Nanographene and Graphene Nanoribbon Synthesis via Alkyne Benzannulations
Abstract
1. Introduction
2. Catalyst- and Reagent-Free Alkyne Benzannulations
2.1. Alkyne Benzannulations via Pyrolysis
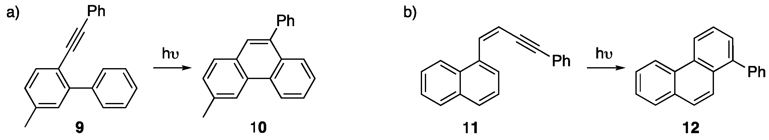
2.2. Alkyne Benzannulatinos via Photocyclizations
3. Alkyne Benzannulations Promoted by Electrophilic Reagents
Iodonium Salt- or Iodine Monochloride (ICl)-Induced Alkyne Benzannulations
4. Radical-Mediated Alkyne Benzannulations
5. Acid-Mediated Alkyne Benzannulations
5.1. Brønsted Acid Catalyzed Alkyne Benzannulations
5.2. π-Lewis Acid Catalyzed Alkyne Benzannulations
5.2.1. Transition Metal-Catalyzed Cyclizations
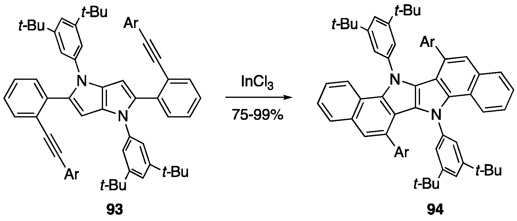
5.2.2. Main Group π-Lewis Acid-Catalyzed Cyclizations
6. Base-Mediated Alkyne Benzannulations
7. Conclusions
Author Contributions
Funding
Conflicts of Interest
References
- Narita, A.; Wang, X.-Y.; Feng, X.; Müllen, K. New Advances in Nanographene Chemistry. Chem. Soc. Rev. 2015, 44, 6616–6643. [Google Scholar] [CrossRef] [PubMed]
- Novoselov, K.S.; Geim, A.K.; Morozov, S.V.; Jiang, D.; Zhang, Y.; Dubonos, S.V.; Grigorieva, I.V.; Firsov, A.A. Electric Field Effect in Atomically Thin Carbon Films. Science 2004, 306, 666–669. [Google Scholar] [CrossRef] [PubMed]
- Rodríguez-Pérez, L.; Herranz, M.a.Á.; Martín, N. The Chemistry of Pristine Graphene. Chem. Commun. 2013, 49, 3721–3735. [Google Scholar] [CrossRef] [PubMed]
- Wu, J.; Pisula, W.; Müllen, K. Graphenes as Potential Material for Electronics. Chem. Rev. 2007, 107, 718–747. [Google Scholar] [CrossRef] [PubMed]
- Sergeyev, S.; Pisula, W.; Geerts, Y.H. Discotic Liquid Crystals: A New Generation of Organic Semiconductors. Chem. Soc. Rev. 2007, 36, 1902–1929. [Google Scholar] [CrossRef] [PubMed]
- Laschat, S.; Baro, A.; Steinke, N.; Giesselmann, F.; Hägele, C.; Scalia, G.; Judele, R.; Kapatsina, E.; Sauer, S.; Schreivogel, A.; et al. Discotic Liquid Crystals: From Tailor-Made Synthesis to Plastic Electronics. Angew. Chem. Int. Ed. 2007, 46, 4832–4887. [Google Scholar] [CrossRef] [PubMed]
- Pisula, W.; Feng, X.; Müllen, K. Tuning the Columnar Organization of Discotic Polycyclic Aromatic Hydrocarbons. Adv. Mater. 2010, 22, 3634–3649. [Google Scholar] [CrossRef]
- Mei, J.; Diao, Y.; Appleton, A.L.; Fang, L.; Bao, Z. Integrated Materials Design of Organic Semiconductors for Field-Effect Transistors. J. Am. Chem. Soc. 2013, 135, 6724–6746. [Google Scholar] [CrossRef]
- Ball, M.; Zhong, Y.; Wu, Y.; Schenck, C.; Ng, F.; Steigerwald, M.; Xiao, S.; Nuckolls, C. Contorted Polycyclic Aromatics. Acc. Chem. Res. 2015, 48, 267–276. [Google Scholar] [CrossRef] [PubMed]
- Wöhrle, T.; Wurzbach, I.; Kirres, J.; Kostidou, A.; Kapernaum, N.; Litterscheidt, J.; Haenle, J.C.; Staffeld, P.; Baro, A.; Giesselmann, F.; et al. Discotic Liquid Crystals. Chem. Rev. 2016, 116, 1139–1241. [Google Scholar] [CrossRef] [PubMed]
- Markiewicz, J.T.; Wudl, F. Perylene, Oligorylenes, and Aza-Analogs. ACS Appl. Mater. Interfaces 2015, 7, 28063–28085. [Google Scholar] [CrossRef]
- Kim, S.; Kim, B.; Lee, J.; Shin, H.; Park, Y.-I.; Park, J. Design of Fluorescent Blue Light-Emitting Materials Based on Analyses of Chemical Structures and their Effects. Mater. Sci. Eng. R-Rep. 2016, 99, 1–22. [Google Scholar] [CrossRef]
- Bai, J.; Huang, Y. Fabrication and Electrical Properties of Graphene Nanoribbons. Mater. Sci. Eng. R-Rep. 2010, 70, 341–353. [Google Scholar] [CrossRef]
- Bennett, P.B.; Pedramrazi, Z.; Madani, A.; Chen, Y.-C.; Oteyza, D.G.d.; Chen, C.; Fischer, F.R.; Crommie, M.F.; Bokor, J. Bottom-up Graphene Nanoribbon Field-Effect Transistors. Appl. Phys. Lett. 2013, 103, 253114. [Google Scholar] [CrossRef]
- Li, X.; Wang, X.; Zhang, L.; Lee, S.; Dai, H. Chemically Derived, Ultrasmooth Graphene Nanoribbon Semiconductors. Science 2008, 319, 1229. [Google Scholar] [CrossRef] [PubMed]
- Hitt, D.M.; O’Connor, J.M. Acceleration of Conjugated Dienyne Cycloaromatization. Chem. Rev. 2011, 111, 7904–7922. [Google Scholar] [CrossRef] [PubMed]
- Hopf, H.; Musso, H. Preparation of Benzene by Pyrolysis of cis- and trans-1,3-Hexadien-5-yne. Angew. Chem. Int. Ed. 1969, 8, 680. [Google Scholar] [CrossRef]
- Hofmann, J.; Schulz, K.; Altmann, A.; Findeisen, M.; Zimmermann, G. Addition and Cyclization Reactions in the Thermal Conversion of Hydrocarbons with an Enyne Structure, 5. High-Temperature Ring Closures of 1,3-Hexadien-5-ynes to Naphthalenes—Competing Reactions via Isoaromatics, Alkenylidene Carbenes, and Vinyl-type Radicals. Liebigs Annalen 1997, 1997, 2541–2548. [Google Scholar] [CrossRef]
- Schulz, K.; Hofmann, J.; Findeisen, M.; Zimmermann, G. Naphthalene Isotopomers from Isotope-Labelled Phenyl-Annelated 1,3-Hexadien-5-ynes Facilitate an Evaluation of Competing Radical Cycloisomerization Pathways. Eur. J. Org. Chem. 1998, 1998, 2135–2142. [Google Scholar] [CrossRef]
- Scott, L.T.; Hashemi, M.M.; Meyer, D.T.; Warren, H.B. Corannulene. A convenient new synthesis. J. Am. Chem. Soc. 1991, 113, 7082–7084. [Google Scholar] [CrossRef]
- Masanori, M.; Hiroshi, M.; Masaaki, S.; Susumu, O.; Koji, Y. Synthesis and Characterization of Hepta[5][5]circulene as a Subunit of C70 Fullerene. Chem. Lett. 1996, 25, 157–158. [Google Scholar] [CrossRef]
- Rabideau, P.W.; Abdourazak, A.H.; Folsom, H.E.; Marcinow, Z.; Sygula, A.; Sygula, R. Buckybowls: Synthesis and ab Initio Calculated Structure of the First Semibuckminsterfullerene. J. Am. Chem. Soc. 1994, 116, 7891–7892. [Google Scholar] [CrossRef]
- Lewis, F.D.; Karagiannis, P.C.; Sajimon, M.C.; Lovejoy, K.S.; Zuo, X.; Rubin, M.; Gevorgyan, V. Solvent dependent photocyclization and photophysics of some 2-ethynylbiphenyls. Photochem. Photobiol. Sci. 2006, 5, 369–375. [Google Scholar] [CrossRef]
- Tinnemans, A.H.A.; Laarhoven, W.H. Photocyclisations of 1,4-Diarylbut-1-en-3-ynes. Part III. Scope and Limitations of the Reaction. J. Chem. Soc. Perkin Trans. 2 1976, 1115–1120. [Google Scholar] [CrossRef]
- van Arendonk, R.J.F.M.; de Violet, P.H.F.; Laarhoven, W.H. The Mechanism of the Photocyclization of 1,4-Diarylbutenynes into Aryl-Substituted Aromatics. The Influence of Amines and Oxygen. Recl. Trav. Chim. Pays-Bas 1981, 100, 256–262. [Google Scholar] [CrossRef]
- Yao, T.; Campo, M.A.; Larock, R.C. Synthesis of Polycyclic Aromatics and Heteroaromatics via Electrophilic Cyclization. J. Org. Chem. 2005, 70, 3511–3517. [Google Scholar] [CrossRef]
- Barluenga, J.; González, J.M.; Campos, P.J.; Asensio, G. Iodine-Induced Stereoselective Carbocyclizations: A New Method for the Synthesis of Cyclohexane and Cyclohexene Derivatives. Angew. Chem. Int. Ed. 1988, 27, 1546–1547. [Google Scholar] [CrossRef]
- Goldfinger, M.B.; Swager, T.M. Fused Polycyclic Aromatics via Electrophile-Induced Cyclization Reactions: Application to the Synthesis of Graphite Ribbons. J. Am. Chem. Soc. 1994, 116, 7895–7896. [Google Scholar] [CrossRef]
- Li, C.-W.; Wang, C.-I.; Liao, H.-Y.; Chaudhuri, R.; Liu, R.-S. Synthesis of Dibenzo[g,p]chrysenes from Bis(biaryl)acetylenes via Sequential ICl-Induced Cyclization and Mizoroki-Heck Coupling. J. Org. Chem. 2007, 72, 9203–9207. [Google Scholar] [CrossRef]
- Chaudhuri, R.; Hsu, M.-Y.; Li, C.-W.; Wang, C.-I.; Chen, C.-J.; Lai, C.K.; Chen, L.-Y.; Liu, S.-H.; Wu, C.-C.; Liu, R.-S. Functionalized Dibenzo[g,p]chrysenes: Variable Photophysical and Electronic Properties and Liquid-Crystal Chemistry. Org. Lett. 2008, 10, 3053–3056. [Google Scholar] [CrossRef]
- Feng, X.; Pisula, W.; Müllen, K. From Helical to Staggered Stacking of Zigzag Nanographenes. J. Am. Chem. Soc. 2007, 129, 14116–14117. [Google Scholar] [CrossRef] [PubMed]
- Grzybowski, M.; Skonieczny, K.; Butenschön, H.; Gryko, D.T. Comparison of Oxidative Aromatic Coupling and the Scholl Reaction. Angew. Chem. Int. Ed. 2013, 52, 9900–9930. [Google Scholar] [CrossRef] [PubMed]
- Chan, J.M.W.; Kooi, S.E.; Swager, T.M. Synthesis of Stair-Stepped Polymers Containing Dibenz[a,h]anthracene Subunits. Macromolecules 2010, 43, 2789–2793. [Google Scholar] [CrossRef]
- Figueira-Duarte, T.M.; Müllen, K. Pyrene-Based Materials for Organic Electronics. Chem. Rev. 2011, 111, 7260–7314. [Google Scholar] [CrossRef] [PubMed]
- Mohamed, R.K.; Mondal, S.; Guerrera, J.V.; Eaton, T.M.; Albrecht-Schmitt, T.E.; Shatruk, M.; Alabugin, I.V. Alkynes as Linchpins for the Additive Annulation of Biphenyls: Convergent Construction of Functionalized Fused Helicenes. Angew. Chem. Int. Ed. 2016, 55, 12054–12058. [Google Scholar] [CrossRef] [PubMed]
- Chen, T.-A.; Liu, R.-S. Synthesis of Polyaromatic Hydrocarbons from Bis(biaryl)diynes: Large PAHs with Low Clar Sextets. Chem. Eur. J. 2011, 17, 8023–8027. [Google Scholar] [CrossRef]
- Chen, T.-A.; Liu, R.-S. Synthesis of Large Polycyclic Aromatic Hydrocarbons from Bis(biaryl)acetylenes: Large Planar PAHs with Low π-Sextets. Org. Lett. 2011, 13, 4644–4647. [Google Scholar] [CrossRef]
- Yan, Q.; Cai, K.; Zhang, C.; Zhao, D. Coronenediimides Synthesized via ICl-Induced Cyclization of Diethynyl Perylenediimides. Org. Lett. 2012, 14, 4654–4657. [Google Scholar] [CrossRef]
- Alabugin, I.V.; Gonzalez-Rodriguez, E. Alkyne Origami: Folding Oligoalkynes into Polyaromatics. Acc. Chem. Res. 2018, 51, 1206–1219. [Google Scholar] [CrossRef]
- Byers, P.M.; Alabugin, I.V. Polyaromatic Ribbons from Oligo-Alkynes via Selective Radical Cascade: Stitching Aromatic Rings with Polyacetylene Bridges. J. Am. Chem. Soc. 2012, 134, 9609–9614. [Google Scholar] [CrossRef]
- Pati, K.; dos Passos Gomes, G.; Alabugin, I.V. Combining Traceless Directing Groups with Hybridization Control of Radical Reactivity: From Skipped Enynes to Defect-Free Hexagonal Frameworks. Angew. Chem. Int. Ed. 2016, 55, 11633–11637. [Google Scholar] [CrossRef] [PubMed]
- Pati, K.; dos Passos Gomes, G.; Harris, T.; Hughes, A.; Phan, H.; Banerjee, T.; Hanson, K.; Alabugin, I.V. Traceless Directing Groups in Radical Cascades: From Oligoalkynes to Fused Helicenes without Tethered Initiators. J. Am. Chem. Soc. 2015, 137, 1165–1180. [Google Scholar] [CrossRef] [PubMed]
- Pati, K.; Michas, C.; Allenger, D.; Piskun, I.; Coutros, P.S.; Gomes, G.d.P.; Alabugin, I.V. Synthesis of Functionalized Phenanthrenes via Regioselective Oxidative Radical Cyclization. J. Org. Chem. 2015, 80, 11706–11717. [Google Scholar] [CrossRef] [PubMed]
- Tsvetkov, N.P.; Gonzalez-Rodriguez, E.; Hughes, A.; dos Passos Gomes, G.; White, F.D.; Kuriakose, F.; Alabugin, I.V. Radical Alkyne peri-Annulation Reactions for the Synthesis of Functionalized Phenalenes, Benzanthrenes, and Olympicene. Angew. Chem. Int. Ed. 2018, 57, 3651–3655. [Google Scholar] [CrossRef] [PubMed]
- Alabugin, I.V.; Gilmore, K.; Patil, S.; Manoharan, M.; Kovalenko, S.V.; Clark, R.J.; Ghiviriga, I. Radical Cascade Transformations of Tris(o-aryleneethynylenes) into Substituted Benzo[a]indeno[2,1-c]fluorenes. J. Am. Chem. Soc. 2008, 130, 11535–11545. [Google Scholar] [CrossRef]
- Goldfinger, M.B.; Crawford, K.B.; Swager, T.M. Directed Electrophilic Cyclizations: Efficient Methodology for the Synthesis of Fused Polycyclic Aromatics. J. Am. Chem. Soc. 1997, 119, 4578–4593. [Google Scholar] [CrossRef]
- Yang, W.; Chalifoux, W.A. Rapid π-Extension of Aromatics via Alkyne Benzannulations. Synlett 2017, 28, 625–632. [Google Scholar] [CrossRef]
- Yang, W.; Monteiro, J.H.S.K.; de Bettencourt-Dias, A.; Catalano, V.J.; Chalifoux, W.A. Pyrenes, Peropyrenes, and Teropyrenes: Synthesis, Structures, and Photophysical Properties. Angew. Chem. Int. Ed. 2016, 55, 10427–10430. [Google Scholar] [CrossRef]
- Yang, W.; Monteiro, J.H.S.K.; de Bettencourt-Dias, A.; Chalifoux, W.A. New Thiophene-functionalized Pyrene, Peropyrene, and Teropyrene via a Two- or Four-fold Alkyne Annulation and their Photophysical Properties. Can. J. Chem. 2016, 95, 341–345. [Google Scholar] [CrossRef]
- Yang, W.; Longhi, G.; Abbate, S.; Lucotti, A.; Tommasini, M.; Villani, C.; Catalano, V.J.; Lykhin, A.O.; Varganov, S.A.; Chalifoux, W.A. Chiral Peropyrene: Synthesis, Structure, and Properties. J. Am. Chem. Soc. 2017, 139, 13102–13109. [Google Scholar] [CrossRef]
- Tovar, J.D.; Swager, T.M. Exploiting the Versatility of Organometallic Cross-coupling Reactions for Entry into Extended Aromatic Systems. J. Organomet. Chem. 2002, 653, 215–222. [Google Scholar] [CrossRef]
- Mukherjee, A.; Pati, K.; Liu, R.-S. A Convenient Synthesis of Tetrabenzo[de,hi,mn,qr]naphthacene from Readily Available 1,2-Di(phenanthren-4-yl)ethyne. J. Org. Chem. 2009, 74, 6311–6314. [Google Scholar] [CrossRef] [PubMed]
- Cruz, C.M.; Márquez, I.R.; Mariz, I.F.A.; Blanco, V.; Sánchez-Sánchez, C.; Sobrado, J.M.; Martín-Gago, J.A.; Cuerva, J.M.; Maçôas, E.; Campaña, A.G. Enantiopure Distorted Ribbon-shaped Nanographene Combining Two-photon Absorption-based Upconversion and Circularly Polarized Luminescence. Chem. Sci. 2018, 9, 3917–3924. [Google Scholar] [CrossRef] [PubMed]
- Cruz, C.M.; Castro-Fernández, S.; Maçôas, E.; Cuerva, J.M.; Campaña, A.G. Undecabenzo[7]superhelicene: A Helical Nanographene Ribbon as a Circularly Polarized Luminescence Emitter. Angew. Chem. Int. Ed. 2018, 57, 14782–14786. [Google Scholar] [CrossRef] [PubMed]
- Narita, A.; Feng, X.; Müllen, K. Bottom-Up Synthesis of Chemically Precise Graphene Nanoribbons. Chem. Rec. 2015, 15, 295–309. [Google Scholar] [CrossRef] [PubMed]
- Cai, J.; Ruffieux, P.; Jaafar, R.; Bieri, M.; Braun, T.; Blankenburg, S.; Muoth, M.; Seitsonen, A.P.; Saleh, M.; Feng, X.; et al. Atomically Precise Bottom-up Fabrication of Graphene Nanoribbons. Nature 2010, 466, 470–473. [Google Scholar] [CrossRef]
- Ruffieux, P.; Wang, S.; Yang, B.; Sánchez-Sánchez, C.; Liu, J.; Dienel, T.; Talirz, L.; Shinde, P.; Pignedoli, C.A.; Passerone, D.; et al. On-surface Synthesis of Graphene Nanoribbons with Zigzag Edge Topology. Nature 2016, 531, 489–492. [Google Scholar] [CrossRef]
- Chen, Y.-C.; de Oteyza, D.G.; Pedramrazi, Z.; Chen, C.; Fischer, F.R.; Crommie, M.F. Tuning the Band Gap of Graphene Nanoribbons Synthesized from Molecular Precursors. ACS Nano 2013, 7, 6123–6128. [Google Scholar] [CrossRef] [PubMed]
- Rizzo, D.J.; Veber, G.; Cao, T.; Bronner, C.; Chen, T.; Zhao, F.; Rodriguez, H.; Louie, S.G.; Crommie, M.F.; Fischer, F.R. Topological Band Engineering of Graphene Nanoribbons. Nature 2018, 560, 204–208. [Google Scholar] [CrossRef]
- Vo, T.H.; Shekhirev, M.; Kunkel, D.A.; Morton, M.D.; Berglund, E.; Kong, L.; Wilson, P.M.; Dowben, P.A.; Enders, A.; Sinitskii, A. Large-scale Solution Synthesis of Narrow Graphene Nanoribbons. Nat. Commun. 2014, 5, 3189. [Google Scholar] [CrossRef]
- Vo, T.H.; Shekhirev, M.; Kunkel, D.A.; Orange, F.; Guinel, M.J.F.; Enders, A.; Sinitskii, A. Bottom-up Solution Synthesis of Narrow Nitrogen-doped Graphene Nanoribbons. Chem. Commun. 2014, 50, 4172–4174. [Google Scholar] [CrossRef] [PubMed]
- Vo, T.H.; Shekhirev, M.; Lipatov, A.; Korlacki, R.A.; Sinitskii, A. Bulk Properties of Solution-synthesized Chevron-like Graphene Nanoribbons. Faraday Discuss. 2014, 173, 105–113. [Google Scholar] [CrossRef] [PubMed]
- Daigle, M.; Miao, D.; Lucotti, A.; Tommasini, M.; Morin, J.-F. Helically Coiled Graphene Nanoribbons. Angew. Chem. Int. Ed. 2017, 56, 6213–6217. [Google Scholar] [CrossRef] [PubMed]
- Chalifoux, W.A. The Synthesis of Non-planar, Helically Coiled Graphene Nanoribbons. Angew. Chem. Int. Ed. 2017, 56, 8048–8050. [Google Scholar] [CrossRef] [PubMed]
- Stille, J.K.; Noren, G.K.; Green, L. Hydrocarbon Ladder Aromatics from a Diels-Alder Reaction. J. Polym. Sci. A-Polym. Chem. 1970, 8, 2245–2254. [Google Scholar] [CrossRef]
- Zhu, X.; Wu, Y.; Zhou, L.; Wang, Y.; Zhao, H.; Gao, B.; Ba, X. Synthesis of Pyrene-based Planar Conjugated Polymers and the Regioisomers by Intramolecular Cyclization. Chin. J. Chem. 2015, 33, 431–440. [Google Scholar] [CrossRef]
- Yang, W.; Lucotti, A.; Tommasini, M.; Chalifoux, W.A. Bottom-Up Synthesis of Soluble and Narrow Graphene Nanoribbons Using Alkyne Benzannulations. J. Am. Chem. Soc. 2016, 138, 9137–9144. [Google Scholar] [CrossRef]
- Aguilar, E.; Sanz, R.; Fernández-Rodríguez, M.A.; García-García, P. 1,3-Dien-5-ynes: Versatile Building Blocks for the Synthesis of Carbo- and Heterocycles. Chem. Rev. 2016, 116, 8256–8311. [Google Scholar] [CrossRef]
- Carreras, J.; Gopakumar, G.; Gu, L.; Gimeno, A.; Linowski, P.; Petuškova, J.; Thiel, W.; Alcarazo, M. Polycationic Ligands in Gold Catalysis: Synthesis and Applications of Extremely π-Acidic Catalysts. J. Am. Chem. Soc. 2013, 135, 18815–18823. [Google Scholar] [CrossRef]
- Stężycki, R.; Grzybowski, M.; Clermont, G.; Blanchard-Desce, M.; Gryko, D.T. Z-Shaped Pyrrolo[3,2-b]pyrroles and Their Transformation into π-Expanded Indolo[3,2-b]indoles. Chem. Eur. J. 2016, 22, 5198–5203. [Google Scholar] [CrossRef]
- Matsuda, T.; Moriya, T.; Goya, T.; Murakami, M. Synthesis of Pyrenes by Twofold Hydroarylation of 2,6-Dialkynylbiphenyls. Chem. Lett. 2011, 40, 40–41. [Google Scholar] [CrossRef]
- Lorbach, D.; Wagner, M.; Baumgarten, M.; Müllen, K. The Right Way to Self-fuse Bi- and Terpyrenyls to Afford Graphenic Cutouts. Chem. Commun. 2013, 49, 10578–10580. [Google Scholar] [CrossRef] [PubMed]
- Shen, H.-C.; Pal, S.; Lian, J.-J.; Liu, R.-S. Ruthenium-Catalyzed Aromatization of Aromatic Enynes via the 1,2-Migration of Halo and Aryl Groups: A New Process Involving Electrocyclization and Skeletal Rearrangement. J. Am. Chem. Soc. 2003, 125, 15762–15763. [Google Scholar] [CrossRef] [PubMed]
- Lian, J.-J.; Odedra, A.; Wu, C.-J.; Liu, R.-S. Ruthenium-Catalyzed Regioselective 1,3-Methylene Transfer by Cleavage of Two Adjacent σ-Carbon−Carbon Bonds: An Easy and Selective Synthesis of Highly Subsituted Benzenes. J. Am. Chem. Soc. 2005, 127, 4186–4187. [Google Scholar] [CrossRef] [PubMed]
- Fürstner, A.; Mamane, V. Flexible Synthesis of Phenanthrenes by a PtCl2-Catalyzed Cycloisomerization Reaction. J. Org. Chem. 2002, 67, 6264–6267. [Google Scholar] [CrossRef] [PubMed]
- Mamane, V.; Hannen, P.; Fürstner, A. Synthesis of Phenanthrenes and Polycyclic Heteroarenes by Transition-Metal Catalyzed Cycloisomerization Reactions. Chem. Eur. J. 2004, 10, 4556–4575. [Google Scholar] [CrossRef] [PubMed]
- Donovan, P.M.; Scott, L.T. Elaboration of Diaryl Ketones into Naphthalenes Fused on Two or Four Sides: A Naphthoannulation Procedure. J. Am. Chem. Soc. 2004, 126, 3108–3112. [Google Scholar] [CrossRef] [PubMed]
- Shen, H.-C.; Tang, J.-M.; Chang, H.-K.; Yang, C.-W.; Liu, R.-S. Short and Efficient Synthesis of Coronene Derivatives via Ruthenium-Catalyzed Benzannulation Protocol. J. Org. Chem. 2005, 70, 10113–10116. [Google Scholar] [CrossRef]
- Chen, T.-A.; Lee, T.-J.; Lin, M.-Y.; Sohel, S.M.A.; Diau, E.W.-G.; Lush, S.-F.; Liu, R.-S. Regiocontrolled Synthesis of Ethene-Bridged para-Phenylene Oligomers Based on PtII- and RuII-Catalyzed Aromatization. Chem. Eur. J. 2010, 16, 1826–1833. [Google Scholar] [CrossRef]
- Shaibu, B.S.; Lin, S.-H.; Lin, C.-Y.; Wong, K.-T.; Liu, R.-S. Ph2N-Susbtituted Ethylene-Bridged p-Phenylene Oligomers: Synthesis and Photophysical and Redox Properties. J. Org. Chem. 2011, 76, 1054–1061. [Google Scholar] [CrossRef]
- Watanabe, T.; Abe, H.; Mutoh, Y.; Saito, S. Ruthenium-Catalyzed Cycloisomerization of 2-Alkynylstyrenes via 1,2-Carbon Migration That Leads to Substituted Naphthalenes. Chem. Eur. J. 2018, 24, 11545–11549. [Google Scholar] [CrossRef] [PubMed]
- Hertz, V.M.; Lerner, H.-W.; Wagner, M. Ru-Catalyzed Benzannulation Leads to Luminescent Boron-Containing Polycyclic Aromatic Hydrocarbons. Org. Lett. 2015, 17, 5240–5243. [Google Scholar] [CrossRef] [PubMed]
- Wu, T.-L.; Chou, H.-H.; Huang, P.-Y.; Cheng, C.-H.; Liu, R.-S. 3,6,9,12-Tetrasubstituted Chrysenes: Synthesis, Photophysical Properties, and Application as Blue Fluorescent OLED. J. Org. Chem. 2014, 79, 267–274. [Google Scholar] [CrossRef] [PubMed]
- Walker, D.B.; Howgego, J.; Davis, A.P. Synthesis of Regioselectively Functionalized Pyrenes via Transition-Metal-Catalyzed Electrocyclization. Synthesis 2010, 2010, 3686–3692. [Google Scholar] [CrossRef]
- Liu, J.; Li, B.-W.; Tan, Y.-Z.; Giannakopoulos, A.; Sanchez-Sanchez, C.; Beljonne, D.; Ruffieux, P.; Fasel, R.; Feng, X.; Müllen, K. Toward Cove-Edged Low Band Gap Graphene Nanoribbons. J. Am. Chem. Soc. 2015, 137, 6097–6103. [Google Scholar] [CrossRef] [PubMed]
- Nijegorodov, N.I.; Downey, W.S. The Influence of Planarity and Rigidity on the Absorption and Fluorescence Parameters and Intersystem Crossing Rate Constant in Aromatic Molecules. J. Phys. Chem. 1994, 98, 5639–5643. [Google Scholar] [CrossRef]
- Ionkin, A.S.; Marshall, W.J.; Fish, B.M.; Bryman, L.M.; Wang, Y. A Tetra-substituted Chrysene: Orientation of Multiple Electrophilic Substitution and use of a Tetra-substituted Chrysene as a Blue Emitter for OLEDs. Chem. Commun. 2008, 2319–2321. [Google Scholar] [CrossRef]
- Eccleshare, L.; Selzer, S.; Woodward, S. An Efficient Synthesis of Substituted Chrysenes. Tetrahedron Lett. 2017, 58, 393–395. [Google Scholar] [CrossRef]
- Rieger, R.; Kastler, M.; Enkelmann, V.; Müllen, K. Entry to Coronene Chemistry—Making Large Electron Donors and Acceptors. Chem. Eur. J. 2008, 14, 6322–6325. [Google Scholar] [CrossRef]
- Ghosh, A.; Rao, K.V.; George, S.J.; Rao, C.N.R. Noncovalent Functionalization, Exfoliation, and Solubilization of Graphene in Water by Employing a Fluorescent Coronene Carboxylate. Chem. Eur. J. 2010, 16, 2700–2704. [Google Scholar] [CrossRef]
- Hill, J.P.; Jin, W.; Kosaka, A.; Fukushima, T.; Ichihara, H.; Shimomura, T.; Ito, K.; Hashizume, T.; Ishii, N.; Aida, T. Self-Assembled Hexa-peri-hexabenzocoronene Graphitic Nanotube. Science 2004, 304, 1481–1483. [Google Scholar] [CrossRef] [PubMed]
- Stabel, A.; Herwig, P.; Müllen, K.; Rabe, J.P. Diodelike Current–Voltage Curves for a Single Molecule–Tunneling Spectroscopy with Submolecular Resolution of an Alkylated, peri-Condensed Hexabenzocoronene. Angew. Chem. Int. Ed. 1995, 34, 1609–1611. [Google Scholar] [CrossRef]
- Newman, M.S. A New Synthesis of Coronene. J. Am. Chem. Soc. 1940, 62, 1683–1687. [Google Scholar] [CrossRef]
- Jessup, P.; Reiss, J. Cyclophanes. VII. Naphthalene and Phenanthrene Cyclophanes for the Synthesis of Coronene. Aust. J. Chem. 1977, 30, 843–850. [Google Scholar] [CrossRef]
- Lütke Eversloh, C.; Li, C.; Müllen, K. Core-Extended Perylene Tetracarboxdiimides: The Homologous Series of Coronene Tetracarboxdiimides. Org. Lett. 2011, 13, 4148–4150. [Google Scholar] [CrossRef] [PubMed]
- Wu, D.; Zhang, H.; Liang, J.; Ge, H.; Chi, C.; Wu, J.; Liu, S.H.; Yin, J. Functionalized Coronenes: Synthesis, Solid Structure, and Properties. J. Org. Chem. 2012, 77, 11319–11324. [Google Scholar] [CrossRef]
- Shen, Y.; Chen, C.-F. Helicenes: Synthesis and Applications. Chem. Rev. 2012, 112, 1463–1535. [Google Scholar] [CrossRef]
- Chen, C.-F.; Shen, Y. Helicene Chemistry: From Synthesis to Applications; Springer: Berlin/Heidelberg, Germany, 2017; pp. 1–276. [Google Scholar]
- Storch, J.; Sýkora, J.; Čermák, J.; Karban, J.; Císařová, I.; Růžička, A. Synthesis of Hexahelicene and 1-Methoxyhexahelicene via Cycloisomerization of Biphenylyl-Naphthalene Derivatives. J. Org. Chem. 2009, 74, 3090–3093. [Google Scholar] [CrossRef]
- Storch, J.; Čermák, J.; Karban, J.; Císařová, I.; Sýkora, J. Synthesis of 2-Aza[6]helicene and Attempts to Synthesize 2,14-Diaza[6]helicene Utilizing Metal-Catalyzed Cycloisomerization. J. Org. Chem. 2010, 75, 3137–3140. [Google Scholar] [CrossRef]
- Weimar, M.; Correa da Costa, R.; Lee, F.-H.; Fuchter, M.J. A Scalable and Expedient Route to 1-Aza[6]helicene Derivatives and its Subsequent Application to a Chiral-Relay Asymmetric Strategy. Org. Lett. 2013, 15, 1706–1709. [Google Scholar] [CrossRef]
- Oyama, H.; Nakano, K.; Harada, T.; Kuroda, R.; Naito, M.; Nobusawa, K.; Nozaki, K. Facile Synthetic Route to Highly Luminescent Sila[7]helicene. Org. Lett. 2013, 15, 2104–2107. [Google Scholar] [CrossRef] [PubMed]
- Oyama, H.; Akiyama, M.; Nakano, K.; Naito, M.; Nobusawa, K.; Nozaki, K. Synthesis and Properties of [7]Helicene-like Compounds Fused with a Fluorene Unit. Org. Lett. 2016, 18, 3654–3657. [Google Scholar] [CrossRef] [PubMed]
- Tanaka, M.; Shibata, Y.; Nakamura, K.; Teraoka, K.; Uekusa, H.; Nakazono, K.; Takata, T.; Tanaka, K. Gold-Catalyzed Enantioselective Synthesis, Crystal Structure, and Photophysical/Chiroptical Properties of Aza[10]helicenes. Chem. Eur. J. 2016, 22, 9537–9541. [Google Scholar] [CrossRef] [PubMed]
- Asao, N.; Nogami, T.; Lee, S.; Yamamoto, Y. Lewis Acid-Catalyzed Benzannulation via Unprecedented [4+2] Cycloaddition of o-Alkynyl(oxo)benzenes and Enynals with Alkynes. J. Am. Chem. Soc. 2003, 125, 10921–10925. [Google Scholar] [CrossRef] [PubMed]
- Hein, S.J.; Lehnherr, D.; Arslan, H.; Uribe-Romo, F.J.; Dichtel, W.R. Alkyne Benzannulation Reactions for the Synthesis of Novel Aromatic Architectures. Acc. Chem. Res. 2017, 50, 2776–2788. [Google Scholar] [CrossRef]
- Lehnherr, D.; Chen, C.; Pedramrazi, Z.; DeBlase, C.R.; Alzola, J.M.; Keresztes, I.; Lobkovsky, E.B.; Crommie, M.F.; Dichtel, W.R. Sequence-defined Oligo(ortho-arylene) Foldamers Derived from the Benzannulation of Ortho(arylene ethynylene)s. Chem. Sci. 2016, 7, 6357–6364. [Google Scholar] [CrossRef] [PubMed]
- Hein, S.J.; Lehnherr, D.; Dichtel, W.R. Rapid Access to Substituted 2-Naphthyne Intermediates via the Benzannulation of Halogenated Silylalkynes. Chem. Sci. 2017, 8, 5675–5681. [Google Scholar] [CrossRef] [PubMed]
- Arslan, H.; Walker, K.L.; Dichtel, W.R. Regioselective Asao–Yamamoto Benzannulations of Diaryl Acetylenes. Org. Lett. 2014, 16, 5926–5929. [Google Scholar] [CrossRef]
- Arslan, H.; Saathoff, J.D.; Bunck, D.N.; Clancy, P.; Dichtel, W.R. Highly Efficient Benzannulation of Poly(phenylene ethynylene)s. Angew. Chem. Int. Ed. 2012, 51, 12051–12054. [Google Scholar] [CrossRef]
- Arslan, H.; Uribe-Romo, F.J.; Smith, B.J.; Dichtel, W.R. Accessing Extended and Partially Fused Hexabenzocoronenes using a Benzannulation–Cyclodehydrogenation Approach. Chem. Sci. 2013, 4, 3973–3978. [Google Scholar] [CrossRef]
- Lehnherr, D.; Alzola, J.M.; Lobkovsky, E.B.; Dichtel, W.R. Regioselective Synthesis of Polyheterohalogenated Naphthalenes via the Benzannulation of Haloalkynes. Chem. Eur. J. 2015, 21, 18122–18127. [Google Scholar] [CrossRef] [PubMed]
- Lehnherr, D.; Alzola, J.M.; Mulzer, C.R.; Hein, S.J.; Dichtel, W.R. Diazatetracenes Derived from the Benzannulation of Acetylenes: Electronic Tuning via Substituent Effects and External Stimuli. J. Org. Chem. 2017, 82, 2004–2010. [Google Scholar] [CrossRef] [PubMed]
- Gao, J.; Uribe-Romo, F.J.; Saathoff, J.D.; Arslan, H.; Crick, C.R.; Hein, S.J.; Itin, B.; Clancy, P.; Dichtel, W.R.; Loo, Y.-L. Ambipolar Transport in Solution-Synthesized Graphene Nanoribbons. ACS Nano 2016, 10, 4847–4856. [Google Scholar] [CrossRef] [PubMed]
- Yamaguchi, S.; Swager, T.M. Oxidative Cyclization of Bis(biaryl)acetylenes: Synthesis and Photophysics of Dibenzo[g,p]chrysene-Based Fluorescent Polymers. J. Am. Chem. Soc. 2001, 123, 12087–12088. [Google Scholar] [CrossRef] [PubMed]
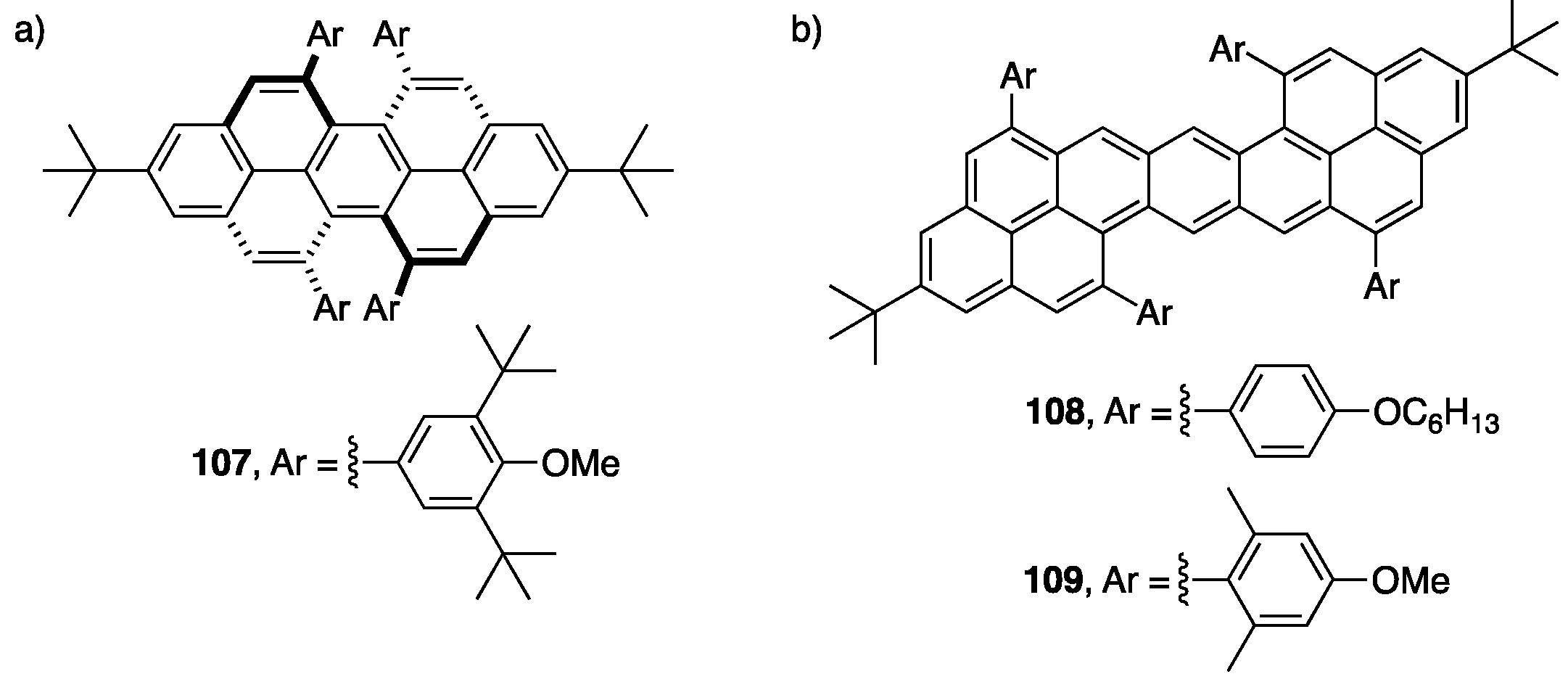
- Yang, W.; Kazemi, R.R.; Karunathilake, N.; Catalano, V.J.; Alpuche-Aviles, M.A.; Chalifoux, W.A. Expanding the scope of peropyrenes and teropyrenes through a facile InCl3-catalyzed multifold alkyne benzannulation. Org. Chem. Front. 2018, 5, 2288–2295. [Google Scholar] [CrossRef]
- Yang, W.; Monteiro, J.H.S.K.; de Bettencourt-Dias, A.; Catalano, V.J.; Chalifoux, W.A. Synthesis, Structure, Photophysical Properties, and Photostability of Benzodipyrenes. Chem. Eur. J. 2018. [Google Scholar] [CrossRef]
- Yang, W.; Bam, R.; Catalano, V.J.; Chalifoux, W.A. Highly Regioselective Domino Benzannulation Reaction of Buta-1,3-diynes to Construct Irregular Nanographenes. Angew. Chem. Int. Ed. 2018, 57, 14773–14777. [Google Scholar] [CrossRef]
- Seybold, G.; Wagenblast, G. New Perylene and Violanthrone Dyestuffs for Fluorescent Collectors. Dyes Pigment. 1989, 11, 303–317. [Google Scholar] [CrossRef]
- Gvishi, R.; Reisfeld, R.; Burshtein, Z. Spectroscopy and Laser Action of the “Red Perylimide Dye” in Various Solvents. Chem. Phys. Lett. 1993, 213, 338–344. [Google Scholar] [CrossRef]
- Franceschin, M.; Alvino, A.; Casagrande, V.; Mauriello, C.; Pascucci, E.; Savino, M.; Ortaggi, G.; Bianco, A. Specific Interactions with Intra- and Intermolecular G-Quadruplex DNA Structures by Hydrosoluble Coronene Derivatives: A New Class of Telomerase Inhibitors. Biorg. Med. Chem. 2007, 15, 1848–1858. [Google Scholar] [CrossRef]
- An, Z.; Yu, J.; Domercq, B.; Jones, S.C.; Barlow, S.; Kippelen, B.; Marder, S.R. Room-Temperature Discotic Liquid-Crystalline Coronene Diimides Exhibiting High Charge-Carrier Mobility in Air. J. Mater. Chem. 2009, 19, 6688–6698. [Google Scholar] [CrossRef]
- Rohr, U.; Kohl, C.; Müllen, K.; van de Craats, A.; Warman, J. Liquid Crystalline Coronene Derivatives. J. Mater. Chem. 2001, 11, 1789–1799. [Google Scholar] [CrossRef]
- Müller, S.; Müllen, K. Facile Synthetic Approach to Novel Core-Extended Perylene Carboximide Dyes. Chem. Commun. 2005, 4045–4046. [Google Scholar] [CrossRef] [PubMed]
- Bai, Q.; Gao, B.; Ai, Q.; Wu, Y.; Ba, X. Core-Extended Terrylene Diimide on the Bay Region: Synthesis and Optical and Electrochemical Properties. Org. Lett. 2011, 13, 6484–6487. [Google Scholar] [CrossRef] [PubMed]
- Shao, J.; Zhao, X.; Wang, L.; Tang, Q.; Li, W.; Yu, H.; Tian, H.; Zhang, X.; Geng, Y.; Wang, F. Synthesis and Characterization of π-Extended Thienoacenes with up to 13 Fused Aromatic Rings. Tetrahedron Lett. 2014, 55, 5663–5666. [Google Scholar] [CrossRef]
- Cheng, S.-W.; Tsai, C.-E.; Liang, W.-W.; Chen, Y.-L.; Cao, F.-Y.; Hsu, C.-S.; Cheng, Y.-J. Angular-Shaped 4,9-Dialkylnaphthodithiophene-Based Donor–Acceptor Copolymers for Efficient Polymer Solar Cells and High-Mobility Field-Effect Transistors. Macromolecules 2015, 48, 2030–2038. [Google Scholar] [CrossRef]
- Lai, Y.-Y.; Chang, H.-H.; Lai, Y.-Y.; Liang, W.-W.; Tsai, C.-E.; Cheng, Y.-J. Angular-Shaped 4,10-Dialkylanthradiselenophene and Its Donor–Acceptor Conjugated Polymers: Synthesis, Physical, Transistor, and Photovoltaic Properties. Macromolecules 2015, 48, 6994–7006. [Google Scholar] [CrossRef]
- Lee, C.-H.; Lai, Y.-Y.; Cao, F.-Y.; Hsu, J.-Y.; Lin, Z.-L.; Jeng, U.S.; Su, C.-J.; Cheng, Y.-J. Synthesis, Molecular and Photovoltaic/Transistor Properties of Heptacyclic Ladder-type Di(thienobenzo)fluorene-based Copolymers. J. Mater. Chem. C 2016, 4, 11427–11435. [Google Scholar] [CrossRef]
























© 2018 by the authors. Licensee MDPI, Basel, Switzerland. This article is an open access article distributed under the terms and conditions of the Creative Commons Attribution (CC BY) license (http://creativecommons.org/licenses/by/4.0/).
Share and Cite
Senese, A.D.; Chalifoux, W.A. Nanographene and Graphene Nanoribbon Synthesis via Alkyne Benzannulations. Molecules 2019, 24, 118. https://doi.org/10.3390/molecules24010118
Senese AD, Chalifoux WA. Nanographene and Graphene Nanoribbon Synthesis via Alkyne Benzannulations. Molecules. 2019; 24(1):118. https://doi.org/10.3390/molecules24010118
Chicago/Turabian StyleSenese, Amber D., and Wesley A. Chalifoux. 2019. "Nanographene and Graphene Nanoribbon Synthesis via Alkyne Benzannulations" Molecules 24, no. 1: 118. https://doi.org/10.3390/molecules24010118
APA StyleSenese, A. D., & Chalifoux, W. A. (2019). Nanographene and Graphene Nanoribbon Synthesis via Alkyne Benzannulations. Molecules, 24(1), 118. https://doi.org/10.3390/molecules24010118
 
         
                                                

 
      