Abstract
A series of derivatives of trans-3-(2,4,6-trimethoxyphenyl)4,5-dihydroisoxazolo-4,5-bis[carbonyl-(4′phenyl)thiosemicarbazide (9) and of trans-3-(2,4,6-trimethoxyphenyl)-4,5-dihydro isoxazolo-4,5-bis(aroylcarbohydrazide) (10a–c) were synthesized from trans-3-(2,4,6-trimethoxyphenyl)-4,5-dihydro-4,5-bis(hydrazenocarbonyl)isoxazole (8). The structures of the compounds were elucidated by both elemental and spectral (IR, NMR, and MS) analysis. Compound 9 shows activity against some bacterial species. No antibacterial activities were observed for compounds 10a–c. The antioxidant activity of the new compounds has been screened. Compound 9 showed higher antioxidant activity using the DPPH (1,1-diphenyl-2-picrylhydrazyl) and ABTS (2’-azino–bis(3-ethylbenzoline-6-sulfonic acid) diammonium salt methods.
1. Introduction
Isoxazolines are an important class of nitrogen- and oxygen-containing heterocycles that belong to the azoles family, and have gained great importance in the field of medicinal chemistry as anticancer agents [1,2,3,4,5,6,7,8]. They are also reported to possess good antimicrobial, analgesic, anti-inflammatory activities [4]. Several isoxazoline derivatives were generated by 1,3-dipolar cycloaddition of nitrile oxides. Abu-Orabi et al. reported that nitrile oxides (1a and 1b) reacted with dialkyl maleate (2a and 2b) to afford only the cis-cycloadducts 3a–d; Scheme 1 [9,10].
Scheme 1.
The reaction of nitrile oxides 1a–b with dialkyl maleate 2a–b to obtain isoxazolines 3a–d.
In contrast, the reaction of nitrile oxides 1a and 1b with dialkyl fumarate (4a and 4b) yielded the trans-isomers 5a–d; Scheme 2 [9,10,11].
Scheme 2.
Synthesis of isoxazolines 5a–d via 1,3-dipolar cycloaddition of nitrile oxides 1a–b with dialkyl fumarate 4a–b.
Similarly, the reaction of compounds 1a and 1b with trans-dibenzoylethylene (6) was carried out to obtain the corresponding 2-isoxazoline derivatives 7a and 7b in good yields, as shown in Scheme 3 [11].
Scheme 3.
1,3-dipolar cycloaddition of nitrile oxides 1a–b with trans-dibenzoylethylene 6.
The isoxazoline derivatives 5a–d bearing an ester group were reacted with excess hydrazine hydrate in ethanol under reflux to give high yields of bis(hydrazinocarbonyl) derivatives 8a–b; Scheme 4 [12]. Isoxazole derivatives 5a–d showed antitrypanosomal activity [13].
Scheme 4.
The synthesis of bis(hydrazinocarbonyl) derivatives 8a–b by reaction of the isoxazoline derivatives with hydrazine hydrate.
Isoxazoline derivatives exhibit biological and pharmaceutical activities. They also have wide industrial and analytical applications [1,2,3,4,5,6,7,8,13]. These observations prompted us to study the synthesis of certain compounds that possess the isoxazoline moiety to study the antibacterial and antioxidant activities of these compounds on different bacterial strains.
2. Results and Discussion
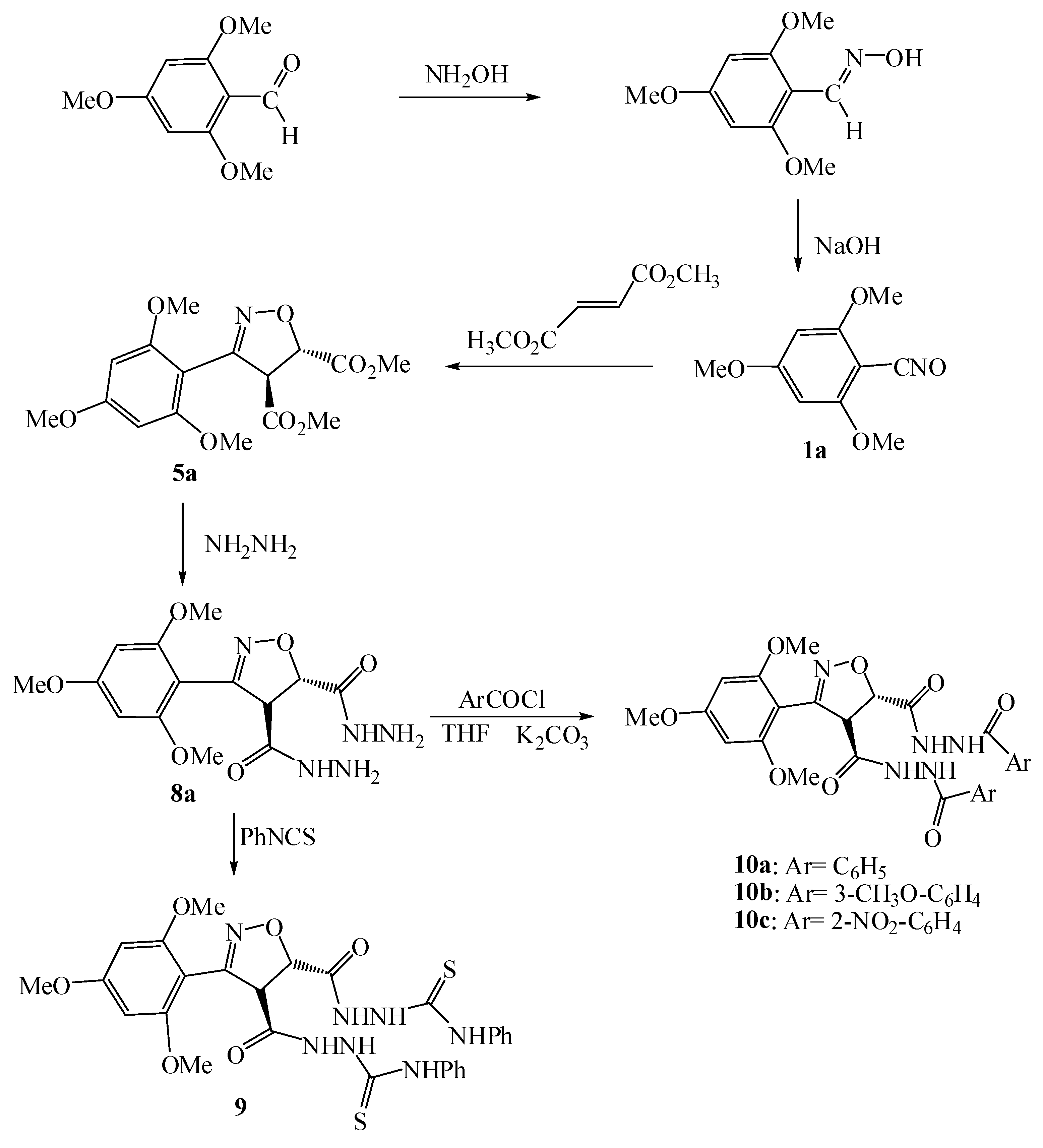
Compound 9 was prepared from the reaction of trans-3-(2,4,6-trimethoxyphenyl)-4,5-dihydro-4,5-bis(hydrazinocarbonyl)isoxazole (8a) with phenylisothiocyanate in absolute ethanol at room temperature; Scheme 5.
Scheme 5.
The synthesis of the target isoxazoline derivatives 9 and 10a–c.
The High resolution mass spectrometry (HRMS) for compound 9 displays a molecular ion peak at m/z = 622.16207 corresponding to the ion [C28H29N7O6S2-H]−, as expected from its calculated m/z = 622.15425. The IR spectrum of the thiosemicarbazides derivative 9 shows absorption bands in the range 3028–3363 cm−1, which are assigned to the N-H stretching frequency. The band at 1703 cm−1 is assigned to the carbonyl group, while the band in the range 1200–1256 cm−1 corresponds to the thiocarbonyl group. The 1H-NMR spectrum for compound 9 shows peaks in the range 9.75–10.52 ppm, which belong to the NH protons. These protons are deuterium exchangeable—the ten aromatic protons are detected as a multiplet in the range 7.15–7.44 ppm, and the other two phenyl protons appear as a singlet at 6.20 ppm. The protons on carbon atoms 4 and 5 of the isoxazoline ring appear as two doublets at 4.85 and 5.40 ppm, with a coupling constant of 7.8 Hz. The NH peaks were confirmed upon addition of deuterium oxide to the NMR tubes of compound 9.
The 13C-NMR spectrum of compound 9 shows the carbon signal of C=O groups at 159 and 162 ppm. The signal at 180 ppm is assigned to the carbon in C=S bond—ten aromatic carbons were observed in the range 124–128 ppm. The quaternary carbons in the aromatic rings appear at 138 ppm.
2.1. Preparation of trans-3-(2,4,6-Trimethoxyphenyl)-4,5-dihydroisoxazolo-4,5-bis(phenylcarbohydrazide) 10a–c
Compounds 10a–c were prepared from the reaction of trans-3-(2,4,6-trimethoxyphenyl)-4,5-dihydro-4,5-bis(hydrazinocarbonyl)isoxazole 8a with two equivalents of aroyl chloride derivatives, as shown in Scheme 1. The dicarbohydrazides 10a–c were characterized by the IR, 1H-NMR, 13C-NMR, and HR-MS.
The HRMS for compound 10a displays a molecular ion peak at m/z = 560.17793 corresponding to the ion [C28 H26N5O8-H]−, as expected from its calculated m/z = 560.17814. The IR spectrum shows a broad band in the range 3008–3306 cm−1, which is assigned to the NH stretching frequency. The band at 1650 cm−1 indicates the amide carbonyl group. In compound 10c, the band at 1535 cm−1 corresponds to the nitro (NO2) group.
It can be seen from the 1H-NMR spectra of compound 10a–c that the three methoxy groups appear as two singlets—one at 3.76 ppm corresponds to six protons, and it belongs to the methoxy at the ortho positions of the phenyl group, while the singlet at 3.79 ppm corresponds to the protons of the methoxy group in the para position. The two protons on carbon atoms 4 and 5 of the isoxazoline ring appear as two doublets at 5.02 and 5.31 ppm, with a coupling constant of 7.8 Hz. The two protons of the aryl group appear at 6.32 ppm as a singlet. Compound 10a has ten aromatic protons as a multiplet in the range 6.93–7.97 ppm, according to the 1H-NMR spectrum. The broad peak in the range 10.27–10.59 ppm is assigned to the four NH amide protons.
The 1H-NMR spectra of compound 10b shows a single peak at 3.83 ppm, which corresponds to the protons of the two methoxy groups in the meta position on the benzoyl rings, and eight aromatic protons appear as a multiplet in the range 7.11–7.50 ppm. The broad peak in the range 10.22–10.53 ppm is assigned to the four NH amide protons, while 1H-NMR spectrum of compound 10c shows eight aromatic protons as a multiplet in the range 7.60–8.12 ppm. Three singlets in the range 10.57–10.81 ppm are assigned to the four NH amide protons. The 13C-NMR spectra of the compounds 10a–c, show signals at 55.3 and 55.5 ppm, which are assigned to the three methoxy carbons on the phenyl group; the signal at 90 ppm is assigned to the two CH aromatic carbons. The C=O carbons appear at 164–167 ppm. For compound 10a, the aromatic carbons in the two benzoyl rings appear in the range 124–139 ppm, while in compound 10b, the aromatic carbons appear in the range 112–133 ppm. The two methoxy groups attached to the benzoyl ring appear at 55.2 ppm. In compound 10c, signals at 146 and 147 ppm are assigned to the carbons attached to the nitro group—other aromatic carbons appear in the range 124–133 ppm. The full assignments of 13C–NMR and 1H–NMR chemical shifts of compound 10b were confirmed by HMQC and HMBC. The IR, 1H-NMR and 13C-NMR spectra of all the compounds are presented in the Supplementary Material.
2.2. Antimicrobial Activity
The antibacterial activities of the newly synthesized compounds were evaluated in vitro against three Gram-positive and three Gram-negative bacterial strains by agar well diffusion. The results of the in vitro antibacterial screen of new compounds are shown in Table 1. For compound 9, activity against four bacterial species was observed—Micrococcus luteus, Staphylococcus aureus, Serratia marcescens, and Bacillus cereus (Table 1)—whereas, for compounds 10a, 10b, and 10c, no activity was observed against all bacterial species.
Table 1.
Antimicrobial activity of compounds 9, 10a, 10b, 10c against different Gram-positive and Gram-negative bacteria.
2.3. Antioxidant Activity
The antioxidant activity from organic compounds plays an important role through free radical scavenging, which is useful in the treatment of many diseases. In this study, the free radical scavenging activity of all compounds was carried out in the presence of the DPPH (1,1-diphenyl-2-picrylhydrazyl) and ABTS (2’-azino–bis(3-ethylbenzoline-6-sulfonic acid) diammonium salt) using ascorbic acid and α-Tocopherol antioxidant agents as a positive control. Although several methods are available for the determination of the antioxidant activity, the DPPH and ABTS methods are very common, rapid, and two of the most appropriate methods [14,15].
A series of concentrations ranging from 0.005–0.50 mg/mL were prepared and from each tested compound and then investigated for their antioxidant activity power using the different models. The results are summarized in Figure 1. The results indicated that the DPPH and ABTS radical scavenging activities were concentration dependent (Figure 1), and the order of radical scavenging power for both models was 9 > 10c > 10b > 10a.
Figure 1.
Antioxidant activity of compounds 9, 10a, 10b, 10c, and positive controls (ascorbic acid and α-tocopherol) by using DPPH (1,1-diphenyl-2-picrylhydrazyl) and ABTS (2’-azino–bis(3-ethylbenzoline-6-sulfonic acid) diammonium salt) assays.
The IC50 (effective concentration for scavenging 50% of the inhibition) of synthesized compounds on DPPH and ABTS radicals are presented in Table 2. Based on the experimental results, among all the compounds synthesized 9, 10a, 10b, and 10c showed higher scavenging activity towards DPPH and ABTS. The higher antioxidant activity of compound 9 can be explained by the existence of the thiourea fragment [16]. However, the order of the radical scavenging power found in both models was 10c > 10b > 10a due to the fact that the presence of the nitro group on the phenyl in compound 10c determines a slight increase in antioxidant activity of compound 10c compared with 10b and 10a.
Table 2.
DPPH and ABTS antioxidant activities of compounds 9, 10a, 10b, and 10c, and positive controls (ascorbic acid and α-tocopherol). Values expressed are means ± S.D. of three parallel measurements.
3. Materials and Methods
3.1. Materials
2,4,6-trimethoxybenzaldehyde, hydroxylammonium chloride, dimethyl fumarate, hydrazine hydrate, substituted benzoyl chloride, phenyl isothiocyanate, 1,1-diphenyl-1-picrylhydrazyl (DPPH, purity N 99%), ascorbic acid (purity = 99%), α-tocopherol (purity = 99%), 2,2’-azino–bis(3-ethylbenzoline-6-sulfonic acid) diammonium salt (ABTS, purity N 99%), organic solvents and reagents were purchased from Aldrich (St Louis, MO, USA), Fluka (Steinheim, Germany) and Across (Morris Plains, NJ, USA) and were used without any further purification. Melting points were measured on electrothermal digital melting point apparatus and were uncorrected. Infrared spectra (IR) were recorded over the range 400–4000 cm−1 on an FT-IR Spectrometer Across (Thermo Scientific, WI, USA) and Janssen, Bruker spectrum 2000 Across (Morris Plains, NJ, USA). Potassium bromide pellets were used. High-resolution mass spectra (HRMS) were measured in positive ion mode using the electrospray ionization (ESI) technique on the Bruker APEX-2 instrument Across (Bremen, Germany) and Janssen. Nuclear magnetic resonance spectra (1H-NMR, 13C-NMR and 2DNMR) were measured using Bruker Avance III (Finnigan Corp., San Jose, CA, USA). Spectra were acquired in (CDCl3, 1% TMS) or (DMSO-d6, 1% TMS)
3.2. Preparation of 2,4,6-Trimethoxybenzaldoxime
2,4,6-trimethoxybenzaldehyde (11.7g, 60 mmol) was dissolved in a 100 mL ethanol/NaOH (10%) mixture (1:1 ratio). Excess hydroxylammonium chloride was dissolved in water (75 mL). Then, the two solutions were mixed and the mixture was heated at 60 °C for 30 min. The mixture was then allowed to cool to room temperature. White crystals were collected by suction filtration and recrystallized from ethanol [17].
3.3. Preparation of 2,4,6-Trimethoxybenzonitrile Oxide 1a
2,4,6-trimethoxybenzaldoxime (4.8 g, 24 mmol) was dissolved in NaOH solution (1 N, 50 mL) and pyridine (20 mL). The clear solution was added dropwise with stirring for a period of 1 h to a previously prepared solution of Br2 (3.5 g) in ice-cooled 1 N NaOH (80 mL). The temperature was maintained during the addition at 0 °C. After the addition was completed, the resulting solution was stirred at 0 °C for a further 30 min. The resulting white precipitate was filtrated as quickly as possible through a large Büchner funnel, washed several times with ice-H2O, and dried under vacuum [18].
3.4. Preparation of trans-Dimethyl 3-(2,4,6-trimethoxy phenyl)-4,5-dihydro-4,5-isoxazoledicarboxylate 5a
Dimethyl fumarate (2.2 g, 15 mmol) was added to a solution of 2,4,6-trimethoxybenzonitrile oxide (3.15 g, 15 mmol) in dry tetrahydrofuran (THF) (80 mL). The mixture was heated under reflux for 6 h. The solvent was removed using a rotatory evaporator and the residue was recrystallized from the methanol-petroleum ether (60–80 °C) [19].
1H-NMR (400 MHz, CDCl3): δ ppm = 3.54 (s, 6H), 3.70 (s, 6H), 3.76 (s, 3H), 4.73 (d, 1H, J = 6.8 Hz), 5.45 (d, 1H, J = 6.8 Hz), 6.05 (s, 2H). 13C-NMR (100 MHz, CDCl3): δ ppm = 52.7, 52.9, 55.4, 56.0, 59.1, 80.5, 90.6, 98.0, 149.6, 159.7, 162.9, 167.8, 169.8.
3.5. Preparation of trans-3-(2,4,6-Trimethoxyphenyl)-4,5-dihydro-4,5-bis(hydrazenocarbonyl)isoxazole 8a
An excess amount of hydrazine hydrate was added to a solution of trans-dimethyl 3-(2,4,6-trimethoxyphenyl)-4,5-dihydro-4,5-isoxazoledicarboxylate (1.5 g, 4.3 mmol) in ethanol (80 mL). The mixture was heated under reflux for 50 h. The solvent was removed, and the residue was recrystallized from the methanol-petroleum ether (60–80 °C) to yield the product (1 g, 67% yield); mp: 178–180 °C. The HRMS displayed a molecular ion peak at m/z 376.12275 corresponding to the ion [C14H19N5O6 + Na]+ as expected from its calculated m/z = 376.12330. IR (KBr; cm−1): 3300 (N-H), 3050 (C-H arom), 2940 (C-H aliph), 1650 (C=O), 1600 (C=C), 1450 (C=N), 1100 (C-O).
1H-NMR (400MHz, DMSO-d6): δ ppm = 3.71 (s, 6H), 3.80 (s, 3H), 4.29 (bs, 4H, NH2), 4.50 (d, 1H, J = 6.8 Hz), 5.05 (d, 1H, J = 6.8 Hz), 6.23 (s, 2H), 9.14 (bs, 1H, NH), 9.50 (bs, 1H, NH). 13C-NMR (100 MHz, DMSO-d6): δ ppm = 55.4, 55.9, 58.7, 81.3, 90.9, 97.7, 150.5, 159.4, 162.2, 165.8, 166.9.
3.6. Preparation of trans-3-(2,4,6-Trimethoxyphenyl)4,5-dihydroisoxazolo-4,5-bis[carbonyl-(4′phenyl)thiosemicarbazide] 9
Phenyl isothiocyanate (0.82 g, 6 mmol) was added to a solution of hydrazinocarbonyl (3.1 g, 5 mmol) in absolute ethanol (30 mL). The reaction mixture was stirred at room temperature for approximately 20 h. The mixture was poured into cold water. The resulting precipitate was filtered and recrystallized from ethanol, affording 2.5 g (80%) of product 9; mp: 192–194 °C, IR (KBr; cm−1): 3028-3363 (N-H), 1703 (C=O), 1200-1256 (C=S).
1H-NMR (400 MHz, DMSO-d6): δ ppm = 3.72 (s, 6H), 3.74 (s, 2H), 4.85 (d, 1H, J = 7.8 Hz), 5.40 (d, 1H, J = 7.8 Hz), 6.20 (s, 2H), 7.15-7.44 (m, 10H), 9.75 (bs, 4H, NH), 10.34 (bs, 1H, NH), 10.52 (bs, 1H, NH). 13C NMR (100MHz, DMSO-d6): δ ppm = 55.3, 56.0, 58.1, 81.6, 91.0, 97.3, 124.1, 125.2, 125.8, 128.0, 128.2, 138.6, 138.8, 139.0, 150.5, 159.4, 162.4, 180.3.
3.7. Preparation of trans-3-(2,4,6-Trimethoxyphenyl)-4,5-dihydroisoxazolo-4,5-bis(aroylcarbohydrazide) 10a–c
To a solution of acid dihydrazide (1.12 g, 2 mmol) and potassium carbonate (4 mmol) in aq. tetrahydrofuran (160 mL 1:3), a solution of benzoyl chloride (4 mmol) in tetrahydrofuran (20 mL) was added dropwise with stirring at 25 °C. The reaction mixture was stirred for 3–6 h, during which time a precipitate was formed. The precipitate was collected by filtration and washed with water, then recrystallized from dimethylsulfoxide (DMSO)/water (1:1).
For compound 10a, trans-3-(2,4,6-trimethoxyphenyl)-4,5-dihydroisoxazolo-4,5-bis(phenylcarbohydrazide):
Yield: 1.48g (83%); mp: 202–204 °C, the HRMS displayed a molecular ion peak at m/z 560.17869 corresponding to the ion [C28 H27N5O8-H]-, as expected from its calculated m/z = 560.17814. IR (KBr; cm−1): 3145 (N-H), 3026 (C-H aromatic), 1675 (C=O), 1471 (C=N).
1H-NMR (400 MHz, DMSO-d6): δ ppm = 3.41 (s, 6H), 3.83 (s, 3H), 5.02 (d, 1H, J = 7.8 Hz), 5.31 (d, 1H, J = 7.8 Hz), 6.32 (s, 2H), 6.93-7.97 (m, 10H), 10.27 (bs, 1H, NH),10.44 (bs, 1H, NH), 10.59 (bs, 2H, NH). 13C-NMR (100 MHz, DMSO-d6): δ ppm = 55.4, 55.9, 58.2, 81.4, 91.0, 97.5, 124.9, 127.4, 127.5, 128.3, 128.5, 131.7, 131.9, 132.3, 132.4, 139.2, 150.2, 159.6, 162.3, 165.0, 165.2, 166.3, 167.4.
For compound 10b, trans-3-(2,4,6-trimethoxyphenyl)-4,5-dihydroisoxazolo-4,5-bis(aroylcarbohydrazide):
Yield: 0.86g (73%); mp: 225–227 °C. IR (KBr; cm−1): 3145 (N-H), 3026 (C-H aromatic), 1675 (C=O), 1471 (C=N).
1H-NMR (400 MHz, DMSO-d6): δ ppm = 3.76 (s, 6H), 3.79 (s, 3H), 3.83 (s, 6H), 4.97 (d, 1H, J = 7.8 Hz), 5.24 (d, 1H, J = 7.8 Hz), 6.27 (s, 2H), 7.11-7.50 (m, 8H), 10.22 (bs, 1H, NH),10.37 (bs, 1H, NH), 10.53 (bs, 2H, NH). 13C-NMR (100 MHz, DMSO-d6): δ ppm = 55.2, 55.3, 55.4, 55.9, 58.2, 81.5, 91.0, 97.5, 112.4, 112.4, 117.8, 119.7, 119.7, 129.5, 129.7, 133.7, 133.7, 150.2, 159.0, 159.2, 159.6, 162.3, 164.7, 163.9, 166.4, 167.3.
For compound 10c, trans-3-(2,4,6-trimethoxyphenyl)-4,5-dihydroisoxazolo-4,5-bis(aroylcarbohydrazide):
Yield: 0.63g (52%) of product; mp: 255–257 °C, IR (KBr; cm−1): 3145 (N-H), 3026 (C-H aromatic), 1608 (C=O), 1471 (C=N), 1535 (NO2).
1H-NMR (400 MHz, DMSO-d6): δ ppm = 3.74 (s, 6H), 3.80 (s, 3H), 4.93 (d, 1H, J = 7.8 Hz), 5.28 (d, 1H, J = 7.8 Hz), 6.24 (s, 2H), 7.60-8.12 (m, 8H), 10.57 (bs, 1H, NH), 10.61 (bs, 1H, NH), 10.81 (bs, 2H, NH). 13C-NMR (100 MHz, DMSO-d6): δ = 55.3, 55.9, 58.2, 81.2, 90.8, 97.4, 124.2, 124.3, 129.5, 129.5, 130.1, 130.3, 131.3, 131.7, 146.9, 147.2, 150.2, 159.5, 162.3, 163.7, 164.0, 165.7, 166.8.
3.8. Antimicrobial Activity
In vitro antimicrobial activity of new compounds was screened against six different bacterial isolates (obtained from the Department of Biological Sciences, Yarmouk University, Jordan) using the agar well diffusion methods. The six bacterial isolates investigated included three Gram-positive bacteria Micrococcus luteus, Bacillus cereus, and Salmonella typhi and three Gram-negative bacteria Staphylococcus aureus, Serratia marcescens, and Pseudomonas aeruginosa. Bacterial strains were cultured overnight at 37 °C in tryptone soy broth (TSA).
3.9. Antioxidant Activity
The antioxidant activity of the compound was determined using the DPPH and ABTS according to the procedures described in the literature [19,20,21,22]. Positive controls used included α-tocopherol and ascorbic acid, while methanol was the negative control. All determinations of the IC50 by the three assay methods were conducted in triplicate. The IC50 of the extracts and the positive controls, expressed as mean ± SD, are shown in Table 2. All determinations of the IC50 by the three assay methods were conducted in triplicate.
4. Conclusions
New 2-isoxazoline derivatives were successfully synthesized and characterized using spectroscopic techniques (IR and NMR) and elemental analysis. All the synthesized compounds have been investigated for their antioxidant activity by DPPH and ABTS assays, and the results indicated that these compounds have good scavenging activities. They were evaluated for their antimicrobial activities against certain Gram-positive and Gram-negative bacteria. The results show that compound 9 has activity against certain bacterial species, whereas the remainder of the compounds have no considerable effects on microbial growth.
Supplementary Materials
The following are available online, Figure S1: IR (KBr disk) spectrum for compound 9, Figure S2: 1H-NMR spectrum of compound 9 in DMSO-d6 Solvent, Figure S3: 13C-NMR spectrum of compound 9 in DMSO-d6 Solvent, Figure S4: IR (KBr disk) spectrum for compound 10b, Figure S5: IR (KBr disk) spectrum for compound 10c, Figure S6: 1H-NMR spectrum of compound 10a in DMSO-d6 Solvent, Figure S7: 1H-NMR spectrum of compound 10b in DMSO-d6 Solvent, Figure S8: 1H-NMR spectrum of compound 10c in DMSO-d6 Solvent, Figure S9: 13C-NMR spectrum of compound 10a in DMSO-d6 Solvent, Figure S10: 13C-NMR spectrum of compound 10b in DMSO-d6 Solvent, Figure S11: 13C-NMR spectrum of compound 10c in DMSO-d6 Solvent, Figure S12: HMQC spectrum of compound 10b in DMSO-d6 Solvent, Figure S13: HMBC spectrum of compound 10b in DMSO-d6 Solvent.
Author Contributions
M.A.-Q., L.A.-M., and S.A.-O. conceived and designed the experiments, analyzed the data, and prepared the manuscript. A.A. and F.H. performed the experiments, analyzed the data and prepared the manuscript. All authors have read and agreed to the published version of the manuscript.
Funding
We would like to thank the Deanship of Scientific Research and Graduate Studies at Yarmouk University for funding this research project. and the Deanship of Scientific Research and Post Graduate Studies at the University of Ha’il, Saudi Arabia.
Conflicts of Interest
The authors declare no conflict of interest.
References
- Jung, H.K.; Doddareddya, M.R.; Cha, J.H.; Rhim, H.; Cho, Y.S.; Koh, H.Y.; Jung, B.Y.; Pae, A.N. Synthesis and biological evaluation of novel T-type Ca2+ channel blockers. Bioorg. Med. Chem. 2004, 12, 3965–3970. [Google Scholar] [CrossRef] [PubMed]
- Popat, K.H.; Nirmavat, K.S.; Kachhadia, V.V.; Joshi, H.S. Synthesis and biological activity of 3-aryl-5-(3′-bromo/chlorophenyl) isoxazoles. J. Indian Chem. Soc. 2003, 80, 707–708. [Google Scholar] [CrossRef]
- Norman, B.H.; Lander, P.A.; Gruber, J.M.; Kroin, J.S. Cyclohexyl-linked tricyclic isoxazoles are potent and selective modulators of the multidrug resistance protein (MRP1). Bioorg. Med. Chem. Lett. 2005, 15, 5526–5530. [Google Scholar] [CrossRef] [PubMed]
- Nyati, M.; Rao, S.N.; Srivastav, K.Y.; Verma, L.B. Microwave induced synthesis and antimicrobial activity of some 3-benzimidazolyl-5 aryl-2-isoxazolines. Indian J. Heterocycl. Chem. 2006, 15, 295–296. [Google Scholar]
- Diana, G.D.; McKinlay, M.A.; Brisson, C.J.; Zalay, E.S.; Miralles, J.V.; Salvador, U.J. Isoxazoles with antipicornavirus activity. J. Med. Chem. 1985, 28, 748–752. [Google Scholar] [CrossRef] [PubMed]
- Kiran Kumar, A.B.V.; Uma Ravi Sankar, A.; Kim, S.H. A simple, efficient one-pot synthesis of 2-isoxazoline derivatives and their antimicrobial activity. J. Heterocycl. Chem. 2014, 51 (Suppl. S1), E146–E151. [Google Scholar] [CrossRef]
- Prajapti, S.K.; Shrivastava, S.; Bihade, U.; Gupta, A.K.; Naidu, V.G.M.; Banerjee, U.C.; Babu, B.N. Synthesis and biological evaluation of novel Δ2-isoxazoline fused cyclopentane derivatives as potential antimicrobial and anticancer agents. MedChemComm 2015, 6, 839–845. [Google Scholar] [CrossRef]
- Antczak, C.; Bauvois, B.; Monneret, C.; Florent, J.C. A new acivicin prodrug designed for tumor-targeted delivery. Bioorg. Med. Chem. 2001, 9, 2843–2848. [Google Scholar] [CrossRef]
- Abu-Orabi, S.T.; Al-Ghezawi, N.M. 1, 3-Dipolar cycloaddition of nitrile oxides with cis-and trans-ethylene-substituted. DELTA. 2-isoxazoline derivatives. J. Chem. Eng. Data 1987, 32, 383–384. [Google Scholar] [CrossRef]
- Abu-Orabi, S.T. 1,3-Dipolar cycloaddition reactions of substituted benzyl azides with acetylenic compounds. Molecules 2002, 7, 302–314. [Google Scholar] [CrossRef]
- Abu-Orabi, S.T. 1,3 Dipolar cycloaddition reactions of aromatic nitrile oxides with disubstituted acetylenes and disubstituted ethylenes. Part IV. Mutah J. Res. Stud. Nat. Appl. Sci. Ser. 1995, 10, 79–88. [Google Scholar]
- Abu-Orabi, S.T.; Al-Hamdany, R.; Al-Momany, L.A.; Ta’an, E.A. Reactions of isoxazoline and isoxazole derivatives with hydraaaazine hydrate. Asian J. Chem. 1999, 11, 1276. [Google Scholar]
- Koparir, M.; Orek, C.; Parlak, A.E.; Söylemez, A.; Koparir, P.; Karatepe, M.; Dastan, S.D. Synthesis and biological activities of some novel aminomethyl derivatives of 4-substituted-5-(2-thienyl)-2,4-dihydro-3H-1,2,4-triazole-3-thiones. Eur. J. Med. Chem. 2013, 63, 340–346. [Google Scholar] [CrossRef]
- Tarawneh, A.H.; Al-Momani, L.A.; León, F.; Jain, S.K.; Gadetskaya, A.V.; Abu-Orabi, S.T.; Tekwani, B.L.; Cutler, S.L. Evaluation of triazole and isoxazole derivatives as potential anti-infective agents. Med. Chem. Res. 2018, 27, 1269–1275. [Google Scholar] [CrossRef]
- Kumar, A.; Sharma, P.; Kumari, P.; Kalal, B.L. Exploration of antimicrobial and antioxidant potential of newly synthesized 2, 3-disubstituted quinazoline-4(3H)-ones. Bioorg. Med. Chem. Lett. 2011, 21, 4353–4357. [Google Scholar] [CrossRef]
- Yehye, W.A.; Rahman, N.A.; Alhadi, A.A.; Khaledi, H.; Ng, S.W.; Ariffin, A. Butylated hydroxytoluene analogs: Synthesis and evaluation of their multipotent antioxidant activities. Molecules 2012, 17, 7645–7665. [Google Scholar] [CrossRef]
- Brewster, R.Q.; VanderWerf, C.A.; McEwen, W.E. Unitized Experiments in Organic Chemistry; Van Nostrand: New York, NY, USA, 1977; Volume 577. [Google Scholar]
- Grundmann, C.; Dean, J.M. Nitrile Oxides. V. Stable aromatic nitrile oxides1, 2. J. Org. Chem. 1965, 30, 2809–2812. [Google Scholar] [CrossRef]
- Al-Qudah, M.A.; Allahham, F.E.; Obeidat, S.M.; Al-Jaber, H.I.; Lahham, J.N.; Abu Orabi, S.T. In vitro antioxidant activities, total phenolics and total flavonoids of the different extracts of Capparis spinosa L. and capparis decidua Edgew (forssk.) from Jordan. Int. J. Pharm. Res. 2020, 12, 1226–1236. [Google Scholar]
- Al-Qudah, M. Antioxidant acitvity and chemical composition of essential oils of fresh and air-dried Jordanian nepeta curviflora boiss. J. Biol. Act. Prod. Nat. 2016, 6, 101–111. [Google Scholar]
- Al-Qudah, M.A.; Saleh, A.M.; Alhawsawi, N.L.; Al-Jaber, H.I.; Rizvi, S.A.; Afifi, F.U. Composition, antioxidant and anticancer activities of the essential oil from fresh and air-dried aerial parts of Pallenis spinosa. Chem. Biodivers. 2017, 14, e1700146. [Google Scholar] [CrossRef] [PubMed]
- Abu-Orabi, S.T.; Al-Qudah, M.A.; Saleh, N.R.; Bataineh, T.T.; Obeidat, S.M.; Al-Sheraideh, M.S.; Al-Jaber, H.I.; Tashtoush, H.I.; Lahham, J.N. Antioxidant activity of crude extracts and essential oils from flower buds and leaves of Cistus creticus and Cistus salviifolius. Arab. J. Chem. 2020, 13, 6256–6266. [Google Scholar] [CrossRef]
Sample Availability: Samples of the compounds are not available from the authors. |
© 2020 by the authors. Licensee MDPI, Basel, Switzerland. This article is an open access article distributed under the terms and conditions of the Creative Commons Attribution (CC BY) license (http://creativecommons.org/licenses/by/4.0/).





