Abstract
An efficient synthesis of enantiomerically-pure β-aryl-γ-lactams is described. The principal feature of this synthesis is the practical resolution of β-aryl-γ-lactams with (S)-Naproxen. The procedure is based on the Michael addition of nitromethane to benzylidenemalonates, which was easily obtained, followed by the reduction of the γ-nitroester in the presence of Raney nickel and the subsequent saponification/decarboxylation reaction. The utility of this methodology was highlighted by the preparation of enantiomerically-pure (R)- and (S)-Baclofen hydrochloride.
1. Introduction
γ-lactams have attracted considerable attention due to their fascinating properties and potential applications in many fields, especially in organic synthesis and medicinal chemistry [1,2,3]. In particular, enantiomerically-pure β-aryl-γ-lactams, such as the (R)-Rolipram 1, considered as a cyclic derivative of GABA, which has shown antipsychotic [4,5,6], antidepressive [7,8], anti-inflammatory, immunosuppressive, and antitumor activity. Additionally, the β-aryl-γ-lactams 2a and 2b are precursors for the synthesis of Phenibut 3 and Baclofen 4, two β-aryl-γ-amino butyric acids (GABA analogues), which are important biological active compounds Figure 1. Phenibut is used as a psychotropic drug, anticonvulsant, antidepressant, and for its anti-neuropathic pain properties [9,10], whereas Baclofen is a GABAB receptor agonist and is marketed for the treatment of multiple neurological disorders, and acts as a muscle relaxant [11]. The biological activity of these compounds depends on its absolute configuration, and the (R)-enantiomer is much more active than the (S)-enantiomer [12,13,14,15]. Additionally, the β-aryl-γ-lactams are also important key intermediates for the synthesis of more complex compounds [1,16].
Due to the utility of β-aryl-γ-lactams as key synthetic intermediates for the synthesis of γ-amino acids [17] in conjunction with their biological activity, several methods have been reported for the synthesis of γ-lactams [18,19,20,21,22]; however, it is yet highly desirable to develop convenient and milder protocols for its preparation, especially with various substitution patterns and enantiomerically purity. In this paper, we report an efficient synthesis of a series of β-aryl-γ-lactams and its resolution by derivatization with (S)-Naproxen. The utility of this methodology was highlighted by the preparation of enantiomerically-enriched (R)- and (S)-Baclofen hydrochloride.
Figure 1.
Structures of γ-lactams and GABA derivatives used as pharmaceuticals.
Figure 1.
Structures of γ-lactams and GABA derivatives used as pharmaceuticals.

2. Results and Discussion
For the synthesis of the target β-aryl-γ-lactams (2a–f), we first carried out the Knoevenagel reaction of diethyl or methyl malonate with different aromatic aldehydes in toluene at reflux in the presence of a catalytic amount of piperidine, leading to the expected arylidenemalonates (5a–f) in 80% to 92% yield. The reaction proceeds efficiently with electron-rich and electron-withdrawing aromatic substituents. The Michael addition of nitromethane to arylidenemalonates (5a–f) in the presence of K2CO3 as a base in toluene at room temperature, furnished the γ-nitro derivatives 6a–f in 60% to 76% yield (Scheme 1) [23,24].
Scheme 1.
Preparation of nitro derivatives (6a–f).
Scheme 1.
Preparation of nitro derivatives (6a–f).

Catalytic hydrogenation of the nitro derivatives (6a–f) in the presence of catalytic amounts of Raney nickel at 60 psi proceeds efficiently to produce the racemic γ-lactams (7a–f) in 75% to 95% yield (Scheme 2).
Scheme 2.
Catalytic reduction of γ-nitroesters 6a–f.
Scheme 2.
Catalytic reduction of γ-nitroesters 6a–f.

The racemic γ-lactams with trans-stereochemistry were obtained as major product, according to the coupling constants (J = 10 Hz) for the hydrogens H2 and H3. Additionally, suitable crystals for the γ-lactams 7c and 7e were obtained, which were subjected to X-ray analysis (Supplementary Materials) [25], in which it has been confirmed that the orientation of the hydrogens in C7 and C10 are in a trans relationship (Figure 2).
Figure 2.
X-ray structures of γ-lactams 7c (a) and 7e (b).
Figure 2.
X-ray structures of γ-lactams 7c (a) and 7e (b).

In the next step we carried out the hydrolysis and decarboxylation of the ester moiety, by treatment of (7a–f) with 1 N NaOH in ethanol followed by the protonation, obtaining the carboxylic acids derivatives (8a–f) in 53% to 100% yield which, by heating in toluene, afforded the β-aryl-γ-lactams (2a–f) in excellent yield (Scheme 3).
Scheme 3.
Preparation of racemic γ-lactams (2a–f).
Scheme 3.
Preparation of racemic γ-lactams (2a–f).

With the racemic β-aryl-γ-lactams (2a–f) in hand, the next step was to explore the scope of (S)-Naproxen as a resolution agent [26,27,28,29,30]. For this purpose, and after several attempts using Et3N/DMAP as base, we found that the reaction of the racemic β-phenyl-γ-lactam (2a) with lithium diisopropylamide (LDA) in dry tetrahydrofuran at −78 °C, followed by the addition of (S)-Naproxen acyl chloride 9 freshly prepared after reaction of (S)-Naproxen with oxalyl chloride, produced the imides (R,S)-10a and (S,S)-10a as a diastereoisomeric mixture which, by careful separation by column chromatography, afforded the diastereoisomerically pure imides (R,S)-10a as minor polar and (S,S)-10a as more polar in 26% and 27% yield, respectively. Under identical conditions, the resolution of the β-aryl-γ-lactams (2c–d) with 9, afforded the diastereoisomerically pure imides (R,S)-10b–d and (S,S)-10b–d in good yields (Scheme 4).
Scheme 4.
Resolution of γ-lactams 2a–d with (S)-Naproxen.
Scheme 4.
Resolution of γ-lactams 2a–d with (S)-Naproxen.

Subsequently removing the chiral agent in the diastereoisomerically-pure imides (R,S)-10a–d and (S,S)-10a–d was carried out using 1 N potassium hydroxide in THF to obtain the enantiomerically-pure β-aryl-γ-lactams (R)-2a–d and (S)-2a–d in excellent yield (Scheme 5). The absolute configuration of γ-lactams (R)-2a–b [(R)-2a: − 19.21; (R)-2b: − 24.2] and (S)-2a: + 19.78; (S)-2b: + 13.53 was assigned by comparing the sign of optical rotation with those reported in the literature [31,32,33,34,35]. The other β-aryl-γ-lactams showed similar characteristics in NMR and the configuration was also assigned by comparing the sign of optical rotation.
Scheme 5.
Preparation of enantiomerically-pure β-aryl-γ-lactams (R)- and (S)-2a–d.
Scheme 5.
Preparation of enantiomerically-pure β-aryl-γ-lactams (R)- and (S)-2a–d.

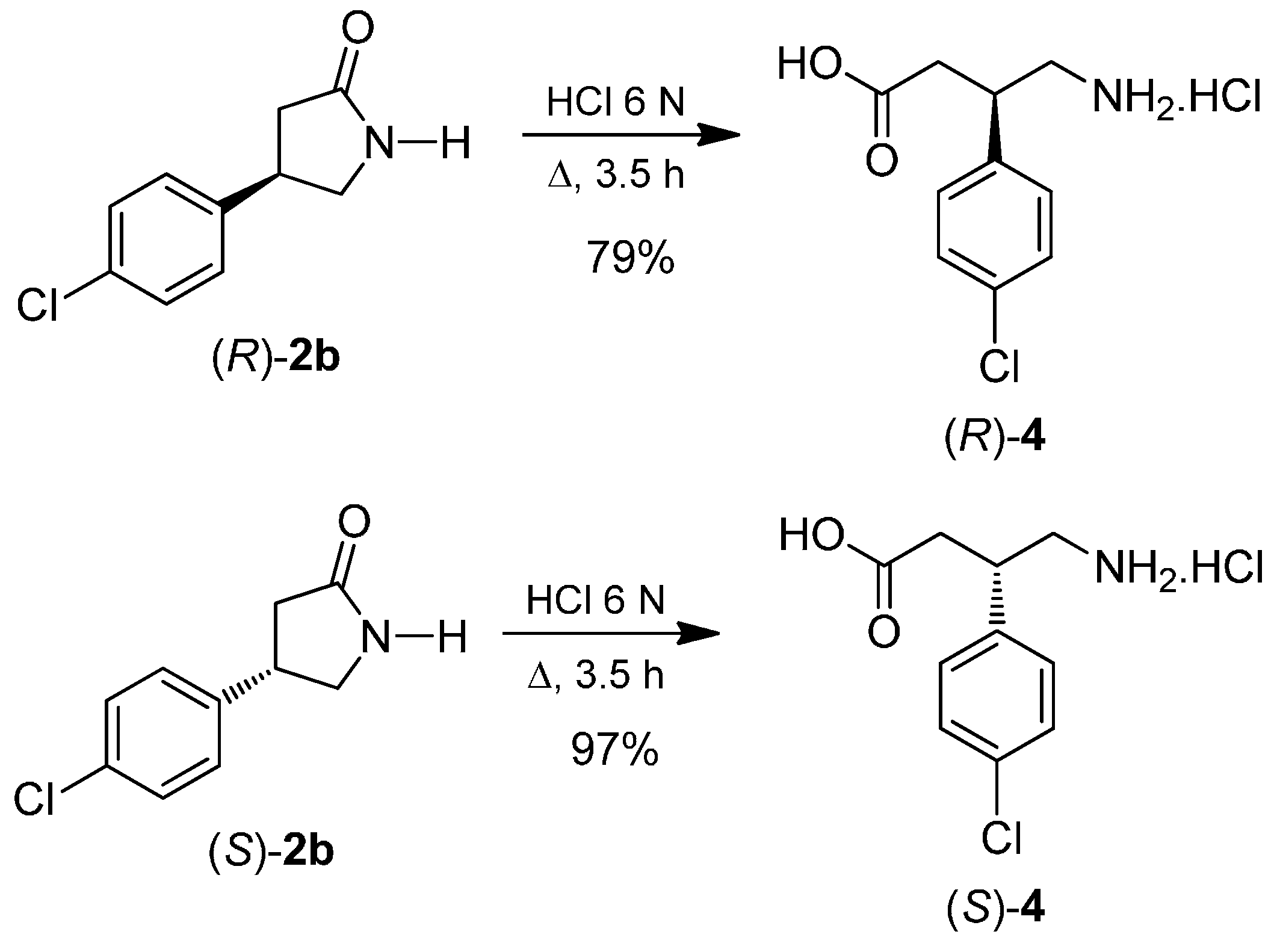
Finally, the hydrolysis of the β-chlorophenyl-γ-lactam (R)-2b with 6N HCl, gave the (R)-baclofen hydrochloride 4 in 79% yield. Under identical conditions, the β-chlorophenyl-γ-lactam (S)-2b was transformed into (S)-Baclofen hydrochloride 4 in 97% yield (Scheme 6).
Scheme 6.
Preparation of (R)- and (S)-Baclofen hydrochloride 4.
Scheme 6.
Preparation of (R)- and (S)-Baclofen hydrochloride 4.

3. Materials and Methods
3.1. General Comments
Reagents were obtained from commercial suppliers and were used without further purification. Melting points were determined in a Fischer Johns apparatus (Pittsburgh, PA, USA) and are uncorrected. NMR spectra were recorded on Varian System instrument (Palo Alto, CA, USA), 400 MHz for 1H and 100 MHz for 13C) and Varian Gemini 200 MHz, 200 MHz for 1H and 50 MHz for 13C). The spectra were obtained in CD3OD and CDCl3 solution using TMS as an internal reference. High-resolution CI+ and FAB+ mass experiments were made in a JEOL HRMStation JHRMS-700 (Akishima, Tokyo, Japan). X-ray diffraction studies were performed on a Bruker-APEX diffractometer (Madison, WI, USA) with a CCD area detector at 100 K (λMo Kα = 0.71073 Å, monochromator:graphite). Specific rotations were measured in a Perkin-Elmer 341 polarimeter (Shelton, CT, USA) at room temperature and λ = 589 nm. The purification of all compounds was carried out by column chromatography using (silica gel 70-230). The dichloromethane was refluxed on phosphorous pentoxide and THF with sodium and benzophenone.
3.2. General Procedure for the Preparation of Arylidenemalonates 5a–f
A mixture of dialkyl malonate (1 eq.), toluene, aryl aldehyde (1 eq.), and 10 drops of piperidine, was refluxed for 48 h. Then, the reaction mixture was acidified to pH = 6–7 by addition of 1M HCl, and the solvent was removed under reduced pressure. The crude product was purified by column chromatography. 1H- and 13C-NMR data for the compounds 5a,d [36], 5b,c [37], are identical with those described in the literature.
3.2.1. Diethyl 2-(2-Chlorobenzylidene)malonate 5e
According to the general procedure, diethyl malonate (3.0 g, 18.7 mmol), toluene (35 mL), 2-chlorobenzaldehyde (2.63 g, 18.7 mmol), and piperidine were reacted. The crude product was purified by column chromatography using hexane/AcOEt (9:1) as eluent to afford 5e (4.2 g, 80%) as a slightly yellow liquid. IR (cm−1): 2983, 1724, 1632, 1469, 1248, 1200, 756. 1H-NMR (CDCl3, 400 MHz,) δ: 1.18 (t, J = 7.2 Hz, 3H), 1.34 (t, J = 7.2 Hz, 3H), 4.22 (q, J = 7.2 Hz, 2H), 4.33 (q, J = 7.2 Hz, 2H), 7.21–7.33 (m, 1H), 7.29–7.33 (m, 1H), 7.41–7.45 (m, 2H), 8.02 (s, 1H). 13C-NMR (CDCl3, 100 MHz) δ: 14.0, 14.3, 61.8, 61.9, 127.0, 129.1, 129.5, 130.0, 131.3, 132.3, 134.9, 139.4, 163.9, 165.9. MS (CI+): m/z 283 (10%), 237 (100%), 219 (12%), 173 (30%). HRMS (CI): calculated for C14H16ClO4 [M+H]+, m/z 283.0737; found for [M + H]+, m/z 283.0712.
3.2.2. Diethyl 2-(2-Nitrobenzyliden)malonate 5f
According to the general procedure, diethyl malonate (3.0 g, 18.7 mmol), toluene (35 mL), 2-nitrobenzaldehyde (2.82 g, 18.7 mmol), and piperidine were reacted. The crude product was purified by column chromatography on using hexane/AcOEt (8:2) as eluent to afford 5f (4.4 g, 80%), as a white crystalline solid, m.p.: 64–66 °C. IR (cm−1): 2989, 1714, 1626, 1477, 1259, 1201, 757. 1H-NMR (CDCl3, 400 MHz) δ: 1.32 (t, J = 7.2 Hz, 3H), 1.35 (t, J = 7.2 Hz, 3H), 4.36 (m, 4H), 7.57–7.61 (m, 1H), 7.75–7.80 (m, 2H), 8.2–8.26 (m, 1H), 8.34 (s, 1H). 13C-NMR (CDCl3, 100 MHz) δ: 14.1, 14.3, 62.3, 62.4, 123.9, 125.0, 129.6, 130.1, 134.8, 135.3, 139.2, 148.6, 163.6, 165.9. MS (FAB+): m/z 294 (75%), 248 (100%), 232 (13%), 220 (<10%), 202 (<10%), 176 (<10%), 154 (15%), 136 (20%), 107 (<10%), 89 (10%), 77 (<10%). HRMS (FAB): calculated for C14H16NO6 [M + H]+, m/z 294.0978; found for [M + H]+, m/z 294.0959.
3.3. General Procedure for the Preparation of Nitroderivatives 6a–f
To a solution of arylidenemalonates 5a–f in toluene (20 mL) was added nitromethane (5.0 eq.) and potassium carbonate (1.7 eq.). The reaction mixture was stirred at room temperature for 48 h, and then the solvent was evaporated under reduced pressure. The crude product was treated with water (20 mL) and extracted with AcOEt (4 × 25 mL). The organic layer was dried over Na2SO4, filtered, evaporated, and purified by column chromatography. 1H- and 13C-NMR data for the compounds 6a,b [38], 6c,d [39], 6e,f [23,40], are identical with those described in the literature.
3.4. General Procedure for the Synthesis of the γ-Lactams 7a–f
A mixture of 6a–f in MeOH (15 mL) and a catalytic amount of Ra-Ni was hydrogenated at room temperature for 2.5 h at 60 psi. The catalyst was filtered off in vacuum through Celite and the filtrate was evaporated under reduced pressure. The crude product was purified by column chromatography or by recrystallization. 1H- and 13C-NMR data for the compound 7a was identical with those described in the literature [41].
3.4.1. Ethyl 2-Oxo-4-(4-chlorophenyl)-pyrrolidine-3-carboxylate (±)-7b
Following the general procedure, 6b (0.9 g, 2.8 mmol) was treated with Ra-Ni in MeOH. The crude product was recrystallized (hot EtOH) to give (±)-7b as a white solid (0.54 g, 75%), m.p.: 131–133 °C. IR (cm−1): 3193, 3094, 2867, 1740, 1701, 1434, 1198, 1161, 821. 1H-NMR (CDCl3, 400 MHz) δ: 3.40 (ddd, J = 10.0, 8.4, 6.0 Hz, 1H), 3.54 (d, J = 10 Hz, 1H), 3.78–3.83 (m, 1H), 3.78 (s, 3H), 4.09 (dd, J = 18.0, 8.4 Hz, 1H), 7.20 (d, J = 8.8, 2H), 7.32 (d, J = 8.0, 2H), 7.43 (bs, 1H). 13C-NMR (CDCl3, 100 MHz) δ: 43.9, 47.8, 53.1, 55.3, 128.6, 129.4, 133.7, 138.3, 169.6, 172.7. ME (FAB+): m/z 254 (60%), 235 (<10%), 222 (<10%), 176 (<10%), 154 (100%), 136 (65%), 107 (18%), 89 (15%), 77 (12%), 65 (<10%), 51 (<10%). HRMS (FAB) calculated for C12H13ClNO3 (M + 1): 254.0584, found 254.0596.
3.4.2. Methyl 2-Oxo-4-(4-methylphenyl)-pyrrolidine-3-carboxylate (±)-7c
Following the general procedure, 6c (1.8 g, 6.09 mmol) was treated with Ra-Ni in MeOH. The crude product was recrystallized (CH2Cl2/hexane) to give (±)-7c as a beige solid (1.2 g, 87%), m.p.: 120–123 °C. IR (cm−1): 3186, 3095, 2953, 1742, 1701, 1518, 1158, 1196, 815. 1H-NMR (CDCl3, 400 MHz) δ: 2.33 (s, 3H), 3.40 (dd, J = 17.6, 9.2 Hz, 1H), 3.57 (d, J = 9.2 Hz, 1H), 3.77 (s, 3H), 3.77–7.80 (m, 1H), 4.07 (ddd, J = 9.2, 9.2, 8.8 Hz, 1H), 7.15 (s, 4 H). 13C-NMR (CDCl3, 100 MHz) δ: 21.2, 44.2, 48.1, 53.0, 55.5, 127.1, 129.8, 136.9, 137.5, 169.9, 173.0. ME (CI+): m/z 234 (100%), 233 (5%), 202 (30%), 174 (30%). HRMS (CI) calculated for C13H16NO3 (M + 1): 234.1130, found 234.1136.
3.4.3. Methyl 2-Oxo-4-(3-methylphenyl)-pyrrolidine-3-carboxylate (±)-7d
According to the general procedure, 6d (0.8 g, 2.7 mmol) was hydrogenated in the presence of a catalytic amount of Ra-Ni in MeOH (15 mL). The crude product was recrystallized from hot EtOH, to give (±)-7d (0.56 g, 88 %) as a white solid, m.p.: 105–109 °C. IR (cm−1): 3208, 2948, 1739, 1694, 1433, 1167, 786, 775, 701. 1H-NMR (CDCl3, 400 MHz) δ: 2.34 (s, 3H), 3.40–3.44 (m, 1H), 3.60 (d, J = 9.6 Hz, 3H), 3.78 (dd, J = 17.6, 9.2 Hz, 1H), 3.79 (s, 3H), 4.07 (dd, J = 17.6, 8.4 Hz, 1H), 7.04–7.10 (m, 2H), 7.21–7.26 (m, 2H), 7.34 (bs, 1H). 13C-NMR (CDCl3, 100 MHz) δ: 21.6, 44.4, 48.1, 53.0, 55.4, 124.2, 127.9, 128.5, 129.1, 138.9, 139.9, 169.8, 173.0. MS (FAB+): m/z HRMS 234 (100%), 202 (25%), 174 (15%), 159 (<10%), 137 (<10%), 91 (<10%), 77 (<10%). (FAB): calculated for C13H16NO3 [M + H]+, m/z 234.1130; found for [M + H]+, m/z 234.1135.
3.4.4. Ethyl 2-Oxo-4-(2-chlorophenyl)-pyrrolidine-3-carboxylate (±)-7e
According to the general procedure, 6e (1.2 g, 3.5 mmol) was hydrogenated in the presence of a catalytic amount of Ra-Ni in MeOH (18 mL). The crude product was recrystallized from hexane/CH2Cl2 mixture, to give (±)-7e (0.77 g, 83%) as a white solid, m.p.: 108–110 °C. IR (cm−1): 3207, 3100, 2868, 1732, 1698, 1481, 1175, 1152, 757. 1H-NMR (CDCl3, 400 MHz) δ: 1.28 (t, J = 7.2 Hz, 3H), 3.40 (dd, J = 9.6, 7.6 Hz, 1H), 3.66 (d, J = 7.6 Hz, 1H), 3.92 (dd, J = 9.6, 8.8 Hz, 1H), 4.23 (q, J = 7.2 Hz, 2H), 4.52 (ddd, J = 8.8, 7.6, 7.6 Hz, 1H), 7.21–7.33 (m, 3H), 7.39–7.41 (d, J = 7.6 Hz, 1H), 7.51 (bs, 1H). 13C-NMR (CDCl3, 100 MHz) δ: 14.2, 41.4, 47.1, 54.4, 62.1, 127.6, 128.0, 129.0, 130.4, 134.1, 169.2, 173.0. MS (CI+): m/z 268 (100%), 267 (5%), 222 (45%), 194 (20%). HRMS (CI) calculated for C13H15ClNO3 [M + H]+, m/z 268.0740; found for [M + H]+, m/z 268.0745.
3.4.5. Ethyl 2-Oxo-4-(2-aminophenyl)-pyrrolidine-3-carboxylate (±)-7f
According to the general procedure, 6f (0.7 g, 1.9 mmol) was hydrogenated in the presence of a catalytic amount of Ra-Ni in MeOH (15 mL). The crude product was recrystallized from Et2O/CH2Cl2/hexane to give the trans-7f (0.40 g, 83%) as a white solid, m.p.: 102–105 °C. IR (cm−1): 3458, 3352, 3210, 3105, 2956, 1721, 1701, 1470, 1178, 787. 1H-NMR (CDCl3, 400 MHz) δ: 1.27 (t, J = 7.2 Hz, 3H), 3.39 (m, 1H), 3.54 (d, J = 9.6 Hz, 3H), 3.76 (m, 1H), 3.98 (dd, J = 17.6, 8.4 Hz, 1H), 4.22 (q, J = 7.2 Hz, 2H), 6.59 (m, 3H), 7.11 (m, 1H), 7.24 (bs, 1H).13C-NMR (CDCl3, 100 MHz) δ: 14.3, 44.5, 47.9, 55.4, 62.0, 113.7, 114.4, 117.1, 130.1, 141.3, 147.2, 169.6, 173.1. MS (FAB+): m/z 249 (75%), 248 (27%), 203 (28%), 175 (40%), 149 (100%), 132 (<10%), 113 (15%), 71 (35%), 57 (47%). HRMS (FAB) calculated for C13H17N2O3 [M + H]+, m/z 249.1239; found for [M + H]+, m/z 249.1251.
3.5. General Procedure for The Preparation of the Carboxylic Acids 8a–f
To a suspension of 7a–f in ethanol (2 mL) was added 1 N NaOH (0.8 mL) was stirred at room temperature for 48 h. The ethanol was removed at reduced pressure and the residue was acidified with 1M HCl. The precipitate formed was filtered under vacuum.
3.5.1. 2-Oxo-4-phenyl-pyrrolidine-3-carboxylic Acid 8a
According to the general procedure, 7a (0.38 g, 1.7 mmol) was treated with 1 N NaOH (1.5 mL) to give 8a (0.31 g, 89%) as a white solid, m.p.: 158–162 °C. IR (cm−1): 3283, 1686, 1489, 766, 703. 1H-NMR (MeOD, 400 MHz) δ: 3.39 (dd, J = 9.2, 8.8 Hz, 1H), 3.58 (d, J = 10.0 Hz, 1H), 3.75 (dd, J = 9.2, 8.8 Hz, 1H), 4.01 (ddd, J = 10.0, 8.8, 8.8 Hz, 1H), 7.24–7.35 (m, 5H). 13C-NMR (MeOD, 100 MHz) δ: 46.4, 48.9, 56.9, 128.2, 128.6, 130.1, 141.6, 172.8, 175.1. MS (FAB+): m/z 206 (100%), 188 (20%), 154 (55%), 136 (38%), 107 (11%), 77 (14%). HRMS (FAB) calculated for C11H12NO3 [M + H]+, m/z; 206.0817, found for [M + H]+, m/z 206.0815.
3.5.2. 2-Oxo-4-(4-chlorophenyl)-pyrrolidine-3-carboxylic Acid 8b
According to the general procedure, 7b (0.2 g, 0.79 mmol) was treated with 1 N NaOH (0.8 mL) to give 8b (0.15 g, 82%) as a beige solid, m.p.: 140–142 °C. IR (cm−1): 2883, 1739, 1670, 1486, 822. 1H-NMR (MeOD, 400 MHz) δ: 3.37 (t, J = 9.6 Hz, 1H), 3.57 (d, J = 9.6 Hz, 1H), 3.75 (dd, J = 9.6, 8.8 Hz, 1H), 4.01 (t, J = 8.8 Hz, 1H), 7.32 (s, 4H). 13C-NMR (MeOD, 100 MHz) δ: 45.9, 48.7, 56.8, 130.0, 130.1, 134.4, 140.3, 172.7, 175.0. MS (FAB+): m/z 240 (98%), 222 (20%), 176 (10%), 154 (100%), 137 (70%), 107 (23%), 89 (22%), 77 (20%), 65 (<10%), 51 (<10%). HRMS calculated for C11H11ClNO3 [M + H]+, m/z 240.0427; found for [M + H]+, m/z 240.0431.
3.5.3. 2-Oxo-4-(4-methylphenyl)-pyrrolidine-3-carboxylic Acid 8c
According to the general procedure, 7c (0.2 g, 0.85 mmol) was treated with 1 N NaOH (0.8 mL) to give 8c (0.17 g, 94%) as a white solid, m.p.: 166–169 °C. IR (cm−1): 3255, 2964, 1738, 1667, 1488, 808. 1H-NMR (MeOD, 400 MHz) δ: 2.30 (s, 3H), 3.30–3.31 (m, 1H), 3.36 (t, J = 9.6 Hz, 1H), 3.57 (d, J = 9.6 Hz, 1H), 3.72 (t, J = 9.6 Hz, 1H), 3.93–4.0 (m, 1H), 7.12–7.20 (m, 4H). 13C-NMR (MeOD, 100 MHz) δ: 21.2, 46.1, 49.0, 56.0, 128.0, 128.8, 130.1, 130.5, 138.3, 172.8, 175.1. MS (CI+): m/z 219 (<10%), 202 (18%), 175 (100%), 145 (10%), 118 (85%), 91 (<10%). HRMS (CI+) calculated for C12H14NO3 [M + H]+, m/z 220.0974; found for [M + H]+, m/z 220.0976.
3.5.4. 2-Oxo-4-(3-methylphenyl)-pyrrolidine-3-carboxylic Acid 8d
According to the general procedure, 7d (0.2 g, 0.85 mmol) was treated with 1 N NaOH (0.8 mL) to give 8d (0.18 g, 100%) as a white solid, m.p.: 173–177 °C. IR (cm−1): 3332, 2891, 1731, 1666, 1427, 731, 686, 642. 1H-NMR (MeOD, 400 MHz) δ: 2.32 (s, 3H), 3.38 (dd, J = 10.0, 8.8 Hz, 1H), 3.56 (d, J = 10.0 Hz, 1H), 3.73 (dd, J = 10.0, 8.8 Hz, 1H), 3.97 (ddd, J = 10.0, 8.8, 8.8 Hz, 1H), 7.07–7.14 (m, 3H), 7.20–7.23 (m, 1H). 13C-NMR (MeOD, 50 MHz) δ: 21.6, 46.6, 48.9, 57.0, 125.3, 128.9, 129.3, 130.0, 141.5, 172.9, 175.3. MS (FAB+): m/z 220 (100%), 202 (37%), 154 (65%), 136 (55%), 89 (25%), 77 (23%), 57 (12%). HRMS (FAB) calculated for C12H14NO3 [M + H]+, m/z 220.0974; found for [M + H]+, m/z 220.0966.
3.5.5. 2-Oxo-4-(2-chlorophenyl)-pyrrolidine-3-carboxylic Acid 8e
According to the general procedure, 7e (0.2 g, 0.7 mmol) was treated with 1 N NaOH (0.8 mL) to give 8e (0.89 g, 53%) as a white solid, m.p.: 154–156 °C. IR (cm−1): 3290, 2887, 1751, 1656, 1478, 760. 1H-NMR (MeOD, 400 MHz) δ: 3.61 (dd, J = 10.0, 7.6 Hz, 1H), 3.68 (d, J = 8.4 Hz, 1H), 3.85 (dd, J = 10.0, 8.4 Hz, 1H), 4.44–4.50 (m, 1H), 7.24–7.29 (m, 1H), 7.31–7.35 (m, 1H), 7.41–7.47 (m, 2H). 13C-NMR (MeOD, 50 MHz) δ: 43.1, 48.0, 55.6, 128.9, 129.3, 130.1, 131.2, 135.1, 138.9, 172.6, 174.9. MS (FAB+): m/z 240 (85%), 222 (25%), 154 (100%), 136 (80%), 107 (25%), 89 (26%), 77 (23%). HRMS calculated for C11H11ClNO3 [M + H]+, m/z 240.0427; found for [M + H]+, m/z 240.0429.
3.5.6. 2-Oxo-4-(2-aminophenyl)-pyrrolidine-3-carboxylic Acid 8f
According to general procedure, 7f (0.2 g, 0.8 mmol) was treated with 1 N NaOH (0.8 mL) to give 8f (0.14 g, 80%) as a brown liquid. IR (cm−1): 3366, 2883, 1674, 1493, 793. 1H-NMR (MeOD, 400 MHz) δ: 3.44 (dd, J = 9.6, 8.8 Hz, 1H), 3.63 (d, J = 10 Hz, 1H), 3.81 (dd, J = 9.6, 9.2 Hz, 1H), 4.08–4.12 (m, 1H), 7.34 (d, J = 7.2, 1H), 7.41 (s, 1H), 7.48–7.56 (m, 2H). 13C-NMR (MeOD, 100 MHz) δ: 45.9, 47.0, 56.6, 123.1, 123.2, 129.1, 132.0, 133.0, 144.3, 172.4, 174.6. MS (FAB+) m/z 220 (<10%), 203 (<10%), 176 (10%), 154 (100%), 136 (85%), 120 (12%) 107 (18%), 89 (<10%). HRMS (FAB) calculated for C11H13N2O3 [M + H]+, m/z 221.0926; found for [M + H]+, m/z 221.0976.
3.6. General Procedure of the Synthesis of β-Aryl-γ-lactams (±)-2a–f
A suspension of carboxylic acid in toluene was heated to reflux for 5 h. After cooling to room temperature, the solvent was evaporated and the pure product was obtained. 1H- and 13C-NMR data for the compounds (±)-2a–c [42], are identical with those described in the literature.
3.6.1. 4-(3-Methylphenyl)-pyrrolidin-2-One (±)-2d
According to the general procedure 8d (0.15 g, 0.7 mmol) was refluxed to give (±)-2d (0.12 g, 100%) as a beige solid, m.p.: 103–104 °C. IR (cm−1): 3211, 3095, 2892, 1677, 1489, 790, 706, 684. 1H-NMR (CDCl3, 200 MHz) δ: 2.35 (s, 3H), 2.49 (dd, J = 16.8, 8.6 Hz, 1H), 2.72 (dd, J = 16.8, 8.6 Hz, 1H), 3.41 (dd, J = 16.8, 8.6 Hz, 1H), 3.57–3.68 (m, 1H), 3.77 (dd, J = 16.8, 8.6 Hz, 1H), 7.03–7.08 (m, 2H), 7.19–7.27 (m, 2H). 13C-NMR (CDCl3, 50 MHz) δ: 36.9, 37.3, 48.5, 127.2, 127.5, 128.4, 130.0, 133.9, 139.6, 178.0. MS (FAB+) m/z 176 (100%), 131 (<10%), 105 (10%), 91 (11%), 69 (12%), 55 (14%), 43 (12%). HRMS (FAB) calculated for C11H14NO [M + H]+, m/z 176.1075; found for [M + H]+, m/z 176.1077.
3.6.2. 4-(2-Chlorophenyl)-pyrrolidin-2-One (±)-2e
According to general procedure, 8e (0.11 g, 0.46 mmol) was refluxed to give (±)-2e (80 mg, 86%) as a beige solid, m.p.: 112–115 °C. IR (cm−1): 3174, 3080, 2884, 1686, 1486, 746. 1H-NMR (CDCl3, 200 MHz) δ: 2.48 (dd, J = 17.2, 7.4 Hz, 1H), 2.74 (dd, J = 17.2, 8.8 Hz, 1H), 3.41 (dd, J = 9.8, 6.2 Hz, 1H), 3.85 (dd, J = 9.8, 8.4 Hz, 1H), 4.18–7.25 (m, 1H), 7.25–7.29 (m, 1H), 7.33–7.34 (d, J = 7.2 Hz, 1H), 7.38–7.40 (d, J = 7.6 Hz, 2H). 13C-NMR (CDCl3, 50 MHz) δ: 36.9, 37.3, 48.5, 127.2, 127.5, 128.4, 130.0, 133.9, 139.6, 178.0. MS (FAB+) m/z 196 (100%), 162 (<10%), 154 (10%), 137 (11%), 107 (<10%), 77 (<10%), 55 (<10%), 41 (<10%). HRMS (FAB) calculated for C10H11ClNO [M + H]+, m/z 196.0529; found for [M + H]+, m/z 196.0541.
3.6.3. 4-(2-Aminophenyl)-pyrrolidin-2-one (±)-2f
According to general procedure, 8f (0.2 g, 0.7 mmol) was refluxed in toluene for five hours to give (±)-2f (60 mg, 18%) as a beige solid, m.p.: 122–125 °C. IR (cm−1): 3422, 3347, 3243, 2923, 1668, 792. 1H-NMR (CDCl3, 200 MHz) δ: 2.47 (dd, J = 17.0, 8.6 Hz, 1H), 2.69 (dd, J = 17.0, 8.6 Hz, 1H), 3.57 (dddd, J = 8.6, 8.2, 8.2, 7.6 Hz, 1H), 3.73 (dd, J = 9.0, 8.2 Hz, 2H), 6.55–6.63 (m, 2H), 7.06–7.14 (m, 2H). 13C-NMR (CDCl3, 50 MHz) δ: 38.0, 40.3, 49.6, 113.4, 114.0, 117.0, 129.8, 143.6, 147.0, 178.4. MS (CI+): m/z 177 (100%), 176 (78%) 160 (11%), 119 (45%). HRMS (CI) calculated for C10H13N2O [M + H]+, m/z 177.1028; found for [M + H]+, m/z 177.1025.
3.7. Synthesis of (S)-Naproxen Acyl Chloride 9
To a solution of (S)-Naproxen (2.5 eq.) in anhydrous CH2Cl2 (15 mL) and N,N-dimethyl formamide (one drop), oxalyl chloride (3 eq.) at 0 °C was added. The reaction mixture was stirred at room temperature for 2.5 h under a nitrogen atmosphere, and after this time, the solvent and residual oxalyl chloride were removed under reduced pressure to continue the reaction, obtaining the (S)-Naproxen acyl chloride 9, which was not isolated and used immediately in the next reaction.
3.8. General Procedures for The Resolution of β-Aryl-γ-lactams (±)-2a–d
A solution of 8a–d (1 eq.) in anhydrous tetrahydrofuran (10 mL) was added dropwise to a freshly prepared LDA (1.1 eq.) at −78 °C. The reaction mixture was stirred for 30 min at room temperature under a nitrogen atmosphere. Then, the mixture was cooled to −78 °C followed by the addition of crude (S)-9. The reaction mixture was allowed to room temperature and stirred for 2 h under a nitrogen atmosphere. After, a saturated solution of ammonium chloride was added and extracted with dichloromethane (3 × 15 mL). Finally the solvent was removed under reduced pressure and purified by column chromatography, to obtain the diastereoisomeric pure (R,S)- and (S,S)-imides 10a–d.
3.8.1. (R)-1-((S)-2(6-Methoxynaphth-2-yl)propionyl)-4-phenyl-pyrrolidin-2-one (R,S)-10a and (S)-1-((S)-2(6-methoxynaphth-2-yl)propionyl)-4-phenyl-pyrrolidin-2-one (S,S)-10a
According to the general procedure, the reaction of 8a (50 mg, 0.31 mmol) with LDA (39 mg, 0.37 mmol) and (S)-9 (190 mg, 0.77 mmol), followed by purification in column chromatography using hexane/AcOEt (90:10), afforded the diastereoisomers (R,S)-10a (30 mg, 26%) and (S,S)-10a (31 mg, 27%), both as an amber liquid.
(R,S)-10a: + 87.13 (c 0.95, CHCl3). IR (cm−1): 2933, 1734, 1685, 1604, 1482, 1190, 760, 698. 1H-NMR (CDCl3, 400 MHz) δ: 1.57 (d, J = 7.2 Hz, 3H), 2.76 (dd, J = 17.6, 10.4 Hz, 1H), 2.84 (dd, J = 17.6, 8.4 Hz, 1H), 3.38 (dddd, J = 10.4, 8.8, 8.4, 8.4 Hz, 1H), 3.79 (dd, J = 12.0, 8.8 Hz, 1H), 3.91 (s, 3H), 4.19 (dd, J = 12.0, 8.4 Hz, 1H), 5.25 (q, J = 7.2 Hz, 1H), 7.11–7.20 (m, 4H), 7.25–7.29 (m, 1H), 7.29–7.36 (m, 2H), 7.48–7.51 (m 1H), 7.70–7.75 (m, 3H). 13C-NMR (CDCl3, 100 MHz) δ: 19.4, 35.8, 41.1, 44.7, 52.5, 55.3, 105.6, 118.9, 126.6, 126.7, 127.0, 127.1, 127.4, 129.0, 129.4, 133.7, 136.2, 140.3, 157.6, 173.4, 175.4. MS (CI+): m/z 374 (100%), 373 (38%) 212 (70%), 185 (23%), 162 (18%). HRMS (CI) calculated for C24H24NO3 [M + H]+, m/z 374.1756; found for [M + H]+, m/z 374.1772.
(S,S)-10a: + 83.53 (c 0.82, CHCl3). IR (cm−1): 2933, 1734, 1686, 1604, 1482, 1189, 760, 698. 1H-NMR (CDCl3, 400 MHz) δ: 1.55 (d, J = 6.8 Hz, 3H), 2.57 (dd, J = 17.6, 8.0 Hz, 1H), 2.91 (dd, J = 17.6, 8.8 Hz, 1H), 3.45–3.49 (m, 1H), 3.67 (dd, J = 11.6, 6.8 Hz, 1H), 3.90 (s, 3H), 4.30 (dd, J = 11.6, 8.0 Hz, 1H), 5.22 (q, J = 6.8 Hz, 1H), 6.91–6.93 (m, 2H), 7.05–7.14 (m, 5H), 7.45–7.46 (m, 1H), 7.67–7.68 (m, 3H). 13C-NMR (CDCl3, 100 MHz) δ: 19.5, 36.2, 41.4, 44.9, 52.8, 55.5, 105.8, 119.0, 126.5, 126.6, 127.2, 127.4, 127.4, 129.0, 129.1, 129.6, 133.9, 136.2, 141.2, 157.8, 173.8, 175.6. MS (CI+): m/z 374 (70%), 373 (55%) 212 (100%), 185 (32%), 184 (19%), 162 (18%), 141 (<10%). HRMS (CI) calculated for C24H24NO3 [M + H]+, m/z 374.1756; found for [M + H]+, m/z 374.1772.
3.8.2. (R)-4-(4-Chlorophenyl)-1-((S)-2-(6-methoxynaphth-2-yl)propionyl)-pyrrolidin-2-one (R,S)-10b and (S)-4-(4-Chlorophenyl)-1-((S)-2-(6-methoxynaphth-2-yl)propionyl)-pyrrolidin-2-one (S,S)-10b
According to the general procedure, 8b (86 mg, 0.4 mmol) with LDA (56 mg, 0.52 mmol) and (S)-9 (27 mg, 1.1 mmol), followed by purification in column chromatography using hexane/AcOEt (85:15), afforded the diastereoisomers (R,S)-10b (86 mg, 49%) and (S,S)-10b (92 mg, 51%), both as an colorless liquid.
(R,S)-10b: + 44.48 (c 1.0, CHCl3). IR (cm−1): 2929, 1735, 1686, 810. 1H-NMR (CDCl3, 400 MHz) δ: 1.54 (d, J = 7.2 Hz, 3H), 2.69 (dd, J = 17.2, 10.0 Hz, 1H), 2.82 (dd, J = 17.2, 8.4 Hz, 1H), 3.35 (dddd, J = 10.0, 8.8, 8.4, 8.4 Hz, 1H), 3.74 (dd, J = 12.0, 8.8 Hz, 1H), 3.90 (s, 3H), 4.17 (dd, J = 12.0, 8.4 Hz, 1H) 5.21 (q, J = 7.2 Hz, 1H), 7.10–7.14 (m, 4H), 7.29–7.31 (m, 2H), 7.45–7.48 (m, 1H), 7.68–7.71 (m, 3H). 13C-NMR (CDCl3, 100 MHz) δ: 19.5, 35.5, 41.2, 44.9, 52.5, 55.5, 105.7, 119.1, 126.8, 127.2, 127.3, 128.2, 129.1 129.3, 129.5, 133.4, 133.8, 136.2, 138.9, 157.8, 173.2, 175.6. MS (FAB+): m/z 408 (25%), 185 (100%), 136 (24%), 95 (28%), 69 (55%), 55 (30%). HRMS (FAB) calculated for C24H23ClNO3 [M + H]+, m/z 408.1366; found for [M + H]+, m/z 408.1383.
(S,S)-10b: + 39.08 (c 0.97, CHCl3). IR (cm−1): 2932, 1735, 1688, 811. 1H-NMR (CDCl3, 200 MHz) δ: 1.55 (d, J = 7.2 Hz, 3H), 2.50 (dd, J = 17.2, 7.2 Hz, 1H), 2.90 (dd, J = 17.2, 8.4 Hz, 1H), 3.42 (m, 1H), 3.62 (dd, J = 11.6, 6.0 Hz, 1H), 3.92 (s, 3H), 4.25 (dd, J = 11.6, 8.0 Hz, 1H), 5.20 (q, 7.2 Hz, 1H), 6.76–6.78 (m, 2H), 6.92–6.95 (m, 2H), 7.12–7.15 (m, 2H), 7.41–7.44 (m, 1H), 7.66–7.69 (m, 3H). 13C-NMR (CDCl3, 100 MHz) δ: 19.3, 35.6, 41.2, 45.0, 52.7, 55.5, 105.7, 119.1, 126.6, 127.2, 127.8, 129.1, 129.6, 133.1, 133.9, 136.0, 139.9, 157.9, 173.4, 175.6. MS (FAB+): m/z 408 (12%), 407 (<10%), 307 (27%), 289 (13%), 212 (18%), 185 (12%), 154 (100%), 136 (66%), 107 (18%), 77 (13%). HRMS (FAB) calculated for C24H23ClNO3 [M + H]+, m/z 408.1366; found for [M + H]+, m/z 408.1383.
3.8.3. (R)-1-((S)-2-(6-Methoxynaphth-2-yl)propionyl-4-(4-methylphenyl)-pyrrolidin-2-one (R,S)-10c and (S)-1-((S)-2-(6-Methoxynaphth-2-yl)propionyl-4-(4-methylphenyl)-pyrrolidin-2-one (S,S)-10c, (R,S)-10c and (S,S)-10c
According to the general procedure, the reaction of 8c (0.2 g, 1.14 mmol) with LDA (0.14 g, 1.37 mmol) and (S)-9 (0.709 g, 2.85 mmol), followed by purification in column chromatography using hexane/AcOEt (90:10), afforded the diastereoisomers (R,S)-10c (0.21 g, 49%) as a colorless liquid, and (S,S)-10c (0.19 g, 44%) as a beige solid, m.p.: 61–64 °C.
(R,S)-10c: + 92.96 (c 0.88, CHCl3). IR (cm−1): 2930, 1735, 1686, 1604, 1481, 1189, 812. 1H-NMR (CDCl3, 400 MHz) δ: 1.54 (d, J = 6.8 Hz, 3H), 2.33 (s, 3H), 2.73 (dd, J = 17.6, 10.4 Hz, 1H), 2.82 (dd, J = 17.6, 8.4 Hz, 1H), 3.36 (dddd, J = 10.4, 9.2, 8.4, 8.0 Hz, 1H), 3.76 (dd, J = 11.6, 9.2 Hz, 1H), 3.91 (s, 3H), 4.17 (dd, J = 11.6, 8.0 Hz, 1H), 5.22 (q, J = 6.8 Hz, 1H), 7.07–7.15 (m, 6H), 7.46–7.49 (m, 1H), 7.68–7.72 (m, 3H). 13C-NMR (CDCl3, 100 MHz) δ: 19.5, 21.1, 35.7, 41.4, 44.8, 52.8, 55.5, 105.7, 118.9, 126.7, 126.7, 127.2, 129.1, 129.5, 129.8, 133.8, 136.3, 137.3, 137.2, 137.4, 157.8, 173.7, 175.6. MS (CI+): m/z 388 (100%), 387 (55%) 212 (90%), 185 (20%), 176 (15%). HRMS (CI) calculated for C25H26NO3 [M + H]+, m/z 388.1913; found for [M + H]+, m/z 388.1905.
(S,S)-10c. + 98.96 (c 1.1, CHCl3). IR (cm−1): 2931, 1735, 1686, 1604, 1482, 1185, 813. 1H-NMR (CDCl3, 400 MHz) δ: 1.55 (d, J = 6.8 Hz, 3H), 2.23 (s, 3H), 2.57 (dd, J = 17.6, 8.4 Hz, 1H), 2.90 (dd, J = 17.6, 8.4 Hz, 1H), 3.41–3.49 (m, 1H), 3.64 (dd, J = 12.0, 7.6 Hz, 1H), 3.91 (s, 3H), 4.29 (dd, J = 12.0, 7.6 Hz, 1H), 5.21 (q, J = 6.8 Hz, 1H), 6.81–6.88 (m, 4H), 7.11–7.14 (m, 2H), 7.44–7.47 (m, 1H), 7.67–7.70 (m, 3H). 13C-NMR (CDCl3, 100 MHz) δ: 19.5, 21.1, 35.9, 41.5, 44.9, 52.9, 55.5, 105.7, 118.9, 126.4, 126.6, 127.2, 127.4, 133.9, 136.2, 137.0, 138.1, 157.9, 173.9, 175.6. MS (CI+): m/z 388 (88%), 387 (48%) 212 (100%), 185 (23%), 176 (12%). HRMS (CI) calculated for C25H26NO3 [M + H]+, m/z 388.1913, found for [M + H]+, m/z 388.1904.
3.8.4. (R)-1-((S)-2-(6-Methoxynaphth-2-yl)propionyl)-4-(3-methylphenyl)-pyrrolidin-2-one (R,S)-10d and (S)-1-((S)-2-(6-Methoxynaphth-2-yl)propionyl)-4-(3-methylphenyl)-pyrrolidin-2-one (S,S)-10d
According to the general procedure, the reaction of 8d (50 mg, 0.28 mmol) with LDA (36 mg, 0.34 mmol) and (S)-9 (0.17 g, 0.7 mmol), followed by purification in column chromatography using hexane/AcOEt (90:10), afforded the diastereoisomers (R,S)-10d (33 mg, 31%) and (S,S)-10d (30 mg, 28%), both as an amber liquid.
(R,S)-10d: + 87.14 (c 0.95, CHCl3). IR (cm−1): 2931, 1735, 1686, 1604, 1482, 1198, 727, 701, 672. 1H-NMR (CDCl3, 400 MHz) δ: 1.55 (d, J = 7.2 Hz, 3H), 2.33 (s, 3H), 2.75 (dd, J = 17.6, 10.4 Hz, 1H), 2.83 (dd, J = 17.6, 8.4 Hz, 1H), 3.35 (dddd, J = 10.4, 9.2, 8.4, 8.4 Hz, 1H), 3.78 (dd, J = 12.0, 9.2 Hz, 1H), 3.90 (s, 3H), 4.17 (dd, J = 12.0, 8.4 Hz, 1H), 5.23 (q, J = 7.2 Hz, 1H), 6.98–7.0 (m, 2H), 7.07–7.14 (m, 3H), 7.20–7.25 (m, 1H), 7.46–7.49 (m, 1H), 7.68–7.73 (m, 3H). 13C-NMR (CDCl3, 100 MHz) δ: 19.3, 21.4, 35.7, 41.2, 44.7, 52.5, 55.3, 105.5, 118.9, 123.7, 126.6, 127.0, 128.1, 128.9, 129.4, 133.6, 136.2, 138.7, 140.2, 157.6, 173.6, 175.4. MS (CI+): m/z 388 (100%), 387 (45%) 212 (90%), 185 (25%), 176 (25%), 141 (<10%), 115 (<10%). HRMS (CI) calculated for C25H26NO3 [M + H]+, m/z 388.1913; found for [M + H]+, m/z 388.1924.
(S,S)-10d: + 83.53 (c 0.8, CHCl3). IR (cm−1): 2931, 1734, 1686, 1604, 1482, 1197, 727, 701, 672. 1H-NMR (CDCl3, 400 MHz) δ: 1.55 (d, J = 7.2 Hz, 3H), 2.14 (s, 3H), 2.60 (dd, J = 17.6, 8.4 Hz, 1H), 2.91 (dd, J = 17.6, 8.4 Hz, 1H), 3.46 (m, 1H), 3.68 (dd, J = 12.0, 6.8 Hz, 1H), 3.91 (s, 3H), 4.31 (dd, J = 12.0, 8.0 Hz, 1H), 5.23 (q, J = 7.2 Hz, 1H), 6.74–6.80 (m, 2H), 6.97–6.98 (m, 2H), 7.11–7.13 (m, 2H), 7.45–7.48 (m, 1H), 7.68 (d, J = 8.4 Hz, 3H). 13C-NMR (CDCl3, 100 MHz) δ: 19.4, 21.2, 35.9, 41.3, 44.6, 52.5, 53.5, 105.5, 118.8, 123.4, 126.5, 127.0, 127.1, 127.9, 128.7, 129.4, 133.6, 136.0, 138.6, 140.1, 157.6, 173.6, 175.3. MS (CI+): m/z 388 (100%), 387 (45%) 212 (77%), 185 (20%), 176 (12%). HRMS (CI) calculated for C25H26NO3 [M + H]+, m/z 388.1913, found for [M + H]+, m/z 388.1935.
3.9. General Procedure for the Preparation of Enantiomerically-Pure β-Aryl-γ-lactams 2a–d
To a solution of (R,S)-10a–d or (S,S)-10a–d in tetrahydrofuran (0.6 mL) was added 1 N KOH (0.3 mL) and the reaction mixture was stirred at room temperature for 5 h. The solvent was evaporated under reduced pressure and extracted with CH2Cl2 (4 × 3 mL), the organic layer was dried over anhydrous Na2SO4 and evaporated under reduced pressure to give the corresponding γ-lactams (R)-2a–d or (S)-2a–d.
3.9.1. (R)-4-Phenylpyrrolidin-2-one 2a
According to the general procedure (R,S)-10a (23 mg, 0.06 mmol) in THF (0.6 mL) was reacted with 1 N KOH (0.3 mL), to give (R)-2a (7 mg, 100%) as a white solid, m.p.: 84–86 °C, [43,44]. − 19.2 (c 0.9, CHCl3) [31]. 1H- and 13C-NMR data are identical to (±)-2a.
3.9.2. (S)-4-Phenylpyrrolidin-2-one 2a
According to the general procedure (S,S)-10a (20 mg, 0.056 mmol) in THF (0.6 mL) was reacted with 1 N KOH (0.3 mL) to give (S)-11a (8 mg, 95%) as a white solid, m.p.: 87–89 °C [43,44]. + 19.8 (c 0.9, CHCl3). 1H- and 13C-NMR data are identical to (R)-2a.
3.9.3 (R)-4-(4-Chlorophenyl)-pyrrolidin-2-one 2b
According to general procedure (R,S)-10b (19 mg, 0.05 mmol) in THF (0.5 mL) was reacted with 1 N KOH (0.3 mL) to give (R)-11b (7 mg, 79%) as a white solid, m.p.: 102–105 °C. − 24.2 (c 1.15, CHCl3) [31]. 1H- and 13C-NMR data are identical to (±)-2b.
3.9.4. (S)-4-(4-Chlorophenyl)-pyrrolidin-2-one 2b
According to the general procedure (S,S)-10b (28 mg, 0.07 mmol) in THF (0.5 mL) was reacted with 1 N KOH (0.3 mL) to give (S)-2b (12 mg, 94%) as a white solid, m.p.: 99–101 °C. + 13.5 (c 0.9, CHCl3) [45]. 1H- and 13C-NMR data are identical to (±)-2b.
3.9.5. (R)-4-(4-Methylphenyl)-pyrrolidin-2-one 2c
According to general procedure (R,S)-10c (30 mg, 0.06 mmol) in THF (0.6 mL) was reacted with 1 N KOH (0.3 mL) to give (R)-2c (12 mg, 98%) as a white solid, m.p.: 108–110 °C. − 33.7 (c 0.95, CHCl3). IR (cm−1): 3189, 2917, 1685, 804. 1H-NMR (CDCl3, 400 MHz) δ: 2.28 (s, 3H), 2.48 (dd, J = 17.2, 9.2 Hz, 1H), 2.71 (dd, J = 17.2, 8.4 Hz, 1H), 3.39 (dd, J = 9.2, 7.6 Hz, 1H), 3.66 (dddd, J = 9.2, 8.4, 8.0, 7.6 Hz, 1H), 3.73–3.80 (m, 1H), 7.1 (s, 4H). 13C-NMR (CDCl3, 100 MHz): δ 21.2, 38.1, 40.2, 49.8, 126.8, 129.7, 137.0, 139.2, 177.9. MS (FAB+): m/z 176 (100%), 149 (25%), 113 (<10%), 73 (<10%), 57 (<10%). HRMS (FAB) calculated for C11H14NO [M + H]+, m/z 176.1075; found for [M + H]+, m/z 176.1083.
3.9.6. (S)-4-(4-Methylphenyl)-pyrrolidin-2-one 2c
According to the general procedure (S,S)-10c (26 mg, 0.054 mmol) in THF (0.6 mL) was reacted with 1 N KOH (0.3 mL) to give (S)-2c (11 mg, 100%) as a white solid, m.p.: 100–103 °C. + 30.3 (c 1.04, CHCl3). IR (cm−1): 3191, 2918, 1685, 804. 1H-NMR (CDCl3, 200 MHz) δ: 2.33 (s, 3H), 2.47 (dd, J = 16.8, 7.8 Hz, 1H), 2.70 (dd, J = 16.8, 9.0 Hz, 1H), 3.38 (dd, J = 8.2, 6.6 Hz, 1H), 3.56-3.80 (m, 2H), 7.14 (s, 4H). 13C-NMR (CDCl3, 50 MHz): δ 21.6, 38.1, 40.5, 49.7, 123.9, 127.7, 128.0, 128.9, 138.7, 142.3, 177.9. MS (FAB+): m/z 176 (100%), 147 (76%), 73 (58%), 57 (13%). HRMS (FAB) calculated for C11H14NO [M + H]+, m/z 176.1075; found for [M + H]+, m/z 176.1043.
3.9.7. (R)-4-(3-Methylphenyl)-pyrrolidin-2-one 2d
According to the general procedure (R,S)-10d (24 mg, 0.06 mmol) in THF (0.6 mL) was reacted with 1 N KOH (0.3 mL) to give (R)-2d (8 mg, 72%) as an amber liquid. − 20.0 (c 0.68, CHCl3). IR (cm−1): 3228, 2922, 1686, 784, 700, 637. 1H-NMR (CDCl3, 200 MHz) δ: 2.35 (s, 3H), 2.50 (dd, J = 17.2, 9.0 Hz, 3H), 2.71 (dd, J = 17.2, 8.6 Hz, 1H), 3.41 (dd, J = 8.2, 6.6 Hz, 1H), 3.62–3.70 (m, 2H), 7.04–7.09 (m, 2H), 7.21–7.26 (m, 2H). 13C-NMR (CDCl3, 50 MHz): δ 21.6, 38.0, 40.4, 49.6, 123.9, 127.7, 128.0, 128.9, 138.7, 142.3, 177.9. MS (FAB+): m/z 176 (20%), 175 (15%), 145 (<10%), 131 (<10%), 118 (100%), 117 (30%), 91 (15%). HRMS (FAB) calculated for C11H14NO [M + H]+, m/z 176.1075; found for [M + H]+, m/z 176.1069.
3.9.8. (S)-4-(3-Methylphenyl)-pyrrolidin-2-one 2d
According to general procedure (S,S)-10d. (29 mg, 0.16 mmol) in THF (0.5 mL) was reacted with 1 N KOH (0.3 mL) to give (S)-2d (13 mg, 100%) as an amber liquid. + 17.5 (c 0.94, CHCl3). IR (cm−1): 3222, 2919, 1682, 783, 699, 637. 1H-NMR (CDCl3, 200 MHz) δ: 2.34 (s, 3H), 2.46 (dd, J = 16.8, 9.0 Hz, 1H), 2.69 (dd, J = 16.8, 8.6 Hz, 1H), 3.37 (dd, J = 8.6, 7.2 Hz, 1H), 3.53-3.76 (m, 2H), 6.66 (bs, 1H), 7.02–7.09 (m, 2H), 7.19–7.27 (m, 2H). 13C-NMR (CDCl3, 50 MHz) δ: 21.6, 38.1, 40.5, 49.7, 123.9, 127.7, 128.0, 128.9, 138.7, 142.3, 177.9. MS (FAB+): m/z 176 (20%), 175 (30%), 145 (<10%), 131 (<10%), 118 (100%), 117 (25%), 91 (12%). HRMS (FAB) calculated for C11H14NO [M + H]+, m/z 176.1075; found for [M + H]+, m/z 176.1076.
3.10. (R)-(−)-Baclofen Hydrochloride 4
The γ-lactam (R)-2b (7 mg, 0.03 mmol) and 6N HCl (2 mL) was refluxed for 3.5 h. After this time, the mixture reaction was concentrated in vacuum to afford (R)-12b (10 mg, 79%) as a colorless solid, m.p.: 190–192 °C. − 2.0 (c 0.6, H2O) [31,45]. 1H- and 13C-NMR data are identical to those reported in the literature [46].
3.11. (S)-(+)-Baclofen Hydrochloride 4
The γ-lactam (S)-2b (18 mg, 0.09 mmol) and 6N HCl (2 mL) was refluxed for 5.0 h. After this time, the mixture reaction was concentrated in vacuum to afford (S)-4 (23 mg, 97%) as a white solid, m.p.: 188–189 [47]. + 2.9 (c 0.76, H2O) [32,48]. 1H- and 13C-NMR data are identical to (S)-(+)-Baclofen hydrochloride [46].
4. Conclusions
In conclusion, we have demonstrated the utility of (S)-Naproxen as an excellent resolution agent of β-aryl-γ-lactams, which are easily obtained through four steps from diethyl or methyl malonate and the appropriate aromatic aldehyde. The utility of this methodology was highlighted by the preparation of enantiomerically-pure (R)- and (S)-Baclofen hydrochloride in excellent yields. Additionally, we anticipate that the use of this procedure could be used in the preparation of β-aryl-γ-lactams as key intermediates in the synthesis of compounds with important pharmacological properties.
Supplementary Materials
Supplementary materials can be accessed at: http://www.mdpi.com/1420-3049/20/12/19830/s1.
Acknowledgments
The authors thank CONACyT of México, for their financial support via Projects 181816, and Laboratorio Nacional de Estructura de Macromoléculas (LANEM) 251613. We thank to Blanca E. Domínguez-Mendoza and V. Labastida-Galván for the determination of the NMR spectra and HRMS. I.J.M-B. also thank CONACYT for a Graduate Scholarship.
Author Contributions
I.L.-E. and M.O. provided the concepts of the work, interpreted the results and prepared the manuscript, I.J.M.-B, B.V.-G., E.L.-M., carried out the experimental work and interpreted the results, P.R.-B., determined the X-ray structures. All authors read and approved the final manuscript.
Conflicts of Interest
The authors declare no conflict of interest.
References
- Sifferlen, T.; Boller, A.; Chardonneau, A.; Cottreel, E.; Hoecker, J.; Aissaoui, H.; Williams, J.T.; Brotschi, C.; Heidmann, B.; Siegrist, R.; et al. Discovery of substituted lactams as novel dual orexin receptor antagonists. Synthesis, preliminary structure-activity relationship studies and efforts towards improved metabolic stability and pharmacokinetic properties. Part 1. Bioorg. Med. Chem. Lett. 2014, 24, 1201–1208. [Google Scholar] [CrossRef] [PubMed]
- Hostetler, G.; Dunn, D.; McKenna, B.A.; Kopec, K.; Chatterjee, S. Lactam and oxazolidinone derived potent 5-hydroxytryptamine 6 receptor antagonists. Bioorg. Med. Chem. Lett. 2014, 24, 2094–2097. [Google Scholar] [CrossRef] [PubMed]
- Vorona, M.; Orlova, N.; Kuznetsov, E.; Vikainis, S.; Liepinshi, E.; Belyakov, S.; Mishnev, A.; Veinberg, G. Method for the preparation of 4-aryl-3-pyrrolin-2-ones and their 5-bromo. Chem. Heterocycl. Compd. 2013, 49, 1118–1127. [Google Scholar] [CrossRef]
- Kanes, S.J.; Tokarczyk, J.; Siegel, S.J.; Bilker, W.; Abel, T.; Kelly, M.P. Rolipram a specific phosphodiesterase 4 inhibitor with potential antipsychotic activity. Neuroscience 2007, 144, 239–246. [Google Scholar] [CrossRef] [PubMed]
- Chen, R-W.; Williams, A.J.; Liao, Z.; Yao, C.; Tortella, F.C.; Dave, J.R. Broad spectrum neuroprotection profile of phosphodiesterase inhibitors as related to modulation of cell-cycle elements and caspase-3 activation. Neurosci. Lett. 2007, 418, 165–169. [Google Scholar]
- Wachtel, H. Potencial antidepressant activity of rolipram and other selective cyclic adenosine 3’,5’-monophosphate phosphodiesterase inhibitors. Neuropharmacology 1983, 22, 267–272. [Google Scholar] [CrossRef]
- Büyüknacar, H.S.; Kumcu, E.K.; Göçmen, C.; Önder, S. Effect of phosphodiesterase type 4 inhibitor rolipram on cyclophosphamide-induced cystitis in rats. Eur. J. Pharmacol. 2008, 586, 293–299. [Google Scholar] [CrossRef] [PubMed]
- Sommer, N.; Löschmann, P.A.; Northoff, G.H.; Weller, M.; Steinbrecher, A.; Steinbach, J.P.; Lichtenfels, R.; Meyermann, R.; Riethmüller, A.; Fontana, A.; et al. The antidepressant rolipram suppresses cytokine production and prevents autoimmune encephalomyelitis. Nat. Med. 1995, 1, 244–248. [Google Scholar] [CrossRef] [PubMed]
- Zvejniece, L.; Vavers, E.; Svalbe, B.; Veinberg, G.; Rizhanova, K.; Liepins, V.; Kalvinsh, I.; Dambrova, M. R-phenibut binds to the α2-δ subunit of voltage-dependent calcium channels and exerts gabapentin-like anti-nociceptive effects. Pharmacol. Biochem. Behav. 2015, 137, 23–29. [Google Scholar] [CrossRef] [PubMed]
- Lapin, I. Phenibut (β-Phenyl-GABA): A Tranquilizer and Nootropic Drug. CNS Drug Rev. 2001, 7, 471–481. [Google Scholar] [CrossRef] [PubMed]
- Kumar, K.; Sharma, S.; Kumar, P.; Deshmukh, H. Therapeutic potential of GABAB receptor ligands in drug addiction, anxiety, depression and other CNS disorders. Pharmacol. Biochem. Behav. 2013, 110, 174–184. [Google Scholar] [CrossRef] [PubMed]
- Dambrova, M.; Zvejniece, L.; Liepinsh, E.; Cirule, H.; Zharkova, O.; Veinberg, G.; Kalvinsh, I. Comparative pharmacological activity of optical isomers of phenibut. Eur. J. Pharmacol. 2008, 583, 128–134. [Google Scholar] [CrossRef] [PubMed]
- Baures, P.W.; Eggleston, D.S.; Erhard, K.F.; Cieslinski, L.B.; Torphy, T.J.F.; Christensen, S.B. The Crystal structure, absolute configuration, and phosphodiesterase-inhibitory activity of (+)-1-(4-bromobenzyl)-4-(3-(cyclopentyloxy)-4-methoxy pheny-1)-pyrrolidin-2-one. J. Med. Chem. 1993, 36, 3274–3277. [Google Scholar] [CrossRef] [PubMed]
- Schneider, H.H.; Schmiechen, R.; Brezinski, M.; Seidler, J. Stereospecific binding of the antidepressant rolipram to brain protein structures. Eur. J. Pharmacol. 1986, 127, 105–115. [Google Scholar] [CrossRef]
- Olpe, H.R.; Demiéville, H.; Baltzer, V.; Bencze, W.L.; Koella, W.P.; Wolf, P.; Haas, H.L. The biological activity of d-baclofen (Lipresal®). Eur. J. Pharmacol. 1978, 52, 133–136. [Google Scholar] [CrossRef]
- Xu, F.; Peng, G.; Phan, T.; Dilip, U.; Chen, J.L.; Chernov-Rogan, T.; Zhang, X.; Grindstaff, K.; Annamalai, T.; Koller, K.; et al. Discovery of a novel potent GABAB receptor agonist. Bioorg. Med. Chem. Lett. 2011, 21, 6582–6585. [Google Scholar] [CrossRef] [PubMed]
- Ordoñez, M.; Cativiela, C. Stereoselective synthesis of γ-amino acids. Tetrahedron Asymmetry 2007, 18, 3–97. [Google Scholar] [CrossRef]
- Bae, H.Y.; Song, C.E. Unprecedented hydrophobic amplification in noncovalent organocatalysis “on Water”: Hydrophobic chiral squaramide catalyzed michael addition of malonates to nitroalkenes. ACS Catal. 2015, 5, 3613–3619. [Google Scholar] [CrossRef]
- Massolo, E.; Benaglia, M.; Genoni, A.; Annunziata, R.; Celentano, G.; Gaggero, N. Stereoselective reaction of 2-carboxythioesters-1,3-dithiane with nitroalkenes: an organocatalytic strategy for the asymmetric addition of a glyoxylate anion equivalent. Org. Biomol. Chem. 2015, 13, 5591–5596. [Google Scholar] [CrossRef] [PubMed]
- Brenna, E.; Crotti, M.; Gatti, F.G.; Monti, D.; Parmeggiani, F.; Powell, R.W., III; Santangelo, S.; Stewart, J.D. Opposite enantioselectivity in the bioreduction of (Z)-β-aryl-β-cyanoacrylates mediated by the tryptophan 116 mutants of old yellow enzyme 1: Synthetic approach to (R)- and (S)-β-aryl-γ-lactams. Adv. Synth. Catal. 2015, 357, 1849–1860. [Google Scholar] [CrossRef]
- Ghislieri, D.; Gilmore, K.; Seeberger, P.H. Chemical assembly systems: layered control for divergent, continuous, multistep syntheses of active pharmaceutical ingredients. Angew. Chem. Int. Ed. 2015, 54, 678–682. [Google Scholar] [CrossRef] [PubMed]
- Naciuk, F.F.; Vargas, D.Z.; D’Oca, C.R.M.; Moro, C.C.; Russowsky, D. One pot domino reaction accessing γ-nitroesters: synthesis of GABA derivatives. New J. Chem. 2015, 39, 1643–1653. [Google Scholar] [CrossRef]
- Hajra, S.; Aziz, S.M.; Maji, R. Organocatalytic enantioselective conjugate addition of nitromethane to alkylidenemalonates: Asymmetric synthesis of pyrrolidine-3-carboxylic acid derivatives. RSC Adv. 2013, 3, 10185–10188. [Google Scholar] [CrossRef]
- Ooi, T.; Fujioka, S.; Maruoka, K. Highly enantioselective conjugate addition of nitroalkanes to alkylidenemalonates using efficient phase-transfer catalysis of N-spiro chiral ammonium bromides. J. Am. Chem. Soc. 2004, 126, 11790–11791. [Google Scholar] [CrossRef] [PubMed]
- CCDC 1048102 and 1048101 contain the supplementary crystallographic data for this paper. These data can be obtained free of charge via http://www.ccdc.cam.ac.uk/conts/retrieving.html (or from the CCDC, 12 Union Road, Cambridge CB2 1EZ, UK; Fax: +44 1223 336033; E-mail: deposit@ccdc.cam.ac.uk).
- Gruzdev, D.A.; Chulakov, E.N.; Sadretdinova, L.Sh.; Kodess, M.I.; Levit, G.L.; Krasnov, V.P. Synthesis of enantiomers of 3-methyl- and 3-phenyl-3,4-dihydro-2H-[1,4]benzothiazines and their 1,1-dioxides via an acylative kinetic resolution protocol. Tetrahedron Asymmetry 2015, 26, 186–194. [Google Scholar] [CrossRef]
- Gruzdev, D.A.; Chulakov, E.N.; Levit, G.L.; Ezhikova, M.A.; Kodess, M.I.; Krasnov, V.P. A comparative study on the acylative kinetic resolution of racemic fluorinated and non-fluorinated 2-methyl-1,2,3,4-tetrahydroquinolines and 3,4-dihydro-3-methyl-2H-[1,4]-benzoxazines. Tetrahedron Asymmetry 2013, 24, 1240–1246. [Google Scholar] [CrossRef]
- Boyd, E.; Coulbeck, E.; Coumbarides, G.S.; Chavda, S.; Dingjan, M.; Eames, J.; Flinn, A.; Motevalli, M.; Northend, J.; Yohannes, Y. Parallel kinetic resolution of racemic oxazolidinones using quasi-enantiomeric active esters. Tetrahedron Asymmetry 2007, 18, 2515–2530. [Google Scholar] [CrossRef]
- Solis, A.; Luna, H.; Pérez, H.I.; Manjarrez, N.; Sánchez, R.; Gutiérrez, A. (S)-Naproxen® as a derivatizing agent to determine enantiomeric excess of cyanohydrins by HPLC. Tetrahedron Lett. 1998, 39, 8759–8762. [Google Scholar] [CrossRef]
- Blazewska, K.; Gajda, T. (S)-Naproxen® and (S)-Ibuprofen® chlorides–convenient chemical derivatizing agents for the determination of the enantiomeric excess of hydroxyl- and amino-phosphonates. Tetrahedron Asymmetry 2002, 13, 671–674. [Google Scholar] [CrossRef]
- Paraskar, A.S.; Sudalai, A. Co-catalyzed reductive cyclization of azido and cyano substituited α,β-unsaturated esters with NaBH4: Enantioselective synthesis of (R)-baclofen and (R)-rolipram. Tetrahedron 2006, 62, 4907–4916. [Google Scholar] [CrossRef]
- Camps, P.; Muñoz-Torrero, D.; Sánchez, L. Synthesis of both enantiomers of baclofen using (R)- and (S)-N-phenylpantolactam as chiral auxiliaries. Tetrahedron Asymmetry 2004, 15, 2039–2044. [Google Scholar] [CrossRef]
- Thakur, V.V.; Nikalje, M.D.; Sudalai, A. Enantioselective synthesis of (R)-(−)-baclofen via Ru(II)-BINAP catalyzed asymmetric hydrogenation. Tetrahedron Asymmetry 2003, 14, 581–586. [Google Scholar] [CrossRef]
- Corey, E.J.; Zhang, F.Y. Enantioselective michael addition of nitromethane to α,β-enones catalyzed by chiral quaternary ammonium salts. A simple synthesis of (R)-baclofen. Org. Lett. 2000, 2, 4257–4259. [Google Scholar] [CrossRef] [PubMed]
- Langlois, N.; Dahuron, N.; Wang, H.-S. Enantioselective syntheses of (R)-3-phenyl GABA, (R)-baclofen and 4-arylpyrrolidin-2-ones. Tetrahedron 1996, 52, 15117–15126. [Google Scholar] [CrossRef]
- Fallan, C.; Quigley, P.F.; Lam, H.W. Ytterbium-catalyzed conjugate allylation of alkylidene malonates. J. Org. Chem. 2011, 76, 4112–4118. [Google Scholar] [CrossRef] [PubMed]
- Ogiwara, Y.; Takahashi, K.; Kitazawa, T.; Sakai, N. Indium(III)-catalyzed knoevenagel condensation of aldehydes and activated methylenes using acetic anhydride as a promoter. J. Org. Chem. 2015, 80, 3101–3110. [Google Scholar] [CrossRef] [PubMed]
- Zhao, W.; Zhang, Y.; Qu, C.; Zhang, L.; Wang, J.; Cui, Y. Catalytic performance of silica supported cinchona alkaloids as heterogeneous catalysts for asymmetric michael reaction. Catal. Lett. 2014, 144, 1681–1688. [Google Scholar] [CrossRef]
- Li, H.; Wang, Y.; Tang, L.; Deng, L. Highly enantioselective conjugate addition of malonate and β-ketoester to nitroalkenes: Asymmetric C-C bond formation with new bifunctional organic catalysts based on cinchona alkaloids. J. Am. Chem. Soc. 2004, 126, 9906–9907. [Google Scholar] [CrossRef] [PubMed]
- Jia, C.; Chen, D.; Zhang, C.; Zhang, Q.; Cao, B.; Zhao, Z. Mechanosynthesis of γ-nitro dicarbonyl compounds via CaCl2-catalyzed Michael addition. Tetrahedron 2013, 69, 7320–7324. [Google Scholar] [CrossRef]
- Nikonorov, A.A.; Ostroglyadov, E.S.; Vasil’ev, O.S.; Berestovitskaya, B.M. Synthesis and structure of nitroethylpyrrolidone carboxylates. Russ. J. Gen. Chem. 2011, 81, 1681–1690. [Google Scholar] [CrossRef]
- Biswas, K.; Gholap, R.; Srinivas, P.; Kanyal, S.; das Sarma, K. β-Substituted γ-butyrolactams from mucochloric acid: synthesis of (±)-baclofen and other γ-aminobutyric acids and useful building blocks. RSC Adv. 2014, 4, 2538–2545. [Google Scholar] [CrossRef]
- Brodzka, A.; Koszelewski, D.; Cwiklak, M.; Ostaszewski, R. Studies on the chemoenzymatic synthesis of 3-phenyl-GABA and 4-phenyl-pyrrolid-2-one: The influence of donor of the alkoxy group on enantioselective esterification. Tetrahedron Asymmetry 2013, 24, 427–433. [Google Scholar] [CrossRef]
- Marivet, M.C.; Bourguignon, J.J.; Lugnier, C.; Mann, A.; Stoclet, J.-C.; Wermutht, C.G. Inhibition of cyclic adenosine-3’,5’-monophosphate phosphodiesterase from vascular smooth muscle by rolipram analogues. J. Med. Chem. 1989, 32, 1450–1457. [Google Scholar] [CrossRef] [PubMed]
- Jensen, K.L.; Poulsen, P.H.; Donslund, B.S.; Morana, F.; Joergensen, K.A. Asymmetric synthesis of γ-nitroesters by an organocatalytic one-pot strategy. Org. Lett. 2012, 14, 1516–1519. [Google Scholar] [CrossRef] [PubMed]
- Resende, P.; Almeida, W.P.; Coelho, F. An efficient synthesis of (R)-(−)-baclofen. Tetrahedron Asymmetry 1999, 10, 2113–2118. [Google Scholar] [CrossRef]
- Yoshifuji, S.; Kaname, M. Stereospecific synthesis of (R)- and (S)-baclofen and (R)- and (S)-PCPGABA[4-amino-2-(4-chlorophenyl)butyric acid] via (R)-and (S)-3-(4-chlorophenyl)pyrrolidines. Chem. Pharm. Bull. 1995, 43, 1302–1306. [Google Scholar] [CrossRef]
- Chênevert, R.; Desjardins, M. Chemoenzymatic synthesis of both enantiomers of baclofen. Tetrahedron Lett. 1991, 32, 4249–4250. [Google Scholar]
- Sample Availability: Samples of the compounds are not available from the authors.
© 2015 by the authors. Licensee MDPI, Basel, Switzerland. This article is an open access article distributed under the terms and conditions of the Creative Commons by Attribution (CC-BY) license ( http://creativecommons.org/licenses/by/4.0/).