Dissolution Behavior of Flufenamic Acid in Heated Mixtures with Nanocellulose
Abstract
1. Introduction
2. Materials and Methods
2.1. Materials
2.2. Materials Preparation
2.2.1. Physical (Normal) Mixture (P)
2.2.2. Heated Mixture (H)
2.3. Materials Characterisation
2.3.1. Scanning Electron Microscopy (SEM)
2.3.2. Powder X-Ray Diffraction (PXRD)
2.3.3. Differential Scanning Calorimetry (DSC)
2.3.4. Fourier-Transform Infrared Spectroscopy (FTIR)
2.3.5. In Vitro Dissolution Test in Biorelevant Media
2.3.6. High Performance Liquid Chromatography (HPLC)
3. Results
3.1. Scanning Electron Microscopy (SEM)
3.2. Powder X-Ray Diffraction (PXRD)
3.3. Differential Scanning Calorimetry (DSC)
3.4. Fourier-Transform Infrared Spectroscopy (FTIR)
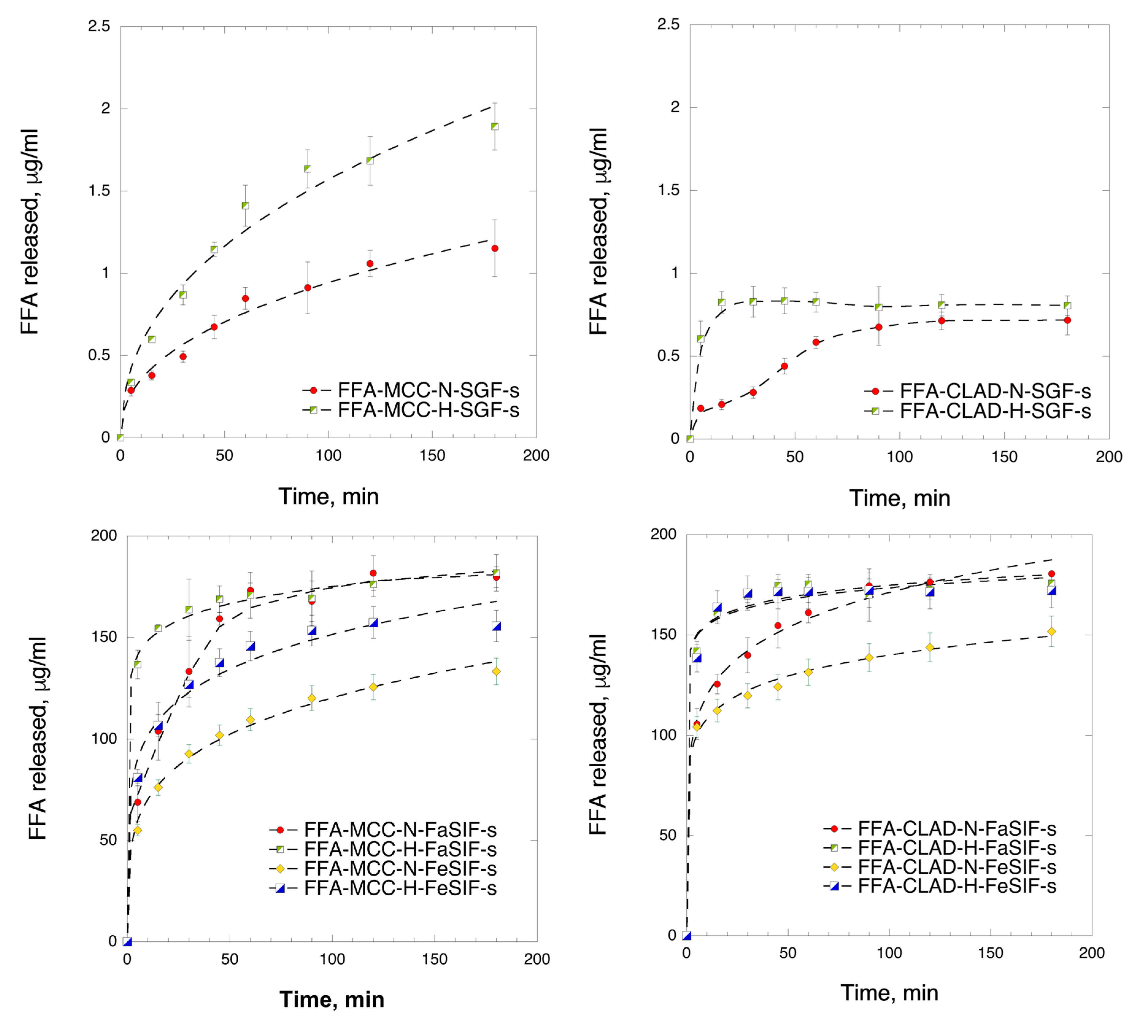
3.5. In Vitro Dissolution in Biorelevant Media
3.6. Differential Scanning Calorimetry (DSC) (After Storage)
3.7. In Vitro Dissolution in Biorelevant Media (After Storage)
4. Conclusions
Author Contributions
Funding
Conflicts of Interest
Abbreviations
References
- López-Mejías, V.; Kampf, J.W.; Matzger, A.J. Nonamorphism in Flufenamic Acid and a New Record for a Polymorphic Compound with Solved Structures. J. Am. Chem. Soc. 2012, 134, 9872–9875. [Google Scholar] [CrossRef] [PubMed]
- Del Favero, A. Anti-inflammatory analgesics and drugs used in gout. Side Eff. Drugs Annu. 1994, 18, 99–111. [Google Scholar]
- Cimolai, N. The potential and promise of mefenamic acid. Expert Rev. Clin. Pharmacol. 2013, 6, 289–305. [Google Scholar] [CrossRef] [PubMed]
- Anderson, A.B.; Haynes, P.J.; Fraser, I.S.; Turnbull, A.C. Trial of prostaglandin-synthase inhibitors in primary dysmenorrhea. Lancet 1978, 311, 345–348. [Google Scholar] [CrossRef]
- Budoff, P.W. Use of mefenamic acid in the treatment of primary dysmenorrhea. JAMA 1979, 241, 2713–2716. [Google Scholar] [CrossRef] [PubMed]
- Fraser, I.S.; Pearse, C.; Shearman, R.P.; Elliott, P.M.; McIlveen, J.; Markham, R. Efficacy of mefenamic acid in patients with a complaint of menorrhagia. Obstet. Gynecol. 1981, 58, 543–551. [Google Scholar] [CrossRef] [PubMed]
- Kapadia, L.; Elder, M.G. Flufenamic acid in treatment of primary spasmodic dysmenorrhea. Lancet 1978, 311, 348–350. [Google Scholar] [CrossRef]
- Guinamard, R.; Simard, C.; Del Negro, C. Flufenamic acid as an ion channel modulator. Pharmacol. Ther. 2013, 138, 272–284. [Google Scholar] [CrossRef] [PubMed]
- Lentjes, E.G.; Van Ginneken, C.A. Pharmacokinetics of flufenamic acid in man. Int. J. Clin. Pharmacol. Ther. Toxicol. 1987, 25, 185–187. [Google Scholar] [PubMed]
- Kaniwa, N.; Ogata, H.; Aoyagi, N.; Ejima, A. The bioavailability of flufenamic acid from aluminum flufenamate tablet and flufenamic acid capsule, and the influence of food and aluminum hydroxide gel. J. Pharm.-Dyn. 1982, 5, 187–192. [Google Scholar] [CrossRef] [PubMed]
- Kaniwa, N.; Ogata, H.; Aoyagi, N.; Shibazaki, T.; Ejima, A.; Watanabe, Y.; Motohashi, K.; Sasahara, K.; Nakajima, E.; Morioka, T.; et al. The bioavailability of flufenamic acid and its dissolution rate from capsules. Int. J. Clin. Pharmacol. Ther. Toxicol. 1983, 21, 56–63. [Google Scholar] [PubMed]
- Mantas, A.; Labbe, V.; Loryan, I.; Mihranyan, A. Amorphisation of Free Acid Ibuprofen and Other Profens in Mixtures with Nanocellulose: Dry Powder Formulation Strategy for Enhanced Solubility. Pharmaceutics 2019, 11, 68. [Google Scholar] [CrossRef] [PubMed]
- Mantas, A.; Mihranyan, A. Immediate-Release Nifedipine Binary Dry Powder Mixtures with Nanocellulose Featuring Enhanced Solubility and Dissolution Rate. Pharmaceutics 2019, 11, 37. [Google Scholar] [CrossRef] [PubMed]
- Lombardo, S.; Chen, P.; Larsson, P.A.; Thielemans, W.; Wohlert, J.; Svagan, A.J. Toward Improved Understanding of the Interactions between Poorly Soluble Drugs and Cellulose Nanofibers. Langmuir 2018, 34, 5464–5473. [Google Scholar] [CrossRef] [PubMed]
SampleAvailability: Samples of the compounds are not available. |







| FFA | Properties |
|---|---|
| Structure | ![]() |
| IUPAC Name | 2-{[3-(trifluoromethyl)phenyl]amino}benzoic acid |
| Molar mass, g/mol | 281 |
| T melting, °C | 134 |
| pKa | 3.9 |
| logP | 5.25 |
| Ton, °C | Tm, °C | ΔH, J/g mix | CrI *, % | |
|---|---|---|---|---|
| FFA | 134.4 ± 1.2 | 134.1 ± 0.0 | 94.1 ± 7.7 | 100 |
| FFA-MCC-N | ||||
| Polymorph A | 133.4 ± 0.0 | 134.5 ± 0.0 | 91.4 ± 7.1 | 97.2 |
| FFA-MCC-H | ||||
| Polymorph A | 133.2 ± 0.0 | 134.1 ± 0.1 | 45.8 ± 1.7 | 48.7 |
| Polymorph B | 128.1 ± 0.0 | 128.4 ± 0.1 | 18.0 ± 0.4 | 19.1 |
| Polymorph C | 125.5 ± 0.0 | 126.1 ± 0.0 | 6.3 ± 0.6 | 6.7 |
| Polymorph D | 121.9 ± 0.0 | 123.7 ± 0.2 | 13.0 ± 0.2 | 13.8 |
| FFA-CLAD-N | ||||
| Polymorph A | 133.5 ± 0.0 | 134.4 ± 0.1 | 11.2 ± 3.8 | 11.9 |
| FFA-CLAD-H | ||||
| Polymorph A | 131.3 ± 0.1 | 134.9 ± 1.3 | 0.07 ± 0.0 | 0.07 |
| Ton, °C | Tm, °C | ΔH, J/g mix | CrI *, % | |
|---|---|---|---|---|
| FFA | 134.4 ± 1.2 | 134.1 ± 0.0 | 94.1 ± 7.7 | 100 |
| FFA-MCC-N | ||||
| Polymorph A | 133.6 | 134.7 | 80.8 | 85.8 |
| FFA-MCC-H | ||||
| Polymorph A | 133.4 ± 0.1 | 134.1 ± 0.0 | 4.2 ± 0.1 | 4.5 |
| Plolymorph B | 128.1 ± 0.0 | 129.3 ± 0.0 | 84.0 ± 0.6 | 89.2 |
| FFA-CLAD-N | ||||
| Polymorph A | 133.7 | 134.6 | 4.3 | 4.5 |
| FFA-CLAD-H | ||||
| Polymorph A | 131.9 | 133.3 | 0.001 | 0.0 |
© 2020 by the authors. Licensee MDPI, Basel, Switzerland. This article is an open access article distributed under the terms and conditions of the Creative Commons Attribution (CC BY) license (http://creativecommons.org/licenses/by/4.0/).
Share and Cite
Mantas, A.; Mihranyan, A. Dissolution Behavior of Flufenamic Acid in Heated Mixtures with Nanocellulose. Molecules 2020, 25, 1277. https://doi.org/10.3390/molecules25061277
Mantas A, Mihranyan A. Dissolution Behavior of Flufenamic Acid in Heated Mixtures with Nanocellulose. Molecules. 2020; 25(6):1277. https://doi.org/10.3390/molecules25061277
Chicago/Turabian StyleMantas, Athanasios, and Albert Mihranyan. 2020. "Dissolution Behavior of Flufenamic Acid in Heated Mixtures with Nanocellulose" Molecules 25, no. 6: 1277. https://doi.org/10.3390/molecules25061277
APA StyleMantas, A., & Mihranyan, A. (2020). Dissolution Behavior of Flufenamic Acid in Heated Mixtures with Nanocellulose. Molecules, 25(6), 1277. https://doi.org/10.3390/molecules25061277


