Abstract
The search for reactions where KOtBu and other tert-alkoxides might behave as single electron donors led us to explore their reactions with tetrahalomethanes, CX4, in the presence of adamantane. We recently reported the halogenation of adamantane under these conditions. These reactions appeared to mirror the analogous known reaction of NaOH with CBr4 under phase-transfer conditions, where initiation features single electron transfer from a hydroxide ion to CBr4. We now report evidence from experimental and computational studies that KOtBu and other alkoxide reagents do not go through an analogous electron transfer. Rather, the alkoxides form hypohalites upon reacting with CBr4 or CCl4, and homolytic decomposition of appropriate hypohalites initiates the halogenation of adamantane.
1. Introduction
Recent reports have described transition-metal-free reactions, such as the coupling of haloarenes with arenes [1,2,3,4], that are promoted by a combination of KOtBu and an organic additive. The reactions proceed by a radical mechanism, with a single electron transfer (SET) step initiating the formation of the radicals. It has previously been reported that KOtBu is capable of reductively activating a range of substrates via single electron transfer [5,6], and this led some authors to propose that tert-butoxide anion is responsible for the initiation of these coupling reactions, either alone or in complexation with an additive, such as 1,10-phenanthroline, in the ground state [2,3,7,8,9,10,11]. However, recent publications have shown that the KOtBu base reacts with the organic additive to form an electron donor in situ. SET from this electron donor then initiates the radical chain mechanism, not SET from tert-butoxide anion [12,13,14]. The investigations begged the question: “under what circumstances would KOtBu behave as a single electron donor?” To answer that question, we were drawn to the research of Schreiner and Fokin et al., who reduced CBr4 using aqueous NaOH and a phase-transfer catalyst in a two-phase system that led to the bromination of adamantane [15,16]. They demonstrated that reaction of hydroxide anion with CBr4 led to the tribromomethyl radical 4, and concluded that this reflected direct electron transfer from hydroxide to CBr4 (Scheme 1). This tribromomethyl radical 4 undergoes a chain reaction, where it abstracts a hydrogen atom from adamantane 5 to form the alkyl radical 7 and bromoform 6. The adamantyl radical 7 abstracts a bromine atom from CBr4, forming adamantyl bromide 8 and regenerating the tribromomethyl radical 4 [15]. The reactions of the tribromomethyl radical show diagnostic high selectivities for abstracting tertiary CH hydrogen atoms (to ultimately form 1-bromoadamantane) over secondary (CH2) counterparts (which would ultimately form 2-bromoadamantane).
Scheme 1.
The Schreiner–Fokin mechanism for the bromination of alkanes from reaction of hydroxide with carbon tetrabromide [15].
Recently, we showed that KOtBu reacts with CBr4 and adamantane (40 °C, 96 h) to afford bromoadamantane—in a reaction that appears to mirror the work of Schreiner and Fokin et al.—with NaOH, although phase-transfer conditions were not used [17]. The oxidation potential of KOtBu in DMF (0.10 V vs. SCE) [8] is not too different from the reduction potential of CBr4 in DMF (−0.31 V vs. SCE) [18]. It was therefore proposed that KOtBu might reduce CBr4 through an electron transfer mechanism, but the door was left open to further investigation. The aim of this paper is to explore the chemistry of KOtBu and related tertiary alkoxides in this context.
2. Results
The analogy of the proposed reaction of KOtBu with CBr4 or CCl4 (Scheme 2) to the Schreiner–Fokin reaction of NaOH with this halide is striking (Scheme 1). Upon donation of an electron, the alkoxide anion 9 would form the corresponding alkoxyl radical 10, which can undergo either hydrogen atom transfer (HAT) to form 11, or β-scission to form the derived ketone 12 (for appropriate R). Either the alkoxyl radical 10 or the methyl radical can abstract a hydrogen atom from adamantane; the adamantyl radical would then propagate the reaction as in Scheme 1. In order to detect the product from the β-scission of the alkoxyl radical 10, and bearing in mind the volatility of acetone from β-scission of tert-butoxyl radicals, we synthesized potassium 2-phenylpropan-2-olate 14 and used it as a base to explore a range of reaction conditions (Table 1).
Scheme 2.
The proposed mechanism for single electron transfer (SET) from tert-alkoxides to CBr4.
Table 1.
The reaction of the potassium 2-phenylpropan-2-olate 14 in dichloromethane at 40 °C a.
Surprisingly, and in contrast to the case for KOtBu, exposure of 14 to CBr4 in dichloromethane solvent at 40 °C led to no bromination of adamantane (Table 1, entry 1). The products (2,2-dibromo-1-methylcyclopropyl)benzene 16, methylstyrene 17 and (2,2-dichloro-1-methylcyclo-propyl)benzene 19 were observed, in addition to 2-phenylpropanol 15 and unreacted adamantane 18 (Table 1, entry 1). To avoid the complexity of having compounds bearing different halogens in the reaction mixture, the reaction was repeated in dichloromethane using CCl4 as the reagent, instead of CBr4 (Table 1, entry 2). Although we had no evidence of light-sensitivity, we conducted this and all future experiments in foil-covered flasks [19]. The reaction yielded (2,2-dichloro-1-methylcyclopropyl)-benzene 19 as the major product. Note that a blank reaction in dichloromethane (absence of CX4) resulted in the formation of product, bis((2-phenylpropan-2-yl)oxy)methane (20, 52%) (Table 1, entry 3) [20].
We propose that both (2,2-dibromo-1-methylcyclopropyl)-benzene 16 and (2,2-dichloro-1-methylcyclopropyl)benzene 19 are formed from methylstyrene 17. The formation of methylstyrene is therefore greatly encouraged in the presence of CBr4, consistent with the conversion of the alkoxide to a leaving group (i.e., a hypobromite) (Scheme 3A). It is known that hypobromites are formed from reaction of KOtBu with halogens, X2 [21] (and that hypohalites are precursors to alkene halogenation by radical mechanisms [21,22]), so this reaction shows that they also form from reaction with tetrahalomethanes. The potassium 2-phenylpropan-2-olate 14 nucleophilically attacks a molecule of CBr4 to form the hypobromite 21 and eliminate a CBr3 anion 22. The hypobromite 21 then undergoes an elimination to form methylstyrene 17. The formation of (2,2-dibromo-1-methylcyclopropyl)benzene 16 occurs by decomposition of the tribromomethyl anion to CBr2 23, which attacks methylstyrene 17 (Scheme 3A).
Scheme 3.
(A) The proposed mechanism for the formation of methylstyrene 17 and (2,2-dibromo-1-methylcyclopropyl)-benzene 16 and (B) the CCl2 carbene 27, that is used to form (2,2-dichloro-1-methylcyclopropyl)benzene 19 (not shown).
Analogous to the formation of (2,2-dibromo-1-methylcyclo-propyl)benzene 16, the isolation of (2,2-dichloro-1-methylcyclo-propyl)benzene 19 means that carbenes (in this case, CCl2 27) are formed under the reaction conditions (Scheme 3B). The carbene 27 forms when the potassium 2-phenylpropan-2-olate 14 deprotonates the solvent, CH2Cl2, and the resulting CHCl2 anion 24 undergoes halogen exchange with CBr4 to form bromodichloromethane 25. A second deprotonation would lead to the bromodichloromethyl anion 26, and decomposition of this anion would lead to the dichlorocarbene 27.
In the blank reaction (without CBr4) (Table 1, entry 3), bis((2-phenylpropan-2-yl)oxy)methane 20 is formed by the nucleophilic displacement of chloride from dichloromethane by two molecules of potassium 2-phenylpropan-2-olate 14 (Scheme 4) [23,24]. The fact that bis((2-phenylpropan-2-yl)oxy)methane 20 is only observed in the absence of CBr4 suggests that the reaction of potassium 2-phenylpropan-2-olate 14 with dichloromethane is slower than the reaction with CBr4.
Scheme 4.
Formation of bis((2-phenylpropan-2-yl)oxy)methane 20.
Reflecting on the fact that potassium 2-phenylpropan-2-olate 14 did not give rise to halogenation of adamantane (Table 1), while halogenation was observed when KOtBu was used as the alkoxide (the ratio of adamantane 18:1-bromoadamantane 31:2-bromoadamantane 51 was determined to be 39:3.3:1 [17]), this suggests that either the two alkoxide bases do not react with CBr4 through analogous mechanisms, or that the halogenation reaction was intercepted and inhibited when 14 was used. Interception could occur if methylstyrene 17—formed in the reaction from potassium 2-phenylpropan-2-olate 14—shuts down the radical chain pathway. To probe this possibility, the reaction of KOtBu with CBr4 and adamantane 18 was repeated in the presence of methylstyrene 17 (1 equiv., Scheme 5).
Scheme 5.
Using methylstyrene 17 to block the bromination of adamantane.
The addition of methylstyrene 17 completely inhibited the bromination of adamantane, which suggests that it can shut down the radical mechanism, perhaps by acting as a preferential source of hydrogen atoms, relative to adamantane 18, for the radical intermediates in the reaction. Computationally, the competition between methylstyrene and adamantane as a source of H atoms was modeled using CBr3 radicals, which showed that hydrogen atom abstraction by the CBr3 radical from methylstyrene 17 (ΔGǂ = 10.7 kcal/mol and ΔGrxn = −7.7 kcal/mol) is thermodynamically and kinetically more favorable than from adamantane 18 (ΔGǂ = 13.9 kcal/mol and ΔGrxn = 1.1 kcal/mol) (see Supplementary Materials).
All yields were calculated using 1,3,5-trimethoxybenzene as the internal standard (10 mol %) in the 1H-NMR. The yield of 18 was calculated based on recovery of adamantane 18, the yield of 16 and 19 was calculated based on CBr4. (Note that alkoxide (4 eq.) is capable of forming methylstyrene 17.)
With the knowledge that methylstyrene 17 is capable of preventing bromination of adamantane, why does bromination succeed when KOtBu 29 + CBr4 alone are used? The two hypobromites, tert-butyl hypobromite and 21, may undergo elimination at different rates; additionally, 2-methylpropene (b.p. −6.9 °C) exists as a gas at the reaction temperature. Such a volatile product would likely be found principally in the headspace above the reaction, rather than in solution, and therefore halogenation of adamantane 18 could occur.
As mentioned earlier, Wirth et al. [19] used tert-butyl hypobromite to achieve the bromination of alkanes (while Walling [20] used tert-butyl hypochlorite to achieve chlorination) and proposed that the mechanism was initiated via homolysis of the O–Br bond of tert-butyl hypobromite. Either the bromine radical or the tert-butoxyl radical could abstract the H atom from adamantane. Propagation could then occur when the adamantyl radical abstracts a Br atom from CBr4 [13] or from tert-butyl hypobromite [23].
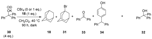
To gain further information on mechanism, an alternative alkoxide, potassium triphenylmethanolate 30, was prepared and subjected to the reaction conditions with CBr4 and adamantane 18 (Table 2).
Table 2.
The reaction of potassium triphenylmethanolate 30 in dichloromethane at 40 °C a.
Reaction of potassium triphenylmethanolate 30 with adamantane in the presence of CBr4 afforded products 1-bromoadamantane 31 (7%) and triphenylmethanol 32 (88%), as well as two additional products, benzophenone 33 (5%) and 4-benzhydrylphenol 34 (12%) (Table 2, entry 1). When CBr4 was not present in the reaction mixture, triphenylmethanol 32 (81%) was isolated following workup, together with a trace (1%) of benzophenone 33 (Table 2, entry 2). Further analysis of the starting material showed trace amounts of 33 present in the commercially supplied triphenylmethanol 32. Background formation of benzophenone 33, in trace amounts from heterolytic fragmentation of similar tertiary alkoxides with expulsion of a phenyl anion, is also precedented [25,26].
The important difference between the reaction in the presence of CBr4 and in its absence (Table 2, entry 1 and entry 2, respectively) is the formation of 4-benzhydrylphenol 34, which can arise through the hypobromite 35 (Scheme 6). Potassium triphenylmethanolate 30 reacts with CBr4 to generate the hypobromite 35. This hypobromite can react by three pathways (1) the OBr anion leaves to form the stabilized cation 36; (2) the O–Br bond fragments ionically with simultaneous migration of a phenyl moiety to form cation 38; or (3) the O–Br bond undergoes homolysis to form alkoxyl radical 40 and a bromine radical, for which there is literature precedent [23]. If pathway (1) is followed, the carbocation 36 is attacked by another molecule of potassium triphenylmethanolate 30 and, due to steric effects, the alkoxide attacks at the para position of one of the benzene rings. In doing so, the species 37 is formed, which, following tautomerism and hydrolytic workup, leads to 34. Alternatively, 36 affords triphenylmethanol 32 on workup. Pathways (2) and (3) ultimately lead to the formation of benzophenone 33; pathway (2) involves the formation of intermediate 38, which reacts with water on workup to form 39 and, ultimately, benzophenone 33. Pathway (3) involves formation of the alkoxyl radical 40, which could form via O–Br homolysis of 35 or, alternatively, by SET from potassium triphenylmethanolate 30 to a molecule of CBr4. This alkoxyl radical might undergo β-scission to form benzophenone 33. However, alternatively, the radical 40 could undergo a neophyl-like rearrangement to form radical 41 (Scheme 6) [27]. The product 43 forms when the radical 42 abstracts a bromine atom from either CBr4 or the hypobromite 35, and 43, in turn, upon workup, undergoes a hydrolytic conversion to benzophenone 33. Previous fragmentations of related alkoxyl radicals have been studied [28,29,30,31,32]. The enhanced formation of benzophenone 33 in the presence of CBr4 could occur through either β-scission of the alkoxyl radical 40 (Scheme 6B), or the ionic mechanism (Scheme 6A).
Scheme 6.
Proposed pathway for the formation of 32, 33 and 34 from 30: (A) through ionic intermediates and (B) through radical intermediates.
The study above provides evidence for significant formation of hypohalites from alkoxides 14 and 30. However, it might be possible for the OtBu anion in KOtBu to behave differently. The absence of electron-withdrawing aryl groups would render it more electron-rich, and, therefore, it might be a better candidate than the other alkoxides to undergo electron transfer.
To probe the ability of alkoxides to donate a single electron, computational modeling was implemented to calculate the energy profile for the SET from both KOtBu and potassium 2-phenylpropan-2-olate 14 to CBr4 in dichloromethane (Figure 1) [33]. Our previous calculations had been based on the classical Nelsen four-point method [34], but, since that time, we published a more accurate complexation method [33] for predicting the activation free energy and the relative free energy of reactions. (The calculations were conducted using the M06-2X functional [35,36] with the 6-311++G(d,p) basis set [37,38,39,40,41] on all atoms, except for the bromine. Bromine was modeled with the MWB28 relativistic pseudo-potential and associated basis set [42]. All calculations were carried out using the C-PCM implicit solvent model [43,44] with the dielectric constant for dichloromethane (ε = 8.93) or carbon tetrachloride (ε = 2.228) as appropriate. All calculations were performed in Gaussian09 [45]).
Figure 1.
Computational modelling of SET from alkoxides, KOtBu and potassium 2-phenylpropan-2-olate 14 to CBr4 in dichloromethane.
The energy barriers for SET from either KOtBu or potassium 2-phenylpropan-2-olate 14, to a molecule of CBr4 were calculated to be ΔGǂ = +35.4 kcal/mol and +36.1 kcal/mol, respectively (while the corresponding ΔGrxn values were +13.9 and +18.9 kcal/mol) (Figure 1). When the energy barrier was calculated for the reactions with CCl4, a similar energy profile was obtained for the SET from either of the two alkoxides to a molecule of CCl4 (see Supplementary Materials). The energy barriers calculated were ΔGǂ = 42.5 kcal/mol and 44.5 kcal/mol for SET to CCl4 from KOtBu and potassium 2-phenylpropan-2-olate 14, respectively. These barriers for reactions of both CBr4 and CCl4 are not accessible for a reaction performed at 40 °C, even as an initiation step. These computationally derived energy profiles for the SET step indicate that the initiation for this halogenation of adamantane 18 is not via SET from the alkoxide; the likely alternative radical pathway arises through homolysis of the hypohalite intermediate [19]. (Importantly, our computation predicts a barrierless, but endergonic, profile for homolysis of the O–Br bond in tBuO–Br with ΔGrxn = +27.6 kcal/mol [34]. This is a highly endergonic reaction, but as it is simply an initiation step, few tBuO–Br molecules are required to undergo homolysis).
3. Experimental Section
3.1. Computational Methods
The calculations were run using the M06-2X functional [35,36] with the 6-311++G(d,p) basis set [37,38,39,40,41] on all atoms except bromine. Bromine was modeled with the MWB28 relativistic pseudo-potential and associated basis set [42]. All calculations were carried out using the C-PCM implicit solvent model [43,44] as implemented in Gaussian09 [45].
3.2. General Experimental Information
All reagents were bought from commercial suppliers and used without further purification unless stated otherwise. All the reactions were carried out under argon atmosphere. Diethyl ether, tetrahydrofuran, dichloromethane and hexane were dried with a Pure-Solv 400 solvent purification system, marketed by Innovative Technology Inc. (Herndon, VA, USA). Organic extracts were, in general, dried over anhydrous sodium sulfate (Na2SO4). A Büchi rotary evaporator was used to concentrate the reaction mixtures. Thin layer chromatography (TLC) was performed using aluminium-backed sheets of silica gel and visualized under a UV lamp (254 nm). The plates were developed using phosphomolybdic acid or KMnO4 solution. Column chromatography was performed to purify compounds by using silica gel 60 (200–400 mesh).
The electron transfer reactions were carried out within a glove box (Innovative Technology Inc.) under nitrogen atmosphere, and performed in an oven-dried or flame-dried apparatus using anhydrous solvents, which were degassed under reduced pressure, then purged with argon and dried over activated molecular sieves (3 Å), prior to being sealed and transferred to the glovebox. All solvent or samples placed into the glovebox were transferred through the port, which was evacuated and purged with nitrogen 10 times before entry. When the reaction mixtures were prepared, the reaction vessel was removed from the glove box and the rest of the reaction was performed in a fumehood.
Proton (1H) NMR spectra were recorded at 400.13, 400.03 and 500.16 MHz on Bruker AV3, AV400 and AV500 spectrometers, respectively. Carbon (13C) NMR spectra were recorded using broadband decoupled mode at 100.61, 100.59 and 125.75 MHz on Bruker AV3, AV400 and AV500 spectrometers, respectively. Spectra were recorded in either deuterated chloroform (CDCl3) or deuterated dimethyl sulfoxide (d6-DMSO), depending on the solubility of the compounds. The chemical shifts are reported in parts per million (ppm), calibrated on the residual non-deuterated solvent signal, and the coupling constants, J, are reported in Hertz (Hz). The peak multiplicities are denoted using the following abbreviations: s, singlet; d, doublet; t, triplet; q, quartet; sx, sextet; m, multiplet; br s, broad singlet; dd, doublet of doublets; dt, doublet of triplets; td, triplet of doublets.
Infrared spectra were recorded on an ATR-IR spectrometer. Melting points were determined on a Gallenkamp melting point apparatus. The mass spectra were recorded by either gas-phase chromatography (GCMS) or liquid-phase chromatography (LCMS), using various ionization techniques, as stated for each compound: atmospheric pressure chemical ionization (APCI), electron ionization (EI), electrospray ionization (ESI). GCMS data were recorded using an Agilent Technologies 7890A GC system coupled to a 5975C inert XL EI/CI MSD detector. Separation was performed using the DB5MS-UI column (30 m × 0.25 mm × 0.25 μm) at a temperature of 320 °C, using helium as the carrier gas. LCMS data were recorded using an Agilent 6130 Dual source mass spectrometer with Agilent 1200, Agilent Poroshell 120ECC 4.6 mm × 75 mm × 2.7 um column.
High-resolution mass spectrometry (HRMS) was performed at the University of Wales, Swansea, in the EPSRC National Mass Spectrometry Centre. Accurate mass was obtained using atmospheric pressure chemical ionization (APCI), chemical ionization (CI), electron ionization (EI), electrospray ionization (ESI) or nanospray ionization (NSI) with a LTQ Orbitrap XL mass spectrometer.
3.3. Synthesis of Alkoxide, Potassium 2-Phenylpropan-2-Olate 14
Potassium hydride (586 mg, 15 mmol, 1.0 eq.) was added to a flame-dried three-necked flask, equipped with a vacuum tap. Under an argon atmosphere, at −78 °C, a solution of 2-phenylpropanol 15 (2.04 g, 15 mmol) in anhydrous diethyl ether (20 mL), as added and the reaction mixture, was stirred at −78 °C for 1 h, then at RT overnight. The solvent was removed under vacuum and the crude material was dried for 1 h to obtain potassium 2-phenylpropan-2-olate 14 (2.46 g, 14.1 mmol, 93%) as an off-white solid m.p. 128–132 °C; (Found: (GCMS-EI) C9H11O (M-K) 135.08); νmax (film)/cm−1 3503, 2972, 1663, 1444, 1433, 1236, 1161, 1067, 1029, 955, 881, 861, 764; 1H-NMR (400 MHz, d6-DMSO) δ 1.41 (6 H, s, 2 × CH3), 7.15–7.19 (1 H, m, ArH), 7.26–7.30 (2 H, m, ArH), 7.45–7.47 (2 H, m, ArH); 13C-NMR (100 MHz, d6-DMSO) δ 31.9 (2 × CH3), 70.5 (C), 124.4 (2 × CH), 125.8 (CH), 127.7 (2 × CH), 150.5 (C). The product was put under an argon atmosphere and transported into the glovebox immediately.
3.4. Blank Reaction (No KOtBu) of CBr4 with Adamantane 18
Adamantane 18 (68 mg, 0.5 mmol), CBr4 (166 mg, 0.5 mmol, 1.0 eq.) and dichloromethane (3.13 mL) were added to an oven-dried pressure tube and the reaction mixture was stirred at 40 °C for 90 h in the dark. The reaction mixture was cooled to RT and quenched with aqueous hydrochloric acid (1 M, 5 mL) and extracted with diethyl ether (4 × 10 mL). The organic phases were combined, dried over Na2SO4, filtered and concentrated in vacuo. 1H-NMR (400 MHz, CDCl3) δ 1.76–1.75 (12 H, m, CH2), 1.88 (4 H, br s, CH); 13C-NMR (100 MHz, CDCl3) δ 28.5 (6 × CH2), 37.9 (4 × CH). (The yield of adamantane 18 [46] (93%) was determined by adding 1,3,5-trimethoxybenzene to the crude mixture as an internal standard for 1H-NMR). These signals are consistent with the literature values and reference samples.
3.5. Reactions of Potassium 2-Phenylpropan-2-Olate 14 with Adamantane 18 and CBr4/CCl4
3.5.1. Table 1, Entry 1
Potassium 2-phenylpropan-2-olate 14 (349 mg, 2 mmol, 4.0 eq.), adamantane 18 (68 mg, 0.5 mmol), CBr4 (166 mg, 0.5 mmol, 1.0 eq.) and dichloromethane (3.13 mL) were added to an oven-dried pressure tube, and the reaction mixture was stirred at 40 °C for 90 h. The reaction mixture was cooled to RT and quenched with aqueous hydrochloric acid (1 M, 5 mL) and extracted with diethyl ether (4 × 10 mL). The organic phases were combined, dried over Na2SO4, filtered and concentrated in vacuo. The yield of 2-phenylpropanol 15 (66%), (2,2-dibromo-1-methylcyclopropyl)-benzene 16 (33%), methylstyrene 17 (18%), adamantane 18 (91%) and (2,2-dichloro-1-methylcyclopropyl)benzene 19 (17%) were determined by adding 1,3,5-trimethoxybenzene to the crude mixture as an internal standard for 1H-NMR. The products were identified by the following characteristic signals; 1H-NMR (400 MHz, CDCl3) δ 1.60 (6 H, s) for 2-phenylpropanol 15; δ 1.72 (3 H, s), 1.78 (1 H, d, J = 7.6 Hz), 2.17 (1 H, d, J = 7.6 Hz) for (2,2-dibromo-1-methylcyclopropyl)benzene 16; δ 2.16 (3 H, s), 5.09 (1 H, s), 5.37 (1 H, s) for methylstyrene 17; δ 1.75–1.77 (12 H, m), 1.88 (4 H, br s) for adamantane 18; δ 1.68 (3 H, s), 1.96 (1 H, d, J = 7.2 Hz) for (2,2-dichloro-1-methylcyclopropyl)benzene 19; 13C-NMR (100 MHz, CDCl3) δ 31.9, 72.7, 124.5, 126.8, 128.4 for 2-phenylpropanol 15; δ 27.9, 33.9, 128.5, 128.6 for (2,2-dibromo-1-methylcyclopropyl)-benzene 16; δ 22.0, 112.5 for methylstyrene 17; δ 28.5, 37.9 for adamantane 18; δ 25.7, 36.6 for (2,2-dichloro-1-methylcyclo-propyl)benzene 19. These signals are consistent with the literature values and reference samples. The compounds 16 and 19 were inseparable, so pure samples of 16 and 19 were prepared for comparison- see below.
3.5.2. Preparation of 16
KOtBu 29 (224 mg, 2 mmol, 4.0 eq.), HCBr3 (0.04 mL, 0.5 mmol, 1.0 eq.) and methylstyrene 17 (0.07 mL, 0.5 mmol) were added to an oven-dried pressure tube. Dichloromethane (3.13 mL) was added and the reaction mixture was stirred at 40 °C for 90 h. The reaction mixture was cooled to RT and quenched with aqueous hydrochloric acid (1 M, 5 mL) and extracted with diethyl ether (4 × 10 mL). The organic phases were combined, dried over Na2SO4, filtered and concentrated in vacuo. The crude material was purified by column chromatography (100% hexane) to give (2,2-dibromo-1-methylcyclopropyl)benzene 16 [18] (82.4 mg, 57%) as a colorless oil [Found: (GCMS-CI) C10H11Br2+ (M + H)+ 288.7]; νmax (film)/cm−1 1496, 1445, 1426, 1060, 1019, 763, 691; 1H-NMR (400 MHz, CDCl3) δ 1.72 (3 H, s, CH3), 1.78 (1 H, d, J = 7.6 Hz, CH2), 2.17 (1 H, d, J = 7.6 Hz, CH2), 7.29–7.38 (5 H, m, ArH); 13C{1H}-NMR (100 MHz, CDCl3) δ 27.9 (CH3), 33.8 (CH2), 35.9 (C), 36.9 (C), 127.4 (CH), 128.5 (2 × CH), 128.6 (2 × CH), 142.5 (C); m/z (CI) 292.6 [(M + H)+, 81Br81Br, 61%), 290.6 [(M + H)+, 79Br81Br, 100), 288.7 [(M + H)+, 79Br79Br, 70)].
3.5.3. Preparation of 19
KOtBu 29 (224 mg, 2 mmol, 4.0 eq.), HCCl3 (0.04 mL, 0.5 mmol, 1.0 eq.) and methylstyrene 17 (0.07 mL, 0.5 mmol) were added to an oven-dried pressure tube. Dichloromethane (3.13 mL) was added and the reaction mixture was stirred at 40 °C for 90 h. The reaction mixture was cooled to RT and quenched with aqueous hydrochloric acid (1 M, 5 mL) and extracted with diethyl ether (4 × 10 mL). The organic phases were combined, dried over Na2SO4, filtered and concentrated in vacuo. The crude material was purified by column chromatography (100% hexane) to give (2,2-dichloro-1-methylcyclopropyl)benzene 19 [18] (63.7 mg, 63%) as a colorless oil [Found: (HRMS-EI) 200.0157. C10H10Cl2 (M)•+ requires 200.0160]; νmax (film)/cm−1 1497, 1446, 1425, 1075, 1033, 1026, 936, 868, 772, 754, 697, 595; 1H-NMR (400 MHz, CDCl3) δ 1.60 (1 H, d, J = 7.2 Hz, CH2), 1.68 (3 H, s, CH3), 1.96 (1 H, d, J = 7.2 Hz, CH2), 7.27–7.38 (5 H, m, ArH); 13C-NMR (100 MHz, CDCl3) δ 25.7 (CH3), 32.0 (CH2), 36.6 (C), 66.0 (C), 127.4 (CH), 128.6 (2 × CH), 128.7 (2 × CH), 141.4 (C); m/z (CI) 203.9 ((M)•+, 37Cl37Cl, 12%), 201.9 ((M)•+, 35Cl37Cl, 70), 199.9 ((M)•+, 35Cl35Cl, 100).
3.5.4. Table 1, Entry 2
Potassium 2-phenylpropan-2-olate 14 (349 mg, 2 mmol, 4.0 eq.), adamantane 18 (68 mg, 0.5 mmol), CCl4 (0.05 mL, 0.5 mmol, 1.0 eq.) and dichloromethane (3.13 mL) were added to an oven-dried pressure tube and the reaction mixture was stirred at 40 °C for 90 h in the dark. The reaction mixture was cooled to RT and quenched with aqueous hydrochloric acid (1 M, 5 mL) and extracted with diethyl ether (4 × 10 mL). The organic phases were combined, dried over Na2SO4, filtered and concentrated in vacuo. The yield of 2-phenylpropanol 15 (67%), methylstyrene 17 (3%), adamantane 18 (76%), (2,2-dichloro-1-methylcyclopropyl)benzene 19 (50%) and bis((2-phenylpropan-2-yl)oxy)-methane 20 (3%) were determined by adding 1,3,5-trimethoxybenzene to the crude mixture as an internal standard for 1H-NMR. The products were identified by the following characteristic signals; 1H-NMR (400 MHz, CDCl3) δ 1.60 (6 H, s) for 2-phenylpropanol 15; δ 2.17 (3 H, s), 5.10 (1 H, s), 5.38 (1 H, s) for methylstyrene 17; δ 1.76–1.78 (12 H, m), 1.89 (4 H, br s) for adamantane 18; δ 1.68 (3 H, s), 1.97 (1 H, d, J = 7.2 Hz) for (2,2-dichloro-1-methylcyclopropyl)benzene 19; δ 4.51 (2 H, s), 7.20–7.24 (2 H, m) for bis((2-phenylpropan-2-yl)oxy)methane 20; 13C-NMR (100 MHz, CDCl3) δ 31.9, 72.7, 124.5, 126.8, 128.4 for 2-phenylpropanol 15; δ 22.0, 112.6 for methylstyrene 17; δ 28.5, 37.9 for adamantane 18; δ 25.6, 36.6 for (2,2-dichloro-1-methylcyclopropyl)benzene 19. These signals are consistent with the literature values and reference samples.
3.5.5. Table 1, Entry 3
Potassium 2-phenylpropan-2-olate 14 (349 mg, 2 mmol, 4.0 eq.), adamantane 18 (68 mg, 0.5 mmol) and dichloromethane (3.13 mL) were added to an oven-dried pressure tube and the reaction mixture was stirred at 40 °C for 90 h in the dark. The reaction mixture was cooled to RT and quenched with aqueous hydrochloric acid (1 M, 5 mL) and extracted with diethyl ether (4 × 10 mL). The organic phases were combined, dried over Na2SO4, filtered and concentrated in vacuo. The yield of 2-phenylpropanol 15 (39%), methylstyrene 17 (1%), adamantane 18 (84%) and bis((2-phenylpropan-2-yl)oxy)methane 20 (52%) were determined by adding 1,3,5-trimethoxybenzene to the crude mixture as an internal standard for 1H-NMR. The products were identified by the following characteristic signals; 1H-NMR (400 MHz, CDCl3) δ 1.60 (6 H, s) for 2-phenylpropanol 15; δ 2.16 (3 H, s), 5.09 (1 H, s), 5.37 (1 H, s) for methylstyrene 17; δ 1.75–1.77 (12 H, m), 1.88 (4 H, br s) for adamantane 18; δ 4.51 (2 H, s), 7.20–7.24 (2 H, m) for bis((2-phenylpropan-2-yl)oxy)methane 20; 13C-NMR (100 MHz, CDCl3) δ 31.9, 72.7, 124.5, 149.2 for 2-phenyl-2-propanol 15; δ 28.5, 37.9 for adamantane 18; δ 29.5, 77.7, 86.8, 146.9 for bis((2-phenylpropan-2-yl)oxy)methane 20. These signals are consistent with the literature values and reference samples. This crude material was purified by column chromatography (0–5% ethyl acetate in hexane) to give bis((2-phenylpropan-2-yl)oxy)methane 20 (44.7 mg, 26%) as a colorless oil (Found: (HRMS-ESI) 302.2118. C19H28O2N (M + NH4)+ requires 302.2115); νmax (film)/cm−1 2978, 2934, 1493, 1447, 1381, 1364, 1258, 1153, 1072, 1018, 991, 818, 762; 1H-NMR (400 MHz, CDCl3) δ 1.59 (12 H, s, 4 × CH3), 4.50 (2 H, s, CH2), 7.20–7.23 (2 H, m, ArH), 7.27–7.31 (4 H, m, ArH), 7.38–7.40 (4 H, m, ArH); 13C-NMR (100 MHz, CDCl3) δ 29.5 (4 × CH3), 77.7 (2 × C), 86.8 (CH2), 125.9 (4 × CH), 126.9 (2 × CH), 128.2 (4 × CH), 146.9 (2 × C).
3.6. Reaction of KOtBu in Dichloromethane
KOtBu 29 (224 mg, 2 mmol, 4.0 eq.), CBr4 (166 mg, 0.5 mmol, 1.0 eq.), adamantane 18 (68 mg, 0.5 mmol) and dichloromethane (3.13 mL) were added to an oven-dried pressure tube and the reaction mixture was stirred at 40 °C for 90 h in the dark. The reaction mixture was cooled to RT and quenched with aqueous hydrochloric acid (1 M, 5 mL) and extracted with diethyl ether (4 × 10 mL). The organic phases were combined, dried over Na2SO4, filtered and concentrated in vacuo. The ratio of adamantane 18:1-bromoadamantane 31:2-bromoadamant-ane 51 was determined to be 39:3.3:1 from the 1H-NMR spectrum of the crude mixture. The products were identified by the following characteristic signals; 1H-NMR (400 MHz, CDCl3) δ 1.74–1.76 (12 H, m, CH2 × 6), 1.88 (4 H, br s, CH × 4) for adamantane 18; δ 1.73 (6 H, m, CH2 × 3), 2.10 (3 H, br s, CH × 3), 2.36 (6 H, m, CH2 × 3) for 1-bromoadamantane 31 [47]; δ 1.96–2.00 (2 H, m, CH2), 2.15 (2 H, br s, CH × 2), 2.33 (2 H, br s, CH × 2), 4.68 (1 H, br s, CH) for 2-bromoadamantane 51 [48]; 13C-NMR (100 MHz, CDCl3) δ 28.5, 37.9 adamantane 18; δ 32.8, 35.7, 49.5 for 1-bromoadamantane 31; 36.6, 39.1 for 2-bromoadamantane 51. These signals are consistent with the literature values and reference samples.
3.7. Reactions of Adamantane 18 with CBr4, Methylstyrene 17 and KOtBu 29 (Scheme 5)
KOtBu 29 (224 mg, 2 mmol, 4.0 eq.), CBr4 (166 mg, 0.5 mmol, 1.0 eq.), methylstyrene 17 (0.07 mL, 0.5 mmol, 1.0 eq.), adamantane 18 (68 mg, 0.5 mmol) and dichloromethane (3.13 mL) were added to an oven-dried pressure tube and the reaction mixture was stirred at 40 °C for 90 h in the dark. The reaction mixture was cooled to RT and quenched with aqueous hydrochloric acid (1 M, 5 mL) and extracted with diethyl ether (4 × 10 mL). The organic phases were combined, dried over Na2SO4, filtered and concentrated in vacuo. The yield of (2,2-dibromo-1-methylcyclopropyl)benzene 16 (59%), methylstyrene 17 (3%), adamantane 18 (75%) and (2,2-dichloro-1-methylcyclopropyl)benzene 19 (40%) were determined by adding 1,3,5-trimethoxybenzene to the crude mixture as an internal standard for 1H-NMR. The products were identified by the following characteristic signals; 1H-NMR (400 MHz, CDCl3) δ 1.72 (3 H, s), 1.78 (1 H, d, J = 7.6 Hz) for (2,2-dibromo-1-methylcyclopropyl)benzene 16; δ 5.09 (1 H, s), 5.37 (1 H, s) for methylstyrene 17; δ 1.75–1.78 (12 H, m), 1.88 (4 H, br s) for adamantane 18; δ 1.60 (1 H, d, J = 7.2 Hz), 1.69 (3 H, s), 1.97 (1 H, d, J = 7.2 Hz) for (2,2-dichloro-1-methylcyclopropyl)benzene 19; 13C-NMR (100 MHz, CDCl3) δ 27.9, 33.9, 36.9, 142.5 for (2,2-dibromo-1-methylcyclopropyl)benzene 16; δ 28.5, 37.9 for adamantane 18; δ 25.7, 32.0, 36.6, 141.4 for (2,2-dichloro-1-methylcyclopropyl)benzene 19. These signals are consistent with the literature values and reference samples [49,50].
3.8. Synthesis of Alkoxide, Potassium Triphenylmethanolate 30
Potassium hydride (802 mg, 20 mmol, 1.0 eq.) was added to a flame-dried three-necked flask, equipped with a vacuum tap. Under an argon atmosphere, at –78 °C, a solution of triphenylmethanol 32 (5.21 g, 20 mmol) in anhydrous tetrahydrofuran (25 mL) was added and the reaction mixture was stirred at −78 °C for 1 h, then at RT overnight. The solvent was removed on the house vacuum line and the crude material was dried for 1 h to give potassium triphenylmethanolate 30 (5.07 g, 17 mmol, 85%) as an off-white solid, m.p. 238 °C (dec.); (Found: (GCMS-EI) C19H16O (M)•+ 260.1 (under the MS analysis 30 is protonated to the alcohol)); νmax (film)/cm−1 3057, 3022, 1595, 1487, 1443, 1414, 1329, 1155, 1053, 1009, 891, 756; 1H-NMR (400 MHz, d6-DMSO) δ 6.93–6.98 (3 H, m, ArH), 7.04–7.08 (6 H, m, ArH), 7.34–7.37 (6 H, m, ArH); 13C-NMR (100 MHz, d6-DMSO) δ 84.7 (C), 123.6 (3 × CH), 126.0 (6 × CH), 128.2 (6 × CH), 157.6 (3 × C). The product was put under an argon atmosphere and transported into the glove box immediately.
3.9. Reactions of Potassium Triphenylmethanolate 30 at 40 °C
3.9.1. Table 2, Entry 1
Potassium triphenylmethanolate 30 (597 mg, 2 mmol, 4.0 eq.), CBr4 (166 mg, 0.5 mmol, 1.0 eq.), adamantane 18 (68 mg, 0.5 mmol) and dichloromethane (3.13 mL) were added to an oven-dried pressure tube and the reaction mixture was stirred at 40 °C for 90 h in the dark. The reaction mixture was cooled to RT and quenched with aqueous hydrochloric acid (1 M, 5 mL) and extracted with diethyl ether (4 × 10 mL). The organic phases were combined, dried over Na2SO4, filtered and concentrated in vacuo. The yield of adamantane 18 (49%), 1-bromoadamantane 31 (7%), triphenylmethanol 32 (88%), benzophenone 33 (5%) and 4-benzhydrylphenol 34 (12%) were determined by adding 1,3,5-trimethoxybenzene to the crude mixture as an internal standard for 1H-NMR. The products were identified by the following characteristic signals; 1H-NMR (400 MHz, CDCl3) δ 1.75–1.78 (12 H, m), 1.88 (4 H, br s) for adamantane 18; δ 1.74 (6 H, m), 2.12 (3 H, br s), 2.38 (6 H, m) for 1-bromoadamantane 31 [47]; δ 7.27–7.34 (15 H, m) for triphenylmethanol 32; δ 7.49 (4 H, d, J = 8.0 Hz), 7.60 (2 H, d, J = 8.0 Hz), 7.82 (4 H, d, J = 8.0 Hz) for benzophenone 33 [51]; δ 5.49 (1 H, s), 6.73–6.77 (2 H, m), 6.97–7.00 (2 H, m) for 4-benzhydrylphenol 34 [52]; 13C-NMR (100 MHz, CDCl3) δ 28.3, 37.7 for adamantane 18; δ 49.3, 35.5, 32.6 for 1-bromoadamantane 31; δ 82.2, 127.4, 128.0, 147.0 for triphenylmethanol 32; δ 56.1, 115.3, 144.3 for 4-benzhydroxylphenol 34. These signals are consistent with the literature values and reference samples. This crude material was purified by column chromatography (0%–10% ethyl acetate in hexane) to give both benzophen-one 33 [51] (7 mg, 4%) as a yellow oil (Found: (GCMS-EI) C13H10O (M)•+ 182.0); νmax (film)/cm−1 3057, 1655, 1597, 1445, 1275, 1175, 939, 918, 808, 762; 1H-NMR (400 MHz, CDCl3) δ 7.49 (4 H, t, J = 8.0 Hz, ArH), 7.60 (2 H, t, J = 8.0 Hz, ArH), 7.82 (4 H, d, J = 8.0 Hz, ArH); 13C-NMR (100 MHz, CDCl3) δ 128.2 (4 × CH), 130.2 (4 × CH), 132.6 (2 × CH), 137.5 (2 × C), 196.7 (C) and 4-benzhydrylphenol 34 [52] (18.9 mg, 7%) as a yellow oil (Found: (GCMS-EI) C19H16O (M)•+ 260.1); νmax(film)/cm−1 3366, 2361, 2336, 1595, 1508, 1491, 1449, 1238, 1173, 1103, 1030, 816, 800, 750, 735; 1H-NMR (400 MHz, CDCl3) δ 4.82 (1 H, br s, OH), 5.49 (1 H, s, CH), 6.73–6.77 (2 H, m, ArH), 6.97–7.00 (2 H, m, ArH), 7.11–7.13 (4 H, m, ArH), 7.19–7.32 (6 H, m, ArH); 13C-NMR (100 MHz, CDCl3) δ 56.1 (CH), 115.3 (2 × CH), 126.4 (2 × CH), 128.4 (4 × CH), 129.5 (4 × CH), 130.7 (2 × CH), 136.4 (C), 144.3 (2 × C), 154.1 (C).
Triphenylmethanol 32 1H-NMR (400 MHz, CDCl3) δ 2.79 (1 H, s, OH), 7.26–7.34 (15 H, m, ArH), 7.57 (2 H, d, J = 8.4 Hz, ArH); 13C-NMR (100 MHz, CDCl3) δ 82.2 (C), 127.4 (CH), 128.1 (6 × CH), 147.0 (9 × C). These signals are consistent with a commercial sample used as a reference.
3.9.2. Table 2, Entry 2
Potassium triphenylmethanolate 30 (597 mg, 2 mmol, 4.0 eq.), adamantane 18 (68 mg, 0.5 mmol) and dichloromethane (3.13 mL) were added to an oven-dried pressure tube and the reaction mixture was stirred at 40 °C for 90 h in the dark. The reaction mixture was cooled to RT and quenched with aqueous hydrochloric acid (1 M, 5 mL) and extracted with diethyl ether (4 × 10 mL). The organic phases were combined, dried over Na2SO4, filtered and concentrated in vacuo. The yield of adamantane 18 (87%), triphenylmethanol 32 (81%) and benzophenone 33 (1%) were determined by adding 1,3,5-trimethoxybenzene to the crude mixture as an internal standard for 1H-NMR. The products were identified by the following characteristic signals; 1H-NMR (400 MHz, CDCl3) δ 1.75–1.78 (12 H, m), 1.88 (4 H, br s) for adamantane 18; δ 7.27–7.34 (15 H, m) for triphenylmethanol 32, δ 7.49 (4 H, d, J = 8.0 Hz, ArH), 7.60 (2 H, d, J = 8.0 Hz, ArH), 7.82 (4 H, d, J = 8.0 Hz, ArH) for benzophenone 33; 13C-NMR (100 MHz, CDCl3) δ 28.3, 37.7 for adamantane 18; δ 82.2, 127.4, 128.0, 147.0 triphenylmethanol 32 [49]. These signals are consistent with the literature values and reference samples.
4. Conclusions
This study has led to a revision of earlier thoughts on the mechanism for the halogenation of adamantane 18 by using a combination of KOtBu and CBr4. It is proposed that the mechanism does not occur through SET, as was previously believed, but proceeds through hypobromite intermediates (Scheme 7). The alkoxide in the reaction mixture, 53, forms a hypobromite in the presence of CBr4. The hypobromite 54 can undergo reaction along two pathways. The first option is an elimination reaction to form the alkene 57, which reacts with carbenes formed in the reaction to afford final product 58. The second pathway is the O–Br bond homolysis of the hypobromite 54. This forms the alkoxyl radical 55 and a bromine radical. These radical intermediates perform a hydrogen atom abstraction from adamantane 18 to form adamantyl radical 56 (alternatively, the hydrogen atom abstraction may occur at the C-2 position to ultimately give the 2-Br isomer). The radical 56 will abstract a bromine from a hypobromite molecule 54, or from CBr4, to form 31 and an alkoxyl radical 55, or CBr3 radical. The radical formed will propagate the chain pathway by hydrogen atom abstraction from adamantane 18, thus creating a radical chain mechanism. Thus, it appears that the search for reactions where ground-state KOtBu behaves as an electron donor must continue. The outcomes of this project have led us to reexamine the remaining claims [3,4] of this phenomenon.
Scheme 7.
The modified mechanism for halogenation of adamantane.
Supplementary Materials
The following are available online, (i)Additional computational analysis and xyz coordinates relating to all computed structures (ii) Table S1 “The reaction of tert-butyl hypochlorite 46 in dichloromethane or carbon tetrachloride as solvent” (iii) Table S2. tert-Butyl hypobromite 50 in bromination of adamantane 18; (iv) Experimental procesdures and spectroscopid data in support of the experiments discussed in those Tables (v) NMR spectra of key products.
Author Contributions
K.J.E., A.Y., J.N.A., T.T., J.A.M. conceived and designed the experiments; K.J.E., A.Y., J.N.A. performed the experiments, K.J.E., A.Y., J.N.A., T.T., J.A.M. analyzed the data, K.J.E., T.T., J.A.M. wrote the paper.
Acknowledgments
We thank the EPSRC and University of Strathclyde for the funding. Grant Number: EP/L505080/1. Further thanks to EPSRC National Mass Spectrometry Service Centre, Swansea, for the high-resolution mass spectra results.
Conflicts of Interest
There are no conflicts to declare.
References
- Yanagisawa, S.; Ueda, K.; Taniguchi, T.; Itami, K. Potassiumt-Butoxide Alone Can Promote the Biaryl Coupling of Electron-Deficient Nitrogen Heterocycles and Haloarenes. Org. Lett. 2008, 10, 4673–4676. [Google Scholar] [CrossRef] [PubMed]
- Sun, C.L.; Li, H.; Yu, D.G.; Yu, M.; Zhou, X.; Lu, X.Y.; Huang, K.; Zheng, S.F.; Li, B.J.; Shi, Z.J. An efficient organocatalytic method for constructing biaryls through aromatic C–H activation. Nat. Chem. 2010, 2, 1044–1049. [Google Scholar] [CrossRef] [PubMed]
- Shirakawa, E.; Itoh, K.-I.; Higashino, T.; Hayashi, T. tert-Butoxide-mediated arylation of benzene with aryl halides in the presence of a catalytic 1, 10-phenanthroline derivative. J. Am. Chem. Soc. 2010, 132, 15537–15539. [Google Scholar] [CrossRef] [PubMed]
- Studer, A.; Curran, D.P. Organocatalysis and C-H Activation Meet Radical- and Electron-Transfer Reactions. Angew. Chem. Int. Ed. 2011, 50, 5018–5022. [Google Scholar] [CrossRef] [PubMed]
- Ashby, E.C.; Argyropoulos, J.N. Single electron transfer in the Meerwein-Ponndorf-Verley reduction of benzophenone by lithium alkoxides. J. Org. Chem. 1986, 51, 3593–3597. [Google Scholar] [CrossRef]
- Ashby, E.C.; Goel, A.B.; DePriest, R.N. Evidence for single electron transfer in the reations of alkali metal amides and alkoxides with alkyl halides and polynuclear hydrocarbons. J. Org. Chem. 1981, 46, 2429–2431. [Google Scholar] [CrossRef]
- Cuthbertson, J.; Gray, V.J.; Wilden, J.D. Observations on transition metal free biaryl coupling: Potassium tert-butoxide alone promotes the reaction without diamine or phenanthroline catalysts. Chem. Commun. 2014, 50, 2575–2578. [Google Scholar] [CrossRef] [PubMed]
- Yi, H.; Jutand, A.; Lei, A. Evidence for the interaction between tBuOK and 1,10-phenanthroline to form the 1,10-phenanthroline radical anion: A key step for the activation of aryl bromides by electron transfer. Chem. Commun. 2015, 51, 545–548. [Google Scholar] [CrossRef] [PubMed]
- Dai, P.; Ma, J.; Huang, W.; Chen, W.; Wu, N.; Wu, S.; Li, Y.; Cheng, X.; Tan, R.G. Photoredox C–F Quaternary Annulation Catalyzed by a Strongly Reducing Iridium Species. ACS Catal. 2018, 8, 802–806. [Google Scholar] [CrossRef]
- Gao, L.; Wang, L.; Gong, M.G.; Wang, W.; Yuan, R. Visible Light Photoredox Catalyzed Biaryl Synthesis Using Nitrogen Heterocycles as Promoter. ACS Catal. 2015, 5, 45–50. [Google Scholar]
- Ahmed, J.; Sreejyothi, P.; Vijaykumar, G.; Jose, A.; Raj, M.; Mandal, S.K. A new face of phenalenyl-based radicals in the transition metal-free C–H arylation of heteroarenes at room temperature: Trapping the radical initiator via C–C σ-bond formation. Chem. Sci. 2017, 8, 7798–7806. [Google Scholar] [CrossRef] [PubMed]
- Zhou, S.; Anderson, G.M.; Mondal, B.; Doni, E.; Ironmonger, V.; Kranz, M.; Tuttle, T.; Murphy, J.A. Organic super-electron-donors: Initiators in transition metal-free haloarene-arene coupling. Chem. Sci. 2014, 5, 476–482. [Google Scholar] [CrossRef]
- Zhou, S.; Doni, E.; Anderson, G.M.; Kane, R.G.; MacDougall, S.W.; Ironmonger, V.M.; Tuttle, T.; Murphy, J.A. Identifying the Roles of Amino Acids, Alcohols and 1,2-Diamines as Mediators in Coupling of Haloarenes to Arenes. J. Am. Chem. Soc. 2014, 136, 17818–17826. [Google Scholar] [CrossRef] [PubMed]
- Patil, M. Mechanistic Insights into the Initiation Step of the Base Promoted Direct C-H Arylation of Benzene in the Presence of Additive. J. Org. Chem. 2016, 81, 632–639. [Google Scholar] [CrossRef] [PubMed]
- Schreiner, P.R.; Lauenstein, O.; Kolomitsyn, I.V.; Nadi, S.; Fokin, A.A. Selective C-H Activation of Aliphatic Hydrocarbons under Phase-Transfer Conditions. Angew. Chem. Int. Ed. 1998, 37, 1895–1897. [Google Scholar] [CrossRef]
- Fokin, A.A.; Schreiner, P.R. Metal-Free, Selective Alkane Functionalizations. Adv. Synth. Catal. 2003, 345, 1035–1052. [Google Scholar] [CrossRef]
- Barham, J.P.; Coulthard, G.; Emery, K.J.; Doni, E.; Cumine, F.; Nocera, G.; John, M.P.; Berlouis, L.E.A.; McGuire, T.; Tuttle, T.; et al. KOtBu: A Privileged Reagent for Electron Transfer Reactions? J. Am. Chem. Soc. 2016, 138, 7402–7410. [Google Scholar] [CrossRef] [PubMed]
- Murayama, E.; Kohda, A.; Sato, T. Metal-catalysed organic photoreactions. Evidence for the long-range electron-transfer mechanism in the uranyl- or iron(III)-catalysed photoreactions of olefins. J. Chem. Soc. Perkin Trans. 1980, 1, 947–949. [Google Scholar] [CrossRef]
- Nishina, Y.; Ohtani, B.; Kikushima, K. Bromination of hydrocarbons with CBr4, initiated by light-emitting diode irradiation. Beilstein J. Org. Chem. 2013, 9, 1663–1667. [Google Scholar] [CrossRef] [PubMed]
- Cacciapaglia, R.; Di Stefano, S.; Mandolini, L. Metathesis Reaction of Formaldehyde Acetals: An Easy Entry into the Dynamic Covalent Chemistry of Cyclophane Formation. J. Am. Chem. Soc. 2005, 127, 13666–13671. [Google Scholar] [CrossRef] [PubMed]
- Montoro, R.; Wirth, T. Direct Bromination and Iodination of Non-Activated Alkanes by Hypohalite Reagents. Synthesis 2005, 1473–1478. [Google Scholar] [CrossRef]
- Walling, C.; Jacknow, B.B. Positive Halogen Compounds. I. The Radical Chain Halogenation of Hydrocarbons by t-Butyl Hypochlorite1. J. Am. Chem. Soc. 1960, 82, 6108–6112. [Google Scholar] [CrossRef]
- Cornélis, A.; Laszlo, P. Clay-Supported Reagents; II1. Quaternary Ammonium-Exchanged Montmorillonite as Catalyst in the Phase-Transfer Preparation of Symmetrical Formaldehyde Acetals. Synthesis 1982, 1982, 162–163. [Google Scholar] [CrossRef]
- Dehmlow, E.V.; Schmidt, J. Anwendungen der phasen-transfer-katalyse 2.: Diaryloxymethane und formaldehydacetale. Tetrahedron Lett. 1976, 17, 95–96. [Google Scholar] [CrossRef]
- Swan, G.A. 286. The fission of non-enolisable ketones by potassium tert.-butoxide. J. Chem. Soc. 1948, 1408–1412. [Google Scholar] [CrossRef]
- Lea, T.R.; Robinson, R. CCCXIII.—The fission of some methoxylated benzophenones. J. Chem. Soc. 1926, 129, 2351–2355. [Google Scholar] [CrossRef]
- Salamone, M.; Bietti, M.; Calcagni, A.; Gente, G. Phenyl Bridging in Ring-Substituted Cumyloxyl Radicals. A Product and Time-Resolved Kinetic Study†. Org. Lett. 2009, 11, 2453–2456. [Google Scholar] [CrossRef] [PubMed]
- DiLabio, G.A.; Ingold, K.U.; Lin, S.; Litwinienko, G.; Mozenson, O.; Mulder, P.; Tidwell, T.T. Isomerization of Triphenylmethoxyl: The Wieland Free-Radical Rearrangement Revisited a Century Later. Angew. Chem. Int. Ed. 2010, 49, 5982–5985. [Google Scholar] [CrossRef] [PubMed]
- Bucher, G. Rearrangement of the Trityloxy Radical: Sherlock Holmes’ most recent case. Angew. Chem. Int. Ed. 2010, 49, 6934–6935. [Google Scholar] [CrossRef] [PubMed]
- Smeu, M.; DiLabio, G.A. Rearrangement of the 1,1-Diphenylethoxyl Radical Is Not Concerted but Occurs through a Bridged Intermediate. J. Org. Chem. 2007, 72, 4520–4523. [Google Scholar] [CrossRef] [PubMed]
- Li, J.; Zhang, X.; Shen, H.; Liu, Q.; Pan, J.; Hu, W.; Xiong, Y.; Chen, C. Boron Trifluoride⋅Diethyl Ether-Catalyzed Etherification of Alcohols: A Metal-Free Pathway to Diphenylmethyl Ethers. Adv. Synth. Catal. 2015, 357, 3115–3120. [Google Scholar] [CrossRef]
- Altimari, J.M.; Delaney, J.P.; Servinis, L.; Squire, J.S.; Thornton, M.T.; Khosa, S.K.; Long, B.M.; Johnstone, M.D.; Fleming, C.L.; Pfeffer, F.M.; et al. Rapid formation of diphenylmethyl ethers and thioethers using microwave irradiation and protic ionic liquids. Tetrahedron Lett. 2012, 53, 2035–2039. [Google Scholar] [CrossRef]
- Anderson, G.M.; Cameron, I.; Murphy, J.A.; Tuttle, T. Predicting the reducing power of organic super electron donors. RSC Adv. 2016, 6, 11335–11343. [Google Scholar] [CrossRef]
- Nelsen, S.F.; Blackstock, S.C.; Kim, Y. Estimation of inner shell Marcus terms for amino nitrogen compounds by molecular orbital calculations. J. Am. Chem. Soc. 1987, 109, 677–682. [Google Scholar] [CrossRef]
- Zhao, Y.; Truhlar, D.G. A new local density functional for main-group thermochemistry, transition metal bonding, thermochemical kinetics, and noncovalent interactions. J. Chem. Phys. 2006, 125, 194101. [Google Scholar] [CrossRef] [PubMed]
- Zhao, Y.; Truhlar, D.G. Density Functionals with Broad Applicability in Chemistry. Acc. Chem. Res. 2008, 41, 157–167. [Google Scholar] [CrossRef] [PubMed]
- Krishnan, R.; Binkley, J.S.; Seeger, R.; Pople, J.A. Self-consistent molecular orbital methods. XX. A basis set for correlated wave functions. J. Chem. Phys. 1980, 72, 650–654. [Google Scholar] [CrossRef]
- Frisch, M.J.; Pople, J.A.; Binkley, J.S. Self-consistent molecular orbital methods 25. Supplementary functions for Gaussian basis sets. J. Chem. Phys. 1984, 80, 3265–3269. [Google Scholar] [CrossRef]
- McLean, A.D.; Chandler, G.S. Contracted Gaussian basis sets for molecular calculations. I. Second row atoms, Z = 11–18. J. Chem. Phys. 1980, 72, 5639–5648. [Google Scholar] [CrossRef]
- Blaudeau, J.-P.; McGrath, M.P.; Curtiss, L.A.; Radom, L. Extension of Gaussian-2 (G2) theory to molecules containing third-row atoms K and Ca. J. Chem. Phys. 1997, 107, 5016–5021. [Google Scholar] [CrossRef]
- Clark, T.; Chandrasekhar, J.; Spitznagel, G.W.; Schleyer, P.V.R. Efficient diffuse function-augmented basis sets for anion calculations. III. The 3-21+G basis set for first-row elements, Li-F. J. Comput. Chem. 1983, 4, 294–301. [Google Scholar] [CrossRef]
- Bergner, A.; Dolg, M.; Küchle, W.; Stoll, H.; Preuß, H. Ab initio energy-adjusted pseudopotentials for elements of groups 13–17. Mol. Phys. 1993, 80, 1431–1441. [Google Scholar] [CrossRef]
- Barone, V.; Cossi, M. Quantum Calculation of Molecular Energies and Energy Gradients in Solution by a Conductor Solvent Model. J. Phys. Chem. A 1998, 102, 1995–2001. [Google Scholar] [CrossRef]
- Cossi, M.; Rega, N.; Scalmani, G.; Barone, V. Energies, structures, and electronic properties of molecules in solution with the C-PCM solvation model. J. Comput. Chem. 2003, 24, 669–681. [Google Scholar] [CrossRef] [PubMed]
- Frisch, M.J.; Trucks, G.W.; Schlegel, H.B.; Scuseria, G.E.; Robb, M.A.; Cheeseman, J.R.; Scalmani, G.; Barone, V.; Mennucci, B.; Petersson, G.A.; et al. Gaussian 09; Gaussian, Inc.: Wallingford, CT, USA, 2009. [Google Scholar]
- Dewanji, A.; Mück-Lichtenfeld, C.; Studer, A. Radical Hydrodeiodination of Aryl, Alkenyl, Alkynyl, and Alkyl Iodides with an Alcoholate as Organic Chain Reductant through Electron Catalysis. Angew. Chem. Int. Ed. 2016, 55, 6749–6752. [Google Scholar] [CrossRef] [PubMed]
- Denmark, S.E.; Henke, B.R. Investigations on transition-state geometry in the aldol condensation. J. Am. Chem. Soc. 1991, 113, 2177–2194. [Google Scholar] [CrossRef]
- Liu, Y.; Xu, Y.; Jung, S.H.; Chae, J. A Facile and Green Protocol for Nucleophilic Substitution Reactions of Sulfonate Esters by Recyclable Ionic Liquids [bmim][X]. Synlett 2012, 23, 2692–2698. [Google Scholar] [CrossRef]
- Clavier, H.; Jeune, K.L.; Riggi, I.D.; Tenaglia, A.; Buono, G. Highly Selective Cobalt-Mediated [6 + 2] Cycloaddition of Cycloheptatriene and Allenes. Org. Lett. 2011, 13, 308–311. [Google Scholar] [CrossRef] [PubMed]
- Dale, W.J.; Swartzentruber, P.E. Substituted Styrenes. V. Reaction of Styrene and α-Methylstyrene with Dihalocarbenes. J. Org. Chem. 1959, 24, 955–957. [Google Scholar] [CrossRef]
- Das, T.; Chakraborty, A.; Sarkar, A. Palladium catalyzed addition of arylboronic acid or indole to nitriles: Synthesis of aryl ketones. Tetrahedron Lett. 2014, 55, 7198–7202. [Google Scholar] [CrossRef]
- Sato, Y.; Aoyama, T.; Takido, T.; Kodomari, M. Direct alkylation of aromatics using alcohols in the presence of NaHSO4/SiO2. Tetrahedron 2012, 68, 7077–7081. [Google Scholar] [CrossRef]
Sample Availability: Samples of the compounds are not available. |
© 2018 by the authors. Licensee MDPI, Basel, Switzerland. This article is an open access article distributed under the terms and conditions of the Creative Commons Attribution (CC BY) license (http://creativecommons.org/licenses/by/4.0/).









