and biological activity of Schiff and Mannich bases bearing 2,4-dichloro-5-fluorphenyl moiety. Bioorg. Med. Chem. 2006, 14, 7482–7489. [Google Scholar]
- El-Emam, A.A.; Moustafa, M.A.; Abdelal, A.M.; El-Ashmawy, M.B. Triazoles and Fused Triazoles IV: Synthesis of 3-(1-adamantyl)-6-substituted-s-triazolo[3,4-b][1,3,4]thiadiazoles and 3-(1-adamantyl)-6-aryl-7H-s-triazolo[3,4-b][1,3,4]thia-diazines as potential chemotherapeutic Agents. Chin. Pharm. J. 1993, 45, 101–107. [Google Scholar]
- Murray, P.R.; Baron, E.J.; Pfaller, M.A.; Tenover, F.C.; Yolken, R.H. Manual of Clinical Microbiology; Wood, G.L., Washington, J.A., Eds.; Am. Soc. Microbiol.: Washington, D.C., USA, 1995. [Google Scholar]
- Mai, A.; Artico, M.; Sbardella, G.; Massa, A.; Novellino, E.; Greco, G.; Loi, A.G.; Tramontano, E.; Marongiu, M.E.; La Colla, P. 5-Alkyl-2-(alkylthio)-6-(2,6-dihalophenylmethyl)-3,4-dihydropyrimidin-4(H)-ones: novel potent and selective dihydro-alkoxy-benzyl-oxopyrimidine derivatives. J. Med. Chem. 1999, 42, 619–627. [Google Scholar] [CrossRef]
- Sahlberg, C.; Noreen, R.; Engelhardt, P.; Högberg, M.; Kangasmetsä, J.; Vrang, L.; Zhang, H. Synthesis and anti-HIV activities of urea-PETT analogs belonging to a new class of potent non-nucleoside HIV-1 reverse transcriptase inhibitors. Bioorg. Med. Chem. Lett. 1998, 8, 1511–1516. [Google Scholar]
- Sudbeck, E.A.; Massa, S.; Vig, R.; Venkatachalam, T.K.; Tuel-Ahlgren, L.; Uckun, F.M. Structure-based design of novel dihydroalkoxy-benzyloxypyrimidine derivatives as potent nonnucleoside inhibitors of the human immunodeficiency virus reverse transcriptase. Antimicrob. Agents Chemother. 1998, 42, 3225–3233. [Google Scholar]
- National Committee for Clinical Laboratory Standards (NCCLS) Approved standard document M7A. Villanova, PA, USA, 1985.
- Winter, C.A.; Risely, E.A.; Nuss, G.W. Carrageenin-induced paw oedema in hind paw of the rat as an assay for anti-inflammatory drugs. Proc. Soc. Exp. Biol. Med. 1962, 111, 544–547. [Google Scholar]
- Roche, D.; Carniato, D.; Leriche, C.; Lepifre, F.; Christmann-Franck, S.; Graedler, U.; Charon, C.; Bozec, S.; Doare, L.; Schmidlin, F.; Lecomte, M.; Valeur, E. Discovery and structure–activity relationships of pentanedioic acid diamides as potent inhibitors of 11β-hydroxysteroid dehydrogenase type I. Bioorg. Med. Chem. Lett. 2009, 19, 2674–2678. [Google Scholar]
- Chapman, K.E.; Coutinho, A.E.; Gray, M.; Gilmour, J.S.; Savill, J.S.; Seckl, J.R. The role and regulation of 11β-hydroxysteroid dehydrogenase type 1 in the inflammatory response. Mol. Cell. Endocrinol. 2009, 301, 123–131. [Google Scholar] [CrossRef]
© 2010 by the authors; licensee Molecular Diversity Preservation International, Basel, Switzerland. This article is an open-access article distributed under the terms and conditions of the Creative Commons Attribution license (http://creativecommons.org/licenses/by/3.0/).