Abstract
New series of 1,3,4-thiadiazoles have been prepared via reaction of 1,3,4-thiadiazolenaminones 1 with N-phenyl 2-oxopropanehydrazonoyl chloride (2) in dioxane in the presence of triethylamine. Also, some new heterocycles incorporating 1,3,4-thiadiazole ring were obtained by reaction of 1,3,4-thiadiazolenaminones 1 with nitrogen-nucleophiles like hydrazine hydrate, 3-amino-1,2,4-triazole and 2-aminobenzimidazole. The structure of the new products was established based on elemental and spectral analysis. The relation between the structure of the products and their activity towards some microorganisms was studied and promising results were obtained.
1. Introduction
Recently, the chemistry of enaminones has received considerable attention due to their utility as building blocks in heterocyclic synthesis [1,2,3,4,5]. On the other hand, 1,3,4-thiadiazole derivatives have attracted considerable interest owing to their wide spectrum of biological activity, including anti-microbial, anti-tuberculosis, anticonvulsant, anti-inflammatory, and antiulcer properties [6,7,8,9,10]. Recently, we published the antimicrobial activity results of a series of N-[3-aryl-5-(3-dimethylamino-acryloyl)-3H-[1,3,4]-thiadiazol-2-ylidene]-benzamides, which showed promising activity [11]. Based on these findings, and in continuation of our interest in synthesis of bioactive compounds [12,13,14,15,16], we have now prepared a new series of 1,3,4-thiadiazoles via reaction of N-[3-aryl-5-(3-dimethylamino- acryloyl)-3H-[1,3,4]-thiadiazol-2-ylidene]-benzamides with 1,3-dipoles and some nitrogen nucleophiles to investigate the antimicrobial activity of the products and study their structure activity relationship (SAR) towards some microorganisms.
2. Results and Discussion
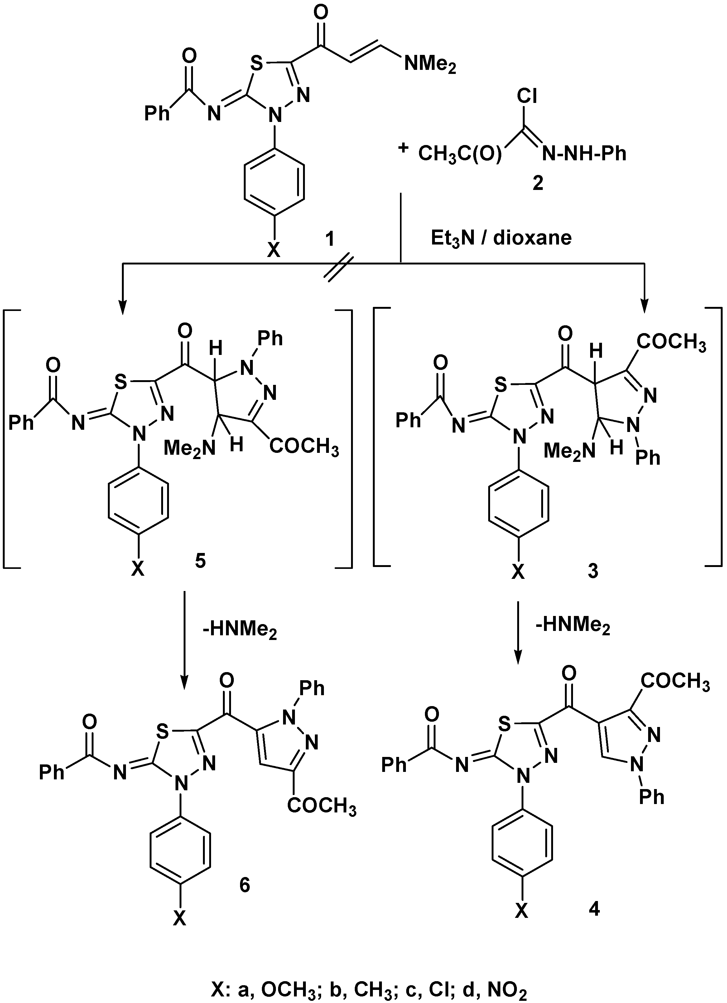
Recently, 1,3,4-thiadiazole-enaminones 1a–d were prepared in our laboratory via reaction of 5-acetyl-3-aryl-2-benzoylimino-1,3,4-thiadiazoles with dimethylformamide-dimethylacetal (DMF-DMA) under reflux in dry toluene [11]. The reactions of these enaminones as dipolarophiles with 1,3-dipoles were studied next. Thus, reaction of 1a–d with hydrazonoyl chloride 2 in refluxing dioxane in the presence of triethylamine afforded, in each case, one isolable product, as evidenced by TLC analysis. The structures of the isolated products were identified, based on their elemental analyses and spectral (IR, 1H-NMR, 13C-NMR and MS) data, as the respective 3-aryl-2-benzoylimino-5-(1-phenyl-3-acetyl-pyrazol-4-yl-carbonyl)-1,3,4-thiadiazoles 4a–d (Scheme 1).
Scheme 1.
Reaction of enaminones 1a–d with hydrazonoyl chloride 2.
Scheme 1.
Reaction of enaminones 1a–d with hydrazonoyl chloride 2.

For example, the IR spectra of products 4 revealed in each case, three C=O absorption bands in the 1694–1680, 1642–1636 and 1617–1604 cm−1 region. Also, their 1H-NMR spectra exhibited in each case characteristic singlet signals at 2.44–2.38 and 9.34–9.31 ppm assigned to the protons of the acetyl group and pyrazole-CH, respectively. The 13C-NMR of compounds 4a–d revealed three signals at 176–172, 190–189 and 206–196 for the carbons of the three carbonyl groups. The mechanism of formation of products 4 is depicted in Scheme 1. The suggested pathway is consistent with all reports published about the reaction of hydrazonoyl halides with enaminones which indicate that this reaction leads to the formation of 5-unsubstituted pyrazole derivatives [11,17,18] and not the regioisomeric 4-unsubstituted pyrazoles 6.
The reactivity of thiadiazole-enaminones 1a–d with some nitrogen-nucleophiles was studied next. Thus, reaction of 1a–d with 3-amino-1,2,4-triazole in acetic acid under reflux led to formation of 1,2,4-triazolo[1,5-a]pyrimidine derivatives 7 (Scheme 2). Similarly, reaction of 1a–d with 2-aminobenzimidazole under the same reaction conditions afforded the respective benzimidazo[1,2-a]pyrimidines 8 (Scheme 2).
Scheme 2.
Reaction of enaminones 1a–d with heterocyclic amines.
Scheme 2.
Reaction of enaminones 1a–d with heterocyclic amines.

The pathway of formation of products 7 and 8 involves Michael addition of the exocyclic amino group of the heteroamines to the enaminone double bond of 1, followed by in situ tandem elimination of dimethylamine and dehydrative cyclization. The structure of the products 7 and 8 was confirmed based on elemental and spectral data (see Experimental). For example, the IR spectra of products 7 and 8 revealed in each case the absence of the carbonyl absorption band due to the enaminone residue in compounds 1. Also, the 1H-NMR spectrum of each of the products 7 and 8 displayed two doublets in the regions 9.71–8.14 and 8.56–8.12 ppm with J values near 5 Hz that are assignable to the two vicinal protons in the pyrimidine moieties [19,20,21].
On the other hand, reaction of enaminones 1a–d with hydrazine hydrate in ethanol under reflux led to formation of the thiadiazole-pyrazole linked products 9 (Scheme 3). The structure of the latter products was established using spectroscopic and elemental analysis methods. For example, the IR spectra of products 9 revealed in each case only one carbonyl band near 1610 cm−1 attributed to the benzoylimino group. In addition, the 1H-NMR spectra of products 9 exhibited a singlet signal at δ 9.0–10.34 ppm due to the NH proton of pyrazole ring.
Scheme 3.
Reaction of enaminones 1a–d with hydrazine hydrate.
Scheme 3.
Reaction of enaminones 1a–d with hydrazine hydrate.

2.1. Biological Screening
2.1.1. Antimicrobial Activity
In vitro antimicrobial screening of compounds 4, 7, 8 and 9 prepared in this study was carried out using cultures of four fungal strains, including Aspergillus fumigatus (RCMB 002003) (AF), P. italicum (RCMB 005003, PI), Geotrichum candidum (RB052006, GC), and Candida albicans (RCMB 005002, CA) as well as four bacteria species, namely, Gram positive bacteria, Staphylococcus aureus (RCMB 000106, SA) and Bacillus subtilis (RCMB 000107, BS), Gram negative bacteria, Pseudomonas aeruginosa (RCMB 000102, PA) and Escherichia coli (RCMB 000103, EC). Amphotericin B as an antifungal agent, ampicillin as an antibacterial agent for Gram positive bacteria and gentamicin as an antibacterial agent for Gram negative bacteria were used as references to evaluate the potency of the tested compounds under the same conditions.
2.1.2. Antimicrobial Activity Screening and Structure Activity Relationship
The results of antimicrobial activities for some of the newly synthesized compounds showed promising effects compared to control drugs (see Table 1). Compounds 4a and 4b have high potency as antifungals except for the fungus Candida albicans (CA). Replacing the substituent X in the phenyl group at position 3 of the 1,3,4-thiadiazole moiety in compounds 4 with electron withdrawing groups, e.g., X = Cl, NO2, as in 4c and 4d, leads to a decrease in the antifungal activity to zero (Table 1). The results also showed that compounds 4a and 4b have high potency towards Gram positive bacteria SA and BS and Gram negative bacteria PA. Their antibacterial activity is high compared with compounds 4c,d, which is in agreement with what was mentioned before. On the other hand, compounds 7c and 7d have higher potency against all tested fungi except CA than compound 7a. Compound 7b has no activity towards any of the tested fungi. In addition, compounds 7a, 7c and 7d have high activity against almost all bacteria used, while compound 7b has no activity against any of the tested bacteria. This indicates that replacing X in the phenyl group at position-3 of 1,3,4-thiadiazole moiety in compounds 7 with an electron donating group decreased the activity of these compounds towards all tested microorganisms. In addition, the results depicted in Table 1 revealed the high potency of compounds 8 towards all tested microorganisms, except fungus CA and Gram negative bacteria PA. The order of decreasing reactivity towards tested fungi and bacteria is as follows: 8b > 8c > 8a. Furthermore, the results of Table 1 indicated that compounds 9a and 9b have high potency towards all tested fungi except fungus CA and Gram negative bacteria PA. The activity of compounds 9a,b can be attributed to the presence of pyrazole ring and the small size of the molecules.
Table 1.
Antimicrobial activity expressed as inhibition diameter zones in millimeter (mm) of compounds 4, 7, 8 and 9 against the pathological strains based on well diffusion as assay.
| Compound No. | Fungi | Gram positive bacteria | Gram negative bacteria | |||||
|---|---|---|---|---|---|---|---|---|
| A. fumigatus | P. italicum | C. albicans | G. candidum | S. aureus | B. subtilis | P. aeruginosa | E. coli | |
| 4a | 15.6 (±0.19) | 16.3 (±0.24) | N.A. | 19.8 (±0.38) | 17.9 (±0.27) | 20.2 (±0.14) | N.A. | 10.9 (±0.29) |
| 4b | 19.6 (±0.13) | 20.3 (±0.22) | N.A. | 22.4 (±0.14) | 22.8 (±0.25) | 25.8 (±0.31) | N.A. | 17.6 ±0.25 |
| 4c | 10.3 (±0.12) | N.A. | N.A. | N.A. | 12.0 (±0.21) | 12.3 (±024) | N.A. | 8.4 (±0.12) |
| 4d | N.A. | N.A. | N.A. | N.A. | 13.6 (±0.17) | 15.4 (±0.33) | N.A. | N.A. |
| 7a | 13.9 (±0.25) | 16.7 (±0.19) | N.A. | 19.8 (±0.35) | 11.7 (±0.14) | 14.6 (±0.67) | N.A. | N.A. |
| 7b | N.A | N.A. | N.A. | N.A | N.A | N.A | N.A. | N.A. |
| 7c | 18.5 (±0.15) | 19.2 (±0.11) | N.A. | 20.9 (±0.26) | 18.3 (±0.19) | 19.2 (±0.21) | N.A. | 12.2 (±0.13) |
| 7d | 14.8 (±0.13) | 12.6 (±0.21) | N.A. | 16.8 (±0.22) | 15.0 (±0.18) | 11.2 (±0.12) | N.A. | 11.3 (±0.31) |
| 8a | 14.3 (±0.21) | 15.2 (±0.23) | N.A. | 11.7 (±0.15) | 15.8 (±0.31) | 18.6 (±0.21) | N.A. | N.A. |
| 8b | 20.4 (±0.19) | 21.6 (±0.12) | N.A. | 25.8 (±0.37) | 23.9 (±0.27) | 26.7 (±0.14) | N.A. | 19.8 (±0.10) |
| 8c | 16.9 (±0.13) | 17.8 (±0.24) | N.A. | 21.4 (±0.17) | 19.4 (±0.27) | 20.4 (±0.14) | N.A. | 10.6 (±0.31) |
| 9a | 20.3 (±0.31) | N.A. | N.A. | 22.6 (±0.22) | 23.7 (±0.31) | 25.9 (±0.22) | N.A. | 15.9 (±0.38) |
| 9b | 21.6 (±0.22) | 20.8 (±0.12) | N.A. | 26.2 (±025) | 22.0 (±0.23) | 21.4 (±012) | N.A. | 18.9 (±0.26) |
| Amphotericin B | 23.7 (±0.10) | 21.9 (±0.12) | 19.8 (±0.20) | 28.7 (±0.22) | N.A. | N.A. | N.A. | N.A. |
| Ampicillin | N.A. | N.A. | N.A. | N.A. | 27.4 (±0.18) | 32.4 (±0.10) | N.A. | N.A. |
| Gentamicin | N.A. | N.A. | N.A. | N.A. | N.A. | N.A. | 17.3 (±0.15) | 22.3 (±0.18) |
The experiment was carried out in triplicate and average zone of inhibition was calculated (100 µL was tested) (N.A. = no activity), data are expressed in the form of mean ± SD.
2.1.3. Minimum Inhibitory Concentration (MIC)
The minimum inhibitory concentration (MIC) of the synthesized compounds against highly inhibited organisms is reported in Table 2. Compound 9b revealed high a MIC value of 0.9 µg/mL against Aspergillus fumigatus (RCMB 002003), 0.08 µg/mL against Geotrichum candidum and 1.95 µg/mL against Straphylococcus aureus. Compounds 4c and 9a exhibited a low MIC value of 0.12 µg/mL against Gram positive bacteria (BS), while compound 8b revealed a MIC of 7.81 µg/mL against PI.
Table 2.
Minimum inhibitory concentration (µg/mL) against the pathological strains.
| CompoundNo. | Fungi | Gram positive bacteria | Gram negative bacteria | |||||
|---|---|---|---|---|---|---|---|---|
| A. fumigatus | P. italicum | C. albicans | G. candidum | S. aureus | B. subtilis | P. aeruginosa | E. coli | |
| 4a | 125 | 125 | N.A. | 31.25 | 62.5 | 15.63 | N.A. | 500 |
| 4c | 31.3 | 15.6 | N.A. | 3.9 | 1.95 | 0.12 | N.A. | 62.5 |
| 7c | 31.3 | 15.6 | N.A. | 7.81 | 62.5 | 31.3 | N.A. | 500 |
| 8b | 15.6 | 7.8 | N.A. | 0.12 | 1.95 | 0.06 | N.A. | 31.3 |
| 8c | 125 | 62.5 | N.A. | 7.81 | 15.6 | 7.8 | N.A. | 500 |
| 9a | 14.1 | N.A. | N.A. | 0.11 | 1.75 | 0.12 | N.A. | 26.5 |
| 9b | 0.9 | 15.3 | N.A. | 0.08 | 1.95 | 8.5 | N.A. | 500 |
| Amphotericin B | 0.49 | 1.95 | 15.63 | 0.015 | N.A. | N.A. | N.A. | N.A. |
| Ampicillin | N.A. | N.A. | N.A. | N.A. | 0.02 | 0.007 | N.A. | N.A. |
| Gentamicin | N.A. | N.A. | N.A. | N.A. | N.A. | N.A. | 62.5 | 0.98 |
3. Experimental
3.1. General
Melting points were determined using an electrothermal Gallenkamp apparatus and are reported uncorrected. IR spectra were recorded in KBr using a Pye Unicam SP-1000 Spectrometer. 1H-NMR spectra were recorded using DMSO-d6 solutions on a Varian EM-300 MHz Spectrometer and chemical shifts are reported in ppm relative to that of TMS, which was used as an internal standard. Mass spectra were recorded using a AEI MS 30 mass spectrometer operating at 70 eV. Elemental analyses were carried out by using the Microanalytical Center of Cairo University, Giza, Egypt. The enaminones 1a–d were prepared as previously reported [11]. 13C-NMR of compounds 7d, 8d, 9c and 9d could not be recorded due to the fact they precipitated in DMSO.
3.2. Reaction of Enaminones 1a–d with Hydrazonoyl Chloride 2
To a stirred solution of the appropriate enaminones 1a–d (2.5 mmol) and the hydrazonoyl chloride 2 (0.49 g, 2.5 mmol) in dry dioxane (30 mL), was added triethylamine (0.5 mL), and the mixture was heated for 5 h. The precipitated triethylamine hydrochloride was filtered off, the filtrate was concentrated under reduced pressure, and the residue was triturated with methanol. The solid product so formed in each case, was collected by filtration, washed with water, dried, and recrystallized from ethanol to afford the corresponding 1,3,4-thiadiazole derivatives 4. The products 4a–d prepared are listed below together with their physical constants.
5-[3-Acetyl-1-phenyl-1H-pyrazole-4-carbonyl]-2-benzoylimino-3-(4-methoxyphenyl)-3H-[1,3,4]thiadiazole (4a). Yellowish-red solid (81% yield), mp 160–162 °C; IR (KBr) νmax 1685, 1642, 1609 (3C=O), 1554 (C=N) cm−1; 1H-NMR (DMSO-d6) δ 2.38 (s, 3H, COCH3), 3.86 (s, 3H, OCH3), 7.02–7.48 (m, 5H, Ar-H), 7.50–7.63 (m, 5H, Ar-H) 7.87 (d, J = 8 Hz, 2H, Ar-H), 8.11 (d, J = 8 Hz, 2H, Ar-H), 9.31 (s, 1H, pyrazolyl-H); 13C-NMR (DMSO-d6) δ: 25.32, 55.48, 106.16, 114.39, 115.55, 115.77, 120.31, 126.46, 127.34, 128.42, 129.63, 132.50, 146.20, 148.56, 155.81, 155.86, 160.29, 162.02, 176.20, 190.21, 206.60. MS m/z (%) 524 (M++1, 2), 523 (M+, 2), 408 (7), 325 (2), 285 (2), 213 (10), 105 (24), 98 (100), 77 (27). Anal. Calcd. for C28H21N5O4S (523.56): C, 64.23; H, 4.04; N, 13.38. Found: C, 64.44; H, 4.17; N, 13.58%.
5-[3-Acetyl-1-phenyl-1H-pyrazole-4-carbonyl]-2-benzoylimino-3-(4-methylphenyl)-3H-[1,3,4]thiadiazole (4b). Yellowish-red solid (82% yield), mp > 300 °C; IR (KBr) νmax, 1642, 1617, 1610 (3C=O), 1559 (C=N) cm−1; 1H-NMR (DMSO-d6) δ 2.44 (s, 3H, COCH3), 2.49 (s, 3H, CH3-Ar), 7.44 (d, J = 8 Hz, 2H, Ar-H), 7.47–7.51 (m, 5H, Ar-H), 7.52 (d, J = 8 Hz, 2H, Ar-H), 7.61–8.11 (m, 5H, Ar-H), 9.32 (s, 1H, pyrazolyl-H); 13C-NMR (DMSO-d6) δ: 11.58, 21.53, 114.0, 116.35, 120.48, 124.46, 126.91, 129.32, 129.95, 131.40, 132.03, 133.19, 136.13, 137.38, 143.38, 144.17, 150.98, 160.34, 174.32, 189.95, 196.30. MS m/z (%) 508 (M++1, 9), 507 (M+, 15), 392 (11), 213 (57), 121 (11), 105 (46), 98 (100), 77 (43). Anal. Calcd. for C28H21N5O3S (507.56): C, 66.26; H, 4.17; N, 13.80. Found: C, 66.39; H, 4.34; N, 13.94%.
5-[3-Acetyl-1-phenyl-1H-pyrazole-4-carbonyl]-2-benzoylimino-3-(4-chlorophenyl)-3H-[1,3,4]thiadiazole (4c). Yellow solid (80% yield), mp 158–160 °C; IR (KBr) νmax 1689, 1638, 1610 (3C=O), 1546 (C=N) cm−1; 1H-NMR (DMSO-d6) δ 2.38 (s, 3H, COCH3), 7.63–7.69 (m, 5H, Ar-H), 7.89–8.15 (m, 5H, Ar-H) 7.43 (d, J = 8 Hz, 2H, Ar-H), 7.49 (d, J = 8 Hz, 2H, Ar-H), 9.34 (s, 1H, pyrazolyl-H); 13C-NMR (DMSO-d6) δ: 21.45, 112.64, 115.31, 119.72, 122.22, 126.15, 126.80, 127.78, 128.40, 128.81, 131.20, 132.58, 135.70, 138.47, 143.71, 151.17, 162.0, 176.06, 190.30, 206.03. MS m/z (%) 528 (M++1, 2), 527 (M+, 8), 412 (4), 312 (36), 111(6), 105 (45), 98 (100), 77 (39). Anal. Calcd. for C27H18ClN5O3S (527.98): C, 61.42; H, 3.44; N, 13.26. Found: C, 61.62; H, 3.51; N, 13.45%.
5-[3-Acetyl-1-phenyl-1H-pyrazole-4-carbonyl]-2-benzoylimino-3-(4-nitrophenyl)-3H-[1,3,4]thiadiazole (4d). Brown solid (78% yield), mp 236–238 °C; IR (KBr) νmax 1694, 1636, 1604 (3C=O), 1548 (C=N) cm−1; 1H-NMR (DMSO-d6) δ 2.40 (s, 3H, COCH3), 7.48–8.45 (m, 14H, Ar-H), 9.54 (s, 1H, pyrazole H); 13C-NMR (DMSO-d6) δ: 23.14, 113.24, 116.04, 119.56, 124.12, 126.26, 127.01, 127.71, 129.0, 129.21, 131.0, 132.69, 136.35, 138.17, 142.08, 152.11, 159.90, 172.14, 190.17, 201.37. MS m/z (%) 539 (M++1, 8), 538 (M+, 4), 423 (6), 406 (10), 356 (5), 292 (5), 105 (52), 98 (100), 77 (28). Anal. Calcd. for C27H18N6O5S (538.54): C, 60.22; H, 3.37; N, 15.61. Found: C, 60.05; H, 3.28; N, 15.39%.
3.3. Reaction of Enaminones 1a–d with Heterocyclic Amines
General procedure: To a solution of the appropriate enaminone 1a–d (5 mmol) in acetic acid (20 mL) was added the appropriate heterocyclic amine (3-aminotriazole or 2-aminobenzimidazole 5 ,mmol). The mixture was stirred at reflux for 6 h then cooled. The formed solid was separated by filtration and recrystallized from dioxane to give compounds 7a–d and 8a–d, respectively.
5-[2-Benzoylimino-3-(4-methoxyphenyl)-1,3,4-thiadiazol-5-yl]-[1,2,4]triazolo[1,5-a]pyrimidine (7a). Yellow solid (80% yield), mp 235–236 °C; IR (KBr) νmax 1604 (C=O), 1558 (C=N) cm−1; 1H-NMR (DMSO-d6) δ 3.88 (s, 3H, OCH3), 7.48–7.59 (m, 5H, Ar-H), 7.24 (d, J = 8 Hz, 2H, ArH), 7.97 (d, J = 8 Hz, 2H, Ar-H), 8.12 (d, 1H, J = 4.5 Hz, pyrimidinyl-H), 8.14 (d, 1H, J = 4.5 Hz, pyrimidinyl-H), 9.05 (s, 1H, triazolyl-H); 13C-NMR (DMSO-d6) δ: 53.48, 115.58, 121.65, 125.79, 126.29, 128.80, 129.23, 129.53, 130.52, 130.98, 131.19, 143.87, 144.99, 147.10, 151.72, 159.83, 175.22. MS m/z (%) 430 (M++1, 6), 429 (M+, 40), 352 (3), 306 (26), 179 (2), 121 (43), 105 (100), 97 (8), 77 (66). Anal. Calcd. for C21H15N7O2S (429.46): C, 58.73; H, 3.52; N, 22.83. Found: C, 58.53; H, 3.38; N, 22.64%.
5-[2-Benzoylimino-3-(4-methylphenyl)-1,3,4-thiadiazol-5-yl]-[1,2,4]triazolo[1,5-a]pyrimidine (7b). Yellow solid (79% yield), mp > 300 °C; IR (KBr) νmax 1602 (C=O), 1540 (C=N) cm−1; 1H-NMR (DMSO-d6) δ 2.46 (s, 3H, CH3), 7.50–7.61 (m, 5H, ArH), 8.13 (d, J = 8 Hz, 2H, ArH), 8.16 (d, J = 8 Hz, 2H, ArH), 7.95 (d, J = 4.5 Hz, 1H, pyrimidinyl-H), 8.97 (s, 1H, triazolyl-H), 9.05 (d, J = 4.5 Hz, 1H, pyrimidinyl-H); 13C-NMR (DMSO-d6) δ: 18.27, 114.01, 120.24, 123.27, 127.06, 128.18, 129.05, 130.47, 130.42, 132.48, 134.35, 142.54, 144.84, 148.21, 150.70, 158.16, 172.02. MS m/z (%) 414 (M++1, 3), 413 (M+, 11), 306 (10), 105 (100), 98 (2), 77 (62). Anal. Calcd. for C21H15N7OS (413.46): C, 61.00; H, 3.66; N, 23.71. Found: C, 61.25; H, 3.47; N, 23.51%.
5-[2-Benzoylimino-3-(4-chlorophenyl)-1,3,4-thiadiazol-5-yl]-[1,2,4]triazolo[1,5-a]pyrimidine (7c). Pale brown solid (76% yield), mp > 300 °C; IR (KBr) νmax 1610 (C=O), 1545 (C=N) cm−1; 1H-NMR (DMSO-d6) δ 7.38 (d, J = 8 Hz, 2H, ArH), 7.49–7.96 (m, 5H, ArH), 8.12 (d, J = 8 Hz, 2H, ArH), 8.24 (d, J = 4.5 Hz, 1H, pyrimidinyl-H), 8.45 (d, J = 4.5 Hz, 1H, pyrimidinyl-H), 8.61 (s, 1H, triazolyl-H); 13C-NMR (DMSO-d6) δ: 114.21, 115.16, 118.27, 120.03, 122.10, 124.24, 126.57, 128.60, 135.28, 137.67, 142.11, 143.95, 147.09, 150.79, 155.20, 171.11. MS m/z (%) 435 (M++2, 3), 434 (M++1, 4), 433 (M+, 9), 356 (3), 306 (10), 105 (100), 98 (66), 77 (80). Anal. Calcd. for C20H12ClN7OS (433.87): C, 55.36; H, 2.79; N, 22.60. Found: C, 55.26; H, 2.64; N, 22.49%.
5-(2-Benzoylimino-3-(4-nitrophenyl)-1,3,4-thiadiazol-5-yl)-[1,2,4]triazolo[1,5-a]pyrimidine (7d). Brown solid (79% yield), mp > 300 °C; IR (KBr) νmax 1612 (C=O), 1540 (C=N) cm−1; 1H-NMR (DMSO-d6) δ 7.53–7.64 (m, 5H, ArH), 8.26 (d, J = 8 Hz, 2H, ArH), 8.52 (d, J = 8 Hz, 2H, ArH), 8.56 (d, J = 4.5 Hz, 1H, pyrimidinyl-H), 8.59 (s, 1H, triazolyl-H), 9.00 (d, J = 4.5 Hz, 1H, pyrimidinyl-H); 13C-NMR (DMSO-d6) δ: the sample precipitated. MS m/z (%) 444 (M+, 17), 415 (3), 367 (4), 306 (4), 299 (2), 121 (3), 105 (100), 90 (4), 77 (42). Anal. Calcd. for C20H12N8O3S (444.43): C, 54.05; H, 2.72; N, 25.21. Found: C, 54.18; H, 2.57; N, 25.05%.
4-[2-Benzoylimino-3-(4-methoxyphenyl)-1,3,4-thiadiazol-5-yl]-benzimidazo[1,2-a]pyrimidine (8a). Yellow solid (78% yield), mp 265–266 °C; IR (KBr) νmax 1642 (C=O), 1604 (C=N) cm−1; 1H-NMR (DMSO-d6) δ 3.88 (s, 3H, OCH3), 7.17–7.59 (m, 4H, Ar-H), 7.85 (d, J = 7 Hz, 2H, Ar-H), 7.91–8.09 (m, 5H, Ar-H), 8.10 (d, J = 7 Hz, 2H, Ar-H), 8.14 (d, J = 4.5 Hz, 1H, pyrimidinyl-H), 9.68 (d, J = 4.5 Hz, 1H, pyrimidinyl-H); 13C-NMR (DMSO-d6) δ: 52.10, 112.70, 113.33, 115.37, 121.57, 121.77, 122.91, 125.85, 126.38, 126.52, 130.67, 133.72, 134.74, 135.08, 135.48, 137.24, 144.36, 148.74, 149.50, 150.80, 157.13, 169.26. MS m/z (%) 479 (M++1, 27), 478 (M+, 29), 355 (25), 194 (12), 121(10), 105 (83), 77 (98). Anal. Calcd. for C26H18N6O2S (478.53): C, 65.26; H, 3.79; N, 17.56. Found: C, 65.08; H, 3.56; N, 17.33%.
4-[2-Benzoylimino-3-(4-methylphenyl)-1,3,4-thiadiazol-5-yl]-benzimidazo[1,2-a]pyrimidine (8b). Orange solid (73% yield), mp 270 °C; IR (KBr) νmax 1610 (C=O), 1570 (C=N) cm−1; 1H-NMR (DMSO-d6) δ 2.35 (s, 3H, CH3), 6.89–7.35 (m, 4H, Ar-H), 7.45 (d, J = 8 Hz, 2H, Ar-H), 7.74–8.01 (m, 5H, Ar-H), 8.0 (d, J = 8 Hz, 2H, Ar-H), 8.08 (d, J = 4.5 Hz, 1H, pyrimidinyl-H), 9.24 (d, J = 4.5 Hz, 1H, pyrimidinyl-H); 13C-NMR (DMSO-d6) δ: 14.15, 115.63, 116.0, 121.22, 122.77, 125.49, 126.02, 128.01, 128.51, 128.59, 129.27, 129.82, 130.04, 131.50, 134.74, 136.68, 139.23, 140.82, 142.08, 152.37, 157.90, 168.95. MS m/z (%) 462 (M+, 18), 385 (9), 355 (7), 285 (2), 195 (23), 105 (100), 77 (53). Anal. Calcd. for C26H18N6OS (462.53): C, 67.52; H, 3.92; N, 18.17. Found: C, 67.40; H, 3.84; N, 18.27%.
4-[2-Benzoylimino-3-(4-chlorophenyl)-1,3,4-thiadiazol-5-yl]-benzimidazo[1,2-a]pyrimidine (8c). Dark-orange solid (74% yield), mp > 300 °C; IR (KBr) νmax 1635 (C=O), 1556 (C=N) cm−1; 1H-NMR (DMSO-d6) δ 7.47–7.64 (m, 4H, ArH), 7.85–8.15 (m, 5H, ArH), 7.71–7.80 (m, 4H, ArH), 8.37 (d, J = 4.5 Hz, 1H, pyrimidinyl-H), 9.71 (d, J = 4.5 Hz, 1H, pyrimidinyl-H); 13C-NMR (DMSO-d6) δ: 111.0, 114.68, 117.21, 123.72, 124.26, 127.23, 128.83, 130.55, 134.84, 135.41, 136.09, 137.50, 139.26, 145.20, 145.54, 147.70, 148.08, 149.24, 158.71, 159.67, 169.62. MS m/z (%) 484 (M++2, 13), 482 (M+, 32), 397 (10), 395 (8), 194 (22), 127 (18), 105 (100), 90 (49), 77 (71). Anal. Calcd. for C25H15ClN6OS (482.95): C, 62.17; H, 3.13; N, 17.40. Found: C, 62.30; H, 3.06; N, 17.30%.
4-[2-Benzoylimino-3-(4-nitrophenyl)-1,3,4-thiadiazol-5-yl]-benzimidazo[1,2-a]pyrimidine (8d). Brown solid (82% yield), mp > 300 °C; IR (KBr) νmax 1625 (C=O), 1525 (C=N) cm−1; 1H-NMR (DMSO-d6) δ 7.51–7.61(m, 5H, ArH), 7.86–7.95 (m, 4H, Ar-H), 8.15 (d, J = 5 Hz, 1H, pyrimidinyl-H) 8.36–8.54 (m, 4H, ArH), 9.69 (d, J = 5 Hz, 1H, pyrimidinyl-H); 13C-NMR (DMSO-d6) δ: the sample precipitated. MS m/z (%) 493 (M+, 1), 340 (2), 122 (2), 105 (45), 98 (100), 77 (44), 55 (11). Anal. Calcd. for C25H15N7O3S (493.50): C, 60.84; H, 3.06; N, 19.87. Found: C, 60.65; H, 3.21; N, 19.70%.
3.4. Reaction of Enaminones 1a–d with Hydrazine Hydrate
A mixture of the appropriate enaminones 1a–d (5 mmol) and hydrazine hydrate (5 mL) in absolute ethanol was stirred at reflux for 10 h and cooled. The solid formed was separated by filtration and recrystallized from ethanol/dioxane mixture to give 9a–d.
N-[3-(4-Methoxyphenyl)-5-(1H-pyrazol-3-yl)-3H-[1,3,4]thiadiazol-2-ylidene]-benzamide (9a). White solid (83% yield), mp 200–202 °C; IR (KBr) νmax 3297 (NH), 1611 (C=O), 1549 (C=N) cm−1; 1H-NMR (DMSO-d6) δ 3.69 (s, 3H, OCH3), 7.08–7.11 (m, 9H, Ar-H), 7.88 (d, J = 8 Hz, 1H, pyrazolyl-H), 7.95 (d, J = 8 Hz, 1H, pyrazolyl-H), 9.0 (s, 1H, NH); 13C-NMR (DMSO-d6) δ: 56.12, 114.31, 116.09, 119.11, 121.64, 125.32, 125.32, 128.08, 128.47, 129.10, 136.20, 142.62, 154.03, 160.12, 170.13. MS m/z (%) 377 (M+, 2), 333 (1), 288 (38), 266 (100), 251 (66), 179 (3), 149 (8), 133 (12), 121 (19), 104 (43), 98 (2), 77 (34). Anal. Calcd. for C19H15N5O2S (377.42): C, 60.46; H, 4.01; N, 18.56. Found: C, 60.49; H, 4.11; N, 18.29%.
N-[3-(4-Methylphenyl)-5-(1H-pyrazol-3-yl)-3H-[1,3,4]thiadiazol-2-ylidene]-benzamide (9b). White solid, (86% yield), mp 220–222 °C; IR (KBr) νmax 3300 (NH), 1609 (C=O), 1545 (C=N) cm−1; 1H-NMR (DMSO-d6) δ 2.38 (s, 3H, CH3), 7.04–7.06 (m, 5H, Ar-H), 7.34–7.37 (m, 4H, Ar-H) 7.46 (d, J = 8 Hz, 1H, pyrazolyl-H), 7.88 (d, J = 8 Hz, 1H, pyrazolyl-H), 9.15 (s, 1H, NH); 13C-NMR (DMSO-d6) δ: 15.62, 114.28, 117.11, 120.0, 121.45, 124.13, 126.27, 128.99, 129.27, 130.58, 135.24, 144.17, 152.07, 158.08, 171.22. MS m/z (%) 361 (M+, 2), 272 (3), 250 (61), 225 (4), 146 (5), 104 (24), 91 (20), 77 (16), 65 (14), 46 (100). Anal. Calcd. for C19H15N5OS (361.42): C, 63.14; H, 4.18; N, 19.38. Found: C, 63.0; H, 4.08; N, 19.09%.
N-[3-(4-Chlorophenyl)-5-(1H-pyrazol-3-yl)-3H-[1,3,4]thiadiazol-2-ylidene]-benzamide (9c). Pale yellow solid (78% yield), mp 278–280 °C; IR (KBr) νmax 3315 (NH), 1607(C=O), 1546 (C=N) cm−1; 1H-NMR (DMSO-d6) δ 7.05–7.67 (m, 9H, Ar-H), 7.74 (d, J = 8 Hz, 1H, pyrazolyl-H), 8.28 (d, J = 8 Hz, 1H, pyrazolyl-H), 10.22 (s, 1H, NH); 13C-NMR (DMSO-d6) δ: the sample precipitated. MS m/z (%) 383 (M++2, 2), 382 (M+1, 1), 381(M+, 5), 272 (22), 271 (20), 270 (58), 192 (21), 105 (21), 111(52), 77 (100). Anal. Calcd. for C18H12ClN5OS (381.84): C, 56.62; H, 3.17; N, 18.34. Found: C, 56.48; H, 3.04; N, 18.25%.
N-[3-(4-Nitrophenyl)-5-(1H-pyrazol-3-yl)-3H-[1,3,4]thiadiazol-2-ylidene]-benzamide (9d). Brown solid (81% yield), mp 280–282 °C; IR (KBr) νmax 3302 (NH), 1605 (C=O), 1551 (C=N) cm−1; 1H-NMR (DMSO-d6) δ 7.51–7.58 (m, 5H, Ar-H), 7.73–7.77 (m, 4H, Ar-H) 7.86 (d, J = 8 Hz, 1H, pyrazolyl-H), 8.19 (d, J = 8 Hz, 1H, pyrazolyl-H), 10.34 (s, 1H, NH); 13C-NMR (DMSO-d6) δ: the sample precipitated. MS m/z (%) 392 (M+, 20), 298 (7), 297 (5), 295 (5), 281 (100), 251 (67), 235 (11), 149 (21), 132 (44), 118 (24), 104 (78), 90 (25), 77 (71). Anal. Calcd. for C18H12N6O3S (392.39): C, 55.10; H, 3.08; N, 21.42. Found: C, 55.0; H, 3.21; N, 21.20%.
3.5. Microbiological Studies
3.5.1. Agar Diffusion Well Method to Determine the Antimicrobial Activity
The microorganism inoculums were uniformly spread using sterile cotton swabs on a sterile Petri dish containing malt extract agar (for fungi) and nutrient agar (for bacteria). Each sample (100 μL) was added to each well (6 mm diameter holes cut in the agar gel, 20 mm apart from one another). The systems were incubated for 24–48 h at 37 °C (for bacteria) and at 28 °C (for fungi). After incubation, microorganism growth was observed. Inhibition of the bacterial and fungal growth were measured in mm. Tests were performed in triplicate [22].
3.5.2. Minimal Inhibitory Concentration (MIC) Measurement
The bacteriostatic activity of the active compounds (having inhibition zones (IZ) ≥ 16 mm) was then evaluated using the two fold serial dilution technique. Two fold serial dilutions of the tested compounds solutions were prepared using the proper nutrient broth. The final concentration of the solutions was 132; 66; 33; 16.5; and 8.25 mg/mL. The tubes were then inoculated with the test organisms, grown in their suitable broth at 37 °C for 24 h for bacteria (about 1 × 108 CFU/mL), each 5 mL received 0.1 mL of the above inoculum and incubated at 37 °C for 24 h. The lowest concentration showing no growth was taken as the minimum inhibitory concentration (MIC).
4. Conclusions
New series of 1,3,4-thiadiazoles incorporating pyrazole, triazolopyrimidine and benzimidazo-pyrimidines were synthesized via reaction of 1,3,4-thiadiazolenaminones with hydrazonoyl chloride and nitrogen nucleophiles. The structure of the new products was established based on elemental and spectral analysis. The antimicrobial activity results of the products indicated that some of the newly synthesized compounds showed promising activity.
References
- Svete, J. Utilisation of chiral enaminones and azomethine imines in the synthesis of functionalised pyrazoles. ARKIVOC 2006, vii, 35–56. [Google Scholar]
- Abushanab, F.A.; Sherif, S.M.; Mousa, S.A.S. Dimethylformamide dimethyl acetal as a building block in heterocyclic synthesis. J. Heterocycl. Chem. 2009, 45, 801–827. [Google Scholar]
- Shawali, A.S.; Farghaly, T.A.; Al-Dahshoury, A.R. Synthesis, reactions and antitumor activity of new β-aminovinyl 3- pyrazolyl ketones. ARKIVOC 2009, xiv, 88–99. [Google Scholar]
- Palmieri, G.; Cimarelli, C. Chemo- and stereoselective reduction of enaminones for the preparation of biologically active compounds. ARKIVOC 2006, vi, 104–126. [Google Scholar]
- Al-Mousawi, S.; John, E.; Al-Kandery, N. Studies with enaminones: Synthesis and chemical reactivity of 2-(4-dimethylamino-2-oxobut-3-enyl)-isoindole-1,3-dione and of 4-(4-dimethyl-amino-2-oxobut-3-enyloxy)-2H-phthalazin-1-one. J. Heterocycl. Chem. 2004, 41, 381–385. [Google Scholar] [CrossRef]
- Li, Z.; Wang, X.; Da, Y. Synthesis of 2-(5-(2-chlorophenyl)-2-furoylamino)-5-aryloxymethyl-1,3,4-thiadiazoles under microwave irradiation. Synth. Commun. 2001, 31, 1829–1836. [Google Scholar] [CrossRef]
- Supuran, C.T.; Briganti, F.; Tilli, S.; Chegwidden, W.R.; Scozzafava, A. Carbonic anhydrase inhibitors: Sulfonamides as antitumor agents. Bioorg. Med. Chem. 2001, 9, 703–714. [Google Scholar] [CrossRef]
- Liu, X.; Shi, Y.; Ma, Y.; Zhang, C.; Dong, W.; Pan, L.; Wang, B.; Li, Z. Synthesis, antifungal activities and 3D-QSAR study of N-(5-substituted-1,3,4-thiadiazol-2-yl)cyclopropane-carboxamides. Eur. J. Med. Chem. 2009, 44, 2782–2786. [Google Scholar] [CrossRef]
- Deminbas, N.; Karaoglu, S.A.; Demirbas, A.; Sancak, K. Synthesis and antimicrobial activities of some new 1-(5-phenylamino-[1,3,4]thiadiazol-2-yl)methyl-5-oxo-[1,2,4]triazole and 1-(4-phenyl-5-thioxo-[1,2,4]triazol-3-yl)methyl-5-oxo- [1,2,4]triazole derivatives. Eur. J. Med. Chem. 2004, 39, 793–804. [Google Scholar] [CrossRef]
- Holla, B.S.; Poorjary, K.N.; Rao, B.S.; Shivananda, M.K. New bis-aminomercaptotriazoles and bis-triazolothiadiazoles as possible anticancer agents. Eur. J. Med. Chem. 2002, 37, 511–517. [Google Scholar] [CrossRef]
- Farghaly, T.A.; Abdallah, M.A.; Muhammad, Z.A. Synthesis and evaluation of the anti-microbial activity of new heterocycles containing the 1,3,4-thiadiazole moiety. Molecules 2011, 16, 10420–10432. [Google Scholar] [CrossRef]
- Farghaly, T.A.; Abdalla, M.M. Synthesis, tautomerism, antimicrobial, anti-HCV, anti-SSPE, antioxidant and antitumor activities of arylazobenzosuberones. Bioorg. Med. Chem. 2009, 17, 8012–8019. [Google Scholar] [CrossRef]
- Abdel Hafez, N.A.; Farghaly, T.A.; Al-Omar, M.A.; Abdalla, M.M. Synthesis of bioactive polyheterocyclic ring systems as 5α-reductase inhibitors. Eur. J. Med. Chem. 2010, 45, 4838–4844. [Google Scholar] [CrossRef]
- Riyadh, S.M.; Farghaly, T.A.; Abdallah, M.A.; Abdalla, M.M.; Abd El-Aziz, M.R. New pyrazoles incorporating pyrazolylpyrazole moiety: Synthesis, anti-HCV and antitumor activity. Eur. J. Med. Chem. 2010, 45, 1042–1050. [Google Scholar] [CrossRef]
- Farghaly, T.A.; Abdel Hafez, N.A.; Ragab, E.A.; Awad, H.M.; Abdalla, M.M. Synthesis, anti-HCV, antioxidant, and peroxynitrite inhibitory activity of fused benzosuberone derivatives. Eur. J. Med. Chem. 2010, 45, 492–500. [Google Scholar] [CrossRef]
- Farghaly, T.A.; Gomha, S.M.; Abbas, E.M.; Abdalla, M.M. Hydrazonoyl halides as precursors for new fused heterocycles of 5α-reductase inhibitors. Archiv der Pharmazie 2012, 345, 117–122. [Google Scholar] [CrossRef]
- Negri, G.; Kascheres, C.; Kascheres, A.J. Recent development in preparation reactivity and biological activity of enaminoketones and enaminothiones and their utilization to prepare heterocyclic compounds. J. Heterocycl. Chem. 2004, 41, 461–491. [Google Scholar] [CrossRef]
- Shawali, A.S.; Farghaly, T.A.; Al-Dahshoury, A.R. Efficient synthesis of functionalized 3-(hetaryl)pyrazoles. ARKIVOC 2010, ix, 19–30. [Google Scholar]
- Behbehani, H.; Ibrahim, H.M. 4-Thiazolidinones in heterocyclic synthesis: synthesis of novel enaminones, azolopyrimidines and 2-arylimino-5-arylidene-4-thiazolidinones. Molecules 2012, 17, 6362–6385. [Google Scholar] [CrossRef]
- Ho, Y.W. 5-(1-Pyrrolyl)-2-phenylthieno[2,3-d]pyrimidine as building block in heterocyclic synthesis. J. Chin. Chem. Soc. 2007, 54, 1075–1085. [Google Scholar]
- Wen, L.-R.; Wang, S.-W.; Li, M.; Yang, H.-Z. Reaction of enaminones with aminopyrazoles: Synthesis, structures and bioactivities of 7-aryl-3-cyano-2-substituted pyrazolo[1,5-a]pyrimidines. Chin. J. Chem. 2005, 23, 1231–1235. [Google Scholar] [CrossRef]
- Smania, J.A.; Monache, F.D.; Smania, E.F.A.; Cuneo, R.S. Antibacterial activity of steroidal compounds isolated from Ganoderma applanatum (Pers.) Pat. (Aphyllophoromycetideae) fruit body. Int. J. Med. Mushrooms 1999, 1, 325–330. [Google Scholar] [CrossRef]
- Sample Availability: Samples of the compounds 4, 7, 8 and 9 are available from the authors.
© 2012 by the authors; licensee MDPI, Basel, Switzerland. This article is an open-access article distributed under the terms and conditions of the Creative Commons Attribution license (http://creativecommons.org/licenses/by/3.0/).