Abstract
Two sulfonated resorcinarenes were synthesized by reacting C-tetra(butyl)resorcinarene or C-tetra(2-(methylthio)ethyl)resorcinarene with formaldehyde in the presence of sodium sulfite. Their structures were determined via FT-IR, 1H-NMR, 13C-NMR and mass spectrometry. Thermal gravimetric analyses of the derivatives were also carried out and revealed the presence of water molecules in the solid state. The sulfonated product of C-tetra(butyl)resorcinarene was characterized by an X-ray crystal structure determination. The asymmetric unit contains eight molecules of water and two of acetone, and analysis indicated that sulfonated resorcinarene prefers a cone configuration (rccc conformation) in the solid state. In the crystal array, classical hydrogen bond interactions O-H···O and intermolecular contacts were observed. In the crystal packing, a linear array of capsules of sulfonated resorcinarenes was generated for a chain of sodium atoms and sulfonate groups.
1. Introduction
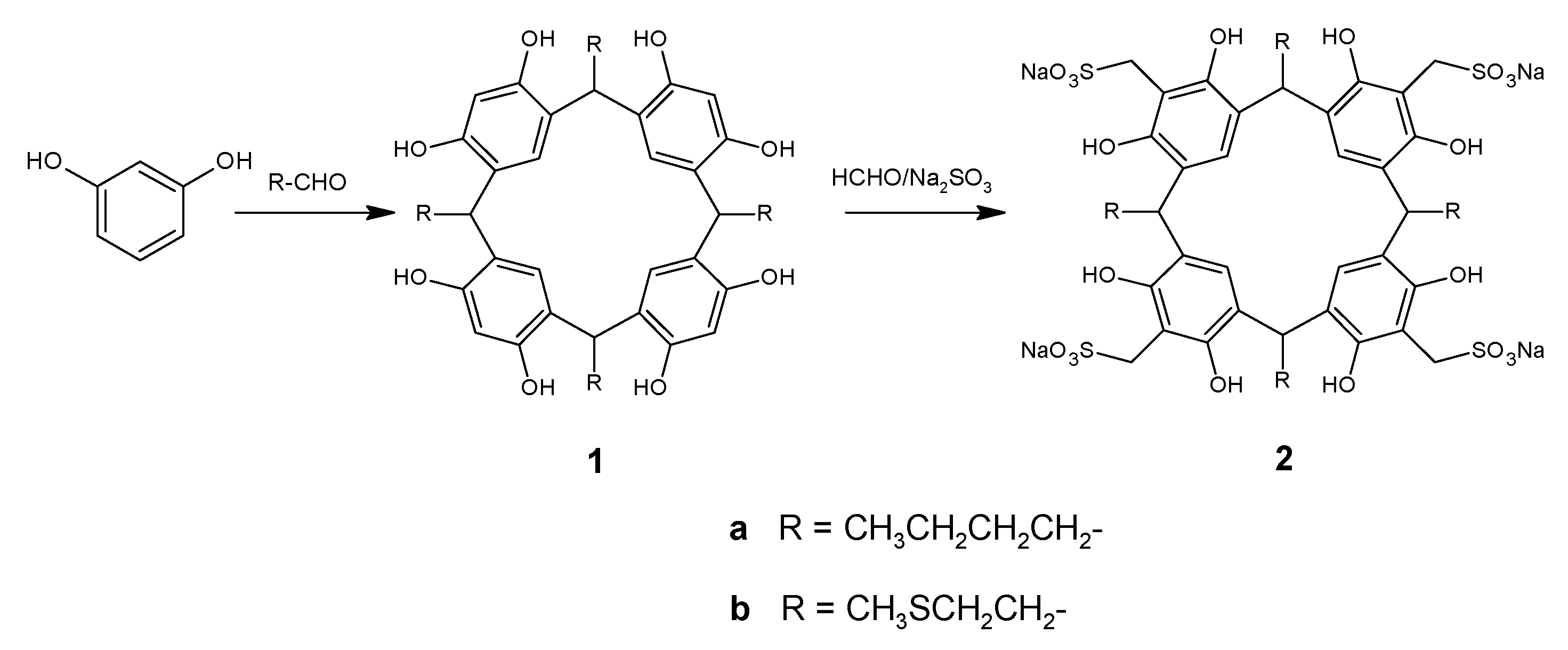
Resorcinarenes are macromolecules with four resorcinol rings linked by methylene bridges. They have an important place in supramolecular chemistry and are of interest in different fields of study, with applications in chemical separations [1,2,3], voltammetric sensors [4], dendrimer synthesis [5,6], dyeing of fibers [7,8], as NMR solvating agents [9], chemical receptors for molecules and ions [10,11,12], absorption of heavy metal ions [13] and the provision of easy access to cavitands and carcerands in synthesis [14]. Resorcinarenes are synthesized by the acid-catalyzed cyclocondensation of resorcinol with aldehydes [15,16] and can be functionalized in various ways: at the methylene bridge of the macrocyclic system during the acid-catalyzed condensation reaction by choosing the aldehyde as a starting material (modification in the lower rim) or via post-synthetic modification of the phenolic hydroxyl groups and/or the free position between hydroxyl groups of resorcinol rings (modification in the upper rim). The synthesis of these derivatives is essential for modulating their conformation via electronic and steric effects, including weak interactions. In the present paper, we describe the synthesis of two novel sulfonated resorcinarenes, which were characterized via FT-IR, 1H-NMR, 13C-NMR, mass spectrometry and TG analysis, as well as via an X-ray crystallographic determination of one of them.
2. Results and Discussion
The first step involved the preparation of C-tetra(butyl)resorcinarene (1a) and C-tetra (2-(methylthio)ethyl)resorcinarene (1b) through the acid-catalyzed cyclocondensation of resorcinol with an aldehyde (valeraldehyde and 3-methylthiopropanaldehyde, respectively) in a 50:50 mixture of ethyl alcohol and water at 75 °C in a manner similar to that described in the literature [17] (Scheme 1). The products were purified by means of recrystallization. These derivatives were characterized using spectral techniques, including FT-IR, 1H-NMR, 13C-NMR and mass spectrometry (see the Experimental Section). Compound 1a had been previously synthesized by other authors [18], and the spectroscopic data agreed with those reported by us. The FT-IR spectrum for 1b is in agreement with the organic functionalities present in the structure of the compound, as it reveals hydroxyl group stretches at 3330 cm−1 (O-H) and 1160 cm−1 (C-O), whereas the C-S of the thioether group is observed at 605 cm−1; bands of the alkyl substituent and the aromatic ring are also observed. The 1H-NMR spectrum showed resonance signals for the aromatic hydrogen atoms (δ = 7.24 and 6.39), the methylene bridge fragments (δ = 4.50) and the thioether moieties (δ = 2.47 and 2.13). The attributions of the signals in the 13C-NMR spectra were based on the analysis of bidimensional techniques and are shown in the Experimental Section. The molecular ion in the mass spectrum was also consistent with the assigned structure for 1b.
Sulfonation of C-tetra(butyl)resorcinarene (1a) and C-tetra(2-(methylthio)ethyl)resorcinarene (1b) was done by direct reaction with formaldehyde solution and sodium sulfite in water at 90–95 °C [19] (Scheme 1). Compound 2a was obtained as a pale yellow solid, UVλmax (H2O) 295 nm, and the molecular weight was determined via ESI-MS (1154.20 g/mol). The FT-IR spectrum of 2a showed sulfonate group (1044 cm−1 and 773 cm−1), aromatic ring (1609 cm−1), alkyl chain (2929 cm−1) and hydroxyl group (3421 cm−1) absorptions. The 1H-NMR spectrum displayed characteristic signals of butyl chains (1.09, 1.45, 1.60 and 2.35 ppm), a methylene bridge fragment between the aromatic rings (4.60 ppm), a methylene bridge fragment between the aromatic rings and the sulfonate group (4.41 ppm) and the aromatic hydrogen of a pentasubstituted resorcinol unit (7.39 ppm). The carbon signals in 13C-NMR were unambiguously assigned through 1D- and 2D-NMR experiments, including HMQC and HMBC.
Compound 2b was obtained as a pale yellow solid, UVλmax (H2O) 288 nm, and the molecular weight was determined via ESI-MS (1193.24 g/mol). The 1H- and 13C-NMR data of 2b were similar to those of 2a, except that 2b showed signals for the thioether chain at 2.09 ppm (-S-CH3), 2.43 ppm, 2.49 ppm and 4.39 ppm for the methylene bridge. The NMR spectroscopic analysis showed the highly symmetrical structure of sulfonated resorcinarenes in solution. Thus, it can be presumed that the preferred conformations in solution of 2a and 2b are more likely to be the cone ones (rccc conformation).
Scheme 1.
Synthetic route to the sulfonated resorcinarenes.
Scheme 1.
Synthetic route to the sulfonated resorcinarenes.

Thermal analysis was performed in order to establish the number of water molecules and in order to elucidate the stoichiometry in sulfonated resorcinarenes. The results are shown in Table 1.
Table 1.
Thermal behavior data for sulfonated resorcinarenes.
| Resorcinarene | Step | Temperature Range (°C) | Δmexp (%) | Δmcalc (%) |
|---|---|---|---|---|
| 2a | 1 | 85–140 | 4.40 | 4.38 |
| 2 | 270–350 | |||
| 2b | 1 | 97–147 | 4.39 | 4.33 |
| 2 | 267–347 |
Sulfonated resorcinarene 2a decomposes in two steps up to 700 °C. The elimination of three water molecules occurs between 85 and 140 °C in the first step. The next step corresponds to the oxidative degradation of resorcinarene, and it occurs between 270 and 350 °C (Figure 1a). For 2b, the water molecules are released at 97 °C. This step is also followed by oxidative degradation of the resorcinarene at 267 °C. On the basis of the above data, the proposed number of water molecules in the two sulfonated resorcinarenes is three (Figure 1b).
These results are in agreement with previous studies for other resorcinarene systems, which show that molecules, such as water, alcohol, pyridine and dimethylformamide can generate solvates [20]. Therefore, most of the solid structures of resorcinarenes reported so far have one to three solvent molecules.
Figure 1.
Thermograms of sulfonated resorcinarenes: (a) Compound 2a; (b) Compound 2b.
Figure 1.
Thermograms of sulfonated resorcinarenes: (a) Compound 2a; (b) Compound 2b.

Our attempts to grow crystals for Compound 2b were unsuccessful, whereas crystals suitable for a single-crystal X-ray diffraction analysis for Compound 2a were obtained from a water-acetone (1:1) solution. Compound 2a crystallizes with eight molecules of water and two molecules of acetone as a one-dimensional coordination polymer. These crystals decompose when they are exposed to air, very likely due to the loss of solvent, but they are stable in solution. The asymmetric unit of 2a is shown in Figure 2, while the values of both the selected lengths and the angles are given in Table 2.
Figure 2.
Asymmetric unit of the crystal structure for 2a (thermal ellipsoids at the 50% probability level). Hydrogen atoms and molecules of acetone are omitted for clarity. Symmetry transformations: (a) x, y + 1, z.
Figure 2.
Asymmetric unit of the crystal structure for 2a (thermal ellipsoids at the 50% probability level). Hydrogen atoms and molecules of acetone are omitted for clarity. Symmetry transformations: (a) x, y + 1, z.

Table 2.
Selected lengths and angles for 2a.
| Atoms | Length (Å) | Atoms | Length (Å) |
| C(14)···C(54) | 5.198(6) | C(20)···C(60) | 7.152(5) |
| C(34)···C(74) | 5.162(4) | C(40)···C(80) | 7.249(5) |
| Na(1)-O(33) | 2.281(3) | Na(1)-O(91) | 2.375(3) |
| Na(1)-O(1w) | 2.863(4) | Na(1)-O(2w) | 2.359(3) |
| Na(1)-O(3w)a | 2.313(3) | Na(1)-O(7w)a | 2.342(3) |
| Na(2)-O(11) | 2.414(3) | Na(2)-O(91) | 2.337(3) |
| Na(2)-O(1w) | 2.729(4) | Na(2)-O(2w) | 2.401(3) |
| Na(2)-O(4w) | 2.350(3) | Na(2)-O(72) | 2.327(3) |
| Na(3)-O(11) | 2.386(3) | Na(3)-O(71) | 2.349(3) |
| Na(3)-O(5w) | 2.370(3) | Na(3)-O(6w) | 2.434(3) |
| Na(3)-O(8w) | 2.887(3) | Na(3)-O(72) | 2.514(3) |
| Na(4)-O(3w) | 2.355(3) | Na(4)-O(5w) | 2.472(3) |
| Na(4)-O(6w) | 2.363(3) | Na(4)-O(7w) | 2.368(3) |
| Na(4)-O(8w) | 2.495(3) | Na(4)-O(53) | 2.369(3) |
| Atoms | Angles (deg) | Atoms | Angles (deg) |
| O(33)-Na(1)-O(2w) | 132.1(1) | O(33)-Na(1)-O(91) | 94.5(1) |
| O(33)-Na(1)-O(1w) | 60.6(1) | O(33)-Na(1)-O(3w)a | 95.7(1) |
| O(33)-Na(1)-O(7w)a | 126.0(1) | O(91)-Na(1)-O(1w) | 69.6(1) |
| O(91)-Na(1)-O(2w) | 86.9(1) | O(91)-Na(1)-O(3w)a | 169.4(1) |
| O(91)-Na(1)-O(7w)a | 87.6(1) | O(1w)-Na(1)-O(2w) | 75.5(1) |
| O(1w)-Na(1)-O(3w)a | 118.2(1) | O(1w)-Na(1)-O(7w)a | 157.1(1) |
| O(2w)-Na(1)-O(3w)a | 88.4(1) | O(2w)-Na(1)-O(7w)a | 101.9(1) |
| O(3w)a-Na(1)-O(7w)a | 84.2(1) | O(11)-Na(2)-O(72) | 90.8(1) |
| O(11)-Na(2)-O(91) | 100.0(1) | O(11)-Na(2)-O(1w) | 93.0(1) |
| O(11)-Na(2)-O(2w) | 166.2(1) | O(11)-Na(2)-O(4w) | 86.8(1) |
| O(72)-Na(2)-O(91) | 104.9(1) | O(72)-Na(2)-O(2w) | 99.1(1) |
| O(72)-Na(2)-O(1w) | 175.8(1) | O(72)-Na(2)-O(4w) | 93.8(1) |
| O(91)-Na(2)-O(1w) | 72.6(1) | O(91)-Na(2)-O(2w) | 86.8(1) |
| O(91)-Na(2)-O(4w) | 159.9(1) | O(1w)-Na(2)-O(2w) | 77.5(1) |
| O(1w)-Na(2)-O(4w) | 88.3(1) | O(2w)-Na(2)-O(4w) | 83.0(1) |
| O(11)-Na(3)-O(72) | 87.1(1) | O(11)-Na(3)-O(71) | 108.1(1) |
| O(11)-Na(3)-O(5w) | 99.8(1) | O(11)-Na(3)-O(6w) | 112.0(1) |
| O(11)-Na(3)-O(8w) | 168.9(1) | O(71)-Na(3)-O(72) | 84.2(1) |
| O(71)-Na(3)-O(5w) | 97.7(1) | O(71)-Na(3)-O(6w) | 139.0(1) |
| O(71)-Na(3)-O(8w) | 70.0(1) | O(72)-Na(3)-O(5w) | 171.8(1) |
| O(72)-Na(3)-O(6w) | 89.5(1) | O(72)-Na(3)-O(8w) | 103.5(1) |
| O(5w)-Na(3)-O(6w) | 83.8(1) | O(5w)-Na(3)-O(8w) | 70.0(1) |
| O(6w)-Na(3)-O(8w) | 72.3(1) | O(53)-Na(4)-O(3w) | 91.4(1) |
| O(53)-Na(4)-O(5w) | 175.5(1) | O(53)-Na(4)-O(6w) | 101.1(1) |
| O(53)-Na(4)-O(7w) | 92.0(1) | O(53)-Na(4)-O(8w) | 103.3(1) |
| O(3w)-Na(4)-O(5w) | 89.8(1) | O(3w)-Na(4)-O(6w) | 94.9(1) |
| O(3w)-Na(4)-O(7w) | 82.7(1) | O(3w)-Na(4)-O(8w) | 165.2(1) |
| O(5w)-Na(4)-O(6w) | 83.1(1) | O(5w)-Na(4)-O(7w) | 83.9(1) |
| O(5w)-Na(4)-O(8w) | 75.6(1) | O(6w)-Na(4)-O(7w) | 166.8(1) |
| O(6w)-Na(4)-O(8w) | 81.1(1) | O(7w)-Na(4)-O(8w) | 98.0(1) |
Symmetry transformations: (a) x, y + 1, z.
The resorcinarene moiety shows the four C-butyl chains in the lower rim, adopting an rccc configuration, which has also been observed for other resorcinarenes [21,22,23,24]. The bond lengths and angles are similar to those found in the reported examples, with C···C diagonal distances of C(14)···C(54) 5.198(6), C(34)···C(74) 5.162(4), C(20)···C(60) 7.152(5) and C(40)···C(80) 7.249(5) Å [20,21,22] (see Figure 3).
Figure 3.
Resorcinarene moiety of 2a (thermal ellipsoids at the 50% probability level). Methyl, methylene, methine and aromatic hydrogen atoms are omitted for clarity. Relevant hydrogen interactions are showed. Symmetry code: (b) −x + 1, −y, −z + 1.
Figure 3.
Resorcinarene moiety of 2a (thermal ellipsoids at the 50% probability level). Methyl, methylene, methine and aromatic hydrogen atoms are omitted for clarity. Relevant hydrogen interactions are showed. Symmetry code: (b) −x + 1, −y, −z + 1.

On the other hand, the methylsulfonate groups are located in the upper rim of the macrocycle and are involved in O-H···O hydrogen bonding interactions, with a hydroxyl group linked to the same resorcinol ring (Figure 3, Table 3).
Moreover, the sulfonate moieties are coordinated to sodium atoms, constructing infinite chains of sodium centers, which are bridged by water, acetone or sulfonate fragments, as shown in Figure 4. This system with sodium atoms is reminiscent of those reported for sulfonated calixarenes [25,26].
Focusing on one of these chains, the sodium atom Na(1) is six-coordinate and bonded to one oxygen atom (O(33)) of a sulfonate group (corresponding to S(3)), four water molecules (O(1w), O(2w), O(3w) and O(7w)), and the oxygen atom (O(91)) of an acetone molecule. The bond lengths Na(1)-O are in the range 2.281(3)–2.375(3) Å and compare well with sodium-oxygen coordination bonds [27], except for the long-range interaction Na(1)-O(1w) at 2.863(4) Å. If this long Na(1)-O bond is not considered, the coordination geometry for Na(1) may be described as being distorted trigonal bipyramidal. In this geometry, the atoms O(33), O(2w) and O(7w) occupy the equatorial positions (the sum of angles subtended at the Na(1) center in the equatorial plane results in 360.0°), and the atoms O(91) and O(3w) are in the axial coordination sites, with the O(91)-Na(1)-O(3w) angle at 169.4(1)°. The oxygen atom O(1w) caps the triangular face formed by O(33), O(91) and O(2w).
The sodium atom Na(3) is also six-coordinate through bonding to three oxygen atoms, (O(11), O(71) and O(72)), of the sulfonate groups and three water molecules, (O(5w), O(6w) and O(8w)). The distances Na(3)-O, 2.349(3)–2.514(3) Å, are typical for sodium-oxygen bonds [27], except for the long bond length Na(3)-O(8w) at 2.887(3) Å. The geometry for Na(3) is similar to the coordination described for Na(1). Thus, in a distorted trigonal bipyramidal geometry, the atoms O(72) and O(5w) are located in axial positions, while O(11), O(71) and O(6w) occupy the equatorial plane with a sum of angles resulting in 359.1°. The oxygen atom O(8w) caps the face formed by O(71), O(5w) and O(6w).
Table 3.
Relevant hydrogen bonds a for Compound 2a.
| D-H···A | D···A/Å | H···A/Å | D-H···A/° |
|---|---|---|---|
| O(15)-H(15)···O(76) | 2.780(4) | 1.98(5) | 155(4) |
| O(16)-H(16)···O(13) | 2.667(3) | 1.86(5) | 163(5) |
| O(35)-H(35)···O(16) | 2.823(4) | 1.99(5) | 170(5) |
| O(36)-H(36)···O(32) | 2.699(4) | 1.83(4) | 168(4) |
| O(55)-H(55)···O(36) | 2.791(4) | 2.02(5) | 166(5) |
| O(56)-H(56)···O(53)b | 2.765(3) | 1.87(5) | 169(4) |
| O(75)-H(75)···O(56) | 2.825(4) | 2.04(5) | 175(5) |
| O(76)-H(76)···O(71) | 2.721(3) | 1.89(5) | 164(4) |
| O(1w)-H(1B)···O(13) | 2.665(5) | 1.82(4) | 162(3) |
| O(2w)-H(2B)···O(52)c | 2.718(4) | 1.92(3) | 173(3) |
| O(3w)-H(3A)···O(4w)d | 2.756(4) | 2.03(3) | 149(3) |
| O(3w)-H(3B)···O(1w)d | 2.720(5) | 1.98(4) | 152(3) |
| O(4w)-H(4A)···O(12)d | 2.756(4) | 2.03(3) | 149(3) |
| O(4w)-H(4B)···O(31)e | 2.724(5) | 1.92(3) | 170(2) |
| O(5w)-H(5A)···O(51)f | 2.803(4) | 2.03(3) | 160(3) |
| O(5w)-H(5B)···O(32)f | 2.849(4) | 2.05(4) | 166(3) |
| O(6w)-H(6A)···O(73)b | 2.889(4) | 2.27(5) | 134(4) |
| O(6w)-H(6B)···O(12)d | 2.832(4) | 2.03(3) | 172(3) |
| O(7w)-H(7A)···O(51)f | 2.728(4) | 1.93(5) | 166(5) |
| O(7w)-H(7B)···O(8w)g | 2.812(3) | 2.01(2) | 172(2) |
| O(8w)-H(8A)···O(73)b | 2.796(4) | 2.03(4) | 158(4) |
| O(8w)-H(8B)···O(52)f | 2.968(4) | 2.25(4) | 148(3) |
a Symmetry transformation: (b) −x + 1, −y, −z + 1; (c) −x + 1, −y + 1, −z + 1; (d) −x, −y, −z + 1; (e) −x, −y + 1, −z + 1; (f) x, y − 1, z; (g) −x + 1, −y − 1, −z + 1. A = acceptor; D = donor. Symmetry operator applied to acceptor atoms.
Figure 4.
Perspective view of 2a. Resorcinarenyl units are showed in blue. C-butyl chains and non-water hydrogen atoms are omitted for clarity. Symmetry code: (a) x, y + 1, z; (b) −x + 1, −y, −z + 1; (f) x, y – 1, z.
Figure 4.
Perspective view of 2a. Resorcinarenyl units are showed in blue. C-butyl chains and non-water hydrogen atoms are omitted for clarity. Symmetry code: (a) x, y + 1, z; (b) −x + 1, −y, −z + 1; (f) x, y – 1, z.

The sodium atoms Na(2) and Na(4) are also six-coordinate, although the coordination geometry for them is best described as distorted octahedral. Na(2) is linked to two oxygen atoms (O(11) and O(72)) of sulfonate moieties, three water molecules (O(1w), O(2w) and O(4w)) and the oxygen atom (O(91)) of an acetone molecule; whereas the coordination sphere for Na(4) comprises one oxygen (O(53)) of a sulfonate group and five water molecules (O(3w), O(5w), O(6w), O(7w) and O(8w)). The angles O-Na(2)-O and O-Na(4)-O in contiguous positions are in the ranges 72.6(1)–104.9(1)° and 75.6(1)–103.3(1)°, respectively. The distances Na(2)-O and Na(4)-O, spanning 2.327(3)–2.729(4) Å and 2.355(3)–2.495(3) Å, are similar to the other sodium-oxygen bond lengths in the structure.
This chain of sodium atoms is connected to another one via two bridging sulfonate groups (corresponding to S(7) and S(7)b) and O-H···O hydrogen bonds (Table 3)), defining a system of two parallel chains (Figure 5). This double chain is covered by the resorcinarene units, providing an infinite one-dimensional array of sodium centers and macrocycles. New O-H···O hydrogen bonding interactions established between the double chains produce layers (Figure 6) that are held in alternating hydrophilic-hydrophobic bilayer packing.
Figure 5.
Perspective view of the double chain of sodium atoms for 2a. Resorcinarenyl cycles are showed in blue. Symmetry transformation: (a) x, y + 1, z; (b) −x + 1, −y, −z + 1; (c) −x + 1, −y + 1, −z + 1; (f) x, y – 1, z; (g) −x + 1, −y – 1, −z + 1.
Figure 5.
Perspective view of the double chain of sodium atoms for 2a. Resorcinarenyl cycles are showed in blue. Symmetry transformation: (a) x, y + 1, z; (b) −x + 1, −y, −z + 1; (c) −x + 1, −y + 1, −z + 1; (f) x, y – 1, z; (g) −x + 1, −y – 1, −z + 1.

Figure 6.
Perspective view of a layer for 2a. Sodium atoms are showed as purple spheres.
Figure 6.
Perspective view of a layer for 2a. Sodium atoms are showed as purple spheres.

In general, the only difference between the two synthesized compounds is the replacement of the third carbon atom by a sulfur atom in the attached chain of the lower rim of the resorcinarene, but this change appears to be enough to produce differences in the behavior between the sulfonated resorcinarenes. In our work, the differences become evident in our failed attempts of recrystallization of 2b by similar methods; nevertheless, this is the start of future research focusing on their physicochemical properties and behavior in solution.
3. Experimental Section
3.1. General Information
FT-IR spectra were recorded in potassium bromide pellets using a Thermo Nicolet IS10 spectrophotometer (Bogotá, Colombia); peaks are reported in cm–1. 1H- and 13C-NMR spectra were recorded on a Bruker Avance (Bogotá, Colombia) (400 MHz for 1H-NMR and 100 MHz for 13C-NMR) spectrometer in CD3OD and/or D2O; the chemical shifts are given in δ units (ppm). Mass spectra were performed on an Agilent Infinite 1260 mass spectrometer (Bogotá, Colombia), QToF 6520 detector. Analytical thin layer chromatography (TLC) was determined on aluminum sheets precoated with silica gel (Merck, Kieselgel 60 PF254). Visualization was accomplished by UV light. The elemental analysis for Carbon, Hydrogen and Sulphur was carried out using a Thermo Flash 2000 Elemental Analyzer (Bogotá, Colombia). The thermogravimetric analysis (TG) was done using a Netzsch STA 409 thermobalance (Bogotá, Colombia) with a sample weight between 14 and 28 mg, over a temperature range of 20–900 °C and with a heating rate of 10 °C/min. The measurements were carried out in nitrogen atmosphere (flow rate 16.66 mL/min) by using an alumina crucible.
3.2. General Synthetic Method for Resorcinarenes 1a and 1b
This was performed according to the procedure given by Hogberg [17]. To a solution of resorcinol (0.10 mol) and the respective aldehyde (valeraldehyde or 3-methylthiopropanaldehyde, 0.10 mol), in a 1:1 ethanol/water mixture (40 mL), concentrated hydrochloric acid (10 mL) was added. The reaction mixture was stirred at 75 °C for 1 h, afterwards cooled in an ice bath and, finally, filtered. The precipitate was recrystallized in water, washed and dried at 60 °C for 48 h.
C-Tetra(butyl)resorcinarene (1a): Pale yellow powder. Yield 87%; IR (KBr, υ cm–1): 3314 (O-H), 1194 (C-O); 1H-NMR (δ, DMSO-d6): 0.90 (t, 12H, J = 8.0 Hz, -CH3), 1.23 (m, 16H, CH2CH2), 2.11 (q, 8H, J = 8.0 Hz, CH2), 4.23 (t, 4H, J = 8.0 Hz, CH), 6.15 (s, 4H, ArH, ortho to OH), 7.26 (s, 4H, ArH, meta to OH), 8.94 (s, 8H, OH). 13C-NMR (δ, DMSO-d6): 16.0 (CH3), 25.8 (CH2), 33.5 (CH2), 36.5 (CH2), 49.1 (CH), 111.2, 126.9, 129.2, 151.0 (C-Ar); ESI-MS m/z 712.90 ((M−H)− calcd. for C44H56O8 712.91). Anal. calcd. for (molecular formula, C44H56O8): C = 74.13, H = 7.92; found: C, 74.02, and H, 7.98.
C-Tetra(2-(methylthio)ethyl)resorcinarene (1b): Pale yellow powder. Yield 82%; IR (KBr, υ·cm−1): 3330 (O-H), 1160 (C-O), 605 (C-S); 1H-NMR (δ, CD3OD): 2.13 (s, 12H, CH3S), 2.47 (m, 16H, CH2CH2), 4.50 (m, 4H, CH), 6.39 (s, 4H, ArH, ortho to OH), 7.24 (s, 4H, ArH, meta to OH). 13C-NMR (δ, CD3OD): 15.8 (CH3), 33.7 (CH2), 34.8 (CH2), 48.1 (CH), 110.5, 127.3, 129.7, 151.0 (C-Ar); ESI-MS m/z 784.06 ((M−H)− calcd. for C40H48O8S4 784.06). Anal. calcd. for (molecular formula, C40H48O8S4): C = 61.20, H = 6.16 and S = 16.34; found: C, 61.06, H, 6.22, and S, 16.32.
3.3. General Method for Sulfonation of Resorcinarenes
This was performed according to the procedure specified by Kazakova et al. [19]. The product (1a or 1b, 0.01 mol) was dissolved in a mixture containing formaldehyde (37%, 4.1 g, 0.05 mol), sodium sulfide (6.3 g, 0.05 mol) and water (30 mL). After a stirring period of 4 h at 90–95 °C, the reaction mixture was cooled to room temperature and neutralized with hydrochloric acid. Then, acetonitrile was added in order to precipitate the sulfonated resorcinarene. The resulting product was recrystallized in acetonitrile, washed with the same solvent and dried at 80 °C under vacuum for 24 h.
Tetrasodium 5,11,17,23-tetrakissulfonatemethylen-2,8,14,20-tetra(butyl)resorcinarene (2a): Pale yellow powder. Yield 81%; IR (KBr, υ cm−1): 3421 (O-H), 2929 (C-H), 1609 (C=C, Ar), 1215 (C-O), 1044 (S=O), 773 (S-O); 1H-NMR (δ, CD3OD): 1.09 (t, 12H, J = 7.6 Hz, CH3), 1.45 (m, 8H, CH2), 1.60 (m, 8H, CH2), 2.35 (q, 8H, J = 7.6 Hz, CH2), 4.41 (s, 8H, CH2), 4.60 (t, 4H, J = 7.6 Hz, CH), 7.39 (s, 4H, ArH). 13C-NMR (δ, CD3OD): 16.1 (CH3), 25.6 (CH2), 32.7 (CH2), 37.0 (CH2), 50.1 (CH), 54.8 (CH2), 112.1, 127.2, 129.0, 153.1 (C-Ar); ESI-MS m/z 1153.23 ((M−Na)− calcd. for C48H60Na3O20S4 1153.20). Anal. calcd. for (molecular formula, C48H60Na4O20S4 + 3H2O): C = 46.82, H = 5.40 and S = 10.42; found: C, 46.65, H, 5.45, and S, 10.39.
Tetrasodium 5,11,17,23-tetrakissulfonatemethylen-2,8,14,20-tetra(2-(methylthio)ethyl)resorcinarene (2b): Pale yellow powder. Yield 65%. IR (KBr, υ cm−1): 3442 (O-H), 2918 (C-H), 1612 (C=C, Ar), 1190 (C-O), 1045 (S=O), 757 (S-O), 605 (C-S). 1H-NMR (δ, D2O): 2.09 (s, 12H, CH3S), 2.43–2.49 (m, 16H, CH2CH2), 4.20 (s, 8H, CH2), 4.39 (m, 4H, CH), 7.19 (s, 4H). 13C-NMR (δ, D2O): 15.8 (CH3), 32.8 (CH2), 35.8 (CH2), 47.8 (CH), 52.6 (CH2), 110.5, 127.3, 129.7, 151.0 (C-Ar); ESI-MS m/z 1226.35 ((M−Na)– calcd. for C44H52Na3O8S4 1226.35). Anal. calcd. for (molecular formula, C44H52Na4O20S8 + 3H2O): C = 40.55, H = 4.49 and S = 19.68; found: C, 40.61, H, 4.53, and S, 19.64.
3.4. X-ray Crystallography
Crystals of 2a were obtained from a water/acetone (1:1) mixture by slow evaporation at room temperature. The crystals were removed from the vial and covered with a layer of a viscous perfluoropolyether (Fomblin Y). A suitable crystal was selected with the help of a microscope, mounted on a cryoloop and placed in the low-temperature nitrogen stream of the diffractometer. The intensity datasets were collected at 200 K on a Bruker-Nonius KappaCCD diffractometer equipped with an Oxford Cryostream 700 unit. Crystallographic data are presented in Table 4.
The structure was solved, using the WINGX package [28], y direct methods (SHELXS-2013) [29] and refined by least-squares against F2 (SHELXL-2014) [29]. Compound 2a crystallized with eight molecules of water and two molecules of acetone. All non-hydrogen atoms were anisotropically refined. Methyl, methylene, methine and aromatic hydrogen atoms were positioned geometrically and refined by using a riding model in the last cycles of refinement, whereas hydroxyl and water molecules’ hydrogen atoms were isotropically refined. SADI restraints were employed for the water molecules, except the molecule corresponding to O(1w), which was treated with DFIX instruction. Moreover, Uiso or hydrogen atoms H(1A)) and H(1B), linked to O(1w), were fixed with a value of 0.05. CCDC 1050083 contains the supplementary crystallographic data for the present paper [30].
Table 4.
Crystallographic data for compound 2a.
| Crystal Parameters | Data/Values |
|---|---|
| CCDC a deposition number | 1050083 |
| Empirical formula | C54H88Na4O30S4 |
| Moiety formula | C51H82Na4O29S4, C3H6O |
| Formula weight | 1437.44 |
| Temperature | 200(2) K |
| Wavelength | 0.71073 Å |
| Crystal system | Triclinic |
| Space group | P-1 |
| Unit cell dimensions | a = 12.055(2) Å, α = 80.28(1)° |
| b = 12.384(1) Å, β = 88.26(1)° | |
| c = 23.563(3) Å, γ = 72.81(1)° | |
| Volume | 3311.7(8) Å3 |
| Z | 2 |
| Dcal | 1.442 g·cm−3 |
| Absorption coefficient | 0.256 mm−1 |
| F(000) | 1520 |
| Crystal size | 0.16 × 0.10 × 0.10 mm3 |
| range | 3.06° to 27.50° |
| Index ranges (h, k, l) | −15 to 15 |
| −16 to 16 | |
| −30 to 30 | |
| Reflections collected | 99438 |
| Unique data | 15,183, R(int) = 0.107 |
| Observed data (I > 2σ(I)) | 8986 |
| Goodness-of-fit on F2 | 1.040 |
| Final R indices (I > 2σ(I)) | R1 = 0.066, wR2 = 0.136 |
| R indices (all data) | R1 = 0.134, wR2 = 0.167 |
| Largest diffraction peak and hole | 1.219 and −0.572 e·Å−3 |
a Cambridge Crystallographic Data Centre.
4. Conclusions
In the present investigation, two novel sulfonated resorcinarenes were prepared in good yields and high purity through reactions of cyclocondensation and sulfonation using resorcinol and aldehydes (valeraldehyde or 3-methylthiopropanaldehyde) as raw materials. NMR data suggest that the preferred conformation in solution of 2a and 2b is rccc (cone conformation), and thermogravimetric analysis revealed that the number of water molecules in both compounds is three in the amorphous solid state. The X-ray structure of 2a was in good agreement with the NMR data and corroborates the fact that only one rccc conformation is present in the crystalline solid. Finally, in the crystal packing of 2a, the molecules come together to form a linear array based on sodium centers and sulfonated resorcinarenes with a capsule motif, and the bilayer is stabilized in the extended structure.
Acknowledgments
The authors acknowledge the Faculty of Science of the Universidad de los Andes, Factoría de Cristalización (CONSOLIDER-INGENIO 2010 CSD2006-00015), Universidad de Alcalá and Universidad Nacional de Colombia for their financial support of this research.
Author Contributions
E.V. and M.M. designed the research. E.S. carried out the experimental part. The crystal structure analysis was finished by A.P-R. E.S., M.M. and E.V. performed the experiments and collected the data. A.P-R., E.S., M.M., E.V. and M.A.E analyzed the results. A.P-R., E.V. and M.A.E. corrected and edited the manuscript. All of the authors contributed to the preparation of the manuscript.
Conflicts of Interest
The authors declare no conflict of interest.
References and Notes
- Li, N.; Harrison, R.G.; Lamb, J.D. Aplications of resorcinarene derivatives in chemical separations. J. Incl. Phenom. Macrocycl. Chem. 2014, 78, 39–60. [Google Scholar] [CrossRef]
- Tan, H.M.; Soh, S.F.; Zhao, J.; Yong, E.L.; Gong, Y. Preparation and application of methylcalix[4]resorcinarene-bonded silica particles as chiral stationary phase in high-performance liquid chromatography. Chyrality 2011, 23, 91–96. [Google Scholar] [CrossRef] [PubMed]
- Wang, J.; Harrison, R.G.; Lamb, J.D. Anion separation and preconcentration with cyclen and cyclen-resorcinarene derivatives. J. Chromatogr. Sci. 2009, 47, 510–515. [Google Scholar] [CrossRef] [PubMed]
- Wang, F.; Wu, Y.; Lu, K.; Ye, B. A simple but highly sensitive and selective calixarene-based sensor for serotonin. Electrochim. Acta 2013, 87, 756–762. [Google Scholar] [CrossRef]
- Cortez-Maya, S.; Hernandez-Ortega, S.; Ramirez-Apan, T.; Lijanova, I.V.; Martínez-Garcia, M. Synthesis of 5-aryl-1,4-benzodiazepine derivatives attached in resorcinarene-PANAM dendrimers and their anti-cancer activity. Bioorg. Med. Chem. 2012, 20, 415–421. [Google Scholar] [CrossRef] [PubMed]
- Lijanova, I.V.; Moggio, I.; Arias, E.; Klimova, T.; Martínez-Garía, M. Resorcinarene-dendrimers with stilbene moieties for optoelectronics. Tetrahedron 2008, 64, 10258–10266. [Google Scholar] [CrossRef]
- Jain, V.K.; Kanaiva, P.H.; Bhojak, N. Synthesis, spectral characterization of azo dyes derived from calix[4]resorcinarene and their application in dyeing of fibers. Fiber. Polym. 2008, 9, 720–726. [Google Scholar] [CrossRef]
- Kazakova, E.K.; Morozova, J.E.; Mironova, D.A.; Konovalov, A.I. Sorption of azo dyes from aqueous solutions by tetradodecyloxybenzylcalix[4]resorcinarene derivatives. J. Incl. Phenom. Macrocycl. Chem. 2012, 74, 467–472. [Google Scholar] [CrossRef]
- O’farrell, C.M.; Chudomel, J.M.; Collins, J.M.; Dignam, C.F.; Wenzel, T.J. Water-soluble calix[4]resorcinarenes with hydroxyproline groups as chiral NMR solvating agents. J. Org. Chem. 2008, 73, 2843–2851. [Google Scholar] [CrossRef] [PubMed]
- Beyeh, N.K.; Weimann, D.P.; Kaufmann, L.; Schalley, C.A.; Rissanen, K. Ion-pair recognition of tetramethylammonium salts by halogenated resorcinarenes. Chem. Eur. J. 2012, 18, 5552–5557. [Google Scholar] [CrossRef] [PubMed]
- Salorinne, K.; Weimann, D.P.; Schalley, C.A.; Nissinen, M. Resorcinarene podand with amine functionalized side arms Synthesis, structure and binding properties of a neutral anion receptor. Eur. J. Org. Chem. 2009, 35, 6151–6159. [Google Scholar] [CrossRef]
- Hayashida, O.; Uchiyama, M. Cyclophane-based tetra(resorcinarene) as a host for both histone and hydrophobic molecular guests. Tetrahedron Lett. 2006, 47, 4091–4094. [Google Scholar] [CrossRef]
- Sarjono, R.E.; Siswanta, D.; Santosa, S.J.; Otho, K. Adsortion characteristics of Pb(II) and Cr(III) onto C-Methylcalix[4]resorcinarene. J. Korean Chem. Soc. 2011, 55, 454–462. [Google Scholar]
- Aoyama, Y.; Tanaka, Y.; Sugahara, S. Molecular recognition. 5. Molecular recognition of sugar via hydrogen-bonding interaction with a synthetic polyhydroxy macrocycle. J. Am. Chem. Soc. 1989, 111, 5397–5404. [Google Scholar] [CrossRef]
- Thoden van Velzen, E.U.; Engbersen, J.F.J.; Reinhoudt, D.N. Self-Assembled Monolayers of Receptor Adsorbates on Gold: Preparation and Characterization. J. Am. Chem. Soc. 1994, 116, 3597–3598. [Google Scholar] [CrossRef]
- Hedidi, M.; Hamdi, S.M.; Mazari, T.; Boutemeur, B.; Rabia, F.; Chemat, F.; Hamdi, M. Microwave-assisted synthesis of Calix[4]resorcinarenes. Tetrahedron 2006, 62, 5652–5655. [Google Scholar] [CrossRef]
- Hoegberg, A.G.S. Two stereoisomeric macrocyclic resorcinol-acetaldehyde condensation products. J. Org. Chem. 1980, 45, 4498–4500. [Google Scholar] [CrossRef]
- Tundstad, L.M.; Tucker, J.A.; Dalcanale, E.; Weiser, J.; Bryant, J.A.; Sherman, J.C.; Helgeson, R.C.; Knobler, C.B.; Cram, D.J. Host-Guest Complexation. 48. Octol Building Blocks for Cavitands and Carcerands. J. Org. Chem. 1989, 54, 1305–1312. [Google Scholar] [CrossRef]
- Kazakova, E.K.; Makarova, N.A.; Ziganshina, A.U.; Muslinkina, L.A.; Muslinkin, A.A.; Habicher, W.D. Novel water-soluble tetrasulfonatomethylcalix[4]resorcinarenes. Tetrahedron Lett. 2000, 41, 10111–10115. [Google Scholar] [CrossRef]
- Pietraszkiewicz, O.; Utzig, E.; Zielenkiewics, W.; Pietraszkiewicz, M. Thermochemical investigation of some selected solvates of calix[4]resorcinarene. J. Thermal Anal. 1998, 54, 249–255. [Google Scholar] [CrossRef]
- Li, L.; Sun, J.; Zhang, L.; Yao, R.; Yan, C. Crystal structure and fluorescence sensing properties of tetramethoxyresorcinarene functionalized Schiff bases. J. Mol. Struct. 2015, 1081, 355–361. [Google Scholar] [CrossRef]
- Mcldowie, M.J.; Mecerino, M.; Skelton, B.W.; White, A.H. Facile Lewis Acid Catalized Synthesis of C4 Symetric Resorcinarenes. Org. Lett. 2000, 24, 3869–3871. [Google Scholar] [CrossRef]
- Sun, J.; Zhang, L.; Yao, R.; Yan, C. Synthesis, crystal structures and complexing properties of tetramethoxyresorcinarene functionalized tetraacylhidrazones. J. Incl. Phenom. Macrocycl. Chem. 2014, 79, 485–494. [Google Scholar] [CrossRef]
- Tero, T.; Nisinnen, M. A perspective to resorcinarene crowns. Tetrahedron 2014, 70, 1111–1123. [Google Scholar] [CrossRef]
- Webb, H.R.; Hardie, M.J.; Raston, C.L. Scandium(III) Coordination Polymers Containing Capsules Based on Two p-Sulfonatocalix[4]arenes. Chem. Eur. J. 2001, 7, 3616–3620. [Google Scholar] [CrossRef]
- Asfari, Z.; Harrowfield, J.; Thuéry, P.; Vicens, J. Calixarenes as Polyhapto-aromatic Ligands: Alkali Metal Ions and Sulfonated Calixarenes. Supramol. Chem. 2003, 15, 69–77. [Google Scholar] [CrossRef]
- Harlow, R.L.; Simons, D.M.; Weber, P.C. Structure of sodium 4-(4-hydroxyphenylazo)benzoato tetrahydrate. Acta Crystallogr. Sect. C 1992, 48, 48–50. [Google Scholar] [CrossRef]
- Farrugia, L.J. WinGX suite for small-molecule single-crystal crystallography. J. Appl. Crystallogr. 1999, 32, 837–838. [Google Scholar] [CrossRef]
- Sheldrick, G.M. A short history of SHELX. Acta Crystallogr. Sect. A 2008, 64, 112–122. [Google Scholar] [CrossRef] [PubMed]
- These data can be obtained, free of charge, via http://www.ccdc.cam.ac.uk/conts/retrieving.html (or from the CCDC, 12 Union Road, Cambridge CB2 1EZ, U.K.; Fax: +44 1223 336033; e-mail: deposit@ccdc.cam.ac.uk).
- Sample Availability: Samples of the compounds 1a, 1b, 2a and 2b are available from the authors.
© 2015 by the authors. Licensee MDPI, Basel, Switzerland. This article is an open access article distributed under the terms and conditions of the Creative Commons Attribution license ( http://creativecommons.org/licenses/by/4.0/).