Synthesis, Redox Properties and Antibacterial Activity of Hindered Phenols Linked to Heterocycles
Abstract
1. Introduction
2. Results and Discussions
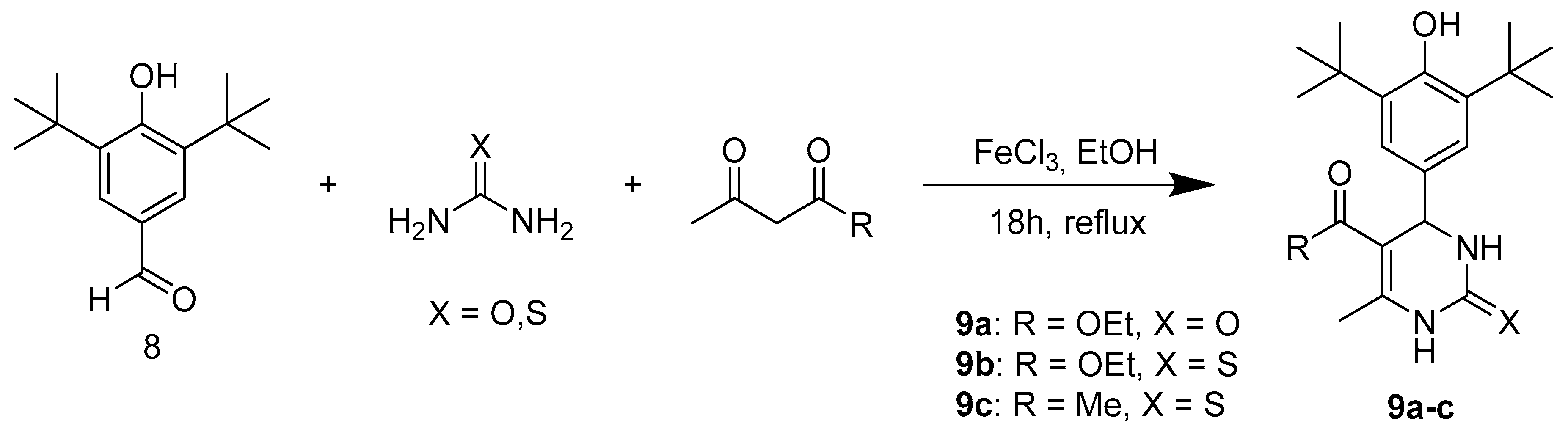
2.1. Synthesis
2.2. Redox Properties
2.3. Antibacterial Activity
3. Materials and Methods
3.1. General Information
3.2. Synthesis and Analytical Data of Preparated Compounds
3.2.1. Synthesis of Compounds 2–5
3.2.2. Synthesis of Compounds 6, 7.
3.2.3. Synthesis of Compounds 9a–c.
3.3. Redox Properties
3.4. Biological Activity
4. Conclusions
Supplementary Materials
Author Contributions
Funding
Conflicts of Interest
References
- Gandhi, S.; Abramov, A.Y. Mechanism of oxidative stress in neurodegeneration. Oxidative Med. Cell. Longev. 2012. [Google Scholar] [CrossRef]
- Mezeiova, E.; Spilovska, K.; Nepovimova, E.; Gorecki, L.; Soukup, O.; Dolezal, R.; Malinak, D.; Janockova, J.; Jun, D.; Kuca, K. Profiling donepezil template into multipotent hybrids with antioxidant properties. J. Enzym. Inhib. Med. Chem. 2018, 33, 583–606. [Google Scholar] [CrossRef]
- Hanikoglu, A.; Ozben, H.; Hanikoglu, F.; Ozben, T. Hybrid compounds & oxidative stress induced apoptosis in cancer therapy. Curr. Med. Chem. 2020, 27, 2118–2132. [Google Scholar]
- Gyurászová, M.; Gurecká, R.; Bábíčková, J.; Tóthová, L. Oxidative stress in the pathophysiology of kidney disease: Implications for noninvasive monitoring and identification of biomarkers. Oxidative Med. Cell. Longev. 2020. [Google Scholar] [CrossRef]
- Yehye, W.A.; Rahman, N.A.; Ariffin, A.; Hamid, S.B.A.; Alhadi, A.A.; Kadir, F.A.; Yaeghoobi, M. Understanding the chemistry behind the antioxidant activities of butylated hydroxytoluene (BHT): A review. Eur. J. Med. Chem. 2015, 101, 295–312. [Google Scholar] [CrossRef] [PubMed]
- Osipova, V.; Antonova, N.; Berberova, N.; Poddel’skii, A.; Kudryavtsev, K. Redox properties of novel pyrrolidine derivatives containing sterically hindered phenol fragment. Russ. J. Electrochem. 2011, 47, 1119. [Google Scholar] [CrossRef]
- Koltover, V. Antioxidant biomedicine: From free radical chemistry to systems biology mechanisms. Russ. Chem. Bull. 2010, 59, 37–42. [Google Scholar] [CrossRef]
- Wang, W.; Kannan, P.; Xue, J.; Kannan, K. Synthetic phenolic antioxidants, including butylated hydroxytoluene (BHT), in resin-based dental sealants. Environ. Res. 2016, 151, 339–343. [Google Scholar] [CrossRef] [PubMed]
- White, I.R.; Lovell, C.R.; Cronin, E. Antioxidants in cosmetics. Contact Dermat. 1984, 11, 265–267. [Google Scholar] [CrossRef] [PubMed]
- Babich, H. Butylated hydroxytoluene (BHT): A review. Environ. Res. 1982, 29, 1–29. [Google Scholar] [CrossRef]
- Koshelev, V.; Kelarev, V.; Belov, N. Effect of azoles and sym-triazines with hindered phenol fragments on protective properties of turbine oils. Chem. Technol. Fuels Oils 1995. [Google Scholar] [CrossRef]
- Latyuk, V.; Kelarev, V.; Koshelev, V.; Korenev, K. Sulfides of the sym—Triazine series as oil—Soluble corrosion inhibitors. Chem. Technol. Fuels Oils 2002, 38, 312–315. [Google Scholar] [CrossRef]
- Milaeva, E.R.; Shpakovsky, D.B.; Gracheva, Y.A.; Orlova, S.I.; Maduar, V.V.; Tarasevich, B.N.; Meleshonkova, N.N.; Dubova, L.G.; Shevtsova, E.F. Metal complexes with functionalised 2,2’-dipicolylamine ligand containing an antioxidant 2,6-di-tert-butylphenol moiety: Synthesis and biological studies. Dalton Trans. 2013, 42, 6817–6828. [Google Scholar] [CrossRef] [PubMed]
- Mikhalev, O.; Shpakovsky, D.; Gracheva, Y.A.; Antonenko, T.; Albov, D.; Aslanov, L.; Milaeva, E. Synthesis and study of new phenolic antioxidants with nitroaromatic and heterocyclic substituents. Russ. Chem. Bull. 2018, 67, 712–720. [Google Scholar] [CrossRef]
- Zhang, H.-Y. Structure-activity relationships and rational design strategies for radical-scavenging antioxidants. Curr. Comput. Aided Drug Des. 2005, 1, 257–273. [Google Scholar] [CrossRef]
- Zhang, H.-Y.; Yang, D.-P.; Tang, G.-Y. Multipotent antioxidants: From screening to design. Drug Discov. Today 2006, 11, 749–754. [Google Scholar] [CrossRef]
- Mullican, M.D.; Wilson, M.W.; Conner, D.T.; Kostlan, C.R.; Schrier, D.J.; Dyer, R.D. Design of 5-(3,5-di-tert-butyl-4-hydroxyphenyl)-1,3,4-thiadiazoles,-1,3,4-oxadiazoles, and-1,2,4-triazoles as orally active, nonulcerogenic antiinflammatory agents. J. Med. Chem. 1993, 36, 1090–1099. [Google Scholar] [CrossRef]
- Chłoń-Rzepa, G.; Jankowska, A.W.; Zygmunt, M.; Pociecha, K.; Wyska, E. Synthesis of 8-alkoxy-1,3-dimethyl-2,6-dioxopurin-7-yl-substituted acetohydrazides and butanehydrazides as analgesic and anti-inflammatory agents. Heterocycl. Commun. 2015, 21, 273–278. [Google Scholar] [CrossRef]
- Isomura, Y.; Sakamoto, S.; Ito, N.; Homma, H.; Abe, T.; Kubo, K. Synthesis and anti-inflammatory activity of 2,6-di-tert-butylphenols with a heterocyclic group at the 4-position. III. Chem. Pharm. Bull. 1984, 32, 152–165. [Google Scholar] [CrossRef]
- Kuchana, M.; Bethapudi, D.R.; Ediga, R.K.; Sisapuram, Y. Synthesis, in-vitro antioxidant activity and in-silico prediction of drug-likeness properties of a novel compound: 4-(3,5-Di-tert-butyl-4-hydroxybenzylidene)-3-methylisoxazol-5(4H)-one. J. Appl. Pharm. Sci. 2019, 9, 105–110. [Google Scholar]
- Gibadullina, E.; Nguyen, T.T.; Strelnik, A.; Sapunova, A.; Voloshina, A.; Sudakov, I.; Vyshtakalyuk, A.; Voronina, J.; Pudovik, M.; Burilov, A. New 2,6-diaminopyridines containing a sterically hindered benzylphosphonate moiety in the aromatic core as potential antioxidant and anti-cancer drugs. Eur. J. Med. Chem. 2019, 184, 111735. [Google Scholar] [CrossRef]
- Ahmad, M.H.; Rahman, N.A.; Kadir, F.A.; Al-Ani, L.A.; Hashim, N.M.; Yehye, W.A. Design and synthesis of sulfur-containing butylated hydroxytoluene: Antioxidant potency and selective anticancer agent. J. Chem. Sci. 2019, 131, 107. [Google Scholar] [CrossRef]
- Alsultan, Q.M.N.; Sijam, K.; Rashid, T.S.; Ahmad, K.B. GC-MS Analysis and antibacterial activity of mangosteen leaf extracts against plant pathogenic bacteria. Am. J. Plant Sci. 2016, 7, 1013. [Google Scholar] [CrossRef]
- Madkour, H.M.; Ghareeb, M.A.; Abdel-Aziz, M.S.; Khalaf, O.M.; Saad, A.M.; El-Ziaty, A.K.; Abdel-Mogib, M. Gas chromatography-mass spectrometry analysis, antimicrobial, anticancer and antioxidant activities of n-hexane and methylene chloride extracts of Senna italica. J. Appl. Pharm. Sci. 2017, 7, 23–32. [Google Scholar]
- Zhao, F.; Wang, P.; Lucardi, R.D.; Su, Z.; Li, S. Natural sources and bioactivities of 2,4-di-tert-butylphenol and its analogs. Toxins 2020, 12, 35. [Google Scholar] [CrossRef] [PubMed]
- Zhang, T.; Wei, X.; Miao, Z.; Hassan, H.; Song, Y.; Fan, M. Screening for antioxidant and antibacterial activities of phenolics from Golden Delicious apple pomace. Chem. Cent. J. 2016, 10, 47. [Google Scholar] [CrossRef]
- Turcotte, P.; Saheb, S. Antimicrobial activity of phenolic antioxidants. Can. J. Microbiol. 1978, 24, 1306–1320. [Google Scholar] [CrossRef]
- Seven, O.; Dindar, B.; Aydemir, S.; Cilli, F. Synthesis, properties and photodynamic activities of some zinc (II) phthalocyanines against Escherichia coli and Staphylococcus aureus. J. Porphyr. Phthalocyanines 2008, 12, 953–963. [Google Scholar] [CrossRef]
- Dindar, B.; Ince, M.; Seven, Ö. Synthesis, characterization and the photodynamic activity against some gram negative and positive bacteria of novel Subphthalocyanine derivative. Gazi Univ. J. Sci. 2013, 26, 1–10. [Google Scholar]
- Ganji, N.; Rambabu, A.; Vamsikrishna, N.; Daravath, S. Copper (II) complexes with isoxazole Schiff bases: Synthesis, spectroscopic investigation, DNA binding and nuclease activities, antioxidant and antimicrobial studies. J. Mol. Struct. 2018, 1173, 173–182. [Google Scholar] [CrossRef]
- Ammar, V.A.; Gres’ko, S.; Kelarev, V.; Koshelev, V. Δ2-imidazoline derivatives in molecular design of condensed heterocycles with fragments of space-hindered phenol. Известия Высших Учебных Заведений Химия и Химическая Технoлoгия 2007, 50, 105–109. [Google Scholar]
- Popov, L.; Levchenkov, S.; Zubenko, A.; Shcherbakov, I.; Fetisov, L.; Bodryakov, A.; Maevskii, O.; Kogan, V. Synthesis, protistocidal and antibacterial activities of 2′-imidazolinylhydrazones of mono-and dicarboxylic acids. Pharm. Chem. J. 2015, 49, 21–23. [Google Scholar] [CrossRef]
- Kong, C.; Yehye, W.A.; Rahman, N.A.; Tan, M.-W.; Nathan, S. Discovery of potential anti-infectives against Staphylococcus aureus using a Caenorhabditis elegans infection model. BMC Complementary Altern. Med. 2014, 14, 4. [Google Scholar] [CrossRef] [PubMed]
- Hall, C.D.; Panda, S.S. The benzotriazole story. In Advances in Heterocyclic Chemistry; Elsevier: Amsterdam, The Netherlands, 2016; Volume 119, pp. 1–23. [Google Scholar]
- Matijević-Sosa, J.; Cvetnić, Z. Antimicrobial activity of N-phthaloylamino acid hydroxamates. Acta Pharm. 2005, 55, 387–399. [Google Scholar]
- Cvetković, J.P.; Božić, B.Đ.; Banjac, N.R.; Petrović, J.; Soković, M.; Vitnik, V.D.; Vitnik, Ž.J.; Ušćumlić, G.S.; Valentić, N.V. Synthesis, antimicrobial activity and quantum chemical investigation of novel succinimide derivatives. J. Mol. Struct. 2019, 1181, 148–156. [Google Scholar] [CrossRef]
- Lian, Z.-M.; Sun, J.; Zhu, H.-L. Design, synthesis and antibacterial activity of isatin derivatives as FtsZ inhibitors. J. Mol. Struct. 2016, 1117, 8–16. [Google Scholar] [CrossRef]
- Ha, E.-M. Escherichia coli-derived uracil increases the antibacterial activity and growth rate of Lactobacillus plantarum. J. Microbiol. Biotechnol 2016, 26, 975–987. [Google Scholar] [CrossRef]
- Gao, F.; Ye, L.; Kong, F.; Huang, G.; Xiao, J. Design, synthesis and antibacterial activity evaluation of moxifloxacin-amide-1,2,3-triazole-isatin hybrids. Bioorganic Chem. 2019, 91, 103162. [Google Scholar] [CrossRef]
- Bettencourt, A.; Castro, M.; Silva, J.; Fernandes, F.; Coutinho, O.; Sousa, M.J.; Proença, M.F.; Areias, F. New nitrogen compounds coupled to phenolic units with antioxidant and antifungal activities: Synthesis and structure—Activity relationship. Molecules 2018, 23, 2530. [Google Scholar] [CrossRef]
- Parker, D.K. Process for Preparing Hindered Alkenyl Phenols. U.S. Patent US4072724A, 7 February 1978. [Google Scholar]
- Zhang, K.; Corrie, J.E.; Munasinghe, V.R.N.; Wan, P. Mechanism of photosolvolytic rearrangement of p-hydroxyphenacyl esters: Evidence for excited-state intramolecular proton transfer as the primary photochemical step. J. Am. Chem. Soc. 1999, 121, 5625–5632. [Google Scholar] [CrossRef]
- Qu, G.; Zhang, Z.; Guo, H.; Geng, M.; Xia, R. Microwave-promoted facile and efficient preparation of N-(alkoxycarbonylmethyl) nucleobases—Building blocks for peptide nucleic acids. Molecules 2007, 12, 543–551. [Google Scholar] [CrossRef] [PubMed]
- Hu, E.H.; Sidler, D.R.; Dolling, U.-H. Unprecedented catalytic three component one-pot condensation reaction: An efficient synthesis of 5-alkoxycarbonyl-4-aryl-3,4-dihydropyrimidin-2(1H)-ones. J. Org. Chem. 1998, 63, 3454–3457. [Google Scholar] [CrossRef]
- Aslanoğlu, F.; Akbaş, E.; Sönmez, M.; Anıl, B. Studies on reactions of pyrimidine compounds: Synthesis and reactions of 5-benzoyl-4,6-diphenyl-1,2,3,4-tetrahydro-2-thioxopyrimidine. Phosphorus Sulfur Silicon Relat. Elem. 2007, 182, 1589–1597. [Google Scholar] [CrossRef]
- Mohammadizadeh, M.R.; Firoozi, N. Trifluoroacetic acid as an effective catalyst for Biginelli reaction: One-pot, three-component synthesis of 3,4-dihydropyrimidin-2(1H)-ones (and-thiones). J. Chem. 2011, 8, S266–S270. [Google Scholar] [CrossRef]
- Lu, J.; Bai, Y.J.; Guo, Y.H.; Wang, Z.J.; Ma, H.R. CoCl2· 6H2O or LaCl3·7H2O catalyzed Biginelli reaction. One-pot synthesis of 3,4-dihydropyrimidin-2(1H)-ones. Chin. J. Chem. 2002, 20, 681–687. [Google Scholar] [CrossRef]
- Lu, J.; Bai, Y. Catalysis of the Biginelli reaction by ferric and nickel chloride hexahydrates. One-pot synthesis of 3,4-dihydropyrimidin-2(1H)-ones. Synthesis 2002. [Google Scholar] [CrossRef]
- Sabitha, G.; Reddy, G.K.K.; Reddy, C.S.; Yadav, J. One-pot synthesis of dihydropyrimidinones using iodotrimethylsilane. Facile and new improved protocol for the Biginelli reaction at room temperature. Synlett 2003. [Google Scholar] [CrossRef]
- Sedova, V.; Krivopalov, V.; Shkurko, O. Synthesis of substituted 3,4-dihydropyrimidin-2(1H)-ones and pyrimidin-2(1H)-ones by the Biginelli reaction with 3,5-Di-tert-butyl-4-hydroxybenzaldehyde. Russ. J. Org. Chem. 2009, 45, 1535. [Google Scholar] [CrossRef]
- Javanmardi, J.; Stushnoff, C.; Locke, E.; Vivanco, J. Antioxidant activity and total phenolic content of Iranian Ocimum accessions. Food Chem. 2003, 83, 547–550. [Google Scholar] [CrossRef]
- Chevion, S.; Roberts, M.A.; Chevion, M. The use of cyclic voltammetry for the evaluation of antioxidant capacity. Free Radic. Biol. Med. 2000, 28, 860–870. [Google Scholar] [CrossRef]
- Tyurin, V.Y.; Wu, Y.; Dolganov, A.; Milaeva, E. Antioxidant activity assay of 2,6-di-tert-butylphenols with phosphonate groups using cyclic voltammetry. In Doklady Chemistry; SP MAIK Nauka/Interperiodica: Moscow, Russia, 2011; Volume 436, pp. 31–33. [Google Scholar]
- Tyurin, V.Y.; Yaohuan, W.; Prishchenko, A.; Shpakovsky, D.; Gracheva, Y.A.; Antonenko, T.; Tafeenko, V.; Al, D.; Aslanov, L.; Milaeva, E. Complexes of organotin compounds with bis-and trisphosphonate derivatives of 2, 6-di-tert-butylphenol having antioxidant activity. Russ. Chem. Bull. 2015, 64, 1419–1429. [Google Scholar] [CrossRef]
- Gil, E.d.S.; Andrade, C.H.; Barbosa, N.L.; Braga, R.C.; Serrano, S.H. Cyclic voltammetry and computational chemistry studies on the evaluation of the redox behavior of parabens and other analogues. J. Braz. Chem. Soc. 2012, 23, 565–572. [Google Scholar] [CrossRef]
- Simić, A.; Manojlović, D.; Šegan, D.; Todorović, M. Electrochemical behavior and antioxidant and prooxidant activity of natural phenolics. Molecules 2007, 12, 2327–2340. [Google Scholar] [CrossRef] [PubMed]
- Enache, T.A.; Oliveira-Brett, A.M. Phenol and para-substituted phenols electrochemical oxidation pathways. J. Electroanal. Chem. 2011, 655, 9–16. [Google Scholar] [CrossRef]
- Sridhar, S.K.; Saravanan, M.; Ramesh, A. Synthesis and antibacterial screening of hydrazones, Schiff and Mannich bases of isatin derivatives. Eur. J. Med. Chem. 2001, 36, 615–625. [Google Scholar] [CrossRef]
- Ma, T.; Chen, R.; Xue, H.; Miao, Z.; Chen, L.; Zhang, H.; Shi, X. Di-isatin heteronuclear compounds and their antibacterial activity. J. Heterocycl. Chem. 2020, 57, 503–509. [Google Scholar] [CrossRef]
Sample Availability: Samples of the compounds 1–9a–c are available from the authors. |





| № | 2 | 3 | 4 | 5 | 6 | 7 | 9a | 9b | 9c | BHT |
|---|---|---|---|---|---|---|---|---|---|---|
| Epa, V | 1.54 | 1.57 | 1.52 | 1.68 | 1.61 | 1.58 | 1.49 | 1.48 | 1.46 | 1.52 |
| Sample | Sa | Ec | Kp | Pa | Ab |
|---|---|---|---|---|---|
| 2 | 17.42 | 4.05 | 14.45 | 8.08 | 18.75 |
| 3 | 16.81 | 7.56 | 20.34 | 10.92 | 12.56 |
| 4 | 96.6 | −2.04 | 13.96 | 0.04 | 41.59 |
| 5 | −8.94 | 2.53 | 3.38 | 13.97 | 2.47 |
| 6 | 20.06 | 7.29 | 10.32 | 18.62 | −1.13 |
| 7 | 14.9 | 6.12 | 10.36 | 13.6 | 0.53 |
| 9a | 19.13 | 8.94 | 9.46 | 18.08 | −5.78 |
| 9b | 26.31 | −2.72 | −3.54 | −9.39 | −11.19 |
© 2020 by the authors. Licensee MDPI, Basel, Switzerland. This article is an open access article distributed under the terms and conditions of the Creative Commons Attribution (CC BY) license (http://creativecommons.org/licenses/by/4.0/).
Share and Cite
Koshelev, V.N.; Primerova, O.V.; Vorobyev, S.V.; Ivanova, L.V. Synthesis, Redox Properties and Antibacterial Activity of Hindered Phenols Linked to Heterocycles. Molecules 2020, 25, 2370. https://doi.org/10.3390/molecules25102370
Koshelev VN, Primerova OV, Vorobyev SV, Ivanova LV. Synthesis, Redox Properties and Antibacterial Activity of Hindered Phenols Linked to Heterocycles. Molecules. 2020; 25(10):2370. https://doi.org/10.3390/molecules25102370
Chicago/Turabian StyleKoshelev, Vladimir N., Olga V. Primerova, Stepan V. Vorobyev, and Ludmila V. Ivanova. 2020. "Synthesis, Redox Properties and Antibacterial Activity of Hindered Phenols Linked to Heterocycles" Molecules 25, no. 10: 2370. https://doi.org/10.3390/molecules25102370
APA StyleKoshelev, V. N., Primerova, O. V., Vorobyev, S. V., & Ivanova, L. V. (2020). Synthesis, Redox Properties and Antibacterial Activity of Hindered Phenols Linked to Heterocycles. Molecules, 25(10), 2370. https://doi.org/10.3390/molecules25102370

