Combretastatins: An Overview of Structure, Probable Mechanisms of Action and Potential Applications
Abstract
1. Introduction
2. Occurrence of Combrestastatins
3. Preclinical Studies on Combretastatins
3.1. Antioxidant Activity
3.2. Anti-Inflammatory Activity
3.3. Antimicrobial and Leishmanicidal Activities
3.4. Vascular Effects
3.5. Tubulin Binding Activity
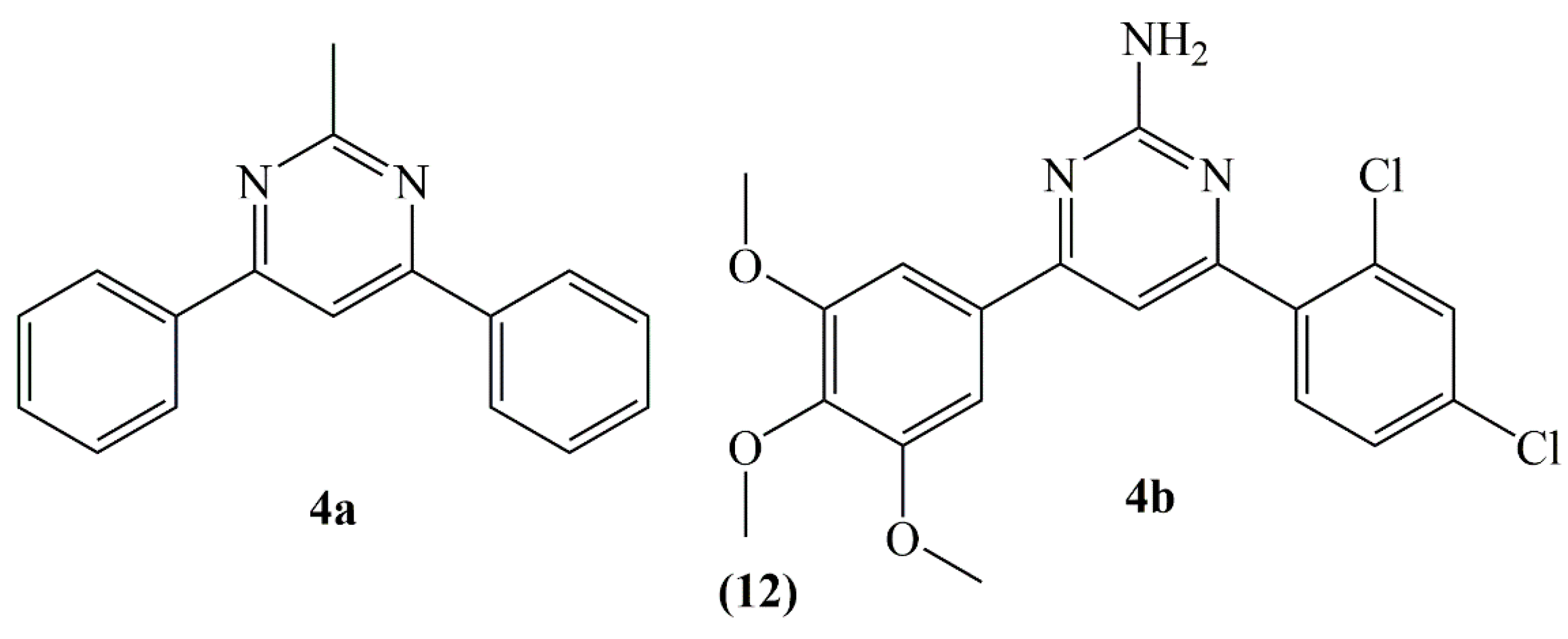
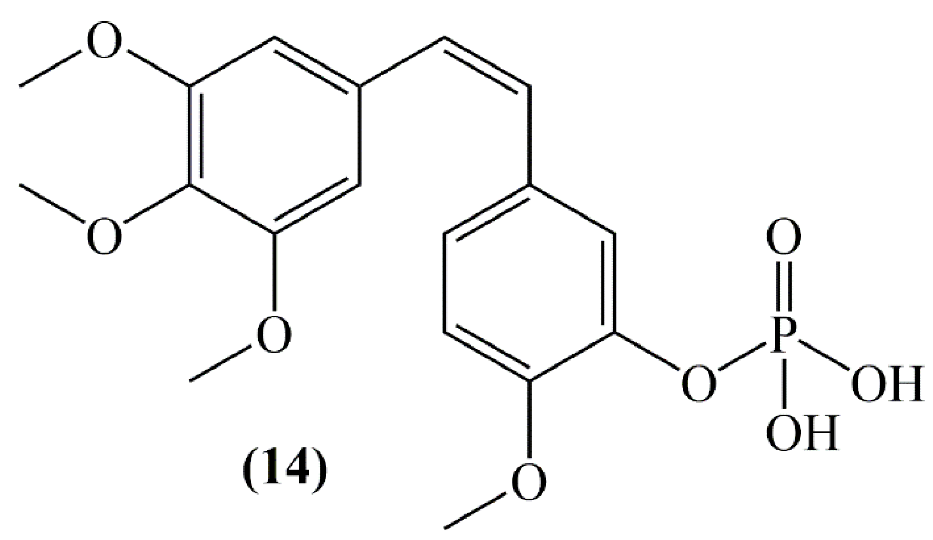
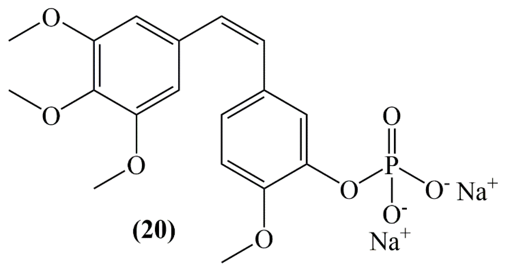
3.6. Antiproliferative Activity
3.7. Effects on Tumor Histology of Combretastatins
4. Nanoformulations of Combretastatins
5. Conclusions
Author Contributions
Funding
Conflicts of Interest
References
- Newman, D.J.; Cragg, G.M.; Snader, K.M.J. Natural products as sources of new drugs over the period 1981–2002. Nat. Prod. 2003, 66, 1022–1037. [Google Scholar] [CrossRef] [PubMed]
- Newman, D.J.; Cragg, G.M.; Snader, K.M.J. The influence of natural products upon drug discovery. Nat. Prod. Rep. 2000, 17, 215–234. [Google Scholar] [CrossRef] [PubMed]
- Wehbe, H.; Kearney, C.M.; Pinney, K.G. Combretastatins A-4 resistance in H460 human lung carcinoma demonstrates distinctive alterations in β-tubulin isotype expression. Anticancer Res. 2005, 25, 3865. [Google Scholar]
- Pettit, G.; Singh, S.; Niven, M.; Hamel, E.; Schmidt, J. Isolation, structure, and synthesis of combretastatins A-1 and B-1, potent new inhibitors of microtubule assembly, derived from Combretum caffrum. J. Nat. Prod. 1987, 50, 191–231. [Google Scholar] [CrossRef]
- Pettit, G.; Cragg, G.; Herald, D.; Schmidt, J.; Lohavanjijaya, P. Isolation and structure of combretastatin. Can. J. Chem. 1982, 60, 1374–1376. [Google Scholar] [CrossRef]
- Pettit, G.R.; Singh, S.B.; Niven, M.L. Antineoplastic agents. Isolation and structure of combretastatin D-1: A cell growth inhibitory macrocyclic lactone from Combretum caffrum. J. Am. Chem. Soc. 1988, 110, 8539–8540. [Google Scholar] [CrossRef]
- Pettit, G.; Singh, S.; Boyd, M.; Hamel, E.; Pettit, R.; Schmidt, J.; Hogan, F.J. Antineoplastic Agents. Isolation and synthesis of combretastatins A-4, A-5, and A-6. Med. Chem. 1995, 38, 1666–1672. [Google Scholar] [CrossRef] [PubMed]
- Akhtar, M.; Swamy, M. Anticancer Plants: Properties and Application; Springer Nature: Singapore, 2018. [Google Scholar]
- Pettit, G.R.; Singh, S.B.; Niven, M.L.; Schmidt, J. Cell growth inhibitory dihydrophenanthrene and phenanthrene constituents of the african tree Combretum caffrum. Can. J. Chem. 1988, 66, 406–413. [Google Scholar] [CrossRef]
- Maderna, M.; Maya, A.; Perez-Melero, C. Naphthalene combretastatin snalogues: Synthesis, cytotoxicity and antitubulin activity. J. Enzyme Inhibit Med. Chem. 2004, 19, 521–540. [Google Scholar]
- Singh, S.; Pettit, G.J. Antineoplastic Agents. Structure of the cytostatic macrocyclic lactone combretastatin D-2. Org. Chem. 1989, 55, 2797–2800. [Google Scholar] [CrossRef]
- Vogvanich, N.; Kittakoop, P.; Charoenchai, P.; Intamas, S.; Danwisekanjana, K.; Thebtaranonth, Y. Combretastatins D-3 and D-4, new macrocyclic lactones from Getonia floribunda. Planta Med. 2005, 71, 191–193. [Google Scholar] [CrossRef]
- Pinney, K.G.; Jelinek, C.; Edvardsen, K.; Chaplin, D.J.; Pettit, G. The discovery and development of the combretastatins. In Anticancer Agents from Natural Products; Cragg Gordon, M., Kingston David, G.I., Newman David, J., Eds.; CRC Press, Taylor & Francis: Boca Raton, FL, USA, 2005; pp. 23–46. [Google Scholar]
- Liu, P.; Quin, Y.; Wu, L.; Yang, S.; Li, N.; Wang, H.; Xu, H.; Sun, K.; Zhang, S.; Han, X.; et al. Phase I clinical trial assessing the safety and tolerability of combretastatin A4 phosphate injections. Anti-Cancer Drugs 2014, 25, 462–471. [Google Scholar] [CrossRef] [PubMed]
- Grisham, R.; Ky, B.; Tewari, K.; Chaplin, D.; Walker, J. Clinical trial experience with CA4P anticancer therapy: Focus on efficacy, cardiovascular adverse events, and hypertension management. Gynecol. Oncol. Res. Pract. 2018, 5. [Google Scholar] [CrossRef] [PubMed]
- Woods, J.A.; Hadfield, J.A.; Pettit, G.R.; Fox, B.W.; McGown, A.T. The interaction with tubulin of a series of stilbenes based on combretastatin A-4. Br. J. Cancer 1995, 71, 705–711. [Google Scholar] [CrossRef] [PubMed]
- Pettit, G.; Singh, S. Isolation, structure, and synthesis of combretastatin A-2, A-3, and B-2. Can. J. Chem. 1987, 65, 2390–2396. [Google Scholar] [CrossRef]
- Pettit, G.; Lippert, J.W. Antineoplastic agents 429. Syntheses of the combretastatin A-1 and combretastatin B-1 prodrugs. Anticancer Drug Des. 2000, 15, 203–216. [Google Scholar]
- Pettit, G.R.; Singh, S.B.; Hamel, E.; Lin, C.M.; Alberts, D.S.; Garia-Kendall, D. Isolation and structure of the strong cell growth and tubulin inhibitor combretastatin A4. Experientia 1989, 45, 205–211. [Google Scholar] [CrossRef]
- Cirla, A.; Mann, J. Combretastatins: From natural products to drug discorvery. Nat. Prod. Rep. 2003, 20, 558–564. [Google Scholar] [CrossRef]
- Marelli, M.; Conforti, F.; Statti, G.A.; Cachet, X.; Michel, S.; Tillequin, F.; Menichini, F. Biological potential and structure-activity relationships of most recently developed vascular disrupting agents: An overview of new derivatives of natural combretastatin A-4. Curr. Med. Chem. 2011, 18, 3035–3081. [Google Scholar] [CrossRef]
- Gill, R.; Kaur, R.; Kaur, G.; Rawal, R.; Shah, A.; Bariwal, J.A. Comprehensive review on combretastatin analogues as tubulin binding agents. Curr. Org. Chem. 2014, 18, 2462–2512. [Google Scholar] [CrossRef]
- Hadimani, M.; Hua, J.; Jonklaas, D.; Kessler, R.; Sheng, Y.; Olivares, A.; Tanpure, R.; Weiser, A.; Zhang, J.; Edvarsen, K.; et al. Synthesis, in vitro, and in vivo evaluation of phosphate ester derivatives of combretastatin A-4. Bioorg. Med. Chem. Lett. 2013, 13, 1505–1508. [Google Scholar] [CrossRef]
- Carr, M.; Greene, L.; Knox, A.; Lloyd, D.; Zisterer, D.; Meegan, M. Lead identification of conformationally restricted b-lactam type combretastatin analogues: Synthesis, antiproliferative activity and tubulin targeting effects. Eur. J. Med. Chem. 2010, 45, 5752–5756. [Google Scholar] [CrossRef] [PubMed]
- Cushman, M.; Gopal, N.; Chakraborti, A.; Lin, C.; Hamel, E. Synthesis and evaluation of stilbene and dihydrostilbene derivatives as potential anticancer agents that inhibit tubulin polymerization. J. Med. Chem. 1991, 34, 2579–2588. [Google Scholar] [CrossRef] [PubMed]
- Song, M.; He, Q.; Wang, Y.; Wang, H.; Jiang, T.; Tang, J.; Gao, M. Exploring diverse-ring analogues on combretastatin A4 (CA-4) olefin as microtubule-targeting agents. Int. J. Mol. Sci. 2020, 21, 1817. [Google Scholar] [CrossRef] [PubMed]
- Kwak, Y.S.; Joo, S.H.; Gansukh, E.; Mistry, B.M.; Keum, Y.S. Synthesis and anticancer activities of polymethylenedioxy analogues of combretastatin A-2. Appl. Biol Chem. 2019, 62, 25. [Google Scholar] [CrossRef]
- Kumar, B.; Sharma, P.; Prakash Gupta, V.; Khullar, M.; Singh, S.; Dogra, N.; Kumar, V. Synthesis and biological evaluation of pyrimidine bridged combretastatin derivatives as potential anticancer agents and mechanistic studies. Bioorg. Chem. 2018, 78, 130–140. [Google Scholar] [CrossRef] [PubMed]
- Shringare, S.N.; Chavan, H.V.; Bhale, P.S.; Dongare, S.B.; Mule, Y.B.; Kolekar, N.D.; Bandga, B.P. Synthesis and pharmacological evaluation of pyrazoline and pyrimidine analogs of combretastatin-A4 as anticancer, anti-inflammatory and antioxidant agents. Croat. Chem. Acta. 2018, 91, 357–366. [Google Scholar]
- Rayburn, E.R.; Ezell, S.J.; Zhang, R. Anti-inflammatory agents for cancer therapy. Mol. Cell Pharmacol. 2009, 1, 29–43. [Google Scholar] [CrossRef]
- Davydova, M.P.; Sorokina, I.V.; Tolstikova, T.G.; Mamatyuk, V.I.; Fadeev, D.S.; Vasilevsky, S.F. Synthesis of new combretastatin A-4 analogues and study of their anti-inflammatory activity. Bioorganicheskaya Khimiya 2015, 41, 82–89. [Google Scholar] [CrossRef]
- Pollock, J.K.; Greene, L.M.; Nathwani, S.M.; Kinsella, P.; O’Boyle, N.M.; Meegan, M.J.; Zisterer, D.M. Involvement of NF-κB in mediating the anti-tumour effects of combretastatins in T cells. Investig. New Drugs 2018, 36, 523–553. [Google Scholar] [CrossRef]
- Mao, J.; Wang, D.; Wang, Z.; Tian, W.; Li, X.; Duan, J.; Wang, Y.; Yang, H.; You, L.; Cheng, Y.; et al. Combretastatin A-1 phosphate, a microtubule inhibitor, acts on both hepatocellular carcinoma cells and tumor-associated macrophages by inhibiting the Wnt/β-catenin pathway. Cancer Lett. 2016, 380, 134–143. [Google Scholar] [CrossRef]
- Tang, Z.; Xiong, D.; Song, J.; Ye, M.; Liu, J.; Wang, Z.; Zhang, L.; Xiao, X. Antitumor drug combretastatin-A4 phosphate aggravates the symptoms of dextran sulfate sodium-induced ulcerative colitis in mice. Front. Pharmacol. 2020, 11, 339. [Google Scholar] [CrossRef] [PubMed]
- Mahal, K.; Ahmad, A.; Sethi, S.; Resch, M.; Ficner, R.; Sarkar, F.H.; Schobert, R.; Biersack, B. Role of JNK and NF-κB in mediating the effect of combretastatin A-4 and brimamin on endothelial and carcinoma cells. Cell Oncol. (Dordr.) 2015, 38, 463–478. [Google Scholar] [CrossRef] [PubMed]
- Das, A.; Samal, K.C.; Das, A.B.; Rout, G.R. Quantification, antibacterial assay and cytotoxic effect of combretastatin, an anticancer compound from three Indian Combretum species. Int. J. Curr. Microbiol. App. Sci. 2018, 7, 687–699. [Google Scholar] [CrossRef]
- Eloff, J.N.; Famakin, J.O.; Katerere, D.R.P. Isolation of an antibacterial stilbene from Combretum woodii (Combretaceae) leaves. Afr. J. Biotechnol. 2005, 4, 1167–1171. [Google Scholar]
- González, M.A.; Pérez-Guaita, D.; Agudelo-Goméz, L.S.; Tangarife-Castaño, V.; Zapata, B.; Betancur-Galvis, L. Synthesis and biological evaluation of combretastatin A-4 and three combretastatin-based hybrids. Nat. Prod. Commun. 2012, 7, 1051–1056. [Google Scholar] [CrossRef]
- del Rey, B.; Angel, C.; Esther Caballero, R.; Inchaustti, A.; Yaluff, G.; Medarde, M.; de Arias, A.R.; San Feliciano, A. Leishmanicidal activity of combretastatin analogues and heteroanalogues. Bioorg. Med. Chem. Lett. 1999, 9, 2711–2714. [Google Scholar]
- Seddigi, Z.S.; Malik, M.S.; Saraswati, A.P.; Ahmed, S.A.; Babalghith, A.O.; Lamfon, H.A.; Kamal, A. Recent advances in combretastatin based derivatives and prodrugs as antimitotic agents. Med. Chem. Commun. 2017, 8, 1592–1603. [Google Scholar] [CrossRef]
- Dark, G.G.; Hill, S.A.; Prise, V.E.; Tozer, G.M.; Pettit, G.R.; Chaplin, D.J. Combretastatin A-4, an agent that displays potent and selective toxicity toward tumor vasculature. Cancer Res. 1997, 57, 1829–1834. [Google Scholar]
- Chaplin, D.J.; Pettit, G.R.; Hill, S.A. Anti-vascular approaches to solid tumour therapy: Evaluation of combretastatin A4 phosphate. Anticancer Res. 1999, 19, 189–195. [Google Scholar]
- Tozer, G.M.; Prise, V.E.; Wilson, J.; Locke, R.J.; Vojnovic, B.; Stratford, M.R.; Dennis, M.F.; Chaplin, D.J. Combretastatin A-4 phosphate as a tumor vascular-targeting agent: Early effects in tumors and normal tissues. Cancer Res. 1999, 59, 1626–1634. [Google Scholar]
- Feng, D.; Menger, M.D.; Laschke, M.W. Vascular disrupting effects of combretastatin A4 phosphate on murine endometriotic lesions. Fertil Steril 2013, 100, 1459–1467. [Google Scholar] [CrossRef] [PubMed]
- Sheng, Y.; Hua, J.; Pinney, K.G.; Garner, C.M.; Kane, R.R.; Prezioso, J.A.; Chaplin, D.J.; Edvardsen, K. Combretastatin family member OXI4503 induces tumor vascular collapse through the induction of endothelial apoptosis. Int. J. Cancer 2004, 111, 604–610. [Google Scholar] [CrossRef] [PubMed]
- Nathwani, S.; Hughes, L.; Greene, L.M.; Carr, M.; O’Boyle, N.M.; McDonnell, S.; Meegan, M.J.; Zisterer, D.M. Novel cis-restricted β-lactam combretastatin A-4 analogues display anti-vascular and anti-metastatic properties in vitro. Oncol. Rep. 2013, 29, 585–594. [Google Scholar] [CrossRef] [PubMed]
- Horsman, M.R.; Murata, R.; Breidahl, T.; Nielsen, F.U.; Maxwell, R.J.; Stodkiled-Jorgensen, H.; Overgaard, J. Combretastatins novel vascular targeting drugs for improving anticancer therapy. In Angiogenesis. Advances in Experimental Medicine and Biology; Maragoudakis, M.E., Ed.; Springer: Boston, MA, USA, 2000; Volume 476, pp. 311–323. [Google Scholar]
- Holwell, S.E.; Cooper, P.A.; Thompson, M.J.; Pettit, G.R.; Lippert, L.W.; Martin, S.W.; Bibby, M.C. Anti-tumor and anti-vascular effects of the novel tubulin-binding agent combretastatin A-1 phosphate. Anticancer Res. 2002, 22, 3933–3940. [Google Scholar]
- Vincent, L.; Kermani, P.; Young, L.M.; Cheng, J.; Zhang, F.; Shido, K.; Lam, G.; Bompais-Vincent, H.; Zhu, Z.; Hicklin, D.J.; et al. Combretastatin A4 phosphate induces rapid regression of tumor neovessels and growth through interference with vascular endothelial-cadherin signaling. J. Clin. Investig. 2005, 115, 2992–3006. [Google Scholar] [CrossRef]
- Fruytier, A.C.; Le Duff, C.S.; Po, C.; Magat, J.; Bouzin, C.; Neveu, M.A.; Feron, O.; Jordan, B.F.; Gallez, B. The blood flow shutdown ınduced by combretastatin A4 impairs gemcitabine delivery in a mouse hepatocarcinoma. Front. Pharmacol. 2016, 7, 506. [Google Scholar] [CrossRef]
- Griggs, J.; Skepper, J.N.; Smith, G.A.; Brindle, K.M.; Metcalfe, J.C.; Hesketh, R. Inhibition of proliferative retinopathy by the anti-vascular agent combretastatin-A4. Am. J. Pathol 2002, 160, 1097–1103. [Google Scholar] [CrossRef]
- Nambu, H.; Nambu, R.; Melia, M.; Campochiaro, P.A. Combretastatin A-4 phosphate suppresses development and induces regression of choroidal neovascularization. Investig. Ophthalmol. Vis. Sci. 2003, 44, 3650–3655. [Google Scholar] [CrossRef]
- Griggs, J.; Hesketh, R.; Smith, G.A.; Brindle, K.M.; Metcalfe, J.C.; Thomas, G.A.; Williams, E.D. Combretastatin-A4 disrupts neovascular development in non-neoplastic tissue. Br. J. Cancer 2001, 84, 832–835. [Google Scholar] [CrossRef]
- Tozer, G.M.; Prise, V.E.; Wilson, J.; Cemazar, M.; Shan, S.; Dewhirst, M.W.; Barber, P.R.; Vojnovic, B.; Chaplin, D.J. Mechanisms associated with tumor vascular shut-down induced by combretastatin A-4 phosphate: Intravital microscopy and measurement of vascular permeability. Cancer Res. 2001, 61, 6413–6422. [Google Scholar]
- Porcù, E.; Salvador, A.; Primac, I.; Mitola, S.; Ronca, R.; Ravelli, C.; Bortolozzi, R.; Vedaldi, D.; Romagnoli, R.; Basso, G.; et al. Vascular disrupting activity of combretastatin analogues. Vascular Pharmacol. 2016, 83, 78–89. [Google Scholar]
- Avendaño, C.; Menéndez, J.C. Chapter 9—Anticancer drugs targeting tubulin and microtubules. In Medicinal Chemistry of Anticancer Drugs, 2nd ed.; Elsevier: Boston, MA, USA, 2015; pp. 359–390. [Google Scholar]
- Siemann, D.W.; Chaplin, D.J.; Walicke, P.A. A review and update of the current status of the vasculature disabling agent combretastatin-a4 phosphate (CA4P). Expert Opin. Investig Drugs 2009, 18, 189–197. [Google Scholar] [CrossRef] [PubMed]
- Zhou, X.; Xu, Z.; Li, A.; Zhang, Z.; Xu, S. Double-sides sticking mechanism of vinblastine interacting with α,β-tubulin to get activity against cancer cells. J. Biomol. Struct. Dyn. 2019, 37, 4080–4091. [Google Scholar] [CrossRef]
- Mikstacka, R.; Stefanski, T.; Rozanski, J. Tubulin-interactive stilbene derivatives as anticancer agents. Cell Mol. Biol. Lett. 2013, 18, 368–397. [Google Scholar] [CrossRef] [PubMed]
- Bukhari, S.N.A.; Kumar, G.B.; Revankar, H.M.; Qin, H.L. Development of combretastatins as potent tubulin polymerization inhibitors. Bioorganic Chem. 2017, 72, 130–147. [Google Scholar] [CrossRef]
- González, M.; Ellahioui, Y.; Álvarez, R.; Gallego-Yerga, L.; Caballero, E.; Vicente-Blázquez, A.; Ramudo, L.; Folgado, M.M.; Sanz, C.; Medarde, M.; et al. The masked polar group incorporation (MPGI) strategy in drug design: Effects of nitrogen substitutions on combretastatin and isocombretastatin tubulin inhibitors. Molecules 2019, 24, 4319. [Google Scholar]
- Hura, N.; Sawant, A.V.; Kumari, A.; Guchhait, S.K.; Panda, D. Combretastatin-inspired heterocycles as antitubulin anticancer agents. ACS Omega 2018, 3, 9754–9769. [Google Scholar] [CrossRef] [PubMed]
- Tron, G.C.; Pirali, T.; Sorba, G.; Pagliai, F.; Busacca, S.; Genazzani, A.A. Medicinal chemistry of combretastatin A4: Present and future directions. J. Med. Chem. 2006, 49, 3033–3044. [Google Scholar] [CrossRef] [PubMed]
- Lin, C.M.; Singh, S.B.; Chu, P.S.; Dempcy, R.O.; Schmidt, J.M.; Pettit, G.R.; Hamel, E. Interactions of tubulin with potent natural and synthetic analogs of the antimitotic agent combretastatin: A structure-activity study. Mol. Pharmacol. 1988, 34, 200–208. [Google Scholar]
- do Amaral, D.N.; Cavalcanti, B.C.; Bezerra, D.P.; Ferreira, P.M.P.; de Paula Castro, R.; Sabino, J.R.; Machado, C.M.L.; Chammas, R.; Pessoa, C.; Sant’Anna, C.M.R.; et al. Synthesis and antiproliferative activity of N-acylhydrazone derivatives designed as combretastatin A4 analogues. PLoS ONE 2014, 9, e85380. [Google Scholar] [CrossRef]
- Mustafa, M.; Abdelhamid, D.; El Shimaa, M.N.; Mahmoud, A.A.; Amira, M.; Omar, M. Aly Synthesis, antiproliferative, anti-tubulin activity, and docking study of new 1,2,4-triazoles as potential combretastatin analogues. Eur. J. Med. Chem. 2017, 141, 293–305. [Google Scholar] [CrossRef] [PubMed]
- Mustafa, M.; Anwar, S.; Elgamal, F.; Ahmed, E.R.; Aly, O.M. Potent combretastatin A-4 analogs containing 1,2,4-triazole: Synthesis, antiproliferative, anti-tubulin activity, and docking study. Eur. J. Med. Chem. 2019, 183, 111697. [Google Scholar] [CrossRef] [PubMed]
- O’Boyle, N.M.; Ana, G.; Kelly, P.M.; Nathwani, S.M.; Noorani, S.; Fayne, D.; Bright, S.A.; Twamley, B.; Zisterer, D.M.; Meegan, M.J. Synthesis and evaluation of antiproliferative microtubule-destabilising combretastatin A-4 piperazine conjugates. Org. Biomol. Chem. 2019, 17, 6184–6200. [Google Scholar] [CrossRef] [PubMed]
- Duan, Y.-T.; Man, R.-J.; Tang, D.-J.; Yao, Y.-F.; Tao, X.-X.; Yu, C.; Liang, X.-Y.; Makawana, J.-A.; Zou, M.-J.; Wang, Z.-C.; et al. Design, Synthesis and Antitumor Activity of Novel link-bridge and B-Ring Modified Combretastatin A-4 (CA-4) Analogues as Potent Antitubulin Agents. Sci. Rep. 2016, 6, 25387. [Google Scholar] [CrossRef]
- Elagawany, M.; Schmitt, M.; Ghiaty, A.; El-Etrawy, A.S.; Ibrahim, M.A.; Bihel, F.; Sbardelotto, A.B.; Pessoa, C.; Nguyen, T.L.; Hamel, E.; et al. Synthesis and Antiproliferative Effects of 5,6-Disubstituted Pyridazin-3(2H)-ones Designed as Conformationally Constrained Combretastatin A-4 Analogues. Anti-Cancer Agents Med. Chem. 2013, 13, 1133–1140. [Google Scholar] [CrossRef][Green Version]
- O’Boyel, N.; Greene, L.M.; Bergin, O.; Fichet, J.B.; McCabe, T.; Lloyd, D.G.; Zisterer, D.M.; Meegan, M.J. Synthesis, evaluation and structural studies of antiproliferative tubulin-targeting azetidin-2-ones. Bioorg. Med. Chem. 2011, 19, 2306–2625. [Google Scholar]
- Ohsumi, K.; Hatanaka, T.; Fujita, K.; Nakagawa, R.; Fukuda, Y.; Nihei, Y.; Suga, Y.; Morinaga, Y.; Akiyama, Y.; Tsuji, T. Syntheses and antitumor activity of cisrestricted combretastatins: 5-membered heterocyclic analogues. Bioorg. Med. Chem. Lett. 1998, 8, 3153–3158. [Google Scholar] [CrossRef]
- Blanch, N.M.; Chabotc, G.G.; Quentin, L.; Schermanc, D.; Bourge, S.; Dauzonnea, D. In vitro and in vivo biological evaluation of new 4,5-disubstituted 1,2,3-triazoles as cis-constrained analogs of combretastatin A4. Eur. J Med. Chem. 2012, 54, 22–32. [Google Scholar] [CrossRef]
- Nakamura, M.; Kajita, D.; Matsumoto, Y.; Hashimoto, Y. Design and synthesis of silicon-containing tubulin polymerization inhibitors: Replacement of the ethylene moiety of combretastatin A-4 with a silicon linker. Bioorg. Med. Chem. J. 2013, 21, 7381–7391. [Google Scholar] [CrossRef]
- Cicak, H. The Free Tricoordinated Silyl Cation Problem. J. Chemists Chemical Engineers 2010, 59, 111–124. [Google Scholar]
- Greene, L.M.; Wang, S.; O’Boyle, N.M.; Bright, S.A.; Reid, J.E.; Kelly, P.; Meegan, M.J.; Zisterer, D.M. Combretazet-3 a novel synthetic cis-stable combretastatin A-4-azetidinone hybrid with enhanced stability and therapeutic efficacy in colon cancer. Oncol. Rep. 2013, 29, 2451–2458. [Google Scholar] [CrossRef] [PubMed]
- Boehle, A.S.; Sipos, B.; Kliche, U.; Kalthoff, H.; Dohrmann, P. Combretastatin A-4 Prodrug Inhibits Growth of Human Non–Small Cell Lung Cancer in a Murine Xenotransplant Model. Ann. Thorac. Surg. 2001, 71, 657–665. [Google Scholar] [CrossRef]
- Jadala, C.; Sathish, M.; Anchi, P.; Tokala, R.; Lakshmi, U.J.; Reddy, V.G.; Shankaraiah, N.; Godugu, C.; Kamal, A. Synthesis of Combretastatin-A4 Carboxamidest that Mimic Sulfonyl Piperazines by a Molecular Hybridization Approach: In vitro Cytotoxicity Evaluation and Inhibition of Tubulin Polymerization. Chem. Med. Chem. 2019, 14, 2052–2060. [Google Scholar] [CrossRef] [PubMed]
- Greene, L.M.; Nathwani, S.M.; Bright, S.A.; Fayne, D.; Croke, A.; Gagliardi, M.; Lawler, M.; McElligott, A.M.; O’Connor, L.; Carr, M.; et al. The vascular targeting agent combretastatin-A4 and a novel cis-Restricted {beta}-Lactam Analogue, CA-432, induce apoptosis in human chronic myeloid leukemia cells and ex vivo patient samples including those displaying multidrug resistance. J. Pharmacol. Exp. Ther. 2010, 335, 302–313. [Google Scholar] [CrossRef] [PubMed]
- Chang, J.Y.; Yang, M.F.; Chang, C.Y.; Chen, C.M.; Kuo, C.C.; Liou, J.P. 2-Amino and 2′-aminocombretastatin derivatives as potent antimitotic agents. J. Med. Chem. 2006, 49, 6412–6415. [Google Scholar] [CrossRef] [PubMed]
- Mousset, C.; Giraud, A.; Provot, O.; Hamze, A.; Bignon, J. Synthesis and antitumor activity of benzils related to combretastatin A-4. Bioorg. Med. Chem. Lett. 2008, 18, 3266–3271. [Google Scholar] [CrossRef]
- Ma, M.; Sun, L.; Lou, H.; Ji, M. Synthesis and biological evaluation of Combretastatin A-4 derivatives containing a 3’-O-substituted carbonic ether moiety as potential antitumor agents. Chem. Cent. J. 2013, 7, 179. [Google Scholar] [CrossRef]
- Malcontenti-Wilson, C.; Muralidharan, V.; Skinner, S.; Christophi, C.; Sherris, D.; O’Brien, P.E. Combretastatin A4 prodrug study of effect on the growth and the microvasculature of colorectal liver metastases in a murine model. Clin. Cancer Res. 2001, 7, 1052–1060. [Google Scholar]
- Jiang, J.; Shen, N.; Song, W.; Yu, H.; Sakurai, K.; Tang, Z.; Lia, G. Combretastatin A4 nanodrug combined plerixafor for inhibiting tumor growth and metastasis simultaneously. Biomater. Sci. 2019, 7, 5283–5391. [Google Scholar] [CrossRef]
- Yücel, Ç.; Şeker Karatoprak, G. Development and evaluation of the antioxidant activity of liposomes and nanospheres containing rosmarinic acid. Farmacia 2017, 65, 40–45. [Google Scholar]
- Sah, E.; Sah, H. Recent Trends in Preparation of Poly(lactide-co-glycolide) Nanoparticles by mixing polymeric organic solution with antisolvent. J. Nanomat. 2015, 2015, 1–22. [Google Scholar] [CrossRef]
- Sengupta, S.; Eavarone, D.; Capila, I.; Zhao, G.; Watson, N.; Kiziltepe, T.; Ram, S. Temporal targeting of tumour cells and neovasculature with a nanoscale delivery system. Nature 2005, 436, 568–572. [Google Scholar] [CrossRef] [PubMed]
- Yang, T.; Wang, Y.; Li, Z.; Dai, W.; Yin, J.; Liang, L.; Ying, X.; Zhou, S.; Wang, J.; Zhang, X.; et al. Targeted delivery of a combination therapy consisting of combretastatin A4 and low-dose doxorubicin against tumor neovasculature. Nanomed. Nanotechnol. Biol. Med. 2012, 8, 81–92. [Google Scholar] [CrossRef] [PubMed]
- Zhu, J.; Xu, X.; Hu, M.; Qiu, L. Co-encapsulation of combretastatin-A4 phosphate and doxorubicin in ploymersomes for synergistic therapy of nasopharyngeal epidermal carcinoma. J. Biomed. Nanotechnol. 2015, 11, 997–1006. [Google Scholar] [CrossRef] [PubMed]
- Li, X.; Wu, M.; Pan, L.; Shi, J. Tumor vascular-targeted co-delivery of anti-angiogenesis and chemotherapeutic agents by mesoporous silica nanoparticle-based drug delivery system for synergetic therapy of tumor. Int. J. Nanomed. 2016, 11, 93–105. [Google Scholar] [CrossRef]
- Yang, W.J.; Zhou, P.; Liang, L.; Cao, Y.; Qiao, J.; Li, X.; Teng, Z.; Wang, L. Nanogel-incorporated ınjectable hydrogel for synergistic therapy based on sequential local delivery of Combretastatin-A4 Phosphate (CA4P) and Doxorubicin (DOX). ACS Appl. Mater. Interfaces 2018, 10, 18560–18573. [Google Scholar] [CrossRef]
- Wang, Y.; Yang, T.; Wang, X.; Wang, J.; Zhang, X.; Zhang, Q. Targeted polymeric micelle system for delivery of Combretastatin A4 to tumor vasculature in vitro. Pharm. Res. 2010, 27, 1861–1868. [Google Scholar] [CrossRef]
- Wang, Z.; Ho, P.C. A nanocapsular combinatorial sequential drug delivery system for antiangiogenesis and anticancer activities. Biomaterials 2010, 31, 7115–7123. [Google Scholar] [CrossRef]
- Shen, Y.; Wu, L.; Qui, L. Water-Soluble Combretastatin A4 phosphate orally delivered via composite nanoparticles with improved inhibition effect towards S180 tumors. J. Pharm. Sci. 2017, 106, 3076–3083. [Google Scholar] [CrossRef]
- Liu, Z.; Shen, N.; Tang, Z.; Zhang, D.; Ma, L.; Yand, C.; Chen, X. An eximious and affordable GSH stimulusresponsive poly(α-lipoic acid) nanocarrier bonding combretastatin A4 for tumor therapy. Biomater. Sci. 2019, 7, 2803–2811. [Google Scholar] [CrossRef]
- Mico, V.; Charalambous, A.; Peymana, S.A.; Abou-Saleha, R.H.; Markhamb, A.F.; Coletta, P.L.; Evansa, S.D. Evaluation of lipid-stabilised tripropionin nanodroplets as a delivery route for combretastatin A4. Int. J. Pharm. 2017, 526, 547–555. [Google Scholar] [CrossRef][Green Version]
- Nallamothu, R.; Wood, G.C.; Pattillo, C.B.; Scott, R.C.; Kiani, M.F.; Moore, B.M.; Thoma, L.A. A tumor vasculature targeted liposome delivery system for combretastatin A4: Design, characterization, and in vitro evaluation. AAPS Pharm. Sci. Tech. 2006, 7, E1–E10. [Google Scholar] [CrossRef]
- Jiang, H.; Li, Z.; Tian, G.; Pan, R.; Xu, C.; Zhang, B.; Wu, J. Liver-targeted liposomes for codelivery of curcumin and combretastatin A4 phosphate: Preparation, characterization, and antitumor effects. Int. J. Nanomed. 2019, 14, 1789–1804. [Google Scholar] [CrossRef]
- Pattillo, C.B.; Venegas, B.; Donelson, F.J.; Valle, L.; Knight, L.C.; Chong, P.L.G.; Kiani, M.F. Radiation-guided targeting of combretastatin encapsulated immunoliposomes to mammary tumors. Pharm. Res. 2009, 26, 1093–1100. [Google Scholar] [CrossRef]
- Venegas, B.; Zhu, W.; Haloupek, N.B.; Lee, J.; Zellhart, E.; Sugar, I.P.; Kiani, M.F.; Chong, P.L. Cholesterol superlattice modulates CA4P release from liposomes and CA4P cytotoxicity on mammary cancer cells. Biophys. J. 2012, 102, 2086–2094. [Google Scholar] [CrossRef]
- Ma, L.; Liu, Y.; Ma, Z.; Dou, H.; Xu, J.; Wang, J.; Zhang, X.; Zhang, Q. Targeted treatment of choroidal neovascularization using integrin-mediated sterically stabilized liposomes loaded with Combretastatin A4. J. Ocul. Pharmacol. Ther. 2009, 25, 195–200. [Google Scholar] [CrossRef]
- Hao, Y.; Peng, J.; Zhang, Y.; Chen, L.; Luo, F.; Wang, C.; Qian, Z. Tumor neovasculature-targeted APRPG-PEG-PDLLA/MPEG-PDLLA mixed micelle loading Combretastatin A-4 for breast cancer therapy. ACS Biomater. Sci. Eng. 2018, 4, 1986–1999. [Google Scholar] [CrossRef]
- Shiraishi, K.; Harada, Y.; Kawano, K.; Maitan, Y.; Hori, K.; Yanagihara, K.; Takigahira, M.; Yokoyama, M. Tumor environment changed by Combretastatin derivative (Cderiv) pretreatment that leads to effective tumor targeting, MRI studies, and antitumor activity of polymeric micelle carrier systems. Pharm. Res. 2012, 29, 178–186. [Google Scholar] [CrossRef]
- Luan, C.; Sun, X.; Yuan, Z.; Gong, T.; Zhang, Z. Design and quality evaluation of self-emulsifying drug delivery systems for Combretastatin A4. West. China J. Pharm. Sci. 2010, 1. [Google Scholar]
- Bashari, O.; Redko, B.; Cohen, A.; Luboshits, G.; Gellerman, G.; Firer, M.A. Discovery of peptide drug carrier candidates for targeted multi-drug delivery into prostate cancer cells. Cancer Lett. 2017, 408, 164–173. [Google Scholar] [CrossRef]
- Zhang, M.; Guo, R.; Wang, Y.; Cao, X.; Shen, M.; Shi, X. Multifunctional dendrimer/combretastatin A4 inclusion complexes enable in vitro targeted cancer therapy. Int. J. Nanomed. 2011, 6, 2337–2349. [Google Scholar]

















© 2020 by the authors. Licensee MDPI, Basel, Switzerland. This article is an open access article distributed under the terms and conditions of the Creative Commons Attribution (CC BY) license (http://creativecommons.org/licenses/by/4.0/).
Share and Cite
Karatoprak, G.Ş.; Küpeli Akkol, E.; Genç, Y.; Bardakcı, H.; Yücel, Ç.; Sobarzo-Sánchez, E. Combretastatins: An Overview of Structure, Probable Mechanisms of Action and Potential Applications. Molecules 2020, 25, 2560. https://doi.org/10.3390/molecules25112560
Karatoprak GŞ, Küpeli Akkol E, Genç Y, Bardakcı H, Yücel Ç, Sobarzo-Sánchez E. Combretastatins: An Overview of Structure, Probable Mechanisms of Action and Potential Applications. Molecules. 2020; 25(11):2560. https://doi.org/10.3390/molecules25112560
Chicago/Turabian StyleKaratoprak, Gökçe Şeker, Esra Küpeli Akkol, Yasin Genç, Hilal Bardakcı, Çiğdem Yücel, and Eduardo Sobarzo-Sánchez. 2020. "Combretastatins: An Overview of Structure, Probable Mechanisms of Action and Potential Applications" Molecules 25, no. 11: 2560. https://doi.org/10.3390/molecules25112560
APA StyleKaratoprak, G. Ş., Küpeli Akkol, E., Genç, Y., Bardakcı, H., Yücel, Ç., & Sobarzo-Sánchez, E. (2020). Combretastatins: An Overview of Structure, Probable Mechanisms of Action and Potential Applications. Molecules, 25(11), 2560. https://doi.org/10.3390/molecules25112560

