Abstract
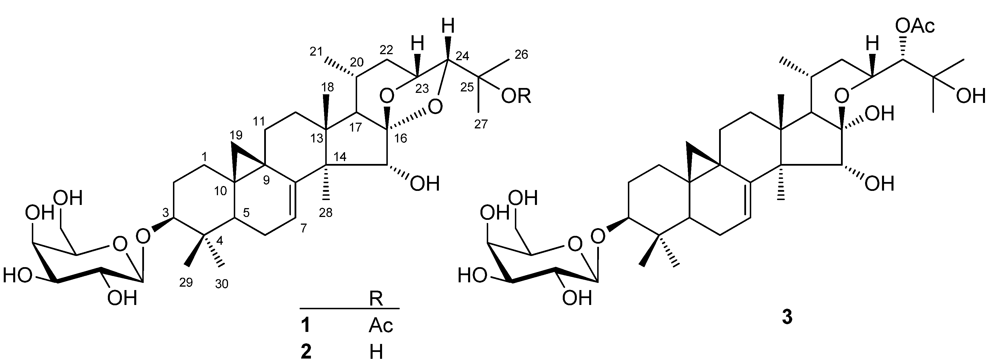
Three new cycloartenol triterpene saponins, named shengmaxinsides A-C, have been isolated from the ethyl acetate soluble fraction of an ethanol extract of Cimicifuga simplex Wormsk roots. Their structures were established by chemical tests and detailed spectroscopic analysis as 25-O-acetyl-7,8-didehydrocimigenol-3-O-β-D-galactopyranoside (1), 7,8-didehydrocimigenol-3-O-β-D-galactopyranoside (2) and 7,8-didehydro-24S-O-acetylhydroshengmanol-3-O-β-D-galactopyranoside (3), respectively.
1. Introduction
The Ranunculaceae is a small family with five genera and around 19 species found throughout the World. Currently, about nine Cimicifuga species grow in China. C. simplex (Shengma in Chinese) is a deciduous perennial herb widely distributed in China. Traditionally, the root of C. simplex has been used in oriental countries as an anti-inflammatory and anti-viral agent [1,2,3] and the beneficial ingredients responsible for the anti-inflammatory effects are ferulic acid and isoferulic acid [4,5]. This herb has also been used for the treatment of human immunodeficiency virus (HIV), and its more general analgesic, antipyretic, antidiabetes, antimalaria and vasoactive properties [3,4,5]. Its chemical constituents have been extensively investigated and the main constituents are 9,19-cyclolanostane triterpenoid glycosides, flavonoids, alkaloids, and chromones [6,7,8,9]. More than 200 uncommon cycloartane-type triterpenoid saponins have been isolated from Cimicifuga plants [6]. Genjiro and his team have isolated more than fifty cycloartane-type triterpenoids from C. simplex grown in Japan [10,11,12,13,14,15,16,17,18,19,20,21,22]. It was reported that 9,19-cyclolanostane triterpene glycosides exhibited antiosteoporosis, anti-tumor and anti-complement activities [23,24,25]. Furthermore, triterpenoids may be useful candidates for the development of new drugs for cardiovascular disorders due to their antioxidant and anti-inflammatory activity [3]. In continuation of our search for pharmacological and structurally interesting substances from Chinese traditional herbal drugs, we investigated the chemical constituents of C. simplex. Fractionation of the ethyl acetate soluble extract of the roots of C. simplex by column chromatography afforded three new cycloartane-type triterpenoid saponins (Figure 1). We report here on the isolation and structural elucidation of these compounds by chemical and spectroscopic analysis.
Figure 1.
Structures of 1-3.
Figure 1.
Structures of 1-3.

2. Results and Discussion
Compound 1, named shengmaxinside A, was obtained as colorless needles and gave positive results for the Liebermann-Burchard reaction and Molish reagents, indicating it to be a triterpenoid glycoside. Its molecular formula was established as C38H58O11 by the positive HRESIMS from the [M-H2O+H]+ and [M+Na]+ signals at m/z 673.3964 (calc. for C38H57O10, 673.3952) and 713.3891 (calc. for C38H58O11Na, 713.3877), respectively, indicating ten degrees of unsaturation.
The 1H-NMR spectrum (Table 1) showed the presence of cyclopropane methylene groups at δH 0.47 and 1.06 (each 1H, d, J = 3.6 Hz), six tertiary methyl groups at δH 1.04, 1.17, 1.33, 1.47, 1.53 and 1.64, a secondary methyl at δH 0.96 (1H, d, J = 5.6 Hz), an acetyl methyl at δH 2.01, one anomeric proton at δH 4.89 (1H, d, J = 7.6 Hz), four oxygenated methine protons (δH 3.51, 3.77, 4.53, 4.60) and a series of overlapped signals suggesting a cycloartane-type triterpene glycoside. The 13C-NMR spectrum (Table 1) displayed a total of thirty eight carbon signals due to the aglycon moiety, along with a sugar unit and an acetyl unit. The 13C-NMR spectrum exhibited anomeric carbons at δC 107.5. All the above evidence suggested that 1 was a highly oxygenated 9,19-cycloartane triterpene glycoside. Moreover, δC 112.8 suggests 1 to be a cimigenol type saponin [26].
After acid hydrolysis and derivatization as alditol acetates, the gas chromatography (GC) analysis revealed the presence of D-galacose. The presence of a galacose was further confirmed by its NMR data [16], and the galactose linkage was assigned as β from observation of the anomeric proton coupling constant at δH 4.89 (1H, d, J = 7.6 Hz). The residual three further signals at δH 4.60 (1H, ddd, J = 2.0, 4.3, 9.2 Hz), 4.53 (1H, d, J = 7.6 Hz) and 3.77 (1H, d, J = 4.4 Hz) in the region of aglycon moiety suggest three additional oxygen-bearing carbons on the aglycone. This hypothesis was confirmed by the HMBC spectrum, which showed cross-peaks between proton signal at δH 4.53 (1H,d, J = 7.6 Hz) with C-14 and C-16, C-13 and C-17, between proton signal at δH 4.60 (1H, ddd, J = 2.0, 4.3, 9.2 Hz) with C-24 and C-22, and between proton signal at δH 3.77 (1H, d, J = 4.4 Hz) with C-23 and C-25. This unambiguously iindicated that the oxygen-bearing carbons are C-15, C-23 and C-24. In the HMBC spectrum, significant correlations between δH 4.89(H-1') and 88.4(C-3) suggested that the galactopyranosyl was located at the C-3 position. Furthermore, the long-range correlations between an acetyl proton (δH 2.01) with C-25 (δC 79.8) indicated that the acetyl unit locating at C-25. Other key long-range correlations were observed for H-19/C-19, H-1'/C-3, H-24/C-25, H-23/C-22 and C-24, and an acetyl methyl proton and an acetyl carbon and C-25.
Comparison of the 13C-NMR spectral data of 1 with those of the known compound 25-O-acetyl-7,8-didehydrocimigenol-3-O-β-D-xyloside [19] showed that the aglycone of 1 was very similar to that of the known compound, except for the signals of the sugar moieties. This suggested that 1 had the same aglycone as 25-O-acetyl-7,8-didehydrocimigenol-3-O-β-D-xyloside. Thus, from the above the 1H -1H COSY, HSQC, DEPT and HMBC we concluded that the planar structure of 1 corresponded to 25-O-acetylcycloartane-7-en-3-O-β-D-galactopyranoside.
Compound 2, named shengmaxinside B, was obtained as colorless needles and gave positive results for the Liebermann-Burchard reaction and Molish reagent, which was considered evidence of a triterpenoid glycoside. Its molecular formula was established as C36H56O10 by the positive HRESIMS from the [M-H2O+H]+ and [M+Na]+ signals at m/z 631.3884 (calc. for C36H55O9 631.3846) and 671.3802 (calc. for C36H56O10Na 671.3771), respectively, indicating nine degrees of unsaturation.
In the 13C-NMR spectrum (Table 1) a total of thirty six carbon signals due to the aglycon moiety were observed, along with a sugar unit. Compared to 1, there is no acetyl unit signal. In the meantime, only the chemical shifts of C-25, C-26 and C-27, located at δC 68.6, 30.7, 25.9, respectively, were changed compared to 1. The comparison of the 13C-NMR data of 2 to those of the moieties of the ether-linkage and ester-linkage sugar chains of 1 suggested that 2 possessed the same sugar chains as 1. This deduction was confirmed by the HMBC experiment. On the basis of these data, 2 was elucidated as 7,8-didehydrocimigenol-3-O-β-D-galactopyranoside.
Compound 3, named shengmaxinside C, was obtained as a white amorphous powder, which was considered to be a triterpenoid glycoside due to the positive results with the Liebermann-Burchard reaction and Molish reagents. Its molecular formula was determined as C38H60O12 according to the positive HRESIMS from the [M-2H2O+H]+, [M-H2O+H]+ and [M-H2O+Na]+ signals at m/z 673.3975 (calc. for C38H57O10, 673.3952), 691.4102 (calc. for C38H59O11, 691.4057) and 713.3837 (calc. for C38H58O11Na, 713.3877), respectively, indicating nine degrees of unsauration.
The 1H-NMR spectrum (Table 1) showed the presence of cyclopropane methylene groups at δH 0.44 and 1.03 (each 1H, d, J = 4.0 Hz), six tertiary methyl groups at δH 1.02, 1.18, 1.29, 1.37, 1.49, and 1.74, a secondary methyl at δH 0.95 (1H, d, J = 6.4 Hz), an acetyl methyl at δH 2.01, one anomeric proton at δH 4.84 (1H, d, J = 10.4 Hz), four oxygenated methine protons (δH 3.50, 4.21, 4.32, 4.85) and a series of overlapped signals suggesting a cycloartane-type triterpene glycoside. The 13C-NMR spectrum (Table 1) showed a total of thirty eight carbon signals due to the aglycon moiety, along with a sugar unit and an acetyl unit. The 13C-NMR spectrum exhibited anomeric carbons at δC 107.5. All the above evidence suggested that 3 was a highly oxygenated 9,19-cycloartane triterpene glycoside. Moreover, δC 106.7 indicated 3 to be a hydroshengmanol type saponin [26].
After acid hydrolysis and derivatization as alditol acetates, the gas chromatography (GC) analysis revealed the presence of D-galacose. This was further confirmed by its NMR data [16], and the galactose linkage was assigned as β form on the basis of the anomeric proton coupling constant at δH 4.84 (1H, d, J = 10.4 Hz). Three further signals at δH 4.32 (1H, d, J = 10.4 Hz), 4.85 (1H, d, J = 2.0 Hz) and 4.21 (t, J = 8.8 Hz) in the region of the aglycon moiety suggested the presence of three additional oxygen-bearing carbons. This hypothesis was confirmed by the HMBC spectrum, which showed cross-peaks between the proton signal at δH 4.32 (1H, d, J = 10.4 Hz) with C-14, C-16, C-13 and C-17, between the proton signal at δH 4.85 (1H, d, J = 2.0 Hz) with C-23 and C-25, and between the proton signal at δH 4.21 (1H, t, J = 8.8 Hz) with C-22 and C-24, thus unambiguously identifying the oxygen-bearing carbons as C-15, C-23, and C-24. In the HMBC spectrum, significant correlations between δH 4.84(H-1') and 88.4(C-3) suggested that the galactopyranosyl was located at the C-3 position. Moreover, the long-range correlations between H-24 (δH 4.85) with an acetyl carbon (δC 170.7) indicated that the acetyl unit locating at C-24. Other key long-range correlations were found for H-1/C-3, H-19/C-19, 23-H/C-22 and C-24, H-24/C-25 (Figure 2).
Figure 2.
Key HMBC and 1H-1H COSY correlations of 3.
Figure 2.
Key HMBC and 1H-1H COSY correlations of 3.

According to the literature, the configuration of C-24 is R when C-16 chemical shift in the 13C-NMR spectrum should be 102.9~103.7, while for S it appears to be 106.1~106.8 [19] In the case of 3, the C-16 chemical shift is 106.7. The 1H- and 13C-NMR spectrum of 3 were similar to those of 7,8-didehydro-24S-O-acetylhydroshengmanol-3-O-xyloside [27], respectively, except for the sugar moiety (Table 1). Thus, compound 3 was elucidated as 7,8-didehydro-24S-O-acetylhydroshengmanol-3-O-β-D-galactopyranoside.
Table 1.
NMR data for 1-3 in pyridine-d5 (J in Hz).
| H/C | 1 | 2 | 3 | |||
|---|---|---|---|---|---|---|
| 1 | 1.25 (m),1.80 (m) | 30.3 | 1.24 (m), 1.77 (m) | 30.4 | 1.25 (m), 1.60 (m) | 30.3 |
| 2 | 2.43 (m),1.94 (m) | 29.5 | 2.43 (dd,13.2, 4.0), 1.96 (m) | 29.5 | 2.42 (m), 1.93 (m) | 29.5 |
| 3 | 3.51 (dd, 11.6, 4.0) | 88.4 | 3.52 (dd, 11.6, 4.0) | 88.5 | 3.50 (dd, 11.6, 4.0) | 88.4 |
| 4 | --- | 40.4 | --- | 40.4 | --- | 40.4 |
| 5 | 1.25 (m) | 42.7 | 1.33 (m) | 42.8 | 1.21 (m) | 42.7 |
| 6 | 1.65 (m),1.96 (m) | 21.2 | 1.62 (m),1.98 (m) | 21.8 | 1.60 (m), 1.88 (m) | 21.8 |
| 7 | 6.11 (d, 6.4) | 114.4 | 6.07 (d, 6.4) | 114.3 | 6.11 (d, 6.0) | 114.0 |
| 8 | --- | 148.0 | --- | 148.1 | --- | 148.4 |
| 9 | --- | 21.8 | --- | 21.2 | --- | 21.2 |
| 10 | --- | 28.2 | --- | 28.2 | --- | 28.2 |
| 11 | 1.13 (m), 2.18 (overlapping) | 25.6 | 1.11 (m), 2.08 (overlapping) | 25.5 | 1.12 (m), 2.12 (overlapping) | 25.6 |
| 12 | 1.66 (m),1.83 (m) | 34.2 | 1.66 (m),1.71 (m) | 34.0 | 1.63 (m),1.75 (m) | 34.2 |
| 13 | --- | 41.1 | --- | 41.1 | --- | 40.2 |
| 14 | --- | 50.8 | --- | 50.8 | --- | 50.0 |
| 15 | 4.53 (d, 7.6) | 78.4 | 4.51 (d, 7.6) | 78.6 | 4.32 (d, 10.4) | 80.8 |
| 16 | --- | 112.8 | --- | 112.5 | --- | 106.7 |
| 17 | 1.71 (m) | 60.5 | 1.72 (m) | 60.7 | 1.49 (m) | 61.2 |
| 18 | 1.17 (s) | 21.6 | 1.17 (s) | 21.6 | 1.18 (s) | 22.1 |
| 19 | 0.47 (d, 3.6), 1.06 (d, 3.6) | 28.2 | 0.44 (d, 3.6), 1.06 (d, 3.6) | 28.4 | 0.44 (d, 4.0), 1.03 (d,4.0) | 28.3 |
| 20 | 1.70 (m) | 23.0 | 1.68 (m) | 23.4 | 1.74 (m) | 25.8 |
| 21 | 0.96 (d,5.6) | 19.6 | 0.97 (d,5.6) | 19.7 | 0.95 (d,6.4) | 20.6 |
| 22 | 1.60 (m), 2.0 (m) | 30.5 | 1.97(m), 2.66 (t, 22.0,12.0) | 29.6 | 1.57 (m), 1.90 (m) | 33.9 |
| 23 | 4.6 (ddd, 2.0, 4.4, 9.2) | 73.3 | 4.62 (ddd, 2.0, 4.4, 9.2) | 73.9 | 4.21 (dd, 2.0, 8.8) | 72.8 |
| 24 | 3.77 (d, 4.4) | 84.1 | 3.72 (d, 4.4) | 84.1 | 4.85 (d, 2.0) | 80.3 |
| 25 | --- | 79.8 | --- | 68.6 | --- | 75.5 |
| 26 | 1.64 (s) | 24.6 | 1.41 (s) | 30.7 | 1.49 (s) | 32.8 |
| 27 | 1.53 (s) | 23.2 | 1.33 (s) | 25.9 | 1.74 (s) | 27.2 |
| 28 | 1.47 (s) | 18.5 | 1.27 (s) | 18.5 | 1.37 (s) | 18.8 |
| 29 | 1.33 (s) | 25.9 | 1.28 (s) | 26.0 | 1.29 (s) | 25.8 |
| 30 | 1.04 (s) | 14.3 | 1.03 (s) | 14.3 | 1.02 (s) | 14.3 |
| 1' | 4.89 (d, 7.6) | 107.5 | 4.88 (d,8.0) | 107.5 | 4.84 (d, 10.4) | 107.5 |
| 2' | 4.49 (m) | 73.2 | 4.47 (m) | 73.2 | 4.46 (dd, 9.2, 4.0) | 73.2 |
| 3' | 4.17 (dd, 9.6, 3.2) | 75.5 | 4.17 (dd, 9.2,3.2) | 75.5 | 4.16 (dd, 9.4, 3.4) | 75.2 |
| 4' | 4.60 (overlapping) | 70.3 | 4.59 (overlapping) | 70.3 | 4.59 (d, 3.2) | 70.3 |
| 5' | 4.09 (t, 12.4,8.4) | 76.9 | 4.08 (t, 12.4, 6.0) | 76.8 | 4.08 (t, 10.0, 6.2) | 76.8 |
| 6' | 4.48 (overlapping), 4.50 (overlapping) | 62.5 | 4.47 (overlapping), 4.48 (overlapping) | 62.5 | 4.42 (t, 9.2, 4.0), 4.46(t,9.2 ,4.0) | 62.5 |
| -CO CH3 | --- | 169.8 | --- | --- | --- | 170.7 |
| -CO CH3 | 2.01(s) | 22.6 | --- | --- | 2.01 (s) | 21.0 |
3. Experimental Section
3.1. General
The optical rotations were recorded on a Perkin-Elmer 341 polarimeter. IR spectra were taken on a Shimadzu FTIR-8400 S. The NMR spectra were recorded on a Bruker DPX 400 instrument (400 MHz for 1H-NMR and 100 MHz for 13C-NMR). Samples were prepared in pyridine-d5 with TMS as an internal standard and coupling constants J are given in Hz. The UV spectra were recorded on a Shimadzu UV-1601 instrument and GC analysis was carried out on an Agilent HP 6890N gas chromatograph using an HP-5 capillary column. The HRESIMS was determined on an IonSpec Ultima 7.0 T FTICR. Preparative HPLC (Waters, Delta 600-2487) was performed on Hypersil-ODS II (10 μm, 20×300 mm, Yilite, Da Lian, China). Column chromatography was performed with silica gel (200-300 mesh, Qingdao Haiyang Chemical Group Co. Ltd, Qingdao, P. R. China), ODS-A (120A, 50μm, YMC Co.) and Sephadex LH-20 (25-100 μm, Pharmacia). Analytical TLC spots were detected on silica gel 60 F254 (Merck, Germany) by spraying with 10% ethanolic H2SO4 reagent followed by heating.
3.2. Plant Material
Root of C. simplex was collected in Heilong Jiang province of China, on September 2009, and identified by Prof. Wang (Heilongjiang University of Chinese Medicine). The voucher specimen (20090065) was deposited at the Herbarium of Heilongjiang University of Chinese Medicine, Harbin, China.
3.3. Extraction and Isolation
The roots of C. simplex (2.6 kg) was extracted under reflux conditions with 75% ethanol (3L×3×2 h each). The ethanolic solution was concentrated in vacuo to yield a syrup-like extract (225 g), which was dissolved in H2O (1500 mL) and then partitioned with different solvents to give petroleum ether–soluble (7.6 g), ethyl acetate-soluble (75 g) and n-butyl alcohol-soluble (19g) portions. The ethyl acetate-soluble portion was subjected to silica gel column chromatography (CHCl3/MeOH, 20:1→1:1) to afford Fractions A-H. Fraction D (6 g) was re-chromatographed on silica gel (200-300 mesh, 150 g), eluted with CHCl3-MeOH (20:1) as solvent, to afford three sub-fractions. Sub-fraction D2 (3.6 g) was further separated by ODS (MeOH/H2O, 6:4→9:1) to afford five fractions. Fraction D2-3 was followed by Sephadex LH-20 and purified by preparative HPLC with MeOH/H2O 7:3 to afford compound 1 (23 mg). Fraction D2-4 was purified by preparative HPLC with MeOH/H2O 6:4 to furnish 2 (28 mg). Fraction E (3.3 g) was further chromatographed on OSD (MeOH/H2O, 1:1→9:1) to afford three fractions. Compound 3 (23 mg) was purified from the Fraction E2 by repeated ODS and HPLC methods.
Shengmaxinside A (1). Colorless needles; [α]25D: +0.02 (MeOH); IR (KBr): 3431.13, 3423.41, 2956.67, 2937.38, 2871.81, 1730.03, 1367.44, 1240.14, 1151.42, 1070.42, 1058.85, 1043.42, 975.91 cm−1; HRESIMS from the [M-H2O+H]+ and [M+Na]+ signals at m/z 673.3964 (calc. for C38H57O10, 673.3952) and 713.3894 (calc. for C38H58O11Na, 713.3877); 1H-NMR and 13C-NMR data are shown in Table 1.
Shengmaxinside B (2). Colorless needles; [α]25D: +0.03 (MeOH); IR (KBr): 3431.13, 3421.48, 2960.53, 2931.6, 2871.81, 2358.78, 2341.42, 2331.78, 1155.28, 1056.92, 987.49, 977.84 cm−1; HRESIMS from the [M-H2O+H]+ and [M+Na]+ signals at m/z 631.3887 (calc. for C36H55O9 631.3846) and 671.3804 (calc. for C36H56O10Na 671.3771); 1H-NMR and 13C-NMR data are shown in Table 1.
Shengmaxinside C (3). White amorphous powder; [α]25D: +0.02 (MeOH); IR (KBr): 3411.84, 2952.81, 2935.46, 1718.46, 1379.01, 1244.00, 1163.00, 1151.42, 1062.7, 1031.85, 981.7 cm-1; HRESIMS from the [M-2H2O+H]+, [M-H2O+H]+ and [M-H2O+Na]+ signals at m/z 673.3975 (calc. for C38H57O10, 673.3952), 691.4102 (calc. for C38H59O11, 691.4057) and 713.3837 (calc. for C38H58O11Na, 713.3877); 1H-NMR and 13C-NMR data are shown in Table 1.
3.4. Acid hydrolysis
Acid hydrolysis was performed by a previously described method [28]. For this purpose, each compound (10 mg) was heated in an ampule with aqueous 12% HCl (5 mL) at 90 °C for 2h. The aglycone was extracted with chloroform, and each aqueous residue was adjusted to pH 7.0 with 12% NaOH and reduced with NaBH4 (40 mg), followed by acidification with dilute CH3COOH, and then co-distilled with pure CH3OH to remove excess boric acid. The reduced sugars were acetylated with 1:1 pyridine-Ac2O in a boiling water bath for 2 h to give the corresponding alditol acetates, which were analyzed by GLC on a HP 6890 N gas chromatograph (Agilent) equipped with a flame ionization detector FID) using N2 as carrier gas. The instrument was fitted with a HP-5 capillary column (30 m×0.32mm×0.25 μm). The injector temperature was set at 250 °C and the column temperature program was as follows: the initial temperature of 120 °C was increased by 3°/min to the final temperature of 210 °C, then was held 4 min. The detector temperature was set at 300 °C. The standard monosaccharides were subjected to the same reaction and GC analysis under the same conditions (D-galacose, tR, 30.8 min)
4. Conclusions
It has been reported that 9,19-cyclolanostane triterpene glycosides exhibit varied biological activities, including antiosteoporosis, antitumor, anti-complement, antioxidant and anti-inflammatory effects [23,24,25]. As a part of our chemical investigation on C. simplex, three new cycloartenol triterpene saponins with galactopyranosyl moieties, shengmaxinsides A-C, were isolated. Their structures were established on the basis of spectroscopic analysis and chemical evidence. Their biological activities will be further researched in our laboratory.
Acknowledgments
We appreciate the kind help of Weiguo Zhu of Zhengzhou University for measurement of NMR spectra. We are grateful to Zhenyue Wang in College of Pharmacy, Heilongjiang University of Chinese Medicine, for the plant identification.
References and Notes
- Schmid, D.; Woehs, F.; Svoboda, M.; Thalhammer, T.; Chiba, P.; Moeslinger, T. Aqueous extracts of Cimicifuga racemosa and phenolcarboxylic constituents inhibit production of proinflammatory cytokines in LPS-stimulated human whole blood. Can. J. Physiol. Pharmacol. 2009, 87, 963–972. [Google Scholar]
- Liu, I.M.; Chi, T.C.; Hsu, F.L.; Chen, C.F.; Cheng, J.T. Isoferulic acid as active principle from the rhizoma of Cimicifuga dahurica to lower plasma glucose in diabetic rats. Planta Med. 1999, 65, 712–714. [Google Scholar]
- Kim, H.Y.; Shin, H.S.; Park, H.; Kim, Y.C.; Yun, Y.G.; Park, S.; Shin, H.J.; Kim, K. In vitro inhibition of coronavirus replications by the traditionally used medicinal herbal extracts, Cimicifuga rhizoma, Meliae cortex, Coptidis rhizoma, and Phellodendron cortex. J. Clin. Virol. 2008, 41, 122–128. [Google Scholar]
- Hirabayashi, T.; Ochiai, H.; Sakai, S.; Nakajima, K.; Terasawa, K. Inhibitory effect of ferulic acid and isoferulic acid on murine interleukin-8 production in response to influenza virus infections in vitro and in vivo. Planta Med. 1995, 61, 221–226. [Google Scholar]
- Sakai, S.; Kawamata, H.; Kogure, T.; Mantani, N.; Terasawa, K.; Umatake, M.; Ochiai, H. Inhibitory effect of ferulic acid and isoferulic acid on the production of macrophage inflammatory protein-2 in response to respiratory syncytial virus infection in RAW264.7 cells. Mediators Inflamm. 1999, 8, 173–175. [Google Scholar] [CrossRef]
- Li, J.X.; Yu, Z.Y. Cimicifugae rhizoma: from origins, bioactive constituents to clinical outcomes. Curr. Med. Chem. 2006, 13, 2927–2951. [Google Scholar]
- Cao, P.; Pu, X.F.; Peng, S.L.; Zhang, X.R.; Ding, L.S. Chemical constituents from Cimicifuga foetida. J. Asian Nat. Prod. Res. 2005, 7, 145–149. [Google Scholar] [CrossRef]
- Li, C.J.; Li, Y.H.; Xiao, P.G.; Mabry, T.J.; Watson, W.H.; Krawiec, M. A unusual cycloartane triterpenoid from Cimicifuga foetida. Phytochemistry 1996, 42, 489–494. [Google Scholar]
- Sun, L.R.; Qing, C.; Zhang, Y.L.; Jia, S.Y.; Li, Z.R.; Pei, S.J.; Qiu, M.H.; Gross, M.L.; Qiu, S.X. Cimicifoetisides A and B, two cytotoxic cycloartane triterpenoid glycosides from the rhizomes of Cimicifuga foetida, inhibit proliferation of cancer cells. Beilstein J. Org. Chem. 2007, 3, 3–8. [Google Scholar] [CrossRef]
- Genjiro, K.; Sachiko, H.; Yoshikazu, K.; Tsunematsu, T. Studies on the constituents of Cimicifuga spp. XIII. Structure of Cimicifugoside. Chem. Pharm. Bull. 1977, 25, 3182–3189. [Google Scholar] [CrossRef]
- Genjiro, K.; Mayumi, I.; Yoshie, S.; Makio, S.; Akiko, K.; Takashi, I. Studies on the constituents of Cimicifuga species. XIV. A new xyloside from the aerial parts of Cimicifuga simplex Wormsk. Chem. Pharm. Bull. 1994, 42, 1106–1110. [Google Scholar] [CrossRef]
- Akiko, K.; Makio, S.; Satoshi, K.; Genjiro, K.; Shigeo, N.; Shinji, F. Studies on the constituents of Cimicifuga species. XV. Two new diglycosides from the aerial parts of Cimicifuga simplex Wormsk. 1994, 42, 1940–1943. [Google Scholar]
- Akiko, K.; Kei, S.; Mayumi, I.; Makio, S.; Katsuhiko, M.; Genjiro, K. Studies on the constituents of Cimicifuga species. XVI. Three new cycloartane xylosides from the aerial parts of Cimicifuga simplex Wormskjord. Chem. Pharm. Bull. 1995, 43, 279–283. [Google Scholar] [CrossRef]
- Akiko, K.; Makio, S.; Genjiro, K. Studies on the constituents of Cimicifuga species. XVII. Four new glycosides from the aerial parts of Cimicifuga simplex Wormsk. Chem. Pharm. Bull. 1994, 43, 1167–1170. [Google Scholar]
- Akiko, K.; Makio, S.; Genjiro, K. Studies on the constituents of Cimicifuga species. XVIII. Four new xylosides from the aerial parts of Cimicifuga simplex Wormsk. Chem. Pharm. Bull. 1996, 44, 167–172. [Google Scholar] [CrossRef]
- Akiko, K.; Makio, S.; Genjiro, K.; Toshio, M. Studies on the constituents of Cimicifuga species. XIX. Eight new glycosides from Cimicifuga simplex Wormsk. Chem. Pharm. Bull. 1996, 44, 2078–2085. [Google Scholar]
- Akiko, K.; Masayuki, T.; Makio, S.; Yasuko, I.; Toshimasa, I.; Toshio, M.; Genjiro, K. Studies on the constituents of Cimicifuga species. XX. Absolute stereostructures of cimicifugoside and actein from Cimicifuga simplex Wormsk. Chem. Pharm. Bull. 1998, 46, 467–472. [Google Scholar] [CrossRef]
- Akiko, K.; Masayuki, T.; Makio, S.; Toshio, M.; Genjiro, K. Studies on the constituents of Cimicifuga species. XXI. Two new cyclolanostanol xylosides, Bugbanosides A and B from Cimicifuga simplex Wormsk. Chem. Pharm. Bull. 1998, 46, 1001–1007. [Google Scholar]
- Akiko, K.; Masayuki, T.; Makio, S.; Toshio, M.; Genjiro, K. Studies on the constituents of Cimicifuga species. XXVI. Twelve new cyclolanostanol glycosides from the underground parts of Cimicifuga simplex Wormsk. Chem. Pharm. Bull. 1999, 47, 511–516. [Google Scholar] [CrossRef]
- Toshihiro, A.; Ryuichi, H.; Kazuo, K.; Yumiko, K.; Tamotsu, N. Cycloarta-16,24-dien-3β-ol: revised structure of cimicifugenol, a cycloartane triterpenoid. Chem. Pharm. Bull. 1999, 47, 1157–1160. [Google Scholar]
- Akiko, K.; Makio, S.; Genjiro, K. Studies on the constituents of Cimicifuga species. XXVII. Malonyl cyclolanostanol glycosides from the underground parts of Cimicifuga simplex Wormsk. Chem. Pharm. Bull. 1999, 47, 1175–1179. [Google Scholar] [CrossRef]
- Akiko, K.; Makio, S.; Daisuke, T.; Genjiro, K. Studies on the constituents of Cimicifuga species. XXVIII. Four new cycloart-7-enol glycosides from the underground parts of Cimicifuga simplex Wormsk. Chem. Pharm. Bull. 2001, 49, 437–441. [Google Scholar] [CrossRef]
- Qiu, M.; Kim, J.H.; Lee, H.K.; Min, B.S. Anticomplement activity of cycloartane glycosides from the rhizome of Cimicifuga foetida. Phytother. Res. 2006, 20, 945–948. [Google Scholar] [CrossRef]
- Tian, Z.; Pan, R.L.; Si, J.Y.; Xiao, P.G. Cytotoxicity of cycloartane triterpenoids from aerial part of Cimicifuga foetida. Fitoterapia 2006, 77, 39–42. [Google Scholar] [CrossRef]
- Tian, Z.; Pan, R.L.; Chang, Q.; Xiao, P.G.; Wu, E. Cimicifuga foetida extract inhibits proliferation of hepatocellular cells via induction of cell cycle arrest and apoptosis. J. Ethnopharmacol. 2007, 114, 227–233. [Google Scholar]
- Jianhua, J.; Dong, L.; Junshan, Y. The spectroscopic features of natural 9,19-cyclolanstane triterpenic glycosides. Chin. J. Magn. Reson. 2001, 18, 79–90. [Google Scholar]
- Jian, X.L.; Shigetoshi, K.; Masao, H.; Sadao, Y.; Motoo, S.; Naoko, O.; Hiroshi, M.; Tsuneo, N. Constituents of Cimicifugae Rhizoma. I. Isolation and Characterization of Ten New Cycloartenol Triterpenes from Cimicifuga heracleifolia Komarov. Chem. Pharm. Bull. 1993, 41, 832–841. [Google Scholar] [CrossRef]
- Li, G.Y.; Zhang, Y.H.; Yang, B.Y.; Xia, Y.G.; Zhang, Y.L.; Lv, S.W.; Kuang, H.X. Leiyemudanosides A-C, three new bidesmosidic triterpenoid saponins from the roots of Caulophyllum robustum. Fitoterapia 2010, 81, 200–204. [Google Scholar]
- Sample Availability: Samples of the compounds 1-3 are available from the authors.
© 2011 by the authors; licensee MDPI, Basel, Switzerland. This article is an open access article distributed under the terms and conditions of the Creative Commons Attribution license ( http://creativecommons.org/licenses/by/3.0/).